건축설비기사(2020. 6. 6.) 시험일자 : 2020년 6월 6일
1과목 : 건축일반
1. 도서관 열람실의 계획 시 유의사항 중 옳지 않은 것은?
- ① 실내ㆍ외의 소음을 차단할 수 있어야 한다.
- ② 타실과의 연결을 원활히 하기 위하여 중앙위치에서 통로 역할을 해야 한다.
- ③ 서고 가까이에 위치하도록 한다.
- ④ 채광을 적당히 받도록 하기 위해서 남향이 유리하다.
등록된 댓글이 없습니다.
2. 리조트 호텔(Resort Hotel)의 입지 조건과 가장 거리가 먼 것은?
- ① 기후적인 쾌적도가 높을 것
- ② 조망 및 주변경관의 조건이 좋을 것
- ③ 중심 상업지와 매우 근접할 것
- ④ 관광지의 특성을 활용할 수 있는 위치일 것
등록된 댓글이 없습니다.
3. 백화점에 설치하는 에스컬레이터에 관한 설명으로 옳지 않은 것은?
- ① 대량의 인원을 짧은 시간에 수송할 수 있다.
- ② 손님을 기다리게 하지 않고 종업원이 없어도 된다.
- ③ 수송력에 비하여 점유 면적이 작다.
- ④ 지하층에는 설치가 불가하다.
등록된 댓글이 없습니다.
4. 종합병원 계획에 관한 설명으로 옳지 않은 것은?
- ① 수술실의 벽은 흰색으로 마감한다.
- ② 병동부가 가장 많은 면적을 차지하는 점을 감안하다.
- ③ 병원의 규모는 병상수를 기준으로 산정한다.
- ④ 간호사 대기소는 엘리베이터실에 인접하여 배치한다.
johns2023. 3. 6. 08:28삭제
수술실 계획
o 양여닫으로 하며 1.5m 폭
o 손잡이는 팔꿈치 조작식
o 자동문이며 내부를 볼수 있는 작은 구멍설치
o 정전에 대비하여 예비전원설비로 한다
o 실내벽 재료는 피의 보색인 녹색타일
o 대수술실 6mx6m, 소수술실 4.5mx4.5m
5. 학교 건축의 블록 플랜에서 클러스터형(cluster system)의 단점으로 옳지 않은 것은?
- ① 넓은 부지가 필요하다.
- ② 관리부의 동선이 길다.
- ③ 운영비가 많이 소요된다.
- ④ 전체 배치 계획에 융통성을 기대하기 어렵다.
등록된 댓글이 없습니다.
6. 신축 공동주택의 실내공기질 권고기준에 포함되지 않는 물질은?
- ① 벤젠
- ② 폼알데하이드
- ③ 오존
- ④ 스티렌
등록된 댓글이 없습니다.
7. 철근콘크리트구조에 관한 설명으로 옳지 않은 것은?
- ① 철근과 콘크리트의 열에 의한 선팽창계수는 거의 같다.
- ② 철근과 콘크리트의 부착력이 작다.
- ③ 내구성과 내화성이 크다.
- ④ 콘크리트는 철근이 녹스는 것을 방지한다.
ㄱ2025. 5. 16. 11:57삭제
부착력이크다
8. 상점건축에서의 측면판매에 관한 설명으로 옳은 것은?
- ① 판매원이 정위치를 정하기가 용이하다.
- ② 포장대를 가릴 수 있고 포장 등이 편리하다.
- ③ 양복, 침구, 전기기구, 서적, 운동용구점
- ④ 고객과 종업원이 쇼 케이스(show case)를 가운데 두고 상담하는 방식이다.
레오2026. 3. 22. 19:37삭제
상점의 측면판매
판매원이 고정된 자리에 있지 않고 고객의 측면/뒤에서 이동하며 상품을 설명하고 판매
고객이 상품을 직접 접촉하고 선택.
양복점, 서점, 침구류 매장 등에서 주로 활용
대면판매보다 진열 면적이 넓고 충동구매를 유도하기 유리한 특징
9. 주택의 침실계획에 관한 설명으로 옳은 것은?
- ① 어린이 침실은 가급적 북쪽에 위치하는 것이 좋다.
- ② 부부침실에서 침대는 창쪽에 머리를 두지 않도록 배치하는 것이 좋다.
- ③ 침실은 현관으로부터 가까이 있는 편이 좋다.
- ④ 침실의 출입문은 안여닫이로 하지 않는 것이 좋다.
등록된 댓글이 없습니다.
10. 원형 철근콘크리트 기둥에 나선철근의 역할과 가장 거리가 먼 것은?
- ① 기둥의 휨응력 보강
- ② 주근의 좌굴 방지
- ③ 콘크리트가 수평으로 터져나가는 것을 구속
- ④ 수평력에 의한 전단보강
등록된 댓글이 없습니다.
11. 열환경 지표 중 기온과 주벽의 복사열 및 기류의 영향을 조합시킨 지표로서, 습도의 영향이 고려되어 있지 않은 것은?
- ① 작용온도
- ② 등온지수
- ③ 유효온도
- ④ 합성온도
등록된 댓글이 없습니다.
12. 학교 교실의 음 환경에 관한 설명으로 옳지 않은 것은?
- ① 교실과 복도의 접촉면이 큰 평면이 소음을 막는데 유리하다.
- ② 소리를 잘 듣기 위해서는 적당한 잔향시간이 필요하다.
- ③ 운동장에서의 소음은 배치계획으로 이를 방지할 수 있다.
- ④ 교실의 천장 및 뒷벽의 다양한 마감재료에 따라 실내음향성능은 다르게 나타날 수 있다.
등록된 댓글이 없습니다.
13. 철골집합부 중 고력볼트 접합의 장점으로 거리가 먼 것은?
- ① 응력의 전달이 확실하다.
- ② 품질 검사가 용이하다.
- ③ 시공이 간편하다.
- ④ 강재의 양을 절약한다.
등록된 댓글이 없습니다.
14. 사무소의 공간계획에 있어서 바닥 면적이 큰 초고층 사무소에 가장 적합한 코어 형태는?
- ① 편심코어형
- ② 독립코어형
- ③ 중심코어형
- ④ 양단코어형
등록된 댓글이 없습니다.
15. 목구조 접합에 관한 설명으로 옳지 않은 것은?
- ① 이음과 맞춤은 응력이 작은 곳에서 한다.
- ② 이음과 맞춤은 공작이 간단한 것이 좋다.
- ③ 이음과 맞춤을 정확히 가공하여 서로 밀착되도록 한다.
- ④ 이음과 맞춤의 단면은 응력의 방향과 일치하도록 하여 응력을 균등하게 전달시킨다.
황경하2025. 2. 23. 04:48삭제
이음과 맞충의 단면은 응역의 방향에 직각이 되도록 한다
16. 열의 이동에 관한 설명으로 옳지 않은 것은?
- ① 유체를 사이에 두고 양쪽의 고체사이에 열이 이동하는 현상을 열관류라 한다.
- ② 복사는 열이 고온의 몸체표면으로부터 저온의 물체표면으로 공간을 통하여 전달되는 현상이다.
- ③ 열전도는 열에너지가 주로 고체 속을 고온부에서 저온부로 이동하는 현상이다.
- ④ 물체 내부 열전도로 전달되는 열량은 전열면적, 온도차, 시간에 비례한다.
등록된 댓글이 없습니다.
17. 건축의 생산수단으로서 사용되는 치수조정(modular coordination)의 장점이 아닌 것은?
- ① 설계 작업이 단순해진다.
- ② 공사기간을 단축할 수 있다.
- ③ 대량생산이 용이하여 생산비용이 절감된다.
- ④ 치수비가 황금비로 되어 다양한 형태의 설계가 가능하다.
등록된 댓글이 없습니다.
18. 아파트 건축의 각 평면형식에 관한 설명으로 옳지 않은 것은?
- ① 편복도형은 공용복도에 있어서는 프라이버스가 침해되기 쉽다.
- ② 집중형은 채광조건이 양호하며 각 세대의 환경조건이 균일하다.
- ③ 중복도형은 대지에 대해서 건물이용도가 높다.
- ④ 홀형은 통행과 프라이버시가 양호하다.
등록된 댓글이 없습니다.
19. 벽돌벽에서 발생하는 균열의 주용원인으로 볼 수 없는 것은?
- ① 벽돌 및 모르타르의 강도 부족
- ② 벽돌벽의 부분적 시공결함
- ③ 기초의 부동침하
- ④ 상하층 개구부의 동일선상 위치로 인한 하중집중
등록된 댓글이 없습니다.
20. 도서관의 출납시스템 중 열람자는 직접서가에 면하여 책의 체제나 표지 정도는 볼 수 있으나 내용을 보려면 관원에게 요구하여 대출기록을 남긴 후 열람하는 형식은?
- ① 자유개가식
- ② 안전개가식
- ③ 반개가식
- ④ 폐가식
등록된 댓글이 없습니다.
2과목 : 위생설비
21. 길이 50m, 내경 25mm인 직선 배관에 물이 2m/s의 속도로 흐르고 있다. 관마찰계수가 0.03일 때 마찰저항손실은?
- ① 12.24Pa
- ② 1224kPa
- ③ 120Pa
- ④ 120kPa
레오2026. 3. 23. 07:38삭제
손실수두를 압력단위로 환산
P = 비중량 X 손실수두 = 9.8 X 손실수두(m)= (kPa)
즉 손실수두 10m = 9.8 kPa
하리마우2025. 1. 17. 15:04삭제
(0.03*50*2^2)/(2*9.8*0.025)=12.24m=약120Kpa
(왜냐하면 10.332m=101.325Kpa)
kk2022. 2. 22. 11:28삭제
(0.03*50*2^2)/(2*0.025)
22. 통기관의 최소 관경에 관한 설명으로 옳지 않은 것은?
- ① 각개통기관은 그것이 접속되는 배수관 관경의 1/2 이상으로 한다.
- ② 결합통기관은 통기수직관과 배수수직관 중 작은 쪽의 관경 이상으로 한다.
- ③ 도피통기관은 배수수평지관의 관경 이상으로 하되 최소 75mm 이상으로 한다.
- ④ 루프통기관은 배수수평지관과 통기수직관 중 작은 쪽 관경의 1/2 이상으로 한다.
등록된 댓글이 없습니다.
23. 청소구에 관한 설명으로 옳지 않은 것은?
- ① 배수수평지관 및 배수수평주관의 기점에 설치한다.
- ② 배수의 흐름과 반대 또는 직각방향으로 열 수 있도록 설치한다.
- ③ 배수관이 45°를 넘는 각도에서 방향을 전환하는 개소에 설치한다.
- ④ 배수관경이 125mm 이면 직경이 125mm인 청소구를 설치하여야 한다.
시냇가2026. 1. 17. 07:24삭제
배수의 흐름방향이나 직각방향.
난다2025. 1. 14. 15:37삭제
엉터리해설
24. 급탕배관에 관한 설명으로 옳지 않은 것은?
- ① 급탕관의 최상부에는 공기빼기 장치를 설치한다.
- ② 중앙식 급탕설비는 원칙적으로 강제순환방식으로 한다.
- ③ 상향배관인 경우 급탕관은 하향구배, 반탕관은 상향구배로 한다.
- ④ 관의 신축을 고려하여 건물의 벽 관통부분의 배관에는 슬리브를 끼운다.
등록된 댓글이 없습니다.
25. 급탕배관 내에 흐르는 유체의 온도변화로 인하여 발생하는 관의 신축을 흡수할 목적으로 사용되는 신축이음쇠에 속하는 것은?
- ① 레듀서
- ② 소켓이음
- ③ 스트레이너
- ④ 스위블 조인트
등록된 댓글이 없습니다.
26. 급수관 내에 공기실(Air chamber)을 설치하는 이유는?
- ① 배관의 신축을 위해서
- ② 수압시험을 하기 위해서
- ③ 누출시험을 하기 위해서
- ④ 수격자용의 방지를 위해서
등록된 댓글이 없습니다.
27. 게이트 밸브(Gate valve)에 관한 설명으로 옳은 것은?
- ① 슬루스 밸브라도로 하며 유체의 흐름을 완전 개폐하는데 사용된다.
- ② 유체를 일정한 방향으로만 흐르고 하고 역류를 방지하는데 주로 사용된다.
- ③ 수평배관에만 사용되며 핸들을 90° 회전시키면 볼이 회전하여 완전 개폐가 가능하다.
- ④ 밸브를 완전히 열 경우 단면적이 갑자기 작아지므로 유체에 대한 마찰저항이 크다.
등록된 댓글이 없습니다.
28. 다음 중 통기관의 설치 목적과 가장 거리가 먼 것은?
- ① 배수계통내의 배수 및 공기의 흐름을 원활히 한다.
- ② 배수관 계통의 환기를 도모하여 관내를 청결하게 유지한다.
- ③ 사이폰 작용 및 배압에 의해서 트랩봉수가 파괴되는 것을 방지한다.
- ④ 배수트랩의 봉수부에 가해지는 압력과 배수관 내의 압력차를 크게 하여 배수작용을 돕는다.
건축3관용2025. 5. 20. 19:47삭제
정답은 4번 맞다.
12023. 3. 10. 11:41삭제
압력차를 작게하여 배수작용을 돕는다
12023. 2. 9. 11:25삭제
정답은 1번이다
29. 급수방식에 관한 설명으로 옳지 않은 것은?
- ① 수도직결방식은 급수압력이 일정하다.
- ② 펌프직송방식은 저수조의 수질관리가 필요하다.
- ③ 압력수조방식은 단수 시에 일정량의 급수가 가능하다.
- ④ 고가수조방식은 저수시간이 길어지면 수질이 나빠지기 쉽다.
등록된 댓글이 없습니다.
30. 매시간 15m3의 물을 고가수조에 공급하고자 할 때 양수펌프에 요구되는 축동력은? (단, 펌프의 전양정 33m, 펌프의 효율 45%)
- ① 1kW
- ② 1.5kW
- ③ 2kW
- ④ 3kW
황경하2025. 2. 23. 05:04삭제
(1000*(15/60)*33)/6120*0.45= 2.99kw
31. 종양식 급탕, 방법 중 간접가열식에 관한 설명으로 옳지 않은 것은?
- ① 대규모 급탕설비에 적합하다.
- ② 고압보일러를 설치하여야 한다.
- ③ 보일러를 난방설비와 겸용할 수 있다.
- ④ 저탕조에는 온도조절장치(thermostat)를 설치하여 온도를 조절한다.
등록된 댓글이 없습니다.
32. 고가수조방식의 건물에서 최상층에 세정밸브식 대변기가 설치되어 있다. 이 세정밸브의 사용을 위해 필요한 세정밸브로부터 고가수조 저수면까지의 최소 높이는? (단, 고가수조에서 세정밸브까지의 총 배관 길이는 15m이고, 마찰손실수두는 5mAq, 세정밸의 필요압력은 70kPa이다.)
- ① 약 5m
- ② 약 7m
- ③ 약 12m
- ④ 약 27m
등록된 댓글이 없습니다.
33. 레스토랑의 주방 등에서 배출되는 지방분 등이 배수관에 유입되는 것을 막기 위하여 사용되는 포집기는?
- ① 샌드 포집기
- ② 그리스 포집기
- ③ 가솔린 포집기
- ④ 플라스터 포집기
등록된 댓글이 없습니다.
34. 급배수설비의 기본 원칙으로 옳지 않은 것은?
- ① 우수는 공공하수도에 배수하지 않도록 한다.
- ② 상수의 급수계통은 크로스 커넥션이 되어서는 안된다.
- ③ 탱크 및 배수계통에는 통기관 등과 같은 적절 한 통기 조치를 한다.
- ④ 급수계통은 역류나 역사이펀 작용의 위험이 생기지 않도록 한다.
등록된 댓글이 없습니다.
35. 급탕배관방식 중 헤더방식에 관한 설명으로 옳지 않은 것은?
- ① 지관을 소구경의 배관으로 할 수 있다.
- ② 슬리브, 공법을 채용하면 배관의 교환이 용이하다.
- ③ 헤더로 부터의 지관 도중에 관이음 시공부가 많아야 한다.
- ④ 한 계통마다 관로의 보유수량이 적어 급탕 대기시간을 단축할 수 있다.
등록된 댓글이 없습니다.
36. 다음 중 고층건물에서 급수조닝을 하지 않을 경우 생길 수 있는 현상과 가장 거리가 먼 것은?
- ① 수격작용 발생
- ② 크로스 커넥션 발생
- ③ 물 흐르는 소리에 의한 소음 발생
- ④ 배관이나 기구에 큰 압력이 가해져 배관과 기구의 수명 단축
등록된 댓글이 없습니다.
37. 급탕탱크(저탕조)내에 1000L의 물을 10℃에서 80℃로 온도를 높였을 때 체적 증가량은? (단, 물의 밀도는 10℃에서는 0.99973kg/L, 80℃에서는 0.9718kg/L이다.)
- ① 29L
- ② 40L
- ③ 55L
- ④ 37L
레오2026. 3. 24. 08:43삭제
체적 증가율 = 비체적변화량/초기비체적 * 원래체적
허동수2024. 2. 2. 09:15삭제
28.20761606
38. 정화조에서 유입수의 BOD가 150mg/L, 유출수의 BOD가 60mg/L일 때, 이 정화조의 BOD 제거율은?
- ① 30%
- ② 45%
- ③ 60%
- ④ 90%
등록된 댓글이 없습니다.
39. 강관 이음류 중 부싱(Bushing)의 용도로 옳은 것은?
- ① 배관의 말단부
- ② 관을 분기할 때
- ③ 배관을 90℃로 구부릴 때
- ④ 구경이 다른 관을 접속하고자 할 때
등록된 댓글이 없습니다.
40. 위생기구의 재질 중 위생도기에 관한 설명으로 옳지 않은 것은?
- ① 흡수성이 크다.
- ② 강도가 커서 내구력이 있다.
- ③ 오물이 부착되기 어려우며, 청소가 용이하다.
- ④ 복잡한 구조의 것을 일체화 하여 제작할 수 있다.
ㅂ2025. 4. 21. 11:36삭제
흡수성이 작다
3과목 : 공기조화설비
41. 습공기의 엔탈피(enthalpy)를 설명한 것으로 옳은 것은?
- ① 습공기가 갖는 현열량
- ② 습공기가 갖는 현열량과 잠열량의 합계
- ③ 습공기가 갖는 현열량을 전열량으로 나눈 값
- ④ 습공기가 갖는 현열량을 현열량으로 나눈 값
등록된 댓글이 없습니다.
42. 덕트 내의 풍속이 20m/s, 정압이 200Pa일 경우 전압의 크기는? (단, 공기의 밀도는 1.2kg/m3)이다.)
- ① 212Pa
- ② 220Pa
- ③ 330Pa
- ④ 440Pa
대독2025. 7. 14. 21:32삭제
전압 = 0.5 x 밀도 x 속도2 + 정압
전압 = 0.5 x 1.2kg/m3 x (20m/s)2 + 200Pa
= 0.5 x 1.2kg/m3 x (400m2/s2) + 200Pa
= 240Pa + 200Pa
= 440Pa
43. 흡수식 냉동기의 구성요소 중 용액으로부터 냉매인 수증기와 흡수제인 LiBr로 분리시키는 작용을 하는 곳은?
- ① 증발기
- ② 응축기
- ③ 발생기
- ④ 흡수기
건축3관용2025. 5. 20. 20:11삭제
발생기 정답맞다
44. 다음 중 냉각수 배관재료로 가장 부적절한 것은?
- ① 동관
- ② 아연도강관
- ③ 스테인리스관
- ④ 경질염화비닐관
등록된 댓글이 없습니다.
45. 취출풍량 360m3/h, 취출구 풍속 3.5m/s 개구율 0.7인 취출구의 면적은?
- ① 0.03m2
- ② 0.04m2
- ③ 0.05m2
- ④ 0.06m2
레고원2024. 7. 4. 16:14삭제
취출풍량(m3/s) = 면적(m2) x 속도(m/s) x 개구율
면적 = 취출풍량 / 속도 x 개구율
취출풍량 360m3/h ÷ 3600 = 취출풍량 0.1m3/s
0.1 / 3.5 x 0.7 = 0.040816 (m²)
46. 보일러 주위 배관 중 하드포트 접속법에 관한 설명으로 옳은 것은?
- ① 배관이 온도변화에 의해 늘어나고 줄어드는 것을 흡수하기 위해 사용된다.
- ② 진공환수식에서 환수관보다 방열기가 낮은 위치에 있을 때 응축수를 끌어올리기 위해 사용된다.
- ③ 저압보일러에서 중력환수방식일 경우 환수관의 일부가 파손되었을 때 보일러수의 유실을 방지하기 위해 사용된다.
- ④ 열교환에 의해 생긴 응축수와 증기에 혼입되어 있는 공기를 배출하여 열교환기의 가열작용을 유지하기 위해 사용된다.
등록된 댓글이 없습니다.
47. 건구온도 26℃인 습공기 1000m3/h를 14℃로 냉각시키는데 필요한 열량은? (단, 현열만에 의한 냉각이며, 공기의 정압비열은 1.01kJ/kgㆍK, 공기의 밀도는 1.2kg/m3)이다.
- ① 약 2kW
- ② 약 3kW
- ③ 약 4kW
- ④ 약 5kW
허동수2024. 2. 5. 11:49삭제
1000㎥/hx12°Cx1.2kg/㎥x1.01kJ/kg.k=14,544kJ/h=4.04kW
48. 냉방부하 계산 시 인체로부터의 취득열량을 계산한다. 다음 공간 중 인체 1인으로부터의 취득열량이 상대적으로 가장 많은 장소는?
- ① 극장
- ② 은행
- ③ 사무소
- ④ 볼링장
등록된 댓글이 없습니다.
49. 다음 중 펌프운전에서 캐비테이션이 발생하기 쉬운 조건과 가장 거리가 먼 것은?
- ① 흡입 양정이 클 경우
- ② 유체의 온도가 높을 경우
- ③ 펌프가 흡입수면보다 위에 있을 경우
- ④ 흡입측 배관의 손실수두가 작을 경우
등록된 댓글이 없습니다.
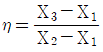
50. 그림과 같은 전열교환기의 전열효율(η)을 올바르게 나타낸 것은? (단, 난방의 경우이며, X1, X2, X3, X4는 각 공기상태의 엔탈피를 나타낸다.

- ①

- ②

- ③

- ④

등록된 댓글이 없습니다.
51. 공조기내에서 습공기가 다음 그림과 같이 상태 변화를 할 때 변화과정으로 옳은 것은?

- ① 혼합-예열-가습-재열
- ② 혼합-가습-가열-재열
- ③ 혼합-냉각-가열-가습
- ④ 혼합-혼합-가열-가습
등록된 댓글이 없습니다.
52. 다음 중 온도 조절식 증기트랩에 속하는 것은?
- ① 버킷 트랩
- ② 드럼 트랩
- ③ 플로트 트랩
- ④ 벨로즈 트랩
등록된 댓글이 없습니다.
53. 냉동기를 냉각목적으로 할 경우의 성적계수를 COPC, 가열목적 증, 히트 펌프로 사용 될 경우의 성적계수를 COPH라 할 때, 두 성적계수의 관계를 바르게 나타낸 것은?
- ① COPH+COPC=1
- ② COPH+1=COPC
- ③ COPH-COPC=1
- ④ COPC/COPH=1
등록된 댓글이 없습니다.
54. 빙축열 등을 이용하는 축열 시스템에 관한 설명으로 옳지 않은 것은?
- ① 열손실이 줄어든다.
- ② 운전비를 줄일 수 있다.
- ③ 심야전력을 이용할 수 있다.
- ④ 주간 파크 시간대에 전력부하를 절감할 수 있다.
등록된 댓글이 없습니다.
55. 냉방부하 중 일사에 의한 유리로부터의 취득 열량에 관한 설명으로 옳지 않은 것은?
- ① 현열로만 구성되어 있다.
- ② 유리창의 범위에 따라 다르다.
- ③ 유리창의 차폐계수가 클수록 취득열량은 크다.
- ④ 북쪽 창은 햇빛이 닿지 않으므로 일사에 의한 취득열량은 생기지 않는다.
등록된 댓글이 없습니다.
56. 취출기류의 속도분포와 관련하여 4단계의 영역으로 구분할 경우, 제2영역에 관한 설명으로 옳은 것은?
- ① 일명 천이구역이라고도 한다.
- ② 취출기류의 속도 변화가 없는 영역이다.
- ③ 취출거리의 대부분을 차지하며 취출구의 종류에 따라 특성이 현저하다.
- ④ 취출기류의 속도가 급격히 감소되어 혼합된 공기(1차공기+2차공기)까지도 주위로 환산되는 영역이다.
등록된 댓글이 없습니다.
57. 다음과 같은 조건에서 실내 CO2의 허용농도를 1000ppm으로 할 때, 필요 환기량은?

- ① 249.2m3/h
- ② 275.4m3/h
- ③ 307.7m3/h
- ④ 356B m3/h
등록된 댓글이 없습니다.
58. 습공기를 냉각하였을 경우 상태 변화 내용으로 올은 것은?
- ① 비체적은 감소한다.
- ② 엔탈피는 증가한다.
- ③ 건구온도는 변화없다.
- ④ 습구온는 높아진다.
레오2026. 3. 24. 15:43삭제
습공기를 냉각하면,
건조공기, 습공기의 비체적은 감소
수증기의 비체적은 증가
건구온도 , 습구온도 , 노점온도 저하
엔탈피는 감소
59. 건구온도 20℃ 절대습도 0.015kg/kg' 인 습공기 6kg의 엔탈피는? (단, 공기의 정압비열=1.01kJ/kgㆍK, 수증기 정압비열=1.85kJ/kgㆍK, 0℃에서 포화수의 증발잠열 2501kJ/kg)
- ① 58.24kJ
- ② 120.67kJ
- ③ 228.77kJ
- ④ 349.62kJ
등록된 댓글이 없습니다.
60. 증가난방에 관한 설명으로 옳은 것은?
- ① 온수난방에 비하여 열용량이 커 예열시간이 길게 소요된다.
- ② 온수난방에 비하여 부하변동에 따른 방열량 조절이 곤란하다.
- ③ 온수난방에 비하여 한랭지에서 운전정지 중에 동결의 위험이 크다.
- ④ 온수난방에 비하여 소요방열면적과 배관경이 크게 되므로 설비비가 높다.
등록된 댓글이 없습니다.
4과목 : 소방 및 전기설비
61. 3상 Y결선에서 선간전압이 200(V)인 3상 교류의 상전압은?
- ① 115(V)
- ② 346(V)
- ③ 453(V)
- ④ 600(V)
등록된 댓글이 없습니다.
62. 도선의 길이를 10배, 단면적을 5배로 하면 전기저항의 크기는 몇 배로 되는가?
- ① 1배
- ② 2배
- ③ 3배
- ④ 5배
등록된 댓글이 없습니다.
63. 다음 중 3상유도전동기의 회전속도를 증가시킬 수 있는 방법으로 가장 알맞은 것은?
- ① 극수를 증가시킨다.
- ② 슬립을 증가킨다.
- ③ 주파수를 증가킨다.
- ④ 기동법을 변화시킨다.
등록된 댓글이 없습니다.
64. 다음과 같은 조건에 서 가로 40m, 세로 40m인 사무실의 평균조도를 400(lx)로 하기 위해 필요한 형광등의 개수는?

- ① 240개
- ② 260개
- ③ 280개
- ④ 340개
kunyeahee2025. 6. 19. 21:53삭제
(40*30*400*1.7)/(4000*0.60)=340
Zorro2021. 9. 10. 22:50삭제
문) 가로 40 세로 30 인사무실
65. 스프링클러설비의 배관 중 스프링클러헤드가 설치되어 있는 배관을 의미하는 것은?
- ① 주배관
- ② 교차배관
- ③ 가지배관
- ④ 급수배관
등록된 댓글이 없습니다.
66. 보호계전기의 종류에 속하지 않는 것은?
- ① 방향 계전기
- ② 과전류 계전기
- ③ 부족 전압 계전기
- ④ 갭 저항형 계전기
등록된 댓글이 없습니다.
67. 교류의 크기를 표현하는데 사용되는 용어에 속하지 않는 것은?
- ① 평균값
- ② 실효값
- ③ 순시값
- ④ 정상값
등록된 댓글이 없습니다.
68. 직ㆍ병렬 전기회로에 관한 설명으로 옳지 않은 것은?
- ① 직렬회로에서는 각 저항에 흐르는 전류는 같다.
- ② 직렬회로에서 총저항은 접속되어 있는 모든 저항을 합한 것이다.
- ③ 저항의 병렬회로보다 저항의 직렬회로에서 전압강하가 적어진다.
- ④ 병렬회로에서 각 저항에서의 전압강하는 저항의 크기와 관계없이 모두 같다.
등록된 댓글이 없습니다.
69. 다음 중 정풍량 방식에서 냉난방 밸브의 제어기준이 되는 현재 실내의 온ㆍ습도를 측정하는 검출기의 설치 위치로 가장 적정한 것은?
- ① 외기측
- ② 급기측
- ③ 환기측
- ④ 혼합기측
등록된 댓글이 없습니다.
70. 다음은 옥외소화전설비의 옥외소화전함 설치에 관한 기준 내용이다. ()안에 알맞은 것은?

- ① 5m
- ② 10m
- ③ 15m
- ④ 20m
등록된 댓글이 없습니다.
71. 연결살수설비의 송수구에 관한 기준 내용으로 옳지 않은 것은?
- ① 송수구는 구경 32mm의 쌍구형으로 설치 하여야 한다.
- ② 지면으로부터 높이가 0.5m 이상 1.0m 이하의 위치에 설치하여야 한다.
- ③ 소방차가 쉽게 접근할 수 있고 노출된 장소에 설치하는 것이 원칙이다.
- ④ 개방형 헤드를 사용하는 송수구의 호스접걸 구는 각 송수구역마다 설치하는 것이 원칙이다.
등록된 댓글이 없습니다.
72. 스프링클러설비의 화재안전기준 상 다음과 같이 정의 되는 용어는?

- ① 조기반응형헤드
- ② 측벽형스프링클러헤드
- ③ 개방형스프링클러헤드
- ④ 폐쇄형스프링클러헤드
등록된 댓글이 없습니다.
73. 자동화재탐지설비의 수신기에 설치에 관한 설명으로 옳지 않은 것은?
- ① 수위실 등 상시 사람이 근무하는 장소에 설치하는 것이 원칙이다.
- ② 수신기의 조작스위치는 바닥으로부터 높이가 1.5m 이상 2.0 이하인 장소에 설치하여야 한다.
- ③ 수신기는 감지기ㆍ중계기 또는 발신기가 작동하는 경계구역을 표시할 수 있는 것으로 하여야 한다.
- ④ 수신기의 음향기구는 그 음량 및 음색이 다른 기기의 소음 등과 명확히 구별될 수 있는 것으로 하여야 한다.
등록된 댓글이 없습니다.
74. 금속관 배선공사에 관한 설명으로 옳지 않은 것은?
- ① 외부에 대한 고조파의 영향이 없다.
- ② 사용 목적에 따라 적합한 접지가 필요하다.
- ③ 외부적 응력에 대해 전선보호의 신뢰성이 높다.
- ④ 옥내의 습기가 많은 은폐장소에서는 사용이 불가능하다.
등록된 댓글이 없습니다.
75. 다음은 옥내소화전설비의 방수구에 관한 기준내용이다. ()안에 알맞은 것은?

- ① 10m
- ② 15m
- ③ 20m
- ④ 25m
등록된 댓글이 없습니다.
76. 건축화 조명방식 중 천장면에 유리, 플라스틱등과 같은 확산용 스크린판을 붙이고 천장 내부에 광원을 배치하여 천장을 건축화된 조명기구로 활용하는 방식은?
- ① 코브조명
- ② 밸런스조명
- ③ 광천장조명
- ④ 코니스조명
등록된 댓글이 없습니다.
77. 시퀀스(Sequence) 제어에 관한 설명으로 옳은 것은?
- ① 시퀀스 제어는 일명 피드백(Feedback) 제어라고도 한다.
- ② 시퀀스 제어계의 신호처리 방식은 유접점 방식만 있다.
- ③ 미리 정해진 순서에 따라 제어의 각 단계를 순차적으로 제어한다.
- ④ 시퀀스 제어 회로의 주전원과 조작전원은 반드시 동일해야 한다.
등록된 댓글이 없습니다.
78. 200(V), 1(kW)의 전열기를 100(V)의 전압으로 사용할 때 소비되는 전력(W)은?
- ① 100
- ② 200
- ③ 250
- ④ 500
등록된 댓글이 없습니다.
79. 정전용량이 C1, C2인 두 콘덴서를 직렬로 연결한 회로에 전압 V를 인가할 경우 C1에 걸리는 전압은?
- ① (C1+C2)V
- ②

- ③

- ④

등록된 댓글이 없습니다.
80. 변압기의 전부하 시의 2차 전압이 100(V), 무부하 시의 2차 전압이 102(V)이라면 전압 변동률은?
- ① 1.96%
- ② 2%
- ③ 2.04%
- ④ 4%
등록된 댓글이 없습니다.
5과목 : 건축설비관계법규
81. 건축법령상 리모델링이 쉬운 구조에 속하지 않는 것은? (단, 공동주택의 경우)
- ① 구조체에서 건축설비, 내부 마감재료 및 외부 마감재료를 분리할 수 있을 것
- ② 개별 세대 안에서 구획된 실의 크기, 개수 또는 위치 등을 변경할 수 있을 것
- ③ 각 층에 시공된 보, 기둥 등의 구조부재의 개수 또는 위치를 변경할 수 있을 것
- ④ 각 세대는 인접한 세대와 수직 또는 수평 방향으로 통합하거나 분할할 수 있을 것
등록된 댓글이 없습니다.
82. 건축물의 에너지절약 설계기준에서는 수영장에 자연채광을 위한 개구부 설치를 권장하고 있다. 다음 중 권장 개구부 면적의 합계에 관한 기준 내용으로 옳은 것은?
- ① 수영장 바닥면적의 5분의 1 이상
- ② 수영장 바닥면적의 7분의 1 이상
- ③ 수영장 바닥면적의 10분의 1 이상
- ④ 수영장 바닥면적의 20분의 1 이상
등록된 댓글이 없습니다.
83. 용도변경과 관련된 시설군 중 문화집회시설군에 속하는 건축물의 용도가 아닌 것은?
- ① 종교시설
- ② 수련시설
- ③ 위락시설
- ④ 관광휴게시설
등록된 댓글이 없습니다.
84. 같은 건축물 안에 공동주택과 위락시설을 함께 설치하고자 하는 경우, 공동주택의 출입구와 위락시설의 출입구는 서로 그 보행거리가 최소 얼마 이상이 되도록 설치하여야 하는가?
- ① 10m
- ② 20m
- ③ 30m
- ④ 50m
등록된 댓글이 없습니다.
85. 건축법령상 다음과 같이 정의되는 것은?

- ① 아파트
- ② 연립주택
- ③ 다세대주택
- ④ 다가구주택
대독2025. 7. 14. 22:21삭제
다세대주택 바닥면적 660, 4층 이하
다가구주택 바닥면적 660, 3층 이하
86. 다음은 초고층 건축물에 설치하는 피난안전구역에 관한 기준 니용이다. ()안에 알맞은 것은?

- ① 10
- ② 20
- ③ 30
- ④ 40
등록된 댓글이 없습니다.
87. 다음의 소방시설 중 경보설비에 속하지 않는 것은?
- ① 누전경보기
- ② 비상방송설비
- ③ 무선통신보조설비
- ④ 자동화재탐지설비
등록된 댓글이 없습니다.
88. 건축물에 설치하는 지하층의 구조 및 설비에 관한 기준 내용으로 옳지 않은 것은?
- ① 거실의 바닥면적의 합계가 1000m2 이상인 층에는 환기설비를 할 것
- ② 지하층의 바닥면적이 300m2 이상인 층에는 식수공급을 위한 급수전을 1개소 이상 설치할 것
- ③ 거실의 바닥면적이 30m2 이상인 층에는 직통 계단외에 피난층 또는 지상으로 통하는 비상 탈출구 및 환기통을 설치할 것
- ④ 바닥면적이 1000m2 이상인 층에는 피난층 또는 지상으로 봉하는 직통계단을 방화구획으로 구획되는 각 부분마다 1개소 이상 설치할 것
johnwoo2023. 9. 12. 14:09삭제
3) 바닥면적 50m^2
89. 상업지역 및 주거지역에서 건축물에 설치하는 냉방시설 및 환기시설의 배기구는 도로면으로부터 최소 얼마 이상의 높이에 설치하여야 하는가?
- ① 1m
- ② 1.5m
- ③ 1.8m
- ④ 2m
등록된 댓글이 없습니다.
90. 다음 중 건축물의 관람실 또는 집회실로서 그 바닥면적이 200m2 이상인 것의 반자의 높이를 4m 이상으로 하여야 하는 건축물은? (단, 기계 환기장치를 설치하지 않은 경우)
- ① 종교시설의 용도에 쓰이는 건축물
- ② 공동주택 중 아파트의 용도에 쓰이는 건축물
- ③ 문화 집 집회시설 중 전시장의 용도에 쓰이는 건축물
- ④ 문화 및 집회시설 중 동물원의 용도에 쓰이는 건축물
등록된 댓글이 없습니다.
91. 건축물에 급수ㆍ배수ㆍ환기ㆍ난방설비를 설치하는 경우, 건축기계설비기술사 또는 공조냉동 기곅기술사의 협력을 받아야 하는 대상 건축물에 속하지 않는 것은? (단, 연면적 10000m2 미만인 건축물의 경우)
- ① 아파트
- ② 업무시설로서 해당 용도에 사용되는 바닥면적의 합계가 2000m2인 건축물
- ③ 의료시설로서 해당 용도에 사용되는 바닥면적의 합계가 2000m2인 건축물
- ④ 숙박시설로서 해당 용도에 사용되는 바닥면적의 합계가 2000m2인 건축물
등록된 댓글이 없습니다.
92. 6층 이상의 거실면적의 합계가 11000m2인 교육연구시설에 설치하여야 하는 승용승강기의 최소 대수는? (단, 8인승 승용승강기인 경우)
- ① 3대
- ② 4대
- ③ 5대
- ④ 6대
ㄴ2025. 8. 10. 13:58삭제
공동주택 1+(11000-3000)/3000
공연장 2+(11000-3000)/2000
문화,집회 1+(11000-3000)/2000
kk2022. 2. 22. 13:49삭제
1+(11000-3000)/3000
93. 특정소방대상물이 판매시설인 경우, 모든 층에 스프링클러설비를 설치하여야 하는 수용인원 기준은?
- ① 100명 이상
- ② 200명 이상
- ③ 500명 이상
- ④ 1000명 이상
등록된 댓글이 없습니다.
94. 다음 중 다중이용건축물에 속하지 않는 것은? (단, 16층 미만인 건축물)
- ① 종교시설로 쓰는 바닥면적의 합계가 50000m2이상인 건축물
- ② 판매시설로 쓰는 바닥면적의 합계가 50000m2이상인 건축물
- ③ 업무시설로 쓰는 바닥면적의 합계가 50000m2이상인 건축물
- ④ 의료시설 중 종합병원으로 쓰는 바닥면적의 합계가 50000m2이상인 건축물
등록된 댓글이 없습니다.
95. 화재안전기준에 따라 소화기구를 설치하여야 하는 특정소방대상물의 연면적 기준은?
- ① 10m2 이상
- ② 25m2 이상
- ③ 33m2 이상
- ④ 45m2 이상
등록된 댓글이 없습니다.
96. 다음은 건축물의 에너지절약 설계기준에 따른 용어의 정의이다. ()안에 알맞은 것은?

- ① 50%
- ② 60%
- ③ 70%
- ④ 80%
등록된 댓글이 없습니다.
97. 건축물의 출입구에 설치하는 회전문은 계단이나 에스컬레이터로부터 최소 얼마 이상의 거리를 두어야 하는가?
- ① 1m
- ② 2m
- ③ 3m
- ④ 4m
등록된 댓글이 없습니다.
98. 연면적 200m2를 초과하는 공동주택에 설치하는 복도의 유효너비는 최소 얼마 이상으로 하여야 하는가? (단, 양옆에 거실이 있는 복도의 경우)
- ① 1.2m
- ② 1.6m
- ③ 1.8m
- ④ 2.4m
등록된 댓글이 없습니다.
99. 건축허가 시 미리 소방본부장 또는 소방서장의 동의를 받아야 하는 건축물의 연면적 기준은? (단, 건축물이 노유자시설인 경우)
- ① 100m2 이상
- ② 200m2 이상
- ③ 300m2 이상
- ④ 400m2 이상
등록된 댓글이 없습니다.
100. 건축물의 옥상에 헬리포트를 설치하거나 헬리콥터를 통하여 인명 등을 구조할 수 있는 공간을 확보하여야 하는 대상 건축물 기준으로 옳은 것은? (단, 층수가 11층 이상인 건축물로서 건축물의 지붕을 평지붕으로 하는 경우)
- ① 11층 이상인 층의 바닥면적의 합계가 3000m2이상인 건축물
- ② 11층 이상인 층의 바닥면적의 합계가 5000m2이상인 건축물
- ③ 11층 이상인 층의 바닥면적의 합계가 8000m2이상인 건축물
- ④ 11층 이상인 층의 바닥면적의 합계가 10000m2이상인 건축물
등록된 댓글이 없습니다.