건설기계설비기사(2020. 6. 6.) 시험일자 : 2020년 6월 6일
1과목 : 재료역학
1. 지름 300mm의 단면을 가진 속이 찬 원형보가 굽힘을 받아 최대 굽힘 응력이 100MPa이 되었다. 이 단면에 작용한 굽힘 모멘트는 약 몇 kNㆍm인가?
- ① 265
- ② 315
- ③ 360
- ④ 425
등록된 댓글이 없습니다.
2. 원형 봉에 축방향 인장하중 P=88kN이 작용할 때, 직경의 감소량은 약 몇 mm인가? (단, 봉은 길이 L=2m, 직경 d=40mm, 세로탄성계수는 70GPa, 포아송비 μ=0.3이다.)
- ① 0.006
- ② 0.012
- ③ 0.018
- ④ 0.036
등록된 댓글이 없습니다.
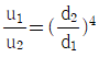
3. 동일한 길이와 재질로 만들어진 두 개의 원형단면 축이 있다. 각각의 지름이 d1, d2일 때 각 축에 저장되는 변형에너지 u1, u2의 비는? (단, 두 축은 모두 비틀림 모멘트 T를 받고 있다.)
- ①

- ②

- ③

- ④

등록된 댓글이 없습니다.
4. 그림과 같은 빗금 친 단면을 갖는 중공축이 있다. 이 단면의 O점에 관한 극단면 2차모멘트는?

- ①

- ②

- ③

- ④

등록된 댓글이 없습니다.
5. 직사각형 단면의 단주에 150kN 하중이 중심에서 1m만큼 편심되어 작용할 때 이 부재 BD에서 생기는 최대 압축응력은 약 몇 kPa인가?

- ① 25
- ② 50
- ③ 75
- ④ 100
등록된 댓글이 없습니다.
6. 원형단면 축에 147kW의 동력을 회전수 2000rpm으로 전달시키고자 한다. 축 지름은 약 몇 cm로 해야 하는가? (단, 허용전단응력은 τω=50MPa이다.)
- ① 4.2
- ② 4.6
- ③ 8.5
- ④ 9.9
등록된 댓글이 없습니다.
7. 단면적이 4cm2인 강봉에 그림과 같은 하중이 작용하고 있다. W=60kN, P=25kN, ℓ=20cm일 때 BC 부분의 변형률 ε은 약 얼마인가? (단, 세로탄성계수는 20GPa이다.)

- ① 0.00043
- ② 0.0043
- ③ 0.043
- ④ 0.43
등록된 댓글이 없습니다.
8. 오일러 공식이 세장비 에 대해 성립한다고 할 때, 양단이 힌지인 원형단면에서 오일러 공식이 성립하기 위한 길이 “ℓ”과 지름 “d"와의 관계가 옳은 것은? (단, 단면의 회전반경을 k라 한다.)
- ① ℓ>4d
- ② ℓ>25d
- ③ ℓ>50d
- ④ ℓ>100d
등록된 댓글이 없습니다.
9. 양단이 고정된 축을 그림과 같이 m-n 단면에서 T만큼 비틀면 고정단 AB에서 생기는 저항 비틀림 모멘트의 비 TA/TB는?

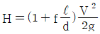
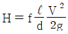
- ①

- ② b/a
- ③ a/b
- ④

등록된 댓글이 없습니다.
10. 전체 길이가 L이고, 일단 지지 및 차단 고정보에서 삼각형 분포 하중이 작용할 때, 지지점 A에서의 반력은? (단, 보의 굽힘강성 EI는 일정하다.)

- ①

- ②

- ③

- ④

등록된 댓글이 없습니다.
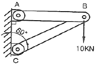
11. 그림과 같이 트러스 구조물에서 B점에서 10kN의 수직 하중을 받으면 BC에 작용하는 힘은 몇 kN인가?

- ① 20
- ② 17.32
- ③ 10
- ④ 8.66
등록된 댓글이 없습니다.
12. 외팔보의 자유단에 연직 방향으로 10kN의 집중 하중이 작용하면 고정단에 생기는 굽힘 응력은 약 몇 MPa인가? (단, 단면(폭×높이) b×h=10cm×15cm, 길이 1.5m이다.)
- ① 0.9
- ② 5.3
- ③ 40
- ④ 100
등록된 댓글이 없습니다.
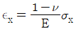
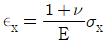
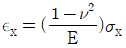
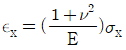
13. 그림과 같이 길고 얇은 평판이 평면 변형률 상태로 σx를 받고 있을 때 ϵx는?

- ①

- ②

- ③

- ④

등록된 댓글이 없습니다.
14. 그림과 같은 균일 단면의 돌출보에서 반력 RA는? (단, 보의 자중은 무시한다.)

- ① ωℓ
- ②

- ③

- ④

등록된 댓글이 없습니다.
15. 그림의 평면응력상태에서 최대 주응력은 약 몇 MPa인가? (단, σx=175MPa, σy=35MPa, τxy=60MPa이다.)

- ① 92
- ② 105
- ③ 163
- ④ 197
등록된 댓글이 없습니다.
16. 그림과 같은 단면을 가진 외팔보가 있다. 그 단면의 자유단에 전단력 V=40kN에 발생한다면 단면 a-b 위에 발생하는 전단응력은 약 몇 MPa인가?

- ① 4.57
- ② 4.22
- ③ 3.87
- ④ 3.14
등록된 댓글이 없습니다.
17. 그림과 같이 양단에서 모멘트가 작용할 경우 A지점의 처짐각 θA는? (단, 보의 굽힘 강성 EI는 일정하고, 자중은 무시한다.)

- ①

- ②

- ③

- ④

등록된 댓글이 없습니다.
18. 그림과 같이 외팔보의 중앙에 집중하중 P가 작용하는 경우 집중하중 P가 작용하는 지점에서의 처짐은? (단, 보의 굽힘강성 EI는 일정하고, 자중은 무시한다.)

- ①

- ②

- ③

- ④

등록된 댓글이 없습니다.
19. 지름 D인 두께가 얇은 링(ring)을 수평면 내에서 회전시킬 때, 링에 생기는 인장응력을 나타내는 식은? (단, 링의 단위 길이에 대한 무게를 W, 링의 원주속도를 V, 링의 단면적을 A, 중력가속도를 g로 한다.)
- ①

- ②

- ③

- ④

등록된 댓글이 없습니다.
20. 철도 레일의 온도가 50℃에서 15℃로 떨어졌을 때 레일에 생기는 열응력은 약 몇 MPa인가? (단, 선팽창계수는 0.000012/℃, 세로탄성계수는 210GPa이다.)
- ① 4.41
- ② 8.82
- ③ 44.1
- ④ 88.2
등록된 댓글이 없습니다.
2과목 : 기계열역학
21. 단열된 가스터빈의 입구 측에서 압력 2MPa, 온도 1200K인 가스가 유입되어 출구 측에서 압력 100kPa, 온도 600K로 유출된다. 5MW의 출력을 얻기 위해 가스의 질량유량(kg/s)은 얼마이어야 하는가? (단, 터빈의 효율은 100%이고, 가스의 정압비열은 1.12kJ/kgㆍK이다.)
- ① 6.44
- ② 7.44
- ③ 8.44
- ④ 9.44
등록된 댓글이 없습니다.
22. 초기 압력 100kPa, 초기 체적 0.1m3인 기체를 버너로 가열하여 기체 체적이 정압과정으로 0.5m3이 되었다면 이 과정 동안 시스템이 외부에 한 일(kJ)은?
- ① 10
- ② 20
- ③ 30
- ④ 40
등록된 댓글이 없습니다.
23. 펌프를 사용하여 150kPa, 26℃의 물을 가역단열과정으로 650kPa까지 변화시킨 경우, 펌프의 일(kJ/kg)은? (단, 26℃의 포화액의 비체적은 0.001m3/kg이다.)
- ① 0.4
- ② 0.5
- ③ 0.5
- ④ 0.6
등록된 댓글이 없습니다.
24. 1kW의 전기히터를 이용하여 101kPa, 15℃의 공기로 차 있는 100m3의 공간을 난방하려고 한다. 이 공간은 견고하고 밀폐되어 있으며 단열되어 있다. 히터를 10분 동안 작동시킨 경우, 이 공간의 최종온도(℃)는? (단, 공기의 정적비열은 0.718kJ/kgㆍK이고, 기체상수는 0.287kJ/kgㆍK이다.)
- ① 18.1
- ② 21.8
- ③ 25.3
- ④ 29.4
등록된 댓글이 없습니다.
25. 랭킨사이클에서 보일러 입구 엔탈피 192.5kJ/kg, 터빈 입구 엔탈피 3002.5kJ/kg, 응축기 입구 엔탈피 2361.8kJ/kg일 때 열효율(%)은? (단, 펌프의 동력은 무시한다.)
- ① 20.3
- ② 22.8
- ③ 25.7
- ④ 29.5
등록된 댓글이 없습니다.
26. 실린더 내의 공기가 100kPa, 20℃ 상태에서 300kPa이 될 때까지 가역단열 과정으로 압축된다. 이 과정에서 실린더 내의 계에서 엔트로피의 변화(kJ/kgㆍK)는? (단, 공기의 비열비(k)는 1.4이다.)
- ① -1.35
- ② 0
- ③ 1.35
- ④ 13.5
등록된 댓글이 없습니다.
27. 이상기체 1kg을 300K, 100kPa에서 500K까지 “PVn=일정”의 과정(n=1.2)을 따라 변화시켰다. 이 기체의 엔트로피 변화량(kJ/K)은? (단, 기체의 비열비는 1.3, 기체상수는 0.287kJ/kgㆍK이다.)
- ① -0.244
- ② -0.287
- ③ -0.344
- ④ -0.373
등록된 댓글이 없습니다.
28. 열역학적 관점에서 다음 장치들에 대한 설명으로 옳은 것은?
- ① 노즐은 유체를 서서히 낮은 압력으로 팽창하여 속도를 감속시키는 기구이다.
- ② 디퓨저는 저속의 유체를 가속하는 기구이며 그 결과 유체의 압력이 증가한다.
- ③ 터빈은 작동유체의 압력을 이용하여 열을 생성하는 회전식 기계이다.
- ④ 압축기의 목적은 외부에서 유입된 동력을 이용하여 유체의 압력을 높이는 것이다.
등록된 댓글이 없습니다.
29. 열역학 제3법칙에 대한 설명으로 틀린 것은?
- ① 효율이 100%인 열기관은 얻을 수 없다.
- ② 제2종의 영구 기관은 작동 물질의 종류에 따라 가능하다.
- ③ 열은 스스로 저온의 물질에서 고온의 물질로 이동하지 않는다.
- ④ 열기관에서 작동 물질이 일을 하게 하려면 그 보다 더 저온인 물질이 필요하다.
등록된 댓글이 없습니다.
30. 그림과 같은 공기표준 브레이튼(Brayton) 사이클에서 작동유체 1kg당 터빈 일(kJ/kg)은? (단, T1=300K, T2=475.1K, T3=1100K, T4=694.5K이고, 공기의 정압비열과 정적비열은 각각 1.0035kJ/kgㆍK, 0.7162kJ/kgㆍK이다.)

- ① 290
- ② 407
- ③ 448
- ④ 627
등록된 댓글이 없습니다.
31. 다음 중 가장 큰 에너지는?
- ① 100kW 출력의 엔진이 10시간 동안 한 일
- ② 발열량 10000kJ/kg의 연료를 100kg 연소시켜 나오는 열량
- ③ 대기압 하에서 10℃의 물 10m3를 90℃로 가열하는데 필요한 열량(단, 물의 비열은 4.2kg/kgㆍK이다.)
- ④ 시속 100km로 주행하는 총 질량 2000kg인 자동차의 운동에너지
등록된 댓글이 없습니다.
32. 보일러에 온도 40℃, 엔탈피 167kg/kg인 물이 공급되어 온도 350℃, 엔탈피 3115kg/kg인 수증기가 발생한다. 입구와 출구에서의 유속은 각각 5m/s, 50m/s이고, 공급되는 물의 양이 2000kg/h일 때, 보일러에 공급해야 할 열량(kW)은? (단, 위치에너지 변화는 무시한다.)
- ① 631
- ② 832
- ③ 1237
- ④ 1638
등록된 댓글이 없습니다.
33. 용기 안에 있는 유체의 초기 내부에너지는 700kJ이다. 냉각과정 동안 250kJ의 열을 잃고, 용기 내에 설치된 회전날개로 유체에 100kJ의 일을 한다. 최종상태의 유체의 내부에너지(kJ)는 얼마인가?
- ① 350
- ② 450
- ③ 550
- ④ 650
등록된 댓글이 없습니다.
34. 다음은 시스템(계)가 경계에 대한 설명이다. 옳은 내용을 모두 고른 것은?

- ① 가, 다
- ② 나, 라
- ③ 가, 다, 라
- ④ 가, 나, 다, 라
등록된 댓글이 없습니다.
35. 피스톤-실린더 장치에 들어있는 100kPa, 27℃의 공기가 600kPa까지 가역단열과정으로 압축된다. 비열비가 1.4로 일정하다면 이 과정 동안에 공기가 받은 일(kJ/kg)은? (단, 공기의 기체상수는 0.287kJ/kgㆍK이다.)
- ① 263.6
- ② 171.8
- ③ 143.5
- ④ 116.9
등록된 댓글이 없습니다.
36. 300L 체적의 진공인 탱크가 25℃, 6MPa의 공기를 공급하는 관에 연결된다. 밸브를 열어 탱크 안의 공기 압력이 5MPa이 될 때까지 공기를 채우고 밸브를 닫았다. 이 과정이 단열이고 운동에너지와 위치에너지의 변화를 무시한다면 탱크 안의 공기의 온도(℃)는 얼마가 되는가? (단, 공기의 비열비는 1.4이다.)
- ① 1.4
- ② 25.0
- ③ 84.4
- ④ 144.2
등록된 댓글이 없습니다.
37. 이상적인 냉동사이클에서 응축기 온도가 30℃, 증발기 온도가 -10℃일 때 성적 계수는?
- ① 4.6
- ② 5.2
- ③ 6.6
- ④ 7.5
등록된 댓글이 없습니다.
38. 준평형 정적과정을 거치는 시스템에 대한 열전달량은? (단, 운동에너지와 위치에너지의 변화는 무시한다.)
- ① 0이다.
- ② 이루어진 일량과 같다.
- ③ 엔탈피 변화량과 같다.
- ④ 내부에너지 변화량과 같다.
등록된 댓글이 없습니다.
39. 압력 1000kPa, 온도 300℃ 상태의 수증기(엔탈피 3051.15 kJ/kg, 엔트로피 7.1228 kJ/kgㆍK)가 증기터빈으로 들어가서 100kPa 상태로 나온다. 터빈의 출력 일이 370kJ/kg일 때 터빈의 효율(%)은?

- ① 15.6
- ② 33.2
- ③ 66.8
- ④ 79.8
등록된 댓글이 없습니다.
40. 공기 10kg이 압력 200kPa, 체적 5m3인 상태에서 압력 400kPa, 온도 300℃인 상태로 변한 경우 최종 체적(m3)은 얼마인가? (단, 공기의 기체상수는 0.287kJ/kgㆍK이다.)
- ① 10.7
- ② 8.3
- ③ 6.8
- ④ 4.1
등록된 댓글이 없습니다.
3과목 : 기계유체역학
41. 관로의 전 손실수두가 10m인 펌프로부터 21m 지하에 있는 물을 지상 25m의 송출액면에 10m3/min의 유량으로 수송할 때 축동력이 124.5kW이다. 이 펌프의 효율은 약 얼마인가?
- ① 0.70
- ② 0.73
- ③ 0.76
- ④ 0.80
등록된 댓글이 없습니다.
42. 평판 위에 점성, 비압축성 유체가 흐르고 있다. 경계층 두께 δ에 대하여 유체의 속도 u인 분포는 아래와 같다. 이 때 경계층 유동량 두께에 대한 식으로 옳은 것은? (단, U는 상류속도, y는 평판과의 수직거리이다.)

- ① 0.1δ
- ② 0.125δ
- ③ 0.133δ
- ④ 0.166δ
등록된 댓글이 없습니다.
43. 그림과 같이 오일이 흐르는 수평관로 두 지점의 압력차 p1-p2를 측정하기 위하여 오리피스와 수은을 넣은 U자관을 설치하였다. p1-p2로 옳은 것은? (단, 오일의 비중량은 γoil이며, 수은이 비중량은 γHg이다.)

- ① (y1-y2)(γHg-γoil)
- ② y2(γHg-γoil)
- ③ y1(γHg-γoil)
- ④ (y1-y2)(γoil-γHg)
등록된 댓글이 없습니다.
44. 그림과 같이 비중이 1.3인 유체 위에 깊이 1.1m로 물이 채워져 있을 때, 직경 5cm의 탱크 출구로 나오는 유체의 평균 속도는 약 몇 m/s인가? (단, 탱크의 크기는 충분히 크고 마찰손실은 무시한다.)

- ① 3.9
- ② 5.1
- ③ 7.2
- ④ 7.7
등록된 댓글이 없습니다.
45. 그림과 같이 폭이 2m인 수문 ABC가 A점에서 한지로 연결되어 있다. 그림과 같이 수문이 고정될 때 수평인 케이블 CD에 걸리는 장력은 약 몇 kN인가? (단, 수문의 무게는 무시한다.)

- ① 38.3
- ② 35.4
- ③ 25.2
- ④ 22.9
등록된 댓글이 없습니다.
46. 그림과 같이 속도가 V인 유체가 속도 U로 움직이는 곡면에 부딪혀 90°의 각도로 유동방향이 바뀐다. 다음 중 유체가 곡면에 가하는 힘의 수평방향 성분 크기가 가장 큰 것은? (단, 유체의 유동단면적은 일정하다.)

- ① V=10m/s, U=5m/s
- ② V=20m/s, U=15m/s
- ③ V=10m/s, U=4m/s
- ④ V=25m/s, U=20m/s
등록된 댓글이 없습니다.
47. 담배연기가 비정상 유동으로 흐를 때 순간적으로 눈에 보이는 담배연기는 다음 중 어떤 것에 해당하는가?
- ① 유맥선
- ② 유적선
- ③ 유선
- ④ 유선, 유적선, 유맥선 모두에 해당됨
등록된 댓글이 없습니다.
48. 지름이 10cm인 원통에 물이 담겨져 있다. 수직인 중심축에 대하여 300rpm의 속도로 원통을 회전시킬 때 수면의 최고점과 최저점의 수직 높이차는 약 몇 cm인가?
- ① 0.126
- ② 4.2
- ③ 8.4
- ④ 12.6
등록된 댓글이 없습니다.
49. 밀도가 0.84kg/m3이고 압력이 87.6kPa인 이상기체가 있다. 이 이상기체의 절대온도를 2배 증가시킬 때, 이 기체에서의 음속은 약 몇 m/s인가? (단, 비열비는 1.4이다.)
- ① 280
- ② 340
- ③ 540
- ④ 720
등록된 댓글이 없습니다.
50. 모세관을 이용한 점도계에서 원형관 내의 유동은 비압축성 뉴턴 유체의 층류유동으로 가정할 수 있다. 원형관의 입구 측과 출구 측의 압력차를 2배로 늘렸을 때, 동일한 유체의 유량은 몇 배가 되는가?
- ① 2배
- ② 4배
- ③ 8배
- ④ 16배
등록된 댓글이 없습니다.
51. 그림과 같이 날카로운 사각 모서리 입출구를 갖는 관로에서 전수두 H는? (단, 관의 길이를 ℓ, 지름은 d, 관 마찰계수는 f, 속도수두는 이고, 입구 손실계수는 0.5, 손실계수는 1.0이다.)

- ①

- ②

- ③

- ④

등록된 댓글이 없습니다.
52. 길이 150m인 배를 길이 10m인 모형으로 조파 저항에 관한 실험을 하고자 한다. 실형의 배가 70km/h로 움직인다면, 실형과 모형 사이의 역학적 상사를 만족하기 위한 모형의 속도는 약 몇 km/h인가?
- ① 271
- ② 56
- ③ 18
- ④ 10
등록된 댓글이 없습니다.
53. 속도 포텐셜 φ=kθ인 와류 유동이 있다. 중심에서 반지름 r인 원주에 따른 순환(circulation)식으로 옳은 것은? (단, K는 상수이다.)
- ① 0
- ② K
- ③ πK
- ④ 2πK
등록된 댓글이 없습니다.
54. 그림과 같이 평행한 두 원판 사이에 점성계수 μ=0.2Nㆍs/m2인 유체가 채워져 있다. 아래 판은 정지되어 있고, 윗 판은 1800rpm으로 회전할 때 작용하는 돌림힘은 약 몇 Nㆍm인가?

- ① 9.4
- ② 38.3
- ③ 46.3
- ④ 59.2
등록된 댓글이 없습니다.
55. 피에조미터관에 대한 설명으로 틀린 것은?
- ① 계기유체가 필요 없다.
- ② U자관에 비해 구조가 단순하다.
- ③ 기체의 압력 측정에 사용할 수 있다.
- ④ 대기압 이상의 압력 측정에 사용할 수 있다.
등록된 댓글이 없습니다.
56. 지름 100mm 관에 글리세린이 9.42L/min의 유량으로 흐른다. 이 유동은? (단, 글리세린의 비중은 1.26, 점성계수는 μ=2.9×10-4kg/mㆍs이다.)
- ① 난류유동
- ② 층류유동
- ③ 천이유동
- ④ 경계층유동
등록된 댓글이 없습니다.
57. 중력가속도 g, 체적유량 Q, 길이 L로 얻을 수 있는 무차원수는?
- ①

- ②

- ③

- ④

등록된 댓글이 없습니다.
58. 다음 유체역학적 양 중 질량차원을 포함하지 않는 양은 어느 것인가? (단, MLT 기본차원을 기준으로 한다.)
- ① 압력
- ② 동점성계수
- ③ 모멘트
- ④ 점성계수
등록된 댓글이 없습니다.
59. 그림과 같이 물이 유량 Q로 저수조로 들어가고 속도 V=√2gh로 저수조 바닥에 있는 면적 A2의 구멍을 통하여 나간다. 저수조의 구면 높이가 변화하는 속도 는?

- ①

- ②

- ③

- ④

등록된 댓글이 없습니다.
60. 현의 길이가 7m인 날개의 속력이 500km/h로 비행할 때 이 날개가 받는 양력이 4200kN이라고 하면 날개의 폭은 약 몇 m인가? (단, 양력계수 CL=1, 항력계수 CD=0.02, 밀도 ρ=1.2kg/m3이다.)
- ① 51.84
- ② 63.17
- ③ 70.99
- ④ 82.36
등록된 댓글이 없습니다.
4과목 : 유체기계 및 유압기기
61. 다음 중 액체에 에너지를 주어 이것을 저압부(낮은 곳)에서 고압부(높은 곳)로 송출하는 기계를 무엇이라고 하는가?
- ① 수차
- ② 펌프
- ③ 송풍기
- ④ 컨데이어
등록된 댓글이 없습니다.
62. 원심펌프의 송출유량이 0.7m3/min이고, 관로의 손실수두가 7m이었다. 이 펌프로 펌프중심에서 1m 아래에 있는 저수조에서 물을 흡입하여 26m의 높이에 있는 송출 탱크 면으로 양수하려고 할 때 이 펌프의 수동력(kW)은?
- ① 3.9
- ② 5.1
- ③ 7.4
- ④ 9.6
등록된 댓글이 없습니다.
63. 풍차에 관한 설명으로 틀린 것은?
- ① 후단의 방향날개로서 풍차축의 방향조정을 하는 형식을 미국형 풍차라고 한다.
- ② 보조풍차가 회전하기 시작하여 터빈축의 방향을 바람의 방향에 맞추는 형식을 유럽형 풍차라고 한다.
- ③ 바람의 방향이 바뀌어도 회전수를 일정하게 유지하기 위해서는 깃 각도를 조절하는 방식이 유용하다.
- ④ 풍속을 일정하게 하여 회전수를 줄이면 바람에 대한 영각이 감소하여 흡수동력이 감소한다.
엄준식2023. 5. 29. 07:38삭제
영각 일정
엄준상2022. 3. 4. 12:26삭제
후미보유
64. 터보형 유체 전동장치의 장점으로 틀린 것은?
- ① 구조가 비교적 간단하다.
- ② 기계를 시동할 때 원동기에 무리가 생기지 않는다.
- ③ 부하토크의 변동에 따라 자동적으로 변속이 이루어진다.
- ④ 출력축의 양방향 회전이 가능하다.
등록된 댓글이 없습니다.
65. 유효 낙차를 H(m), 유량을 Q(m3/s), 물의 비중량을 γ(kg/m3)라고 할 때 수차의 이론출력 Lth(kW)을 나타내는 식으로 옳은 것은?
- ①

- ②

- ③ Lth=γQH
- ④ Lth=102γQH
김철새2022. 3. 5. 09:55삭제
1kgf = 9.8N , 9.8/1000 = 1/102
66. 펌프계에서 발생할 수 있는 수격작용(water hammer)의 방지대책으로 틀린 것은?
- ① 토출배관은 가능한 적은 구경을 사용한다.
- ② 펌프에 플라이휠을 설치한다.
- ③ 펌프가 급정지 하지 않도록 한다.
- ④ 토출 관로에 서지탱크 또는 서지밸브를 설치한다.
등록된 댓글이 없습니다.
67. 펠톤 수차의 니들밸브가 주로 조절하는 것은 무엇인가?
- ① 노즐에서의 분류 속도
- ② 분류의 방향
- ③ 유량
- ④ 버킷의 각도
엄준식2023. 5. 29. 07:41삭제
니들=유량
엄준상2022. 3. 4. 12:27삭제
틀림
68. 베인 펌프의 장점으로 틀린 것은? (문제 오류로 가답안 발표시 3번으로 발표되었지만 확정답안 발표시 3, 4번이 정답처리 되었습니다. 여기서는 가답안인 3번을 누르면 정답 처리 됩니다.)
- ① 송출 압력의 맥동이 거의 없다.
- ② 깃의 마모에 의한 압력 저하가 일어나지 않는다.
- ③ 펌프의 유동력에 비하여 형상치수가 크다.
- ④ 구성 부품 수가 적고 단순한 형상을 하고 있으므로 고장이 적다.
엄준식2023. 5. 29. 07:44삭제
형상치수가 작다
69. 펌프를 회전차의 형상에 따라 분류할 때, 다음 펌프의 분류가 다른 하나는?
- ① 피스톤 펌프
- ② 플런저 펌프
- ③ 베인 펌프
- ④ 사류 펌프
엄준상2022. 3. 4. 12:29삭제
틀림
70. 프란시스 수차에서 스파이럴(spiral)형에 속하지 않는 것은?
- ① 횡축 단륜 단사 수차
- ② 횡축 단륜 복사 수차
- ③ 입축 단륜 단사 수차
- ④ 압축 이륜 단류 수차
엄준식2023. 5. 29. 07:48삭제
답암기 : 압이단류
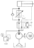
71. 그림의 유압 회로도에서 ①의 밸브 명칭으로 옳은 것은?

- ① 스톱 밸브
- ② 릴리프 밸브
- ③ 무부하 밸브
- ④ 카운터 밸런스 밸브
등록된 댓글이 없습니다.
72. 펌프에 대한 설명으로 틀린 것은?
- ① 피스톤 펌프는 피스톤을 경사판, 캠, 크랭크 등에 의해서 왕복 운동시켜, 액체를 흡입 쪽에서 토출 쪽으로 밀어내는 형식의 펌프이다.
- ② 레이디얼 피스톤 펌프는 피스톤의 왕복 운동 방향이 구동축에 거의 직각인 피스톤 펌프이다.
- ③ 기어 펌프는 케이싱 내에 물리는 2개 이상의 기어에 의해 액체를 흡입 쪽에서 토출 쪽으로 밀어내는 형식의 펌프이다.
- ④ 터보 펌프는 덮개차를 케이싱 외에 회전시켜, 액체로부터 운동 에너지를 뺏어 액체를 토출하는 형식의 펌프이다.
등록된 댓글이 없습니다.
73. 미터 아웃 회로에 대한 설명으로 틀린 것은?
- ① 피스톤 속도를 제어하는 회로이다.
- ② 유량 제어 밸브를 실린더의 입구측에 설치한 회로이다.
- ③ 기본형은 부하변동이 심한 공작기계의 이송에 사용된다.
- ④ 실린더에 배압이 걸리므로 끌어당기는 하중이 작용해도 자주 할 염려가 없다.
엄준식2023. 5. 29. 08:25삭제
출구
74. 압력 제어 밸브의 종류가 아닌 것은?
- ① 체크 밸브
- ② 감압 밸브
- ③ 릴리프 밸브
- ④ 카운터 밸런스 밸브
등록된 댓글이 없습니다.
75. 유압유의 구비조건으로 적절하지 않은 것은?
- ① 압축성이어야 한다.
- ② 점도 지수가 커야한다.
- ③ 열을 방출시킬 수 있어야 한다.
- ④ 기름중의 공기를 분리시킬 수 있어야 한다.
등록된 댓글이 없습니다.
76. 유압 실린더 취급 및 설계 시 주의사항으로 적절하지 않은 것은?
- ① 적당한 위치에 공기구멍을 장치한다.
- ② 쿠션 장치인 쿠션 밸브는 감속범위의 조정으로 사용된다.
- ③ 쿠션 장치인 쿠션링은 헤드 엔드축에 흐르는 오일을 촉진한다.
- ④ 원칙적으로 더스트 와이퍼를 연결해야 한다.
등록된 댓글이 없습니다.
77. 유체 토크 컨버터의 주요 구성 요소가 아닌 것은?
- ① 펌프
- ② 터빈
- ③ 스테이터
- ④ 릴리프 밸브
엄준식2023. 5. 29. 08:31삭제
유체토크컨버터 : 펌터스
엄준상2022. 3. 1. 14:26삭제
틀림
78. 유압 장치의 특징으로 적절하지 않은 것은?
- ① 원격 제어가 가능하다.
- ② 소형 장치로 큰 출력을 얻을 수 있다.
- ③ 먼지나 이물질에 의한 고장의 우려가 없다.
- ④ 오일에 기포가 섞여 작동이 불량할 수 있다.
등록된 댓글이 없습니다.
79. 그림과 같은 유압 기호의 명칭은?

- ① 경음기
- ② 소음기
- ③ 리밋 스위치
- ④ 아날로그 변환기
등록된 댓글이 없습니다.
80. 채터링 현상에 대한 설명으로 적절하지 않은 것은?
- ① 소음을 수반한다.
- ② 일종의 자려 진동현상이다.
- ③ 감압 밸브, 릴리프 밸브 등에서 발생한다.
- ④ 압력, 속도 변화에 의한 것이 아닌 스프링의 강성에 의한 것이다.
등록된 댓글이 없습니다.
5과목 : 건설기계일반 및 플랜트배관
81. 오스테나이트계 스테인리스강의 설명으로 틀린 것은?
- ① 18-8 스테인리스강으로 통용된다.
- ② 비자성체이며 열처리하여도 경화되지 않는다.
- ③ 저온에서는 취성이 크며 크리프강도가 낮다.
- ④ 인장강도에 비하여 낮은 내력을 가지며, 가공 경화성이 높다.
등록된 댓글이 없습니다.
82. 굴삭기의 3대 주요 구성요소가 아닌 것은?
- ① 작업장치
- ② 상부 회전체
- ③ 중간 선회체
- ④ 하부 구동체
등록된 댓글이 없습니다.
83. 타이어식 굴삭기와 무한궤도식 굴삭기를 비교할 때, 타이어식 굴삭기의 특징으로 틀린 것은?
- ① 기동성이 나쁘다.
- ② 견인력이 약하다.
- ③ 습지, 사지, 활지의 운행이 곤란하다.
- ④ 암석지에서 작업 시 타이어가 손상되기 쉽다.
등록된 댓글이 없습니다.
84. 덤프트럭의 축간거리가 1.2.m인 차를 왼쪽으로 완전히 꺾을 때 오른쪽 바퀴의 각도가 45°이고, 왼쪽바퀴의 각도가 30°일 때, 이 덤프트럭의 최소 회전 반경은 약 몇 m인가? (단, 킹핀과 타이어 중심간의 거리는 무시한다.)
- ① 1.7
- ② 3.4
- ③ 5.4
- ④ 7.8
jek82021. 3. 5. 16:24삭제
회전반경 R = 축간거리 L / sinA (A는 회전 시 바깥쪽 각도).
합격한방2020. 8. 20. 22:38삭제
1.2/sin(바깥 각도)
85. 수중의 토사, 암반 등을 파내는 건설기계로 항만, 항로, 선착장 등의 축항 및 기초공사에 사용되는 것은?
- ① 준설선
- ② 소새석기
- ③ 노상 안정기
- ④ 스크레이퍼
등록된 댓글이 없습니다.
86. 조향장치에서 조향력을 바퀴에 전달하는 부품 중에 바퀴의 토(toe) 값을 조정할 수 있는 것은?
- ① 피트먼 암
- ② 너클 암
- ③ 드래그 링크
- ④ 스크레이퍼
김철새2022. 3. 5. 10:07삭제
몬가... 이상해...
엄준상2022. 3. 4. 12:33삭제
틀림
합격한방 2020. 8. 20. 22:45삭제
4타이로드 정답
87. 표준 버킷용량(m3)으로 규격을 나타내는 건설기계는?
- ① 모터 그레이더
- ② 기중기
- ③ 지게차
- ④ 로더
12025. 2. 24. 17:13삭제
표준 버킷용량 - 로더
88. 쇄석기의 종류 중 임팩트 크러셔의 규격은?
- ① 시간당 쇄석능력 (ton/h)
- ② 시간당 이동거리(km/h)
- ③ 롤의 지름(mm)×길이(mm)
- ④ 쇄석 판의 폭(mm)×길이(mm)
등록된 댓글이 없습니다.
89. 아스팔트 피니셔의 각 부속장치에 대한 설명으로 틀린 것은?
- ① 리시빙 호퍼:운반된 혼합재(아스팔트)를 저장하는 용기이다.
- ② 피더:노면에 살포된 혼합재를 매끈하게 다듬는 판이다.
- ③ 스프레이팅 스쿠루:스크리드에 설치되어 혼합재를 균일하게 살포하는 장치이다.
- ④ 댐퍼:스크리드 앞쪽에 설치되어 노면에 살포된 혼합째를 요구되는 두께로 다져주는 장치이다.
엄준식2023. 5. 29. 08:52삭제
피더 : 불량부품 선별
90. 플랜트 배관설비에서 열응력이 주요 요인이 되는 경우의 파이프 래크상의 배관 배치에 관한 설명으로 틀린 것은?
- ① 루프형 신축 곡관을 많이 사용한다.
- ② 온도가 높은 배관일수록 내측(안쪽)에 배치한다.
- ③ 관 지름이 큰 것일수록 외측(바깥쪽)에 배치한다.
- ④ 루프형 신추 꼭관은 파이프 래크상의 다른 배관보다 높게 배치한다.
등록된 댓글이 없습니다.
91. 배관 지지장치인 브레이스에 대한 설명으로 적절하지 않은 것은?
- ① 방진 효과를 높이려면 스프링 정수를 낮춰야 한다.
- ② 진동을 억제하는데 사용되는 지지장치이다.
- ③ 완충기는 수격작용, 안전밸브의 반력 등의 충격을 완화하여 준다.
- ④ 유압식은 구조상 배관의 이동에 대하여 저항이 없고 방진효과도 크므로 규모가 큰 배관에 많이 사용한다.
엄준식2023. 5. 29. 08:54삭제
높여야한다
엄준상2022. 3. 4. 12:38삭제
틀림
92. 감압밸브 설치 시 주의사항으로 적절하지 않은 것은?
- ① 감압밸브는 수평배관에 수평으로 설치하여야 한다.
- ② 배관의 열응력이 직접 감압 밸브에 가해지지 않도록 전후 배관에 고정이나 지지를 한다.
- ③ 감압밸브에 드레인이 들어오지 않는 배관 또는 드레인 빼기를 행하여 설치해야 한다.
- ④ 감압밸브의 전후에 압력계를 설치하고 입구측에는 글로브 밸브를 설치한다.
등록된 댓글이 없습니다.
93. 물의 비중량이 9810N/m3이며, 500kPa의 압력이 작용할 때 압력수두는 약 몇 m인가?
- ① 1.962
- ② 19.62
- ③ 5.097
- ④ 50.97
등록된 댓글이 없습니다.
94. 빙점(0℃) 이하의 낮은 온도에 사용하며 저온에서도 인성이 감소되지 않아 각종 화학공업, LPG, LNG 탱크 배관에 적합한 배관용 강관은?
- ① 배관용 탄소강관
- ② 저온 배관용 강관
- ③ 압력배관용 강관
- ④ 고온배관용 강관
등록된 댓글이 없습니다.
95. KS 규격에 따른 고압 배관용 탄소강관의 기호로 옳은 것은?
- ① SPHL
- ② SPHT
- ③ SPPH
- ④ SPPS
김철새2022. 3. 4. 20:30삭제
SP'PH' ->Pressure High : 고압
SP'HT' ->Hot Temperature : 고온
96. 호브 식 나사절삭기에 대한 설명으로 적절하지 않은 것은?
- ① 나사절삭 전용 기계로서 호브를 저속으로 회전시키면서 나사절삭을 한다.
- ② 관은 어미나사와 척의 연결에 의해 1회전 할 때 마다 1피치 만큼 이동하여 나사가 절삭된다.
- ③ 이 기계에 호브와 파이프 커터를 함께 장착하면 관의 나살절삭과 절단을 동시에 할 수 있다.
- ④ 관의 절단, 나사절삭, 거스러미제거 등의 일을 연속적으로 할 수 있기 때문에 현장에서 가장 많이 사용한다.
핑꾸잉미2020. 8. 21. 22:30삭제
4.다이헤드식
97. 일반적으로 배관의 위치를 결정할 때 기능, 시공, 유지관리의 관점에서 적절하지 않은 것은?
- ① 급수배관은 아래쪽으로 배관해야 한다.
- ② 전기배선, 덕트 및 연도 등은 위쪽에 설치한다.
- ③ 자연중령식 배관은 배관구배를 엄격히 지켜야 하며 굽힘부를 적게 하여야 한다.
- ④ 파손 등에 의해 누수가 염려되는 배관에 위치는 위쪽으로 하는 것이 유지관리상 편리하다.
등록된 댓글이 없습니다.
98. 관 절단 후 관 단면의 안쪽에 생기는 거스러미(쇳밥)를 제거하는 공구는?
- ① 파이프 커터
- ② 파이프 리머
- ③ 파이프 렌치
- ④ 바이스
엄준식2023. 5. 29. 09:01삭제
쇳밥 : 리머
99. 배관의 부식 및 마모 등으로 작은 구멍이 생겨 유체가 누설될 경우에 다른 방법으로는 누설을 막기가 곤란할 때 사용하는 응급 조치법은?
- ① 하트태핑법
- ② 인젝션법
- ③ 박스 설치법
- ④ 스토핑 박스법
등록된 댓글이 없습니다.
100. 평면상의 변위 뿐 아니라 입체적인 변위까지 안전하게 흡수하므로 어떠한 형상에 의한 신축에도 배관이 안전하며 설치 공간이 적은 신축이음의 형태는?
- ① 슬리브형
- ② 벨로즈형
- ③ 스위블형
- ④ 볼조인트형
등록된 댓글이 없습니다.