건설기계설비기사(2011. 6. 12.) 시험일자 : 2011년 6월 12일
1과목 : 재료역학
1. 그림과 같이 길이 100cm의 외팔보에 2개의 집중하중이 작용할 때 C점에서의 굽힘모멘트는 몇 Nㆍm 인가?

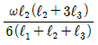
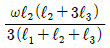
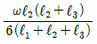
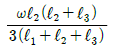
- ① 250
- ② 500
- ③ 750
- ④ 1000
등록된 댓글이 없습니다.
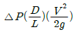
2. 그림에서 A는 고압 증기 터빈, B는 저압 증기 터빈이고 내경 60cm, 외경 65cm인 파이프로 연결되어 있다. 20℃에서 연결하고 운전 중 300℃ 증기가 중공축 내에 흐른다. 이 때 파이프에 발생하는 평균 열응력은 약 몇 MPa 인가? (단, E = 200GPa, α=1.2×10-5/℃, A, B는 이동되지 않음)

- ① 205
- ② 230
- ③ 354
- ④ 672
등록된 댓글이 없습니다.
3. 그림과 같이 길이 2ℓ인 보에 균일분포 하중 ω가 작용할 때 중앙 지지점을 δ만큼 낮추면 중앙점에서의 반력은? (단, 보의 굽힘강성 EI 는 일정하다.)

- ①

- ②

- ③

- ④

등록된 댓글이 없습니다.
4. 보의 자중을 무시할 때 그림과 같이 자유단 C에 집중하중 P가 작용할 때 B점에서 처짐 곡선의 기울기각 θ을 탄성계수 E, 단면 2차모멘트 I로 나타내면?

- ①

- ②

- ③

- ④

등록된 댓글이 없습니다.
5. 원형 단면의 길이 2m인 잠주가 양단 회전으로 지지되고 25kN의 압축하중을 받을 때 좌굴에 대한 안전계수를 5로 하면 기둥의 직경은 몇 cm로 해야 되겠는 가? (단, Euler 공식을 적용하고, 탄성계수는 10 GPa이다.)
- ① 10.08
- ② 8.08
- ③ 12.08
- ④ 14.08
등록된 댓글이 없습니다.
6. 다음 그림에서 A지점의 반력 RA 는?

- ①

- ②

- ③

- ④

등록된 댓글이 없습니다.
7. 길이가 L이고 반경 r0인 원통형의 나사를 끼워 넣을 때 나사의 단위 길이 당 t0의 토크가 필요하다. 나사 재질의 전단 탄성계수가 G일 때 나사 끝단 간의 비틀림 회전량은 얼마인가?
- ①

- ②

- ③

- ④

등록된 댓글이 없습니다.
8. 지름 D = 3 cm의 환봉이 P = 25kN의 전단하중을 받아서 0.00075의 전단 변형률을 발생시켰다. 이 때 재료의 전단탄성계수는 약 몇 GPa 인가?
- ① 87.7
- ② 97.7
- ③ 47.2
- ④ 57.2
등록된 댓글이 없습니다.
9. 폭이 2cm이고 높이가 3cm인 단면을 가진 길이 50cm의 외팔보의 고정단에서 40cm 되는 곳에 800N의 집중하중을 작용시킬 때 자유단의 처짐은 약 몇 mm 인가? (단, 탄성계수는 E = 2.1×107 N/cm2이다.)

- ① 5.5
- ② 4.5
- ③ 3.5
- ④ 2.5
등록된 댓글이 없습니다.
10. 원형 단면에 전단력 V가 그림과 같이 작용할 때 원주상에 작용하는 전단응력이 0 이 되는 지점은?

- ① A, B
- ② A, B, C, D
- ③ A, C
- ④ B, D
등록된 댓글이 없습니다.
11. 폭 90mm, 두께 18mm 강판에 세로(종) 방향으로 50kN 전단력이 작용할 때, 전단 탄성계수가 G =80GPa이면 전단 변형률은?
- ① 1.9×10-4
- ② 2.6×10-4
- ③ 3.8×10-4
- ④ 4.8×10-4
등록된 댓글이 없습니다.
12. 바깥지름 40cm, 안지름 20cm의 속이 빈 축은 동일한 단면적을 가지며 같은 재질의 원형축에 비하여 약 몇 배의 비틀림 모멘트에 견딜 수 있는가?
- ① 0.9배
- ② 1.2배
- ③ 1.4배
- ④ 1.6배
등록된 댓글이 없습니다.
13. 지름 3cm인 강축이 회전수 1590rpm으로 26.5kW의 동력을 전달하고 있다. 이 축에 발생하는 최대 전단응력은 약 몇 MPa 인가?
- ① 30
- ② 40
- ③ 50
- ④ 60
등록된 댓글이 없습니다.
14. 평면 응력상태의 한 요소에 σx> = 100MPa, σy = 50MPa, τxy = 0을 받는 평판에서 평면 내에서 발생하는 최대 전단응력은 몇 MPa 인가?
- ① 25
- ② 50
- ③ 75
- ④ 0
등록된 댓글이 없습니다.
15. 그림과 같이 W = 200N의 강구가 판 사이에 끼여 있을 때, 접촉점 A에서의 반력 RA는 약 몇 N 인가?(단, 접촉점에서의 마찰은 무시한다.)

- ① 231
- ② 323
- ③ 415
- ④ 502
등록된 댓글이 없습니다.
16. 그림과 같은 단면의 중립축에 대한 단면 2차모멘트는?

- ① 21.76 × 106 mm4
- ② 35.76 × 106 mm4
- ③ 217.6 × 106 mm4
- ④ 357.6 × 106 mm4
등록된 댓글이 없습니다.
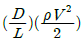
17. 그림과 같은 외팔보에서 허용 굽힘응력 σa= 50kN/cm2 이라 할 때, 최대 하중 P는 약 몇 kN 인가?(단, 보의 단면은 10cm × 10 cm이다.)

- ① 110.5
- ② 100.0
- ③ 95.6
- ④ 83.3
등록된 댓글이 없습니다.
18. 그림과 같은 단붙이 봉에 인장하중 P가 작용할 때, 축의 지름은 d1 : d2 = 3 : 2 로 하면 d1 부분에 발생하는 응력 σ1과 d2 부분에 발생하는 응력 σ2의 비는?

- ① σ1 : σ2 = 3 : 2
- ② σ1 : σ2 = 2 : 3
- ③ σ1 : σ2 = 9 : 4
- ④ σ1 : σ2 = 4 : 9
등록된 댓글이 없습니다.
19. 반경 r, 압력 P, 두께 t인 실린더형 압력용기에서 발생되는 절대 최대 전단응력(3차원 응력상태에서의 최대 전단응력)의 크기는?
- ①

- ②

- ③

- ④

등록된 댓글이 없습니다.
20. 다음 그림에서 2kN의 힘을 전달하는 키(15 × 10× 60mm)가 있다. 이 키(Key)에 생기는 전단응력은 몇 MPa 인가?

- ① 66.7
- ② 44.4
- ③ 22.2
- ④ 12.3
등록된 댓글이 없습니다.
2과목 : 기계열역학
21. 어떤 기체가 5 kJ의 열을 받고 0.18 kN ㆍ m의 일을 하였다. 이때의 내부에너지의 변화량은?
- ① 3.24 kJ
- ② 4.82 kJ
- ③ 5.18 kJ
- ④ 6.14 kJ
등록된 댓글이 없습니다.
22. 다음 중 냉동기의 성능계수를 높이는 것으로 틀린것은?
- ① 증발기의 온도를 높인다.
- ② 증발기의 온도를 낮춘다.
- ③ 압축기의 효율을 높인다.
- ④ 증발기와 응축기에서 마찰압력손실을 줄인다.
등록된 댓글이 없습니다.
23. 공기가 등온과정을 통해 압력이 200kPa, 비체적이 0.02 m3/kg인 상태에서 압력이 100 kPa인 상태로 팽창하였다. 공기를 이상기체로 가정할 때 시스템이 이 과정에서 한 단위 질량 당 일은 약 얼마인가?
- ① 1.4 kJ/kg
- ② 2.0 kJ/kg
- ③ 2.8 kJ/kg
- ④ 8.0 kJ/kg
등록된 댓글이 없습니다.
24. T-S선도에서 어느 가역 상태변화를 표시하는 곡선과 S축 사이의 면적은 무엇을 표시하는가?

- ① 힘
- ② 열량
- ③ 압력
- ④ 비체적
등록된 댓글이 없습니다.
25. 브레이턴 사이클(Braytom Cycle)은 다음 무슨 사이클에 가장 가까운가?
- ① 정적연소사이클
- ② 정압연소사이클
- ③ 등온연소사이클
- ④ 합성연소사이클
등록된 댓글이 없습니다.
26. 압력이 일정할 때 공기 5 kg을 0℃에서 100℃까지 가열하는데 필요한 열량은 약 몇 kJ 인가?(단, 공기비열 Cp(kJ/kgㆍ℃) = 1.01+0.000079t(℃) 이다.)
- ① 102
- ② 476
- ③ 490
- ④ 507
등록된 댓글이 없습니다.
27. 10℃에서 160℃까지의 평균 정적비열은 0.7315 kJ/kg℃이다. 이 온도변화에서 공기 1kg의 내부에너지 변화는?
- ① 109.7 kJ
- ② 120.6 kJ
- ③ 107.1 kJ
- ④ 121.7 kJ
등록된 댓글이 없습니다.
28. 비열이 0.475 kJ/kgㆍK인 철 10kg을 20℃에서 80℃로 올리는데 필요한 열량은 몇 kJ인가?
- ① 222
- ② 232
- ③ 285
- ④ 315
등록된 댓글이 없습니다.
29. 피스톤-실린더로 구성된 용기 안에 들어 있는 100kPa, 20℃ 상태의 질소 기체를 가역 단열압축하여 압력이 500 kPa 이 되었다. 질소의 정적 비열은 0.745 kJ/kgㆍK 이고, 비열비는 1.4이다. 질소 1kg당 필요한 압축일은 약 얼마인가?
- ① 102.7 kJ/kg
- ② 127.5 kJ/kg
- ③ 171.8 kJ/kg
- ④ 240.5 kJ/kg
등록된 댓글이 없습니다.
30. 0.5 MPa, 375℃의 수증기의 정압 비열(kJ/kgㆍK)은? (단, 0.5 MPa, 350℃에서 엔탈피 h=31647.7kJ/kgㆍK이고, 0.5MPa, 400℃에서 엔탈피 h=3271.9 kJ/kgㆍK이다. 수증기는 이상기체로 가정한다.)
- ① 1.042
- ② 2.084
- ③ 4.168
- ④ 8.742
등록된 댓글이 없습니다.
31. 어떤 냉동사이클의 T-s 선도에 대한 설명으로 틀린 것은?

- ① 1-2 과정 : 가열단열압축
- ② 2-3 과정 : 등온흡열
- ③ 3-4 과정 : 교축과정
- ④ 4-1 과정 : 증발기에서 과정
등록된 댓글이 없습니다.
32. 열역학 제2법칙은 여러 가지로 서술될 수 있다. 열역학 제2법칙에 대한 설명 중 잘못된 것은?
- ① 열을 일로 변환하는 것은 불가능하다.
- ② 열효율이 100%인 열기관을 만들 수 없다.
- ③ 열은 저온 물체로부터 고온 물체로 자연적으로 전달되지 않는다.
- ④ 입력되는 일 없이 작동하는 냉동기를 만들 수 없다.
등록된 댓글이 없습니다.
33. 용기 안에 있는 유체의 초기 내부에너지는 700 kJ이다. 냉각과정 동안 250 kJ의 열을 잃고, 용기 내에 설치된 회전날개로 유체에 100 kJ의 일을 한다. 최종상태의 유체의 내부에너지는 얼마인가?
- ① 350 kJ
- ② 450 kJ
- ③ 550 kJ
- ④ 650 kJ
등록된 댓글이 없습니다.
34. 순수 물질이 기체-액체의 평형상태(포화 상태)에 있다. 다음 설명 중 일반적으로 성립하지 않는 것은?
- ① 각 상의 온도가 같다.
- ② 각 상의 압력이 같다.
- ③ 각 상의 비체적이 다르다.
- ④ 각 상의 엔탈피가 같다.
등록된 댓글이 없습니다.
35. 다음 중 이상기체의 교축(스로틀)과정에 대한 사항으로서 틀린 것은?
- ① 엔탈피 변화가 없다.
- ② 온도의 변화가 없다.
- ③ 엔트로피의 변화가 없다.
- ④ 비가역 단열과정이다.
등록된 댓글이 없습니다.
36. 용기에 부착된 차압계로 읽은 압력이 150 kPa이고 기압계로 읽은 대기압이 100 kPa이다. 용기 안의 절대압력은?
- ① 250 kPa
- ② 150 kPa
- ③ 100 kPa
- ④ 50 kPa
등록된 댓글이 없습니다.
37. 압축비가 7.5 이고, 비열비 k = 1.4 인 오토(otto)사이클의 열효율은?
- ① 48.7%
- ② 51.2%
- ③ 55.3%
- ④ 57.6%
등록된 댓글이 없습니다.
38. 대형 Brayton 사이클 가스 터빈 동력 발전소의 압축기 입구에서 온도가 300K, 압력은 100kPa이고 압축기 압력비는 10:1이다. 공기의 비열은 1.004 kJ/kgK, 비열비는 1.400 이다. 압축기 일은 약 얼마인가?
- ① 280.3 kJ/kg
- ② 299.7 kJ/kg
- ③ 350.1 kJ/kg
- ④ 370.5 kJ/kg
등록된 댓글이 없습니다.
39. 폴리트로픽 변화의 관계식 “PVn=일정”에 있어서 n이 무한대로 되면 어느 과정이 되는가?
- ① 정압과정
- ② 등온과정
- ③ 정적과정
- ④ 단열과정
등록된 댓글이 없습니다.
40. -10℃와 30℃ 사이에서 작동되는 냉동기의 최대 성능계수로 적합한 것은?
- ① 8.8
- ② 6.6
- ③ 3.3
- ④ 13.2
등록된 댓글이 없습니다.
3과목 : 기계유체역학
41. 다음 중 관내 유동에서 마찰계수 또는 Darcy 마찰 계수라고 불리는 무차원량을 표현한 식은?
- ①

- ②

- ③

- ④

등록된 댓글이 없습니다.
42. 그림과 같은 관로에 물이 흐를 때 관로 ACD와 관로 ABD 사이에서 발생하는 손실수두는?

- ① 관로 ACD와 ABD사이에서 생기는 수두손실은 같다.
- ② ACD에서 생기는 수두손실이 ABD에서 보다 2배 크다.
- ③ ACD에서 생기는 수두손실이 ABD에서 보다 4배 크다.
- ④ ABD에서 생기는 수두손실이 ACD에서 보다 2배 크다.
등록된 댓글이 없습니다.
43. 지름이 0.1m 인 매우 긴 관의 중앙 부분에서 점성계수 0.001 Nㆍs/m2, 밀도 1000 kg/m3인 물이 0.1m/s의 속도로 흐를 때 이 부분에서의 유동과 관련하여 맞는 것은?
- ① 층류 유동
- ② 난류 유동
- ③ 천이 유동
- ④ 위 조건으로는 알 수 없다.
등록된 댓글이 없습니다.
44. 그림과 같은 수조에서 파이프를 통하여 흐르는 유량(Q)은 약 몇 m3/s인가? (단, 마찰손실 무시)

- ① 9.39×10-3
- ② 1.25×10-4
- ③ 0.939
- ④ 0.125
등록된 댓글이 없습니다.
45. 1/10로 축소한 수력 발전 댐과 역학적으로 상사한 실제댐이 생성할 수 있는 동력의 비는?
- ① 1 : 3160
- ② 1: 316
- ③ 1 : 31.6
- ④ 1: 3.16
등록된 댓글이 없습니다.
46. 유선(stream line)에 대한 설명으로 옳은 것은?
- ① 유체입자의 운동 경로를 유선이라 한다.
- ② 유동장에서 속도벡터의 방향과 일치하도록 그려진 연속적인 선이다.
- ③ 는 유선의 방정식이다.

- ④ 항상 [유선=유적선=유맥선]인 관계가 성립한다.
등록된 댓글이 없습니다.
47. 지름이 5 cm이고 내압이 100 Pa (계기압력)일 때, 비눗방울의 표면장력은 몇 N/m 인가?
- ① 2.50
- ② 1.25
- ③ 0.625
- ④ 0.25
등록된 댓글이 없습니다.
48. 동점성계수가 1×10-6 m2/s인 유체가 지름 2 cm의 원관 속을 흐르고 있다. 원관 내 유체의 평균속도가 5cm/s라면 마찰계수는 얼마인가?
- ① 0.064
- ② 0.64
- ③ 0.032
- ④ 0.32
등록된 댓글이 없습니다.
49. 다음 중 포텐셜 유동 이론을 적용시킬 수 있는 경우는 어느 것인가?
- ① 비회전 유동
- ② 포아제(Poiseuille) 유동
- ③ 경계층 유동
- ④ 점성 유동
등록된 댓글이 없습니다.
50. 경계층 내의 속도분포가 으로 주어졌을 때 경계층의 배제두께(δ1)와 경계층 두께(δ)의 관계로 올바른 것은?
- ①

- ②

- ③

- ④

등록된 댓글이 없습니다.
51. 출력이 450kW인 터빈을 통과하는 물이 초당 0.6m3이다. 이 때 터빈의 수두는 약 몇 m 인가?(단, 터빈의 효율을 87%이다.)
- ① 88
- ② 78
- ③ 67
- ④ 11
등록된 댓글이 없습니다.
52. 물속에 피토관을 삽입하여 압력을 측정하였더니 정체압이 128kPa, 정압이 120kPa이었다. 이 위치에서의 유속은 몇 m/s 인가?(단, 물의 밀도는 1000kg/m3 이다.)
- ① 1
- ② 2
- ③ 4
- ④ 8
등록된 댓글이 없습니다.
53. 어떤 물체의 속도가 원래속도의 2배가 되었을 때 항력계수가 1/2로 줄었다면 이 물체가 받는 저항은 원래 저항의 몇 배인가?
- ① 1/2 배
- ② 4 배
- ③ 1.414 배
- ④ 2 배
등록된 댓글이 없습니다.
54. 물속에서 체적이 0.02m3인 물체의 무게를 측정하였을 때 120N이었다. 이 물체의 공기 중에서의 무게는 몇 N인가?
- ① 120
- ② 196
- ③ 294
- ④ 316
등록된 댓글이 없습니다.
55. 지름이 각각 10cm와 20cm인 관이 서로 연결되어있다. 비압축성 유등이라 가정하면 20cm 관속의 평균 유속 2.4m/s일 때 10cm 관내의 평균속도는 약 몇 m/s 인가?
- ① 0.96
- ② 9.6
- ③ 0.7
- ④ 7.2
등록된 댓글이 없습니다.
56. 액체 속에 잠겨진 곡면에 작용하는 액체의 압력에 의한 수평력은 어느 것과 같은가?
- ① 곡면에 작용하는 힘과 같다.
- ② 곡면의 상부에 채워진 유체의 무게와 같다.
- ③ 곡면을 수직 평판에 투상시켰을 때 생기는 투상면에 작용하는 힘과 같다.
- ④ 곡면을 수평 평판에 투상시켰을 때 생기는 투상면에 작용하는 힘과 같다.
등록된 댓글이 없습니다.
57. 바닷속 100m까지 잠수한 잠수함이 받는 게이지 압력은 몇 kPa 인가?(단, 바닷물의 비중은 1.03 이다.)
- ① 101
- ② 404
- ③ 1010
- ④ 4040
등록된 댓글이 없습니다.
58. 그림의 날개가 제트의 방향을 180° 바꾼다고 했을 때, 제트에 의해서 날개에 작용하는 힘의 크기는 약 몇 N인가?(단, 마찰은 무시한다.)

- ① 2010
- ② 4020
- ③ 8040
- ④ 6200
등록된 댓글이 없습니다.
59. 점성계수가 0.2kg/mㆍs인 유체가 지면과 수평으로 놓인 평판 위를 흐른다. 평판 근방의 속도분포가 u=4.0-100(0.2-y)2일 때 평판면에서의 전단응력은 얼마인가?(단, y[m]는 평판면에 수직방향의 좌표이고, u[m/s]는 평판 근방에서 유체가 흐는 방향의 속도이다.)
- ① 복원중
- ② 복원중
- ③ 복원중
- ④ 복원중
등록된 댓글이 없습니다.
60. 다음 중 유체를 연속체(continuum)로 보기가 가장 어려운 경우는?
- ① 대동맥 내 혈액
- ② 매우 높은 고도에서의 대기층
- ③ 헬리콥터 날개 주위의 공기
- ④ 자동차 라디에이터 내 냉각수
등록된 댓글이 없습니다.
4과목 : 유체기계 및 유압기기
61. 가솔린기관의 성능시험에서 출력이 7.8kW 일 때 연료 소비량이 2.55kg/h이라면 제동 열효율은? (단, 가솔린의 저위발열량은 44000kJ/kg이다.)
- ① 21%
- ② 25%
- ③ 31%
- ④ 40%
등록된 댓글이 없습니다.
62. 기관에 사용하는 윤활유에 대한 설명으로 틀린 것은?
- ① 점도지수가 클수록 온도변화에 대한 점도의 변화가 크다.
- ② 윤활유는 윤활작용, 기밀작용, 냉각작용, 청정작용 등을 아울러 한다.
- ③ 동절기에는 저점도 윤활유를, 하절기에는 고점도 윤활유를 사용한다.
- ④ 윤활유가 연소실에 들어가 연소되면 일반적으로 배기색이 백색을 띄게 된다.
등록된 댓글이 없습니다.
63. 가솔린기관에 비해 디젤기관에서 주로 과급기를 이용하는 원인이 아닌 것은?
- ① 디젤기관은 가솔린기관에 비해 과급 시 노크가 적다.
- ② 디젤기관은 각 사이클마다의 공기흡입량이 일정하지 않아 과급기로 급기량을 증대시킬 필요가 있다.
- ③ 디젤기관이 가솔린기관보다 연비가 좋아지는 범위가 넓다.
- ④ 디젤기관이 출력을 높이기 위해 과급기 사용의 필요성이 높다.
등록된 댓글이 없습니다.
64. 내연기관의 효율을 향상시키는 방법으로 틀린 것은?
- ① 압축비를 높인다.
- ② 배기가스의 온도를 높인다.
- ③ 열손실을 줄인다.
- ④ 흡입저항과 배기가스의 압력을 감소시킨다.
등록된 댓글이 없습니다.
65. 그림은 연료 소비량과 축 회전수와 관계를 나타내고 있다. a, b, c, 3곡선 중에서 일반적인 기준으로 압축비가 가장 높다고 볼 수 있는 것은?

- ① a
- ② b
- ③ c
- ④ a, b, c 모두 동일
등록된 댓글이 없습니다.
66. 연소실 내에서 온도가 다른 곳 보다 더 높은 온도에 도달하는 곳은?
- ① 피스톤 링 부
- ② 피스톤 헤드
- ③ 배기밸브
- ④ 실린더 벽
등록된 댓글이 없습니다.
67. 피스톤링의 역할이 아닌 것은?
- ① 기밀유지
- ② 열전달
- ③ 측압지지
- ④ 오일제어
등록된 댓글이 없습니다.
68. 일정 압력하에서 비체적 3m3/kg, 압력 5MPa인 기체를 비체적 5m3/kg로 팽창시켰을 때 이 기체 2kg이 외부에 대하여 한 일은 몇 kJ 인가?
- ① 20000kJ
- ② 17500kJ
- ③ 15000kJ
- ④ 13800kJ
등록된 댓글이 없습니다.
69. 디젤연료의 구비조건이 아닌 것은?
- ① 착화성이 좋을 것
- ② 불순물 함유가 없을 것
- ③ 세탄가가 높을 것
- ④ 유황 성분이 많을 것
등록된 댓글이 없습니다.
70. 가솔린기관에서 피스톤의 평균속도가 10m/s이고, 행정이 250mm 일 경우 이 기관의 회전수는?
- ① 2500rpm
- ② 1800rpm
- ③ 1600rpm
- ④ 1200rpm
등록된 댓글이 없습니다.
71. 그림과 같은 유압기호가 나타내는 명칭은?

- ① 리밋 스위치
- ② 전자 변환기
- ③ 압력 스위치
- ④ 아날로그 변환기
등록된 댓글이 없습니다.
72. 공기압 장치와 비교하여 유압장치의 일반적인 특징에 대한 설명 중 틀린 것은?
- ① 작은 장치로 큰 힘을 얻을 수 있다.
- ② 입력에 대한 출력의 응답이 빠르다.
- ③ 인화에 따른 폭발의 위험이 적다.
- ④ 방청과 윤활이 자동적으로 이루어진다.
등록된 댓글이 없습니다.
73. 다음 중 실린더에 배압이 걸리므로 끌어당기는 힘이 작용해도 자주(自走)할 염려가 없어서 밀링이나 보링머신 등에 사용하는 회로는?
- ① 싱크로나이즈 회로
- ② 어큐뮬레이터 회로
- ③ 미터 인 회로
- ④ 미터 아웃 회로
등록된 댓글이 없습니다.
74. 유압 회로에서 파이프 내에 발생하는 에너지 손실을 줄일 수 있는 방법이 아닌 것은?
- ① 관의 길이를 길게 한다.
- ② 관 내부의 표면을 매끄럽게 한다.
- ③ 작동유의 흐름 속도를 줄인다.
- ④ 관의 지름을 크게 한다.
등록된 댓글이 없습니다.
75. 밸브 몸체의 위치에 대한 용어 중 조작력이 작용하지 않는 때의 밸브 몸체의 위치를 나타내는 용어는?
- ① 초기 위치
- ② 과도 위치
- ③ 노멀 위치
- ④ 플로트 위치
등록된 댓글이 없습니다.
76. 열 교환기에서 유온을 항상 적당한 온도로 유지하기 위하여 사용되는 오일클러(oil cooler) 중 수냉식의 특징 설명으로 틀린 것은?
- ① 증류로는 흡입형과 토출형이 있다.
- ② 소형으로 냉각 능력이 크다.
- ③ 10℃ 전후의 온도가 낮은 물이 사용될 수 있어야한다.
- ④ 기름 중에 물이 혼입할 우려가 있다.
등록된 댓글이 없습니다.
77. 어큐뮬레이터의 종류 중 피스톤 형의 특징에 해당하지 않는 것은?
- ① 형상이 간단하고 구성품이 적다.
- ② 대형도 제작이 용이하다.
- ③ 축유량을 크게 잡을 수 있다.
- ④ 유실에 가스 침입의 우려가 없다.
등록된 댓글이 없습니다.
78. 일정한 유량(Q) 및 유속(V)으로 유체가 흐르고 있는 관의 지름 D를 5D로 크게 하면 유속은 어떻게 변화하는가?
- ① 1/5V로 줄어든다.
- ② 25V로 늘어난다.
- ③ 5V 로 늘어난다.
- ④ 1/25V로 줄어든다.
등록된 댓글이 없습니다.
79. 토출압력이 6.86 MPa, 토출량은 4.5×104 cm3/min, 회전수가 1000 rpm인 유압 펌프의 소비 동력이 7.5kW일 때, 펌프의 전효율은 약 몇 % 인가?
- ① 58
- ② 69
- ③ 78
- ④ 89
등록된 댓글이 없습니다.
80. 유압모터의 종류가 아닌 것은?
- ① 기어 모터
- ② 베인 모터
- ③ 회전피스톤 모터
- ④ 나사모터
등록된 댓글이 없습니다.
5과목 : 건설기계일반 및 플랜트배관
81. 노즈 반지름이 있는 바이트로 선삭 할 때 가공 면의 이론적 표면 거칠기를 나타내는 식은? (단, f는 이송, R은 공구의 날 끝 반지름이다.)
- ①

- ②

- ③

- ④

등록된 댓글이 없습니다.
82. 구성인선(built-up edge)의 방지책에 대한 설명으로 틀린 것은?
- ① 경사각(rake angle)을 크게 한다.
- ② 절삭 깊이를 크게 한다.
- ③ 윤활성이 좋은 절삭유를 사용한다.
- ④ 절삭속도를 크게 한다.
등록된 댓글이 없습니다.
83. 담금질한 강을 상온 이하의 적당한 온도로 냉각시켜 잔류 오스테나이트를 미텐자이트 조직으로 변화시키는 것을 목적으로 하는 열처리 방법은?
- ① 심냉 처리
- ② 가공 경화법 처리
- ③ 가스 침탄법 처리
- ④ 석츨 경화법 처리
등록된 댓글이 없습니다.
84. 만네스만(Mannesmann) 제관법은 다음 중 어느 제관법에 속하는가?
- ① 단접관법
- ② 용접관법
- ③ 천공법
- ④ 오므리기법
등록된 댓글이 없습니다.
85. 두께 1.5mm인 연질 탄소 강판에 ø3.2mm의 구멍을 펀칭할 때 전단력은 약 몇 N 인가?(단, 전단저항력 τ=250 N/mm2 이다.)
- ① 3770
- ② 4852
- ③ 2893
- ④ 6568
등록된 댓글이 없습니다.
86. 다음 중 박스 지그(box jig)를 사용해야 하는 경우로 가장 가까운 것은?
- ① 밀링머신에서 헬리컬기어를 가공하는 경우
- ② 선반에서 테이퍼를 가공하는 경우
- ③ 드릴링에서 대량 생산하는 경우
- ④ 내면 연삭가공을 하는 경우
등록된 댓글이 없습니다.
87. 가스 용접에서 용제를 사용하는 이유는?
- ① 침탄이나 질화 작용을 촉진시키기 위하여
- ② 용접 중 산화물 등의 유해물의 제거를 위하여
- ③ 용접부의 기공을 확대하여 조직을 치밀히 하기 위하여
- ④ 용접 과정에서의 슬래그 발생을 방지하기 위하여
등록된 댓글이 없습니다.
88. “WA 46 H 8 V"라고 표신되 연삭숫돌에서 H는 무엇을 나타내는가?
- ① 숫돌입자의 재질
- ② 조직
- ③ 결합도
- ④ 입도
등록된 댓글이 없습니다.
89. 열간가공에 대한 설명으로 가장 적합한 것은?
- ① 재결정온도 이상에서 가공하는 것
- ② 용융온도 이상에서 가공하는 것
- ③ 템퍼링온도 이상에서 가공하는 것
- ④ 어닐링온도 이상에서 가공하는 것
등록된 댓글이 없습니다.
90. 측정기의 구조상에서 일어나는 오차로서 눈금 또는 피치의 불균일이나 마찰, 측정압 등의 변화 등에 의해 발생하는 오차는?
- ① 불합리 오차
- ② 기기 오차
- ③ 개인 오차
- ④ 우연 오차
등록된 댓글이 없습니다.
91. 삽날각의 각도를 수평면을 기준으로 좌우로 각각 15cm 정도 경사를 지어 V 형 배수로 작업 등의 작업을 할 수 있는 도저는?
- ① 습지 도저
- ② 도저 셔블
- ③ 파일 드라이버
- ④ 틸트 도저
등록된 댓글이 없습니다.
92. 건설기계에서 사용하는 유압장치의 펌프에서 소음이 발생할 때 원인으로 거리가 먼 것은?
- ① 오일의 점도가 너무 높아서
- ② 오일의 양이 과다해서
- ③ 펌프의 속도가 너무 빨라서
- ④ 오일 속에 공기가 들어 있어서
등록된 댓글이 없습니다.
93. 머캐덤 롤러의 용도로 적합한 작업은?
- ① 아스팔트의 마지막 끝마무리에 적합하다.
- ② 고층 건물의 철골 조립, 자재의 적재 운반, 항만 하역 작업 등에 적합하다.
- ③ 쇄석(자갈)기층, 노상, 노반, 아스팔트 포장 시 초기다짐에 적합하다.
- ④ 제설 작업, 매몰 작업에 적합하다.
등록된 댓글이 없습니다.
94. 다음 중 모터 스크레이퍼(자주식 스크레이퍼)의 특징에 대한 설명으로 틀린 것은?
- ① 견인식에 비해 이동속도가 빠르다.
- ② 험난지 작업이 곤란하다.
- ③ 견인식에 비해 작업범위가 넓다.
- ④ 볼의 용량이 6~9m3 정도이다.
등록된 댓글이 없습니다.
95. 로더의 규격 표시 방법은?
- ① 로더의 자중(t)
- ② 표준버킷의 무게(kgf)
- ③ 원동기의 마력(PS)
- ④ 표준버킷의 산적용량(m3)
등록된 댓글이 없습니다.
96. 굴착력이 강력하여 견고한 지반이나 깨어진 암석 등을 준설하는데 가장 적합한 준설선은?
- ① 버킷 준설선(bucket dredger)
- ② 펌프 준설선(pump dredger)
- ③ 디퍼 준설선(dipper dredger)
- ④ 그랩 준설선(grab dredger)
등록된 댓글이 없습니다.
97. 덤프 트럭의 동력 전달 계통과 직접적인 관계가 없는 것은?
- ① 배전기
- ② 변속기
- ③ 구동륜
- ④ 클러치
등록된 댓글이 없습니다.
98. 무한궤도식 19톤 불도저가 자연상태의 초질토를 작업거리 60 m로 굴삭 운반하는 경우 시간당 작업량은 몇 m3/hr 인가?(단, 토량환산계수 f=1, 운반거리계수 e=0.80, 삽날의 용량 q=3.2m3, 전진속도 1단 V1=40m/min, 후진속도 2단 V2=70m/min, 1사이클에서 기어변화에 요하는 시간은 0.33min, 작업효율은 75%임)
- ① 32.74
- ② 42.87
- ③ 35.92
- ④ 45.01
등록된 댓글이 없습니다.
99. 건설기계 관리법 시행령 상 대통령령이 정하는 건설기계의 경우에는 그 건설기계의 제작 등을 한 자가 국토해양부령에 정하는 바에 따라 그 형식에 관하여 국토해양부장관에게 신고해야 한다. 이 때 대통령령이 정하는 건설기계에 해당하지 않는 것은?
- ① 불도저
- ② 차량식 로더
- ③ 지게차
- ④ 무한궤도식 기중기
등록된 댓글이 없습니다.
100. 모터 그레이더에 관한 설명으로 틀린 것은?
- ① 주된 작업장치는 브레이드(Blade)와 스케리파이어(Scarifier)이다.
- ② 모터 그레이더는 장비가 길고 차동장치가 없어 화전반경이 크므로 앞 타이어를 기울여서 작은 반경으로 선회가 용이하도록 하는 장치를 가지고 있다.
- ③ 블레이드의 용량(Q)은 다음과 같다. Q = [블레이드 폭(m)]×[블레이드 높이(m)]2
- ④ 규격은 모터 그레이더의 중량(t)으로 표시한다.
등록된 댓글이 없습니다.