화약류관리기사(2019. 9. 21.) 시험일자 : 2019년 9월 21일
1과목 : 일반화약학
1. 화약의 맹도를 측정하는 시험은?
- ① 드트리쉬법
- ② 메테강법
- ③ 이온갭법
- ④ 캐스트법
등록된 댓글이 없습니다.
2. 화약의 특성에 대한 설명으로 옳은 것은?
- ① 무연화약은 질산염을 주성분으로 한 화약이다.
- ② 흑색화약은 과염소산염을 주성분으로 한 화약이다.
- ③ 카알릿트는 혼합화약이다.
- ④ 화합화약류는 가연체와 조연제가 혼합된 혼합물이다.
등록된 댓글이 없습니다.
3. 콤포지션 A, B, C에 공통적으로 들어가는 화약은?
- ① 헥소겐
- ② 펜트리트
- ③ 티엔티
- ④ 테트릴
화약2021. 7. 19. 14:07삭제
A : RDX + WAX
B : RDX + TNT + WAX
C : RDX + 가소제
4. 화약휴의 동적(파괴)효과를 측정하는 시험방법은?
- ① 연주시험
- ② 내화시험
- ③ 기폭감도시험
- ④ Hess 맹도시험
등록된 댓글이 없습니다.
5. 붉은 불꽃을 발생하므로 위험신호를 알리는데 사용하는 신호염관(Fire signal)의 주성분은?
- ① 과염소산암모늄+질산바륨
- ② 염소산암모늄+알루미늄
- ③ 과염소산암모늄+질산스트론튬
- ④ 질산암모늄+질산바륨
등록된 댓글이 없습니다.
6. 다음 중 단위 kg당 폭발열이 큰 것부터 작은 것 순서로 나열된 것은? (단, RDX는 헥소겐, Ng는 니트로클리콜, NG는 니트로글리세린, TNT는 트리니트로톨루엔이다.)
- ① Ng>NG>RDX>TNT
- ② Ng>RDX>NG>TNT
- ③ TNT>RDX>NG>Ng
- ④ TNT>RDX>Ng>NG
화약2021. 7. 19. 14:10삭제
Ng 1700 > NG 1500 > RDX 1300 > 테트릴 1120 > TNT 1000
7. 다음 화약류시험 주 감도 시험을 옳게 나열한 것은?

- ① A, B, C
- ② B, D, F
- ③ D, E, H
- ④ D, G, H
등록된 댓글이 없습니다.
8. 색, 맛, 냄새가 없고 미세한 분말로 아세톤에 녹는 화약은?
- ① TNT
- ② Picric Acid
- ③ Tetryl
- ④ RDX
화약2021. 7. 19. 14:12삭제
TNT : 무색 OR 담황색/아세톤에 녹음
PA : 공업용은 황색,약간 맛을 냄/ 물에는 비교적 잘 녹고 알코올, 에테르, 벤젠에도 녹음
테트릴 : 담황색/ 아세톤에 녹음
RDX : 무색/ 분말/ 아세톤에 녹음
9. 기폭약으로 사용되는 아지화납의 결정구조는?
- ① α형
- ② β형
- ③ γ형
- ④ δ형
화약2021. 7. 19. 14:13삭제
알파형(비중 4.71) 기폭약으로 사용
베타형(비중 4.93) 결정 크고 마찰 등에 민감하므로 이용x
10. 다음에서 설명하는 폭약은 무엇인가?

- ① 에멜젼폭약
- ② 암모날폭약
- ③ 초안유제폭약
- ④ 이온교환폭약
등록된 댓글이 없습니다.
11. 순폭도에 대한 설명 중 틀린 것은?
- ① 약포경이 굵어지면 순폭도가 크게 된다.
- ② 일반적으로 수중 순폭도가 공기 중 보다 크다.
- ③ 온도가 상승하면 순폭도가 커지는 경향이 있다.
- ④ 약포 사이에 암분이 존재하면 순폭도가 크게 된다.
등록된 댓글이 없습니다.
12. 화약류에 대한 설명으로 틀린 것은?
- ① 슬러리 폭약은 질산암모늄과 물을 주성분으로 하고 가연성물질을 배합한다.
- ② ANFO 폭약은 흡습성이 있어 수공에서는 사용하기 어렵다.
- ③ 헥소겐은 제조 시 헥사메틸렌테트라민을 황산으로 황산화하여 제조한다.
- ④ 화약류에는 동적작용과 정적작용이 있다.
화약2021. 7. 19. 14:17삭제
RDX: 헥사메틸렌테트라민을 질산으로 초화하여 제조한다
13. 흑색화약의 제조 원료가 아닌 것은?
- ① 목탄
- ② 황
- ③ 셀룰로오스
- ④ 질산칼륨
등록된 댓글이 없습니다.
14. 한국산업표준(KS)에서 정한 도화선 품질시험항목이 아닌 것은?
- ① 점화력
- ② 내수성
- ③ 연소초시
- ④ 발화점
등록된 댓글이 없습니다.
15. 니트로글리세린 1kg이 폭발할 때 발생하는 가스의 부피는 표준상태를 기준으로 몇 L인가?
- ① 615L
- ② 715L
- ③ 815L
- ④ 915L
화약2021. 7. 19. 14:50삭제
<폭발반응식>
C3H5(ONO2)3 -> 3CO2 +2.5H2O + 1.5N2 + 0.25O2
(1000/227)mol×7.25×22.4L/mol =715L
16. 폭굉(暴轟)과 폭연(爆練)의 연소속도 관계를 옳게 나타낸 것은?
- ① 폭굉+폭연=0
- ② 폭굉=폭연
- ③ 폭굉<폭연
- ④ 폭굉>폭연
등록된 댓글이 없습니다.
17. 질산암모늄을 주성분으로 한 ANFO 폭약의 단점은?
- ① 제조방법이 매우 복잡하다.
- ② 전폭약이 필요하다.
- ③ 발파현장에서 제조ㆍ사용할 수 없다.
- ④ 마찰이나 충격에 대한 감도가 민감하다.
등록된 댓글이 없습니다.
18. 뇌관의 기폭약으로 사용되는 화약은?
- ① RDX
- ② PETN
- ③ Tetryl
- ④ DDNP
등록된 댓글이 없습니다.
19. TNT 1g이 폭발할 때 산소 평형은 몇 g인가?
- ① -0.74
- ② +0.20
- ③ -0.22
- ④ +0.39
등록된 댓글이 없습니다.
20. 다음 중 일반적으로 도폭선의 심약으로 사용하지 않는 화약은?
- ① 펀트라이트(PETN)
- ② 헥소겐(RDX)
- ③ 티엔티(TNT)
- ④ 흑색화약(BP)
등록된 댓글이 없습니다.
2과목 : 발파공학
21. 발파 후 잔류약의 발생 원인으로 성격이 나머지와 다른 것은?
- ① 뇌관위치의 부적절
- ② 분말계 폭약의 비중 과대
- ③ 장기저장에 의한 폭약의 변질
- ④ 흡습에 의한 폭약의 고체화 및 동결
등록된 댓글이 없습니다.
22. 다음 중 전색물의 조건으로 옳지 않은 것은?
- ① 구입 및 운반이 쉬운 재료
- ② 공벽과의 마찰이 작은 재료
- ③ 폭약의 기폭 시 연소되지 않는 재료
- ④ 압축률이 작지 않아서 단단히 다져질 수 있는 재료
등록된 댓글이 없습니다.
23. 터널 대구경 평형 심발발파 시 무장약공 4공을 사용할 경우 환산직경은? (단, 무장약공의 지름은 102mm이다.)
- ① 204mm
- ② 255mm
- ③ 400mm
- ④ 408mm
등록된 댓글이 없습니다.
24. 옥타브랜드의 중심주파수가 500Hz, 1000Hz, 2000Hz일 때의 청력손실이 각각 40dB, 30dB, 40dB 이라면 평균청력손실은 얼마인가?
- ① 35dB
- ② 37.5dB
- ③ 38.3dB
- ④ 40dB
루꼬꼬2025. 6. 24. 14:27삭제
a+2b+c/4
25. 최소저항선을 2m로 하여 시험발파를 수행한 결과 표준장약량이 4kg이었다. 같은 장소에서 최소저항성은 3m로 변경할 경우 장약량은 얼마인가? (단, Lares의 발파규모 수정식을 사용할 것)
- ① 5.6kg
- ② 7.5kg
- ③ 9.6kg
- ④ 11.5kg
등록된 댓글이 없습니다.
26. 균질한 암석의 내부에 구상의 장약실을 만들고, 이것을 폭발시켰다고 가정한다면 암석내부의 파괴상황은 약실로부터 분쇄-소괴-대괴-균열-진동층으로 위력권을 분류할 수 있다. 이러한 위력권의 범위를 결정하는 요소 중 가장 거리가 먼 것은?
- ① 사용하는 폭약의 종류와 장악량
- ② 피폭파물의 성질과 조직
- ③ 주벽을 구성하는 물질의 파괴항력
- ④ 지발시차
등록된 댓글이 없습니다.
27. 균질한 발파암반 경계면을 매끄럽게 하기 위하여 마무리 발파(trim blasting)를 실시하려한다. 단위 길이당 장악량 168.75g/m를 사용할 경우 적정한 저항선은 얼마인가?
- ① 93.6cm
- ② 86.3cm
- ③ 72.2cm
- ④ 65.2cm
루꼬꼬2025. 6. 24. 14:53삭제
L=d²/0.12  S=16d B=1.3S
28. Hauser의 발파 기본식에 대한 설명으로 옳은 것은?
- ① 발파계수는 암석의 성질, 장전방법, 폭약종류, 전색상태에 따라 결정된다.
- ② 발파계수 C의 값은 누두공의 크기와 형상과는 관계가 없다.
- ③ 원뿔모양인 누두공의 부피 V는 최소저항선을 W라고 할 때 V3=W3이 된다.
- ④ 표준발파의 장악량은 누두공의 부피의 세제곱에 비례한다.
등록된 댓글이 없습니다.
29. 발파진동 측정방법에 대한 설명으로 옳지 않은 것은? (단, 소음ㆍ진동 공정시험기준에 의한다.)
- ① 진동픽업(pick-up)의 설치장소는 옥내지표를 원칙으로 하고 복잡한 반사, 회절현상이 예상되는 지점은 피한다.
- ② 진동픽업은 수직방향 진동레벨을 측정할 수 있도록 설치한다.
- ③ 측장점은 부지경계선 중 피해가 예상되는 장소로서 진동레벨이 높을 것으로 예상되고 지점을 택하여야 한다.
- ④ 측정진동레벨은 발파진동이 지속되는 기간 동안에 측정하고, 배경진동레벨은 발파진동이 없을 때 측정하여야 한다.
등록된 댓글이 없습니다.
30. 지연 시차에 따른 발파 방법의 설명으로 옳지 않은 것은?
- ① 비산의 우려가 있는 지역에서는 시차가 짧은 MS 발파법이 적당하다.
- ② 제발발파를 하게 되면 공들이 서로 보강작용을 하게 되어 발파 함량이 많아진다.
- ③ MS 발파법은 인접 발파공을 압괴하거나 발파선을 단선시키는 일이 드믈다.
- ④ MS 발파법은 분진의 발생량이 적다.
등록된 댓글이 없습니다.
31. 황경부에서 정한 생활소음ㆍ진동의 규제 기준에 의하면 주거지역일 때 공사장에서 발생하는 소음은 아침시간(05:00~07:00)에 얼마로 제한되어 있는가? (단, 공휴일은 제외한다.)
- ① 50dB(A) 이하
- ② 60dB(A) 이하
- ③ 65dB(A) 이하
- ④ 70dB(A) 이하
등록된 댓글이 없습니다.
32. 다음 폭약 중 폭약계수(e) 값이 가장 적은 것은?
- ① ANFO
- ② 흑색화약
- ③ 초안포약
- ④ 젤라틴 다이너마이트
등록된 댓글이 없습니다.
33. 터널발파 시 사용되는 경사공 심빼기와 평행공 심빼기에 대한 설명으로 옳지 않은 것은?
- ① 경사공 심빼기는 터널 단면이 크지 않고, 장공 천공을 위한 장비 투입이 어려운 경우에 많이 사용된다.
- ② 경사공 심빼기의 경우 장악량이 많거나 폭약의 위력이 너무 강하면 파쇄된 암석이 막장면으로 밀려나오지 않고 소결현상을 일으켜 발파를 실패할 수 있다.
- ③ 평행공 심빼기는 장공 천공이 가능하며 1회 굴진 거리를 경사공 심빼기보다 크게 할 수 있다.
- ④ 평행공 심빼기의 경우 파석의 비산거리가 비교적 작고 막장 부근에 집중되므로 파석처리 편리하다.
등록된 댓글이 없습니다.
34. 발파에 의한 파괴에 대한 설명으로 틀린 것은?
- ① 누두공의 모양과 크기는 암반의 종류와 폭약의 위력 및 메지의 정도에 따라 달라진다.
- ② 자유면의 쪽은 저항이 크므로 발파효과는 자유면의 수에 따라 증가한다.
- ③ 표준 발파의 장악량은 누두공의 부피에 비례한다.
- ④ 암석계수(g)는 암석 약 1m3를 발파할 때 필요로 하는 표준 장악량이다.
등록된 댓글이 없습니다.
35. 발파현장에서 암반 천공작업에 의해 발생되는 음향파워레벨이 130dB이다. 수음점이 천공작업을 실시하는 장소에 완전히 노출되어 있으면 평지이다. 음원에서 50m 이격된 거리에 있는 수음점에서의 음압레벨은? (단, 음원은 점음원이며, 반구면파로 간주한다.)
- ① 53.94dB
- ② 63.94dB
- ③ 73.94dB
- ④ 88.02dB
루꼬꼬2025. 6. 24. 15:21삭제
음압레벨=음향파워레벨-20log거리-8
36. 측벽효과(Channel effect)에 대한 설명으로 옳지 않은 것은?
- ① 천공경을 통해 충격파가 선행되어 공저의 폭약을 강압함으로써 발생한다.
- ② 공저의 폭약은 고비중이 되고 사압현상이 발생하여 잔류약이 남는 현상이다.
- ③ 고성능(고폭속) 폭약의 사용 시에 특히 현저하게 발생한다.
- ④ 방지대책으로는 공격과 약경의 차이를 줄이고 밀장전을 실시한다.
등록된 댓글이 없습니다.
37. 심발발파법 중 V-cut 청공 씨 천공장이 1.5m 일 때 기저장약장은 일반적으로 얼마인가?
- ① 30cm
- ② 50cm
- ③ 80cm
- ④ 100cm
루꼬꼬2025. 6. 24. 15:30삭제
1/3xH
38. 계단식 발파 시 백브레이크(Back Break)를 줄이기 위한 방법으로 틀린 것은? (단, w는 최소저항선이다.)
- ① 막장을 수직으로 하지 않고 경사를 둔다.
- ② 천공간격을 0.8w~1.0w 정도로 약간 좁게 한다.
- ③ 전색의 길이는 1.0w~1.5w 정도로 하며, 지나치게 길게 하지 않는 것이 좋다.
- ④ 전회 발파의 파쇄암을 벤치 하부에 일부 두는 것이 좋다.
등록된 댓글이 없습니다.
39. 구조물 발파해체를 하고자 한다. 기둥의 수평단면적이 500×500mm일 때 기둥 내 1공에 대한 장약향은 얼마인가? (단, 발파계수는 0.2kg/m2이다.)
- ① 40g
- ② 50g
- ③ 60g
- ④ 70g
루꼬꼬2025. 6. 24. 15:33삭제
CxA
40. 뇌관에 의한 폭약의 기폭작용에 해당하지 않는 것은?
- ① 관체 파편에 의한 작용
- ② 뇌관 폭발시에 가스 충동에 의한 작용
- ③ 백금전교의 발화에 사용되는 전기에 의한 작용
- ④ 폭발열이 폭약에 직접 전달되어 폭약을 가열하는 작용
등록된 댓글이 없습니다.
3과목 : 암석역학
41. 소성변형률이 증가함에 따라 항복응력이 커지는 현상은 무엇인가?
- ① 다일러턴시(dilatancy)
- ② 변형률경화(strain-hardening)
- ③ 변형률연화(strain-softening)
- ④ 탄소성거동(elasto-plastic behavior)
등록된 댓글이 없습니다.
42. 터널설계와 관련하여 불연속면의 주향과 터널의 굴진방향이 다음 중 어떤 경우일 때 굴착작업의 안정성에 가장 유리한가?
- ① 불연속면의 주향이 터널의 굴진방향과 평행하고, 경사각도가 낮을 때
- ② 불연속면의 주향이 터널의 굴진방향과 평행하고, 경사각도가 높을 때
- ③ 불연속면의 주향이 터널의 굴진방향과 수직하고, 경사방향으로 굴착할 때
- ④ 불연속면의 주향이 터널의 굴진방향과 수직하고, 경사의 반대 방향으로 굴착할 때
등록된 댓글이 없습니다.
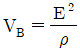
43. 가늘고 긴 봉을 통과하는 종파는 측면방향으로 움직임이 자유스럽기 때문에 영률 E와 암석이 밀도 ρ만으로 나타낸다. 이 종파속도 VB(bar velocity)의 식을 올바르게 나타낸 것은?
- ①  
- ②  
- ③  
- ④  
등록된 댓글이 없습니다.
44. Creep시험에서 변형률속도가 일정한 구간에 해당하는 것은?
- ① 1차 Creep
- ② 2차 Creep
- ③ 3차 Creep
- ④ 4차 Creep
등록된 댓글이 없습니다.
45. 일축압축시험 시험편 양끝단과 가압판과의 사이에 발생하는 마찰효과(end effect)에 대한 설명으로 틀린 것은?
- ① 마찰효과에 의해 시험편 양끝단에는 전단응력이 발생한다.
- ② 시험편 내 마찰효과가 작용하는 부분이 상대적으로 클수록 강도는 감소한다.
- ③ 마찰효과로 인해 시험편 양끝단에 가해지는 압축응력은 주응력이 아니다.
- ④ 마찰효과의 영향을 감소시키기 위해서는 시험편의 길이/직경의 비가 최소한 2 이상 되어야 한다.
등록된 댓글이 없습니다.
46. 45°의 경사면을 갖는 암반사면에서 바닥으로부터 수직으로 30m 높이에서 낙석이 발생하였다. 이 때 낙석의 질량이 400kg이라 할 때, 최종적인 낙석에너지(kJ)는? (단, 중력가속도(g)는 9.8m/s2, 낙석의 등가마찰계수(μ)sms 0.05, 회전에너지계수(β)는 0.1이다.)
- ① 23KJ
- ② 123KJ
- ③ 223KJ
- ④ 323KJ
등록된 댓글이 없습니다.
47. 암반내부에 축적되는 탄성변형률 에너지가 일시에 방출되면서 굴착된 갱도가 붕괴되는 현상과 관계가 없는 것은?
- ① 화성암이 퇴적암보다 발생빈도가 크다.
- ② 조립질 암석이 세립질 암석보다 발생빈도가 크다.
- ③ 방출되는 에너지가 클수록 발생빈도는 증가한다.
- ④ 암석의 강도가 크고 취성이 클수록 발생빈도는 증가한다.
등록된 댓글이 없습니다.
48. 슈미트 해머(Schmidt hammer)의 반발치와 가장 관련이 깊은 암석의 특성은?
- ① 압축강도
- ② 탄성계수
- ③ 균열정도
- ④ 반발점착력
등록된 댓글이 없습니다.
49. 터널설계와 관련한 현장시험 중에서 현지암반에 작용하는 초기응력을 측정하는 시험법은?
- ① 투수시험
- ② 점하중시험
- ③ 수압파쇄시험
- ④ 공내재하시험
등록된 댓글이 없습니다.
50. 어느 교각 기초가 높은 하부 암반은 몬모릴로나이트 성분의 점토가 관입된 불연속면이 발달해 있다. 시간 경과 후 지하수가 기초 암반에 침투하였을 경우 발생 가능한 암반 거동은?
- ① 점토의 팽창(Swelling)
- ② 점토의 압착(Squeezing)
- ③ 절리의 피로파괴(Fatigue Failure)
- ④ 항복 후 강도 증가(Strain Hardening)
등록된 댓글이 없습니다.
51. 다음 불연속면의 특성 중 암반과 불연속면의 투수성에 가장 큰 영향을 미치는 것은?
- ① 간극
- ② 방향성
- ③ 거칠기
- ④ 벽면강도
등록된 댓글이 없습니다.
52. 평면응력(plane stree)상태에서 σx=30MPa, σy=10MPa일 때, 변형률 ϵy는? (단, 영률(E)은 2×104MPa, 푸아송 비(v)는 0.25이다.)
- ① 1.25×10-4
- ② 1.77×10-4
- ③ 2.43×10-4
- ④ 2.85×10-4
등록된 댓글이 없습니다.
53. 다음 중 암반의 변형성을 측정하기 위해 실시하는 시험은?
- ① 수압파쇄시험
- ② 압열인장시험
- ③ 루전(Lugeon)시험
- ④ 보어홀 잭(borehole jack)시험
등록된 댓글이 없습니다.
54. 삼축압축시험에서 구속압(Confining pressure)의 증가에 따른 암석 시험편의 변형거동에 대한 설명으로 틀린 것은?
- ① 최대강도가 증가한다.
- ② 변형률 연화현상(strain-softening)이 나타난다.
- ③ 취성거동에서 연성거동으로 전이현상이 발생한다.
- ④ 최대강도 이후의 급격한 파괴가 감소한다.
등록된 댓글이 없습니다.
55. 복합체의 역학적 모형 중 대시포트(dashpot)를 포함하지 않는 것은?
- ① Kelvin 물체
- ② Burgers 물체
- ③ Maxwell 물체
- ④ St. Venant 물체
등록된 댓글이 없습니다.
56. 다음 중 중간주응력을 고려한 암석 파괴이론은?
- ① Tresca 이론
- ② von Mises 이론
- ③ Hoek-Broen 이론
- ④ Mohr-Coulomb 이론
등록된 댓글이 없습니다.
57. 암석 내에 포함된 균열이 전파되기 쉬운 정도를 표현하는 값은?
- ① 균열계수
- ② 파괴인성
- ③ 응력확대계수
- ④ 변형률 에너지
등록된 댓글이 없습니다.
58. Barton의 경험적 전단강도식에서 절리면의 거칠기 특성을 반영하는 상수는?
- ① JCS
- ② JRC
- ③ 전단강성(ks)
- ④ 기본마찰각(øb)
등록된 댓글이 없습니다.
59. 60°스트레인 로제트(strain rosette)를 사용하여 변형률을 측정한 결과 ϵ(θ=0°)=ϵ1=a, ϵ(θ=60°)=ϵ2=2a, ϵ(θ=120°)=ϵ3=3a이다. ϵ1의 방향이 x축 방향과 같을 때, x축에 수직인 y축 방향의 변형률을 2차원 변형해석으로 구하면 얼마인가?
- ① a
- ② -a
- ③ 2a
- ④ 3a
등록된 댓글이 없습니다.
60. Q-system의 평가요소에 대하여 아래 표와 같은 결과를 얻었다. RMR과 Q의 관계식을 이용하여 구한 RMR값은? (단, RMR과 Q의 관계식은 Bieniawski(1976)의 제안식을 이용한다.)

- ① 43.5
- ② 53.0
- ③ 63.5
- ④ 85.2
화약2021. 8. 16. 12:47삭제
RMR=9 ln Q + 44
아무개22021. 3. 5. 15:44삭제
Ja = 2
Jr = 1.5
아무개2021. 2. 22. 15:05삭제
Jr값이 없어요
4과목 : 화약류 안전관리 관계 법규
61. 화약류저장소에 저장중인 다이나마니트에서 니트로글리세린이 스며나와 마루바닥이 오염된 경우의 처리 방법으로 가장 옳은 것은?
- ① 증류수 200밀리리터에 염화나트륨 200그램을 녹이고, 알코올 1리터를 혼합한 액체로 니트로글리세린을 분해시키고, 마른걸레로 닦아낸다.
- ② 증류수 200밀리리터에 수산화나트륨 50그램을 녹이고, 글리세린 1리터를 혼합한 액체로 니트로글리세린을 분해시키고, 마른걸레로 닦아낸다.
- ③ 물 150밀리리터에 염화나트륨 100그램을 녹이고, 알코올 1리터를 혼합한 액체로 니트로글리세린을 분해시키고, 마른걸레로 닦아낸다.
- ④ 물 150밀리리터에 수산화나트륨 100그램을 녹이고, 알코올 1리터를 혼합한 액체로 니트로글리세린을 분해시키고, 마른걸레로 닦아낸다.
등록된 댓글이 없습니다.
62. 도목업자가 사업을 위해 화약류저장소 외의 장소에 저장할 수 있는 화약류의 수량으로 옳은 것은? (단, 화약류저장소가 있으며, 6개월 이내에 종료하는 사업의 경우)
- ① 공업용뇌관 및 전기뇌관 1000개
- ② 폭약 5kg
- ③ 화약 10kg
- ④ 도폭선 100m
풀이요정2021. 7. 10. 00:27삭제
화약 5kg
폭약 3kg
공뇌, 전뇌 100개
도폭선  100m
도화선 1000m
전기도화선 2000m
타전총용공포탄 80000개
미진동파쇄기 40개
63. 다음은 화약류의 취급에 관한 사항이다. ()안에 알맞은 내용은 무엇인가?

- ① 1
- ② 0.1
- ③ 0.01
- ④ 0.001
등록된 댓글이 없습니다.
64. 다음 중 운반표지를 하지 않고 운반할 수 있는 경우가 아닌 것은?
- ① 10kg 이하의 화약
- ② 1만개 이하의 총용뇌관
- ③ 1천개 이하의 미진동파쇄기
- ④ 1만개 이하의 실탄, 공포탄
등록된 댓글이 없습니다.
65. 화약류 1급 저장소에는 화약류를 저장할 수 있는 일정한 저장량의 한도가 있다. 총용되관은 몇 개까지 저장할 수 있는가? (단, 부득이한 사유로 허가관청의 허가를 받는 경우를 제외한다.)
- ① 5000만개
- ② 3000만개
- ③ 1000만개
- ④ 500만개
등록된 댓글이 없습니다.
66. 화약류저장소설치자가 자체안전점검계획을 2회 이상 위반했을 경우 행정처분기준으로 맞는 것은?
- ① 1월 효력정지
- ② 3월 효력정지
- ③ 6월 효력정지
- ④ 허가 취소
등록된 댓글이 없습니다.
67. 총포ㆍ도검ㆍ화약류 등의 안전관리에 관한 법률상 별도로 정한 경우를 제외하고는 허가없이 화약류를 소지하여서는 아니 된다. 다음 중 법률에서 정한 제외기준으로 틀린 것은?
- ① 행정안전부령이 정하는 사람이 화약류를 소지하는 경우
- ② 제조업자가 자신이 제조한 화약류를 소지하는 경우
- ③ 판매업자가 화약류를 소지하는 경우
- ④ 화약류의 양수허가를 받은 사람이 그 화약류를 소지하는 경우
등록된 댓글이 없습니다.
68. 화약류 운반용 축전지차의 구조의 기준으로 옳지 않은 것은?
- ① 차바퀴에는 고무타이어를 사용할 것
- ② 적재함 또는 짐받이 아래면과 차축과의 사이에는 적당한 완충장치를 할 것
- ③ 축전치는 진동에 의한 영향을 받지 아니하는 것으로 하고, 사용전압은 50볼트 이하로 할 것
- ④ 전기배선은 캡타이어케이블을 사용하여 배선사이 및 배선과 차체사이에 전기가 잘 통하도록 고정시킬 것
등록된 댓글이 없습니다.
69. 총포, 도검, 화약류 등의 안전관리에 관한 법률상 지상에 설치하는 3급저장소의 위치, 구조 및 설비의 기준으로 옳은 것은?
- ① 저장소의 앞면의 벽은 두께 20cm 이상의 철근콘크리트로 해야 한다.
- ② 저장소의 주위에는 간이흙둑을 설치할 수 없다.
- ③ 지붕은 목재를 사용하는 등 전기가 통하지 아니하고 폭발에 견딜 수 있는 견고한 구조로 하여야 한다.
- ④ 화약 또는 폭약과 화공품을 동시에 저장하기 위한 격벽을 보강콘크리트 블록으로 할 경우 두께가 40cm 이상이어야 한다.
풀이요정2021. 7. 10. 00:31삭제
지상에 설치하는 3급저장소의 위치ㆍ구조 및 설비의 기준은 다음 각호와 같다. <개정 1987.11.10>
1. 저장소의 벽(앞면의 벽을 제외한다)은 두께 20센티미터이상의 철근콘크리트 또는 두께 30센티미터이상의 보강시멘트블록으로 하고, 앞면의 벽은 두께 10센티미터 이상의 콘크리트로 할 것
2. 지붕은 철망골 시멘트모르타르로 하는 등 폭발한 때에 가볍게 날리어 흩어질 수 있는 건축자재로 할 것
3. 화약 또는 폭약과 화공품을 동시에 저장하기 위한 격벽의 기초는 저장소의 기초에 두께 10센티미터이상의 콘크리트로 하고, 격벽은 두께 30센티미터이상의 철근콘크리트 또는 두께 40센티미터이상의 보강콘크리트블록으로 할 것
4. 출입구는 부근의 보안물건을 고려하여 위험의 염려가 없는 쪽에 설치하고, 저장소의 바깥에는 포말소화기등의 소화시설을 갖출 것
5. 저장소의 주위에는 흙둑 또는 간이흙둑을 설치할 것
(출처 : 총포ㆍ도검ㆍ화약류 등의 안전관리에 관한 법률 시행령 타법개정 2018. 5. 28. [대통령령 제28919호, 시행 2018. 5. 28.] 경찰청 > 종합법률정보 법령)
70. 화약류 판매업자가 공공의 안녕질서를 해할 염려가 있다고 믿을 만한 상당한 이유가 있어 이에 따른 대선 명령을 했으나 3회 위반했을 경우 행정처분기준은?
- ① 허가취소
- ② 6월 효력정지
- ③ 3월 효력정지
- ④ 1월 효력정지
등록된 댓글이 없습니다.
71. 재해의 예방상 필요하다고 인정되는 때에 화약류의 소유자에게 안정도시험을 실시하도록 명할 수 있는 사람은?
- ① 경찰서장
- ② 지방경찰청장
- ③ 시ㆍ도지사
- ④ 행정안전부장관
등록된 댓글이 없습니다.
72. 화약류관리보안책임자의 감독업무에 해당되지 않는 것은?
- ① 저장소의 위치ㆍ구조 및 설비가 규정에 의한 허가를 받지 아니하고 변경되는 일이 없도록 할 것
- ② 화약류 저장상의 취급 또는 저장소의 위치ㆍ구조 및 설비가 기준에 적합하고 또한 적합하게 유지되도록 할 것
- ③ 저장소가 인근의 화재 그 밖의 사정으로 위험상태에 있거나, 화약류의 안전도에 이상이 있을 때에는 응급조치를 지휘할 것
- ④ 제조시설 및 제조방법이 기준에 적합하고 또한 적합하게 유지되도록 할 것
등록된 댓글이 없습니다.
73. 화약류 안정도시험에 대한 설명으로서 옳지 않은 것은?
- ① 제조일을 모르고 질산에스텔 성분이 들어있지 아니한 화약은 소지한 때부터 매 2년마다 유리산 시험을 하되, 6시간 이내에 청색 리트머스 시험지가 전면 적색으로 변하는 것을 가영시험을 해야한다.
- ② 화공품으로서 제조일로부터 3년이 지난 것은 안정도시험을 해야 한다.
- ③ 화공품으로서 제조일이 분명하지 아니한 것은 안정도 시험을 해야 한다.
- ④ 질산에스텔 성분이 들어있는 화약에 있어서 유리산시험 시간이 6시간 이상인 것은 안정성이 있는 것으로 한다.
등록된 댓글이 없습니다.
74. 화약류 운반방법의 기술상의 기준으로 옳은 것은? (단, 운반신고를 하지 아니하고 운반할 수 있는 화약류는 제외한다.)
- ① 화약류의 운반은 자동차에 의하여야 하며 300킬로미터 이상의 거리를 운반하는 때에는 운송인은 도중에 운전자를 교체할 수 있도록 예비운전자 1명 이상을 태울 것
- ② 야간이나 앞을 분간하기 힘든 경우에 주차하고자 하는 때에는 차량의 전방과 후방 30미터 지점에 적색등불을 달 것
- ③ 화약류를 실은 차량이 서로 진행하는 때(앞지르는 경우를 제외한다.)에는 100미터 이상, 주차하는 때에는 50미터 이상의 거리를 둘 것
- ④ 뇌홍 및 뇌홍을 주로 하는 기폭약은 수분 또는 알코올분이 20퍼센트 정도를 머금은 상태로 운반할 것
ㄴ2023. 2. 27. 20:09삭제
1. 200km
2. 15m
4. 25%
75. 총포ㆍ도검ㆍ화약류 등의 안전관리에 관한 법률상 용어의 정의로 틀린 것은?
- ① 공실이란 화약류의 제조작업을 위해 제조소 안에 설치된 건축물을 말한다.
- ② 위험공실이란 발화 또는 폭발할 위험이 있는 공실을 말한다.
- ③ 정체량이란 동일공실에 저장된 화약류의 현재 수량을 말한다.
- ④ 보안물건이란 화약류의 취급상의 위해로부터 보호가 요구되는 장비ㆍ시설 등을 말한다.
등록된 댓글이 없습니다.
76. 다음 중 화약류 판매업자의 결격사유 기준으로 옳지 않은 것은?
- ① 금고 이상의 형의 선고를 받고 그 집행이 끝나거나 집행을 받지 아니하기로 확정된 후 3년이 지나지 아니한 사람
- ② 금고 이상의 형의 집행유예를 선고받고 그 유예기간이 끝난 날부터 2년이 지나지 아니한 사람
- ③ 20세 미만인 사람
- ④ 파산선고를 받고 복권되지 아니한 사람
등록된 댓글이 없습니다.
77. 화약류 발파의 기술상의 기준에 따르면 도화선 1개의 길이가 1.5m 이상인 때 동일인의 연속점화수는?
- ① 5발 이하
- ② 10발 이하
- ③ 13발 이하
- ④ 17발 이하
등록된 댓글이 없습니다.
78. 화약류저장소의 위치ㆍ구조 및 설비를 허가 없이 임의로 변경하였을 경우 벌칙은?
- ① 10년 이하의 징역 또는 2천만원 이하의 벌금형
- ② 5년 이하의 징역 또는 1천만원 이하의 벌금형
- ③ 3년 이하의 징역 또는 700만원 이하의 벌금형
- ④ 2년 이하의 징역 또는 500만원 이하의 벌금형
등록된 댓글이 없습니다.
79. 폭약 200톤을 저장하는 수중저장소가 있다. 제3종 보안물건과의 보안거리 기준으로 옳은 것은?
- ① 200m 이상
- ② 150m 이상
- ③ 100m 이상
- ④ 50m 이상
등록된 댓글이 없습니다.
80. 화약류의 정체 및 저장에 있어 폭약 2톤에 해당하는 화공품의 수량으로 옳은 것은?
- ① 신관 또는 화관 5만개
- ② 미진동파쇄기 10만개
- ③ 공업용되관 또는 전기뇌관 200만개
- ④ 신호뇌관 30만개
아무개2022. 9. 23. 19:40삭제
그렇게 따지면 폭약 2톤이면 미진동파쇄기 10만개도 정답입니다.
아무개2021. 2. 22. 15:20삭제
문제의 폭약 1톤이면 신관 및 화관 5만개가 정답 폭약 2톤이면 공업용뇌관 또는 전기뇌관 200만개가 정답
5과목 : 굴착공학
81. 터널의 수평분할 굴착공법에 해당하지 않는 것은?
- ① 가인버트 공법
- ② 다단벤치 컷 공법
- ③ 미니벤치 컷 공법
- ④ 측벽 선진도갱공법
등록된 댓글이 없습니다.
82. 다음 중 터털시공 시 방수공에 대한 설명으로 옳지 않은 것은?
- ① 지하수위 보다 깊은 터널에서는 지하수용출을 완전히 막을 수 있는 방수공을 채택하여야 한다.
- ② 방수공은 면상 방수공과 선상 방수공으로 대별할 수 있고 선상 방수공은 뿜칠방식과 시트 방식으로 나뉜다.
- ③ 방수 시트는 콘크리트 타설 시에 파손되지 않는 강도 및 내구성, 시공성이 좋은 것을 선정하여야 한다.
- ④ 복공 완료 후의 이어붓기 이음이나 균열에서의 누수는 도수공법이나 자수주공법을 사용한다.
등록된 댓글이 없습니다.
83. 원형공동의 천장부와 측벽부에 각각 슬록이 굴착하고 플랫잭을 사용하여 초기 응력을 측정한 결과, 천장부의 응력은 40MPa이고 측벽부의 응력은 80Mpa이었다. 원형공동이 위치한 지점의 초기 수직 응력은?
- ① 25MPa
- ② 35MPa
- ③ 60MPa
- ④ 120MPa
등록된 댓글이 없습니다.
84. Greeanspan에 의한 탄성, 등방성 2차원 암반공동 주변에서의 응력해석에 관한 설명으로 옳지 않은 것은?
- ① 공동의 임의의 한 축에 평행하게 가해진 수직응력에 대해서 그 축단에 생기는 응력집중은 5대이다.
- ② 3공동의 단축 평평하게 수직응력이 작용할 때, 장축 끝단에서의 응력진중은 장축의 곡률반경이 작아질수록 증가한다.
- ③ 타원형 공동의 단축에 평행하게 수직응력이 작용할 때, 장축 끝단에서의 응력징중은 단축에 대한 장축의 비가 커질수록 증가한다.
- ④ 공동의 한 개의 축에 평행한 수직응력이 작용하면 최대응력진둥은 반드시 다른 축의 끝단에서 생기는 것이 아니고, 두 축 사이에 곡률반경이 더 작은 곳에서 생길 수 있다.
등록된 댓글이 없습니다.
85. 다음 중 물빼기 공법의 종류가 아닌 것은?
- ① 압기공법
- ② 물빼기 시추 공법
- ③ 딥 웰(deep well)
- ④ 웰 포인트(well point) 공법
등록된 댓글이 없습니다.
86. RMR에 의한 암반평가에서 고려되는 요소가 아닌 것은?
- ① RQD
- ② 절리 간격
- ③ 탄성파 속도
- ④ 암석의 일축압축강도
등록된 댓글이 없습니다.
87. 수직응력이 100MPa, 수평응력이 30MPa의 초기응력이 작용하고 있는 탄성 암밤 내의 반경 a인 원형공동의 중심에서 수평방향으로부터 45° 방향으로 연장한 선장 2a 지점의 응력 상태는? (단, σγ:반경방향응력, σθ:접선방향응력)
- ① σγ=48.75MPa, σθ:81.25MPa
- ② σγ=78.25MPa, σθ:48.75MPa
- ③ σγ=48.75MPa, σθ:78.25MPa
- ④ σγ=81.25MPa, σθ:48.75MPa
등록된 댓글이 없습니다.
88. 경사가 60°인 사면 내에 존재하는 경사 30°의 절리면을 통해 평면파괴의 가능성이 있어 앵커를 타설하는 경우 안전율이 최대가 되는 앵커의 타설각도는? (단, 절리면의 마찰각은 45‘이고, 타설각도는 수평면을 기준으로 한다.)
- ① 15°
- ② 30°
- ③ 45°
- ④ 60°
등록된 댓글이 없습니다.
89. 암반분류법인 Q 분류법에 대한 설명으로 옳지 않은 것은?
- ① Q 값은 0.01에서 100사이의 값으로 대수스케일을 갖는다.
- ② (RQD/Jn) 항은 암반구조를 나타낸다.
- ③ (Jr/Ja) 항은 절리면 또는 출전물의 거칠기 및 마찰특성을 나타낸다.
- ④ (Jw/SRF) 항은 터널 굴착 현장에서의 지하수압 및 현장응력 수준이 고려된다.
등록된 댓글이 없습니다.
90. 두 불연속면의 교선의 방향이 사면의 경사방향과 거의 일치하고 사면의 경사가 두 불연속면의 경사보다 급할 경우 발생할 수 있는 암반사면의 파괴형태는?
- ① 쐐기파괴
- ② 원호파괴
- ③ 전도파괴
- ④ 평면파괴
등록된 댓글이 없습니다.
91. 지하 저장 공동의 특징에 대한 설명으로 틀린 것은?
- ① 지하공간을 이용하므로 지표의 경관변화가 적다.
- ② 공동이 암반이므로 밀폐구조로 되어있어 화재 및 폭발의 위험이 크다.
- ③ 자연재해 및 인위적 재해에 대해 구조상 안전하다.
- ④ 일정 규모 이상이 되면 지상 탱크식에 비해 건설비용이 낮아진다.
등록된 댓글이 없습니다.
92. 숏크리트(shotcrete)의 작용 효과로 옳지 않은 것은?
- ① 내압 효과
- ② 풍화방지 효과
- ③ 지반 아치 형성 효과
- ④ 암괴의 매달림 효과
등록된 댓글이 없습니다.
93. 흙의 압밀에 소요되는 시간에 대한 설명 중 옳지 않은 것은?
- ① 압축성이 클수록 증가한다.
- ② 투수성이 클수록 증가한다.
- ③ 응력변화의 크기와는 무관하다.
- ④ 압밀층의 두께가 증가함에 따라 급격히 증가한다.
등록된 댓글이 없습니다.
94. 다음 중 강아치 지보공에 대한 설명으로 옳지 않은 것은?
- ① 조립과 동시에 암반을 지지하는 능력을 발휘할 수 있다.
- ② 강아치 지보공은 단독으로 암반이 갖는 강도를 적극적으로 이용할 수 있다.
- ③ 균열이 많고 굴착으로 인하여 붕괴 위험성이 있는 암반의 지지에 유효하게 사용된다.
- ④ 강아치 지보공은 H형강 등의 강재를 터널의 형태에 맞추어 가공하여 일정간격으로 설치한다.
등록된 댓글이 없습니다.
95. 터널 굴착 후 주변 암반에 발생할 수 있는 현상 중 성격이 다른 하나는?
- ① 포밍(Popping) 현상
- ② 스웰링(Swelling) 현상
- ③ 버클링(Buckling) 현상
- ④ 락 버스팅(Rock Bursting) 현상
등록된 댓글이 없습니다.
96. 광역 변성암에 해당하지 않는 것은?
- ① 편암
- ② 천매암
- ③ 편마암
- ④ 혼펠스
등록된 댓글이 없습니다.
97. 지하굴착에서 기존 구조물 바로 아래 또는 부근을 굴착할 경우 구조물 기초의 지지력이 저하되어 안정이 손상될 우려가 있기 때문에 지반의 개량, 기초보강 등을 실시하여 구조물의 안정을 도뫄고자 할 때 실시하는 공법은?
- ① 메세르 공법
- ② 선재하 공법
- ③ 언더피닝 공법
- ④ 파이프 루프 공법
등록된 댓글이 없습니다.
98. 사면안정공법 중 안전율 유지를 위한 사면보호공법(억제공법)에 해당되지 않는 것은?
- ① 배수 공법
- ② 피복 공법
- ③ 앵커 공법
- ④ 표층 안전 공법
등록된 댓글이 없습니다.
99. 암반 내에 존재하는 불연속면의 방향성을 나타내기 위해 주향/경사 또는 경사방향/경사를 이용한다. 다음 중 현실적으로 발생 가능한 불연속면에 대한 방향성 표시가 올바른 것은?
- ① 45/45
- ② 125/100
- ③ N45W/45SE
- ④ N45E, 45SE
등록된 댓글이 없습니다.
100. 간극비 0.6, 입자의 비중이 2.65인 흙의 수중단위중량은 얼마인가? (단, 물의 단위중량은 9.81kN/m3이다.)
- ① 8.7kN/m3
- ② 10.1kN/m3
- ③ 14.6kN/m3
- ④ 19.2kN/m3
화약2021. 8. 25. 14:32삭제
[(2.62-1) / (1+0.6)] *100