화약류관리기사(2017. 9. 23.) 시험일자 : 2017년 9월 23일
1과목 : 일반화약학
1. 화합화약류에 속하는 것은?
- ① 질산암모늄 폭약
- ② 초안유제 폭약ㅎ
- ③ 흑색화약
- ④ 니트로글리세린
등록된 댓글이 없습니다.
2. 소형 로케트의 일종으로 선박간의 신호나 긴급히 구조를 요청할 때 사용하는 것은?
- ① 신호뇌관
- ② 신호홍염
- ③ 신호염관
- ④ 신호화전
등록된 댓글이 없습니다.
3. 폭속이 큰 순서대로 옳게 나타낸 것은? (단, NG는 니트로글리세린, PA는 피크린산, RDX는 헥소겐을 나타낸다.)
- ① NG > RDX > PA
- ② RDX > NG > PA
- ③ RDZ > PA > NG
- ④ PA > NG > RDX
등록된 댓글이 없습니다.
4. 뇌홍에 대한 설명으로 옳은 것은?
- ① 비중에 관계없이 폭발속도는 일정하다.
- ② 알코올, 에테르, 물에 잘 용해된다.
- ③ 폴민산수은(Ⅱ)이라고 화학식은 Hg(ONC)2이다.
- ④ 600kg/cm2 이상의 강압에 의해서도 사압(死壓)에 도달하지 않는다.
등록된 댓글이 없습니다.
5. 질산에스테르의 자연분해 현상으로 가장 거리가 먼 것은?
- ① 흡습에 의한 가수분해
- ② 열에 의해 분해반응
- ③ 안정제 과다 혼입에 의한 환원반응
- ④ 화약 속에 함유된 산에 의해 분해촉진
등록된 댓글이 없습니다.
6. 폭약을 사용하여 금속을 강판에 폭발압접하고자 할 때 가장 잘 압접되는 금속은?
- ① 알루미늄
- ② 티타늄
- ③ 스테인레스 스틸
- ④ 황동
등록된 댓글이 없습니다.
7. 다음 뇌관 중 전기식 뇌관이 아닌 것은?
- ① LP 뇌관
- ② TLD 뇌관
- ③ MS 뇌관
- ④ HS 뇌관
화약학2024. 5. 11. 19:28삭제
답잘못된거 아닙니까
화약2021. 7. 19. 15:06삭제
2. 비전기식 뇌관 TLD(truck line delay detonator)
8. TNT 1g당 산소평형 값(g)은 얼마인가?
- ① -0.74
- ② 0
- ③ +0.035
- ④ +0.2
등록된 댓글이 없습니다.
9. 화약류의 파괴효과(동적효과)를 측정하는 시험방법은?
- ① Hess 맹도시험
- ② Trauzle 연주시험
- ③ 낙추시험
- ④ 유리산시험
등록된 댓글이 없습니다.
10. 니트로글리세린 100g이 완전폭발 하였을 경우 산소의 과부족량은 얼마인가? (단, 질소의 원자량은 14이다.)
- ① -3.52g
- ② -1.76g
- ③ +1.76g
- ④ +3.52g
화약2021. 7. 19. 15:08삭제
NG +0.0352/g ×100g = +3.52
11. 초유폭약의 설명으로 옳지 않은 것은?
- ① 타격감도가 낮고 취급상 비교적 안전하다.
- ② 약경이 30mm 이상은 폭굉파가 불완전하게 전달된다.
- ③ 장전밀도가 너무 크면 사압에 의한 불폭의 우려가 있다.
- ④ 흡습성이 크고 후가스가 나빠 갱외에서 사용된다.
화약2021. 7. 19. 15:08삭제
약경 30mm이하
12. 다음 화약류 중 자연분해의 경향이 작은 것만으로 되어 있는 것은?
- ① 다이너마이트, 테틀릴, ANFO
- ② 면약, DDNP, PETN
- ③ 흑색화약, 무연화약, TNT
- ④ 컴포지션-B, 아지화납, 헥소겐
등록된 댓글이 없습니다.
13. 디니트로나프탈렌(DNN)의 분자식은?
- ① C10H6(NO2)2
- ② C2H4(ONO2)2
- ③ C6H2(NO2)3CH3
- ④ C6H3(NO2)2CH3
등록된 댓글이 없습니다.
14. 공업뇌관의 성능을 측정하려고 할 때 사용되는 시험법은?
- ① 가열시험
- ② 납판시험
- ③ 맹도시험
- ④ 구포시험
등록된 댓글이 없습니다.
15. 도폭선의 폭속범위로 가장 적합한 것은?
- ① 1000~2500m/s
- ② 2500~4000m/s
- ③ 4000~5500m/s
- ④ 5500~7000m/s
등록된 댓글이 없습니다.
16. 다음 화약 중 질산에스테르 화합물로만 구성되어 있는 것은?
- ① 니트로글리콜, 펜트리트, 디니트로나프탈렌
- ② 니트로셀룰로오스, 니트로글레세린, 펜트리트
- ③ 니트로셀룰로오스, 트리니트로톨루엔, 디니트로나프탈렌, 테트릴
- ④ 니트로셀룰로오스, 니트로글레세린
요정2022. 3. 1. 22:40삭제
4. 니트로셀룰로오스, 니트로글리세린, 헥소겐, 테트릴
김씨2021. 8. 28. 12:37삭제
2번 4번 답인데 ㅜㅜ
17. 콤포지션-C 폭약에 대한 설명으로 옳은 것은?g
- ① TNT, RDX, WAX를 혼합한 폭약
- ② NT, RDX를 혼합한 폭약
- ③ RDX에 가소제를 배합한 폭약
- ④ RDX에 WAX를 첨가한 폭약
화약2021. 7. 19. 15:09삭제
1. 콤포지션 B
4. 콤포지션 A
18. 다음 반응식과 같이 100g의 질산칼륨이 분해된다면 몇 g의 산소가 발생하는가? (단, 원자량은 K39, N14, O16이다.)

- ① 396.6g
- ② 19.8g
- ③ 39.6g
- ④ 190g
화약2021. 7. 19. 15:12삭제
100g/101(g/mol) ×1.25 × 32(g/mol)= 39.6g
19. 흑색화약 혼합성분의 역할에 대한 설명 중 옳은 것은?
- ① 질산칼륨은 산소와의 결합제이며 목탄은 점화를 돕고 황은 산소와 결합하여 가스를 발생시킨다.
- ② 질산칼륨은 산화제이며 목탄은 점화온도를 낮게하고 황은 가스의 발생원이 되어 충격감도를 둔화시킨다.
- ③ 질산칼륨은 점화를 돕고 목탄은 산소와의 결합제이며 황은 산화제이다.
- ④ 질산칼륨은 산화제이고 목탄은 가스의 발생원이 되어 충격감도를 둔화시키며 황은 점화온도를 낮게 한다.
등록된 댓글이 없습니다.
20. 도화선에 관한 설명으로 틀린 것은?
- ① 도화선이 흡습하면 연소초시가 변화된다.
- ② 도화선의 연소초시를 1m에 대하여 100~140초 사이에 있다.
- ③ 수심 1m에서 제2종 도화선의 내수성은 2시간 이상이어야 한다.
- ④ 도화선의 심약은 무연화약이 사용된다.
화약2021. 7. 19. 15:13삭제
4. 흑색화약
2과목 : 발파공학
21. 발파계수에 관한 설명으로 옳은 것은?
- ① 암석계수 g는 폭약 1kg을 사용하여 발파할 때 얻을 수 있는 채석ㄹ량을 의미한다.
- ② 폭약계수 e는 NG 60%스트렝스 다이너마이트를 기준으로 다른 폭약과 발파위력을 비교하는 계수이다.
- ③ 폭약의 성능이 좋을수록 폭약계수 e 값은 커진다.
- ④ 전색계수 d는 불완전 전색일 경우 1.0보다 작은 값을 가진다.
등록된 댓글이 없습니다.
22. 발파진동 저감방안 중에서 진동전파경로를 차단하는 방법은?
- ① Smooth Blasting
- ② Pre-splitting
- ③ 다단식 발파기의 적용
- ④ 저폭속 폭약의 사용
등록된 댓글이 없습니다.
23. 발파작업 시 발생되는 정전기의 원인과 폭발방지 대책에 대한 설명으로 틀린 것은?
- ① 강풍으로 인한 암분, 눈보라 등이 비산될 때 정전기가 발생한다.
- ② 중장비에서 불연소된 탄소 알갱이가 배기구에서 나올 때 정전기가 발생된다.
- ③ ANFO 장전시 발생에 따른 오폭을 방지하기 위하여 장전 속도를 높여 최대한 신속히 장전한다.
- ④ 전기뇌관의 각선은 장갑 등을 끼고 강하게 또는 반복해서 신장시키지 않는다.
등록된 댓글이 없습니다.
24. 다음 표는 현장에 시간대별 각 성분별 계측된 자료이다. 가장 큰 실벡터합은 약 얼마인가?

- ① 0.25 ㎝/sec
- ② 0.42 ㎝/sec
- ③ 0.31 ㎝/sec
- ④ 0.28 ㎝/sec
등록된 댓글이 없습니다.
25. 전파속도가 400m/s 이고, 진동수가 10Hz인 진동의 진폭을 절반으로 감소시키려할 때 적절한 반진구의 깊이는 얼마로 하여야 하는가?
- ① 4m
- ② 6m
- ③ 8m
- ④ 10m
등록된 댓글이 없습니다.
26. 백브레이크(Back breake)와 오버행(Over hang)에 대한 설명으로 틀린 것은?
- ① 계단발파에서 벤치높이가 최소저항선보다 극히 작을 때 백브레이크가 발생한다.
- ② 계단발파에서 벤치높이가 최소저항선보다 극히 클 때 오버행이 발생한다.
- ③ 계단발파에서 전열 발파시 발파 충격으로 내부 암석에 균열이 생기는 현상을 백브레이크라고 한다.
- ④ 계단발파에서 상부를 발파하여 하부의 암석을 암석의 중량으로 파괴시킬 때 하부의 암석이 파괴되지 않고 수직 이상의 급각도로 남는 상태를 오버행이라고 한다.
등록된 댓글이 없습니다.
27. 다음 중 수중발파 설계 시 고려할 요소로 가장 거리가 먼 것은?
- ① 지반진동
- ② 발파 후 가스
- ③ 수중충격파
- ④ 폭약의 선정
등록된 댓글이 없습니다.
28. 에멀젼 폭약의 대한 설명으로 옳은 것을 모두 나타낸 것은?

- ① a, c
- ② b, c
- ③ a, d
- ④ b, d
등록된 댓글이 없습니다.
29. 수중발파 시 폭발 진행 과정 순서로 옳은 것은?
- ① 충격파의 분산 → 표면 분출 → 암석 및 점토방풀 → 완만한 상승
- ② 표면 분출 → 충격파의 분산 → 암석 및 점토방풀 → 완만한 상승
- ③ 암석 및 점토 방출→ 충격파의 분산 → 표면 분출 → 완만한 상승
- ④ 표면 분출 → 암석 및 점토방출 → 충격파의 분산 → 완만한 상승
등록된 댓글이 없습니다.
30. 발파의 위험구역 내의 통행을 막기 위하여 경계원을 배치할 때 경계원에게 확인시켜야 하는 사항으로 가장 거리가 먼 것은?
- ① 경계하는 위치
- ② 경계하는 구역
- ③ 발파횟수
- ④ 통행자 확인방법
등록된 댓글이 없습니다.
31. 계단식 발파에서 공저 장약밀도(Ib)를 단위 천공길이당 폭약량(kg/m)으로 정의할 때, 64mm 직경의 발파공에 장약밀도 0.8kg/L 인 ANFO를 장전할 때 공저 장약밀도는?
- ① 약 1.6kg/m
- ② 약 2.6kg/m
- ③ 약 3.6kg/m
- ④ 약 4.6kg/m
요정2022. 3. 1. 22:43삭제
Ib=7.85*D^2*p
32. Trim Blasting에 관한 설명으로 옳지 않은 것은?
- ① 주발파 후 발파가 이루어진다.
- ② 일반적으로 서브드릴링을 실시하지 않는다.
- ③ 저항선은 천공간격보다 작게 하여 발파 시 후방파괴를 방지한다.
- ④ 공저장약은 주상장약밀도보다 높게 장약한다.
등록된 댓글이 없습니다.
33. 다음 중 지발발파에 대한 설명으로 옳지 않은 것은?
- ① 지발발파는 일반적으로 LP발파와 MS발파로 나눌 수 있다.
- ② MS발파는 첫 번째 폭약의 폭발에 의한 충격작용이 사라지기 전에 다음 폭약을 기폭하며 그 시간의 간격은 100ms이상이 가장 효과적이다.
- ③ 지발발파에서 지발전기뇌관의 시차가 짧을수록 암석은 작게 파쇄되고 멀리 비산한다.
- ④ 시차를 임의로 선택해서 지발발파를 실시하고자 할 경우 다단식발파기를 사용할 수 있다.
등록된 댓글이 없습니다.
34. 폭야의 특성 중 폭발시 동적요과에 가장 큰 영향을 주는 것은?
- ① 비중
- ② 가스발생량
- ③ 내수성
- ④ 폭발속도
등록된 댓글이 없습니다.
35. 폭약의 폭발로 인해 발생하는 응력파의 파장이 비교적 짧은 경우 Hopkinson 효과에 의해 인장파가 발생한다고 가정할 때 자유면에 도달하는 최대 응력치가 50Mpa, 파장이 1m, 암반의 동적인장강도가 5Mpa이면 반사파에 의해 파단되는 평판두께는?
- ① 0.05m
- ② 0.1m
- ③ 5m
- ④ 10m
등록된 댓글이 없습니다.
36. 전기뇌관 3개를 직렬결선하고 다시 이것을 5열 병렬결선한 직·병렬 결선이 있다. 소요전압은 몇 볼트인가? (단, 전기뇌관은 1개의 저항 1.5Ω, 발파모선 1m당 0.02Ω, 총 연장 100m, 발파기의 내부저항 0, 소요전류는 2(A)로 한다.)
- ① 49V
- ② 34V
- ③ 29V
- ④ 25V
요정2022. 3. 1. 22:45삭제
5*2(0.02*100+3/5*1.5+0)
37. 터널 면적과 천공경에 따른 비천공장 및 비장약량에 대한 설명으로 옳지 않은 것은?
- ① 터널 면적이 넓어질수록 비천공장은 감소한다.
- ② 터널 면적이 넓어질수록 비장약향은 감소한다.
- ③ 천공경이 클수록 비천공장은 짧아진다.
- ④ 천공경과 비장약향은 무관하다.
등록된 댓글이 없습니다.
38. 단일 자유면에서 서로 다른 저항선을 가진 두 개의 발파공으로 인해 생긴 누두공이 비슷한 모양이면 채석용적과 최소 저항선과의 관계는?
- ① 채석용적은 최소 저항선의 3승에 비례한다.
- ② 채석용적은 최소 저항선의 3승에 반비례한다.
- ③ 채석용적은 최소 저항선의 2승에 비례한다.
- ④ 채석용적은 최소 저항선의 2승에 반비례한다.
요정2022. 3. 1. 22:46삭제
L=CW^3
39. Pre-splitting 발파 시 장약량의 결정에 관한 설명으로 옳지 않은 것은?
- ① 천공경의 2배가 되면 장약량도 2배가 된다.
- ② 발파계수가 2배가 되면 장약량도 2배가 된다.
- ③ 공간격이 2배가 되면 장약량도 2배가 된다.
- ④ 천공길이가 2배가 되면 장약량도 2배가 된다.
등록된 댓글이 없습니다.
40. 전기발파를 위한 작업 시 발파모선 및 보조모선을 배선할 때 주의사항으로 옳지 않은 것은?
- ① 배선이 상할 염려가 있는 곳은 보조모선대신 발파모선을 사용한다.
- ② 낙반이나 붕괴가 없는 안전한 위치를 선정하여 배선한다.
- ③ 누전 및 지전류를 없애기 위해 철관, 레일, 동력선 등은 피하여 배선한다.
- ④ 결선부는 다른 선과 접촉되지 않도록 한다.
등록된 댓글이 없습니다.
3과목 : 암석역학
41. 일정수직하중 조건하에서 실시된 직접전단시험에 의한 거친 절리면의 거동 특성으로 옳지 않은 것은?
- ① 수직응력이 증가함에 따라 수직변위도 증가한다.
- ② 수직응력이 증가함에 따라 전단강도도 증가한다.
- ③ 수직응력과 전단강도 간의 관계가 일반적으로 비선형을 나타낸다.
- ④ 최대전단응력에 도달한 이후 전단변위의 증가와 함께 전단응력이 감소한다.
등록된 댓글이 없습니다.
42. 다음 중 축 방향 점하중강도지수(Is)를 구하는 식으로 옳은 것은? (단, P는 파괴하중, A는 파괴면의 면적이다.)
- ①  
- ②  
- ③  
- ④  
등록된 댓글이 없습니다.
43. 다음 중 초기지압 측정법은?
- ① 수압파쇄법
- ② 공내변형시험
- ③ 평한재하시험
- ④ Lugeon 시험
등록된 댓글이 없습니다.
44. 일축압추강도가 동일한 암석 a, b에 발생한 수직변형률의 비(ϵa/ϵb)가 8/15라면, 암석 a, b의 탄성계수의 비(Ea/Eb)는? (단, a, b 암서의 수직변형률을 각각 ϵa, ϵb로, 탄성계수를 각각 Ea, Eb로 표시한다.)
- ① 16/15
- ② 15/16
- ③ 15/8
- ④ 8/15
등록된 댓글이 없습니다.
45. Q-system을 구성하고 있는 인자가 의미하고 있는 항목 중 RMR에서는 고려하지 않는 것은?
- ① RQD
- ② 암석의 강도
- ③ 응력조건
- ④ 불연속면의 상태
등록된 댓글이 없습니다.
46. 다음 중 순수전단변형률(Pure shear strain) 상태를 나타내는 것은?
- ① 1/2(ϵx+ϵy)=상수>0
- ② ϵx+ϵy=2ϵx
- ③ 1/2(ϵx-ϵy)=상수>0
- ④ 1/2(ϵx+ϵy)=0
등록된 댓글이 없습니다.
47. 다음 중 점도(viscosity)의 단위는?
- ① Pa·m
- ② Pa
- ③ Pa·s
- ④ Pa/m
등록된 댓글이 없습니다.
48. 탄성이론을 표현하는 역학적 모델 중 점탄성체를 나타내는 Kelvin 물체는? (단, σ:응력, E:탄성계수, η:점성계수)
- ①  
- ②  
- ③  
- ④  
등록된 댓글이 없습니다.
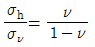
49. 다음 중 암반 내 작용하는 수직방향지압(ϵv)에 대한 수평방향지압(σh)의 비를 나타내는 측압계수 K를 올바르게 표기하는 것은? (단, 수평방향의 변형률은 0이고, v는 포아송비이다.)
- ①  
- ②  
- ③  
- ④  
등록된 댓글이 없습니다.
50. 이차원 상태의 미소 평면에 τxy=0, σx=46Mpa, σy=12Mpa의 응력이 작용하고 있을 때, 최대 전단응력의 크기는?
- ① 12Mpa
- ② 17Mpa
- ③ 34Mpa
- ④ 44Mpa
요정2022. 3. 1. 22:49삭제
τ=(σ1-σ3)/2
=(46-12)/2=17
51. 직경 5.4cm 두께 2.78cm인 암석 disc로 간접인 장시험(Brazilian test)을 한 결과 2.83ton에서 파괴되었을 때, 이 암석의 인장강도는?
- ① 약 39.3 kg/cm2
- ② 약 60 kg/cm2
- ③ 약 120 kg/cm2
- ④ 약 189 kg/cm2
등록된 댓글이 없습니다.
52. Griffith 파괴에 영향을 주는 요인으로 고려한다.
- ① 중간주응력을 파괴에 영향을 주는 요인으로 고려한다.
- ② 전단강도는 인장강도의 2배가 되는 것으로 나타난다.
- ③ 단축압축강도는 단축인장강도의 8배가 되는 것으로 나타난다.
- ④ 암석 내에 포함된 균열 첨단부의 곡률반경이 작을수록 강도는 낮아진다.
루꼬꼬2025. 7. 2. 20:05삭제
Griffith 파괴이론에 대한 설명으로 옳지 않은 것은?
53. RMR 분류법에 대한 설명으로 옳지 않은 것은?
- ① 지하수 상태를 고려하지 않는다.
- ② 터널의 무지보 구간의 자립시간을 평가할 수 있다.
- ③ 기초 RMR을 평가하기 위한 분휴 요소 중 배점이 가장 높은 것은 절리상태이다.
- ④ 기초 RMR을 평가하기 위한 분류효소에는 불연속면의 방향성은 포함되지 않는다.
등록된 댓글이 없습니다.
54. 지하 100m 지점에 반경 6m의 원형공동을 수평방향으로 굴착하였을 때, 터널의 측벽부에 작용하는 응력 중 접선응력의 크기는? (단, 등방의 탄성암반이며, 포아송비는 0.25, 연직응력은 1m 심도당 0.027Mpa 증가하며, 터널의 단면적에 대한 수평터널의 길이는 충분히 긴 것으로 가정한다.)
- ① 3.2 Mpa
- ② 7.2 Mpa
- ③ 8.2 Mpa
- ④ 9.2 Mpa
등록된 댓글이 없습니다.
55. 동일한 시험편을 이용한 강도시험 결과에 대한 설명으로 옳지 않은 것은?
- ① 전단강도는 인장강도 보다 작다.
- ② 일축압축강도는 인장강도 보다 크다.
- ③ 삼축압축강도는 전단강도 보다 크다.
- ④ 일축압축강도는 삼축압축강도보다 작다.
등록된 댓글이 없습니다.
56. 암석의 탄성파속도에 대한 설명으로 옳지 않은 것은?
- ① 암석의 온도상승과 함께 P파 속도는 감소한다.
- ② 공극률이 큰 암석에서 S파 속도는 함수상태에 따라 변화한다.
- ③ 암석에 작용하는 구속응력이 증가할수록 탄성파속도는 증가한다.
- ④ 층상을 나타내는 암석에서는 층에 평행한 방향의 속도는 수직방향의 속도보다 크게 나타난다.
등록된 댓글이 없습니다.
57. 다음 암반사면의 안전해석에 적용할 수 없는 방법은?
- ① 영향도표법
- ② 유한차분법
- ③ 평사투영법
- ④ 한계평형법
등록된 댓글이 없습니다.
58. 일축압축강도 100kg/cm2, 인장강도 10kg/cm2인 암석의 전단강도는? (단, 압열인장시험을 고려한 전단강도 추정식을 사용한다.)
- ① 13.9 kg/cm2
- ② 18.9 kg/cm2
- ③ 23.9 kg/cm2
- ④ 28.9 kg/cm2
등록된 댓글이 없습니다.
59. 암반 불연속면의 종류 중 광물의 배열 형태에 따라 발생하고, 타격 시 광물 결정의 결합력이 약한 면을 따라 파괴되며 발생하는 불연속면은?
- ① 층리
- ② 엽리
- ③ 편리
- ④ 벽개
등록된 댓글이 없습니다.
60. 변형률경화(Stain-hardening)에 대한 설명으로 옳은 것은?
- ① 항복응력에서 영구변형률이 발생하는 현상을 말한다.
- ② 응력을 제거하는 경우 탄성변형률이 회복되는 현상을 말한다.
- ③ 소성변형률이 증가함에 따라 항복응력이 커지는 현상을 말한다.
- ④ 소성변형률이 증가함에 따라 항복응력이 감소하는 현상을 말한다.
등록된 댓글이 없습니다.
4과목 : 화약류 안전관리 관계 법규
61. 지상에 설치하는 3급 저장소의 위치·구조 및 설비의 기준에 대한 설명으로 옳은 것은?
- ① 저장소의 벽(앞면의 벽을 제외한다)은 두께 30cm이상의 철근콘크리트로 하고, 앞면의 벽은 두께 20cm이상의 콘크리트로 할 것.
- ② 지붕은 견고한 구조로 하여 폭발시 멀리 흩어지지 않도록 할 것.
- ③ 화약 또는 폭약과 화공품을 동시에 저장하기 위한 격벽의 기초는 저장소의 기초에 두께 20cm이상의 콘크리트로 할 것.
- ④ 저장소의 주위에는 흙둑 또는 간이흙둑을 설치할 것.
등록된 댓글이 없습니다.
62. 초유폭약에 의한 발파의 기술상의 기준에 대한 설명으로 틀린 것은?
- ① 장전작업중에는 습기가 차거나 불순물이 섞여 들어가지 아니하도록 할 것.
- ② 기폭량에 적합한 전폭약을 같이 사용할 것.
- ③ 철관류·궤도 또는 상설의 전기접지계통은 접지용으로 사용하지 아니할 것.
- ④ 불발된 천공된 구멍으로부터 초유폭약 또는 메지등을 제거하는 때에는 압축공기를 사용할 것.
등록된 댓글이 없습니다.
63. 다음 중 폭약 1톤에 해당하는 화공품의 수량으로 옳은 것은?
- ① 총용뇌관 250만개
- ② 미진동파쇄기 2만5천개
- ③ 신관 또는 화관 50만개
- ④ 신호뇌관 100만개
등록된 댓글이 없습니다.
64. 사용허가를 받지 아니하고 화약류를 사용할 수 있는 사람으로서 건축, 토목 공사용으로 1일 동일한 장소에서 사용할 수 있는 수량으로 옳은 것은?
- ① 건설용 타정총용 공포탄 - 5000개 이하
- ② 미진동 파쇄기 - 250개 이하
- ③ 폭발병 - 1000개 이하
- ④ 폭발 천공기 - 100개 이하
등록된 댓글이 없습니다.
65. 지하 1급 저장소의 지반의 두께가 8.0m일 경우 저장할 수 있는 최대 폭약량은?
- ① 1톤
- ② 2톤
- ③ 3톤
- ④ 4톤
등록된 댓글이 없습니다.
66. 꽃불류저장소 주위의 방폭벽에 대한 설명으로 옳지 않은 것은?
- ① 방폭벽은 꽃불류저장소의 바깥벽과의 거리가 1.5m 이상이 되도록 할 것
- ② 방폭벽은 두께 15m 이상의 철근콘크리트로조로 할 것
- ③ 방폭역은 꽃불류저장소의 처마높이(일광건조장에 있어서는 2.5m)이상으로 할 것
- ④ 방폭벽의 출입구에는 그 바깥쪽에 다시 방폭벽을 설치할 것
풀이요정2021. 7. 12. 22:57삭제
1. 방폭벽은 꽃불류저장소의 바깥벽과의 거리가 2미터이상이 되도록 할 것
2. 방폭벽은 두께 15센티미터이상의 철근콘크리트조 또는 두께 20센티미터이상의 보강콘크리트블록조로 하고 기초를 단단하게 할 것
3. 방폭벽은 꽃불류저장소의 처마높이(일광건조장에 있어서는 2.5미터)이상으로 할 것
4. 방폭벽의 출입구에는 그 바깥쪽에 다시 방폭벽을 설치하는 등 폭발할 때에 바깥에 폭발의 영향이 미치지 아니하도록 할 것
67. 화약류 운반방법에 대한 설명으로 옳은 것은?
- ① 화약류를 자동차로 100km 이상의 거리를 운반할 때에는 예비운전자를 1명 이상 태워야 한다.
- ② 펜타에리스릿트는 수분 또는 알코올분이 15%정도 머금은 상태로 운반하여야 한다.
- ③ 화약류를 차량으로 운반하는 때는 그 차량의 폭에 4.5m를 더한 너비 이하의 도로를 통행하지 말아야 한다.
- ④ 화약류를 실은 하량이 서로 진행하는 때(앞지루는 경우 제외)에는 50m이상의 거리를 두어야 한다.
등록된 댓글이 없습니다.
68. 총도·도검·화약류 등의 안전관리에 관한 법령에서 정한 용어의 정의로 옳지 않은 것은?
- ① 공실이란 화약류의 제조작업을 하기 위해 제조소 안에 설치된 건축물을 말한다.
- ② 위험공실이란 취급과정에서 폭발할 위험이 있는 기폭약의 제조시설을 말한다.
- ③ 정체량이란 동일 공실에 저장할 수 있는 화약류의 최대수량을 말한다.
- ④ 보안물건이란 화약류의 취급상의 위해로부터 보호가 요구되는 장비·시설 등을 말한다.
풀이요정2021. 7. 12. 22:48삭제
1. "공실"이라 함은 화약류의 제조작업을 하기 위하여 제조소안에 설치된 건축물을 말한다.
2. "위험공실"이라 함은 발화 또는 폭발할 위험이 있는 공실을 말한다.
3. "화약류 일시저치장"이라 함은 화약류의 제조과정에서 화약류를 일시적으로 저장하는 장소를 말한다.
4. "정체량"이라 함은 동일공실에 저장할 수 있는 화약류의 최대수량을 말한다.
(출처 : 총포ㆍ도검ㆍ화약류 등의 안전관리에 관한 법률 시행령 타법개정 2018. 5. 28. [대통령령 제28919호, 시행 2018. 5. 28.] 경찰청 > 종합법률정보 법령)
69. 화약류 양수하고자 하는 사람은 누구의 허가를 받아야 하는가?
- ① 저장소 관할 지방경찰청장
- ② 저장소 관할 경찰서장
- ③ 주소지 관할 경찰서장
- ④ 사용지 관할 지방경찰청장
등록된 댓글이 없습니다.
70. 화약류 취급소의 설치기준으로 옳지 않은 것은?
- ① 지붕은 스레트기와 그 밖의 불에 타지 아니하는 재료를 사용할 것
- ② 단층 건물로서 목재 또는 이와 동등한 전기가 통하지 않는 재료를 사용하여 도난이나 화재를 방지할 수 있는 구조로 설치할 것
- ③ 문짝 외면에 두께 2mm이상의 철판을 씌우고, 2중 자물쇠 장치를 할 것
- ④ 난방장치를 하는 때에는 온수·증기 또는 열기를 이용하는 것만을 사용할 것
풀이요정2021. 6. 28. 22:08삭제
 제1항의 화약류 취급소는 화약류 사용장소마다 설치하되, 그 설치기준은 다음 각호와 같다.
1. 통로, 통로로 이용되고 있는 갱도, 동력선, 다른 화약류 취급소, 화약류 저장소, 화기취급장소 및 사람이 출입하는 건축물등에 대하여 안전하고 습기가 적은 장소에 설치할 것
2. 단층 건물로서 철근 콘크리트조, 콘크리트블럭조 또는 이와 동등이상의 견고한 재료를 사용하여 도난이나 화재를 방지할 수 있는 구조로 설치할 것
3. 지붕은 스레트·기와 그밖의 불에 타지 아니하는 재료를 사용할 것
4. 건물 내면은 방습·방수제인 페인트나 나무판자로 하고, 철물류가 건물내부 표면에 나타나지 아니하도록 할 것
5. 문짝 외면에 두께 2밀리미터이상의 철판을 씌우고, 2중 자물쇠 장치를 할 것
6. 난방장치를 하는 때에는 온수·증기 또는 열기를 이용하는 것만을 사용할 것
(출처 : 총포ㆍ도검ㆍ화약류 등의 안전관리에 관한 법률 시행령 타법개정 2021. 1. 5. [대통령령 제31380호, 시행 2021. 1. 5.] 경찰청 > 종합법률정보 법령)
71. 야간에 화약류를 운반하는 도중 주차하고자 할 때 차량의 전방과 후방의 얼마 지점에 적색등불을 다는가?
- ① 50m 지점
- ② 30m 지점
- ③ 150m 지점
- ④ 10m 지점
나야나2021. 6. 28. 22:44삭제
3번에 15m
72. 화약류 사용장소에서 화약류관리보안책임자의 안전상 지시·감독에 따르지 아니한 화약류 취급자에 대한 벌칙으로 맞는 것은?
- ① 5년 이하의 징역 또는 1천만원 이하의 벌금
- ② 3년 이하의 징역 또는 700만원 이하의 벌금
- ③ 2년 이하의 징역 또는 500만원 이하의 벌금
- ④ 300만원 이하의 과태료
등록된 댓글이 없습니다.
73. 화약류를 운반하는 차량에 운반표지를 하지 않아도 되는 것으로 옳은 것은?
- ① 폭약 10kg
- ② 도폭선 1000m
- ③ 총용뇌관 20000개
- ④ 미진동파쇄기 1000개
등록된 댓글이 없습니다.
74. 화약류 취급에 관한 설명 중 잘못된 것은?
- ① 사용이 적합하지 아니한 화약류는 화약류 저장소에 반납 할 것
- ② 굳어진 다이나마이트는 손으로 주물러서 부드럽게 할 것
- ③ 낙뢰의 위험이 있기 때에는 전기뇌관에 관계되는 작업을 하지 아니할 것
- ④ 얼어서 굳어진 다이나마이트는 섭씨 80도이하의 온탕을 바깥통으로 사용한 융해기 또는 섭씨 50도이하의 온도를 유지하는 실내에서 누그러 뜨릴 것
등록된 댓글이 없습니다.
75. 보안물건의 구분으로 틀린 것은?
- ① 제1종 : 학교, 병원
- ② 제2종 : 촌락의 주택, 공원
- ③ 제3종 : 변전소, 발전소, 고압전선
- ④ 제4종 : 화약류취급소, 화기취급소
등록된 댓글이 없습니다.
76. 다음 ( )안에 들어갈 수치를 차례대로 옳게 나타낸 것은?

- ① 50, 80
- ② 80, 50
- ③ 100, 70
- ④ 70, 100
등록된 댓글이 없습니다.
77. 불발된 장약에 대한 조치로 옳지 않은 것은?
- ① 장전된 화약류를 점화하여도 폭발되지 않을 때에는 점화 후 10분이상(전기발파의 경우 5분이상) 경과한 후가 아니면 화약류를 장전한 것에 사람의 출입을 금지할 것
- ② 불발된 천공된 구멍으로부터 60cm이상(손으로 뚫은 구멍인 경우에는 30cm이상)의 간격을 두고 평행으로 천공하여 다시 발파하고 불할한 화약류를 회수할 것
- ③ 불발된 발파공에 압축공기를 넣어 메지를 뽑아내거나 뇌관에 영향을 미치지 아니하게 하면서 조금씩 장전하고 다시 점화할 것
- ④ 불발된 천공된 구멍에 고무호오스로 물을 주입하고 그 물의 힘으로 메지와 화약류를 흘러나오게 하여 불발된 화약류를 회수할 것
등록된 댓글이 없습니다.
78. 화약류의 판매업을 허가를 받지 아니하고 영위하였다면 어떤 처벌을 받는가?
- ① 1년 이하의 징역 또는 500만원 이하의 벌금
- ② 3년 이하의 징역 또는 700만원 이하의 벌금
- ③ 5년 이하의 징역 또는 1000만원 이하의 벌금
- ④ 10년 이하의 징역 또는 2000만원 이하의 벌금
화약2021. 8. 9. 11:50삭제
법 개정으로 10년 이하의 징역 또는 5000만원 이하의 벌금
79. 화약류 사용자가 화약류를 화약류저장소 외의 장소에 저장하는 등 저장기준을 위반하였을 경우 행정처분 기준으로 옳은 것은? (단, 3회 위반임)
- ① 6월 효력정지
- ② 3월 효력정지
- ③ 1월 효력정지
- ④ 면허취소
등록된 댓글이 없습니다.
80. 피뢰장치의 위치·형식·구조 및 재료 등의 기분 중 피보호건물의 상단으로부터 돌침의 상단까지의 높이는 최소 몇 m이상으로 하여야 하는가?
- ① 10m 이상
- ② 5m 이상
- ③ 3m 이상
- ④ 2.5m 이상
등록된 댓글이 없습니다.
5과목 : 굴착공학
81. 다음 드림과 같은 토질사면에 발생하는 인장균열(tensile crack)의 깊이 z를 이론적으로 결정하는 데 필요한 토질의 물성치가 아닌 것은?

- ① 점착력
- ② 단위중량
- ③ 내부마찰각
- ④ 지지력 계수
등록된 댓글이 없습니다.
82. 다음 중 SiO2의 함량에 따라 화성암을 분류할 때 중성암에 해당하는 것은?
- ① 안산암
- ② 유문암
- ③ 반려암
- ④ 현무암
등록된 댓글이 없습니다.
83. 사면의 주향과 동일한 방향의 주향을 갖고 사면경사와 반대 방향의 급경사를 나타내는 불연속면이 존재하는 사면에서 발생할 수 있는 사면 파괴형태로 알맞은 것은?
- ① 쐐기파괴
- ② 원호파괴
- ③ 전도파괴
- ④ 평면파괴
등록된 댓글이 없습니다.
84. 다음 NATM 보조공법 중 배수공법이 아닌 것은?
- ① 물빼기시추공법
- ② 약액주입공법
- ③ Deep well공법
- ④ Well point 공법
등록된 댓글이 없습니다.
85. NATM 시공을 위해 지질조사를 계획하여 실시할 때 주목해야 할 사항으로 옳지 않은 것은?
- ① 팽압의 유무
- ② 암반의 자립성
- ③ 용수량, 용수압
- ④ 암반의 유도응력상태
등록된 댓글이 없습니다.
86. 다음 중 숏크리트의 작용 효과에 해당하지 않은 것은?
- ① 내압 효과
- ② 빔 형성 효과
- ③ 낙석의 방지 효과
- ④ 지반 아지 형성 효과
등록된 댓글이 없습니다.
87. 다음 중 수직분할 굴착공법으로 옳은 것은?
- ① 롱벤치컷공법
- ② 중벽분할공법
- ③ 미니벤치컷공법
- ④ 가인버트 굴착공법
등록된 댓글이 없습니다.
88. Terzaghi의 암반 하중분류법에서 암반하중이 가장 크게 작용하는 암반상태로 옳은 것은?
- ① 팽창성 암반
- ② 압착성 암반
- ③ 파쇄기 심한 암반
- ④ 심한 블록상 층상 암반
등록된 댓글이 없습니다.
89. 임의 지역에서 암반평가를 실시한 결과, RQD=70, Jn=7.0, Jr=2.0, 절리면의 변질계수는 2.0, Jw=1.0, SRF=1.0인 경우 Q값은?
- ① 10
- ② 15
- ③ 20
- ④ 30
요정2022. 3. 1. 22:56삭제
RQD/Jn+Jr/Ja+Jw/SRF
90. 마찰각이 35°, 단위중량이 17kN/m3인 모래를 지지하고 있는 높이 5.5m의 연직벽체에 작용하는 전주동 토압은? (단, 모래의 표면은 수평이고, 수위면은 벽체바닥아래에 있다.)
- ① 57.4kN/m
- ② 69.4kN/m
- ③ 77.4kN/m
- ④ 87.4kN/m
등록된 댓글이 없습니다.
91. 도시생활의 기반이 되는 통신시설 및 전력시설의 지중화는 지하의 어떤 특성을 이용한 것인가?
- ① 격리성
- ② 저장성
- ③ 차광성
- ④ 차음성
등록된 댓글이 없습니다.
92. 터널의 특수굴착공법 중 침매공법에 대한 설명으로 옳지 않은 것은?
- ① 하첨, 해역 등 수조에 터널을 설치하는 경우 이용하는 공법이다.
- ② 지반중을 굴진하는 터널에 비하여 터널 전체 길이를 단축할 수 있다.
- ③ 단면 형상은 유속, 수심 등의 영향으로 선택의 폭이 좁은 단점이 있다.
- ④ 침매공법의 적용시 다량 발생되는 준설토사의 처분문제 등을 고려하여야 한다.
등록된 댓글이 없습니다.
93. 다음 중 개방형 TBM의 굴착 중 암분이 수반된 암석 조각들이 발생에 따른 분진의 발생을 억제하거나 분진을 제거하는 방치가 아닌 것은?
- ① 세그먼트 쉴드
- ② 분진 배출 시스템
- ③ 커터 헤드 후면의 분진 쉴드
- ④ 커터 헤드에서 물을 분사하는 장치
등록된 댓글이 없습니다.
94. 숏크리트 타설 시 첨가되는 급결제의 조건으로 옳지 않은 것은?
- ① 우수한 흡수성
- ② 강재의 부식장지
- ③ 초기강도의 구현
- ④ 최종강도에 영향을 주지 않음
등록된 댓글이 없습니다.
95. 암반사면의 파괴형태가 발생할 수 있는 조건으로 옳지 않은 것은?
- ① 평면파괴 : 불연속면이 한 개만 발달한 경우
- ② 쐐기파괴 : 불연속면이 두 방향으로 발달하여 교차되는 경우
- ③ 전도파괴 : 사면의 경사방향과 불연속면 경사방향이 이치하는 경우
- ④ 원호파괴 : 불연속면이 많이 발달하여 뚜렷한 구조적 특징이 없는 경우
등록된 댓글이 없습니다.
96. 역학적인 이방성암석으로 취급되어야 하는 것은?
- ① 응회암
- ② 현무암
- ③ 화강암
- ④ 결정편암
등록된 댓글이 없습니다.
97. 암반의 초기응력을 구하기 위한 방법 중의 하나로써, 일축압축시험에서 얻어진 응력-변형률 고건의 기울기의 변화로부터 초기응력을 산정하는 방법에 해당하는 것은?
- ① AE법
- ② DRA법
- ③ Doorstopper법
- ④ Flat jack법
등록된 댓글이 없습니다.
98. 다음 중 옹벽에 작용하는 토압의 크기 순서로 옳은 것은?
- ① 정지토압 > 수동토압 > 주동토압
- ② 주동토압 > 정지토압 > 수동토압
- ③ 수동토압 > 주동토압 > 정지토압
- ④ 수동토압 > 정지토압 > 주동토압
등록된 댓글이 없습니다.
99. 다음 중 지표지질조사와 관계가 없는 것은?
- ① 필요하면 지질공학도를 작성한다.
- ② 단층, 습곡, 절리 등의 지질구조도를 작성한다.
- ③ 광역적인 지질분포 양상 및 지질구조선을 평가한다.
- ④ 암석의 분포상태나 특성을 파악하여 지질재해의 가능성을 검토한다.
등록된 댓글이 없습니다.
100. 천정부에 두께가 1.1m인 절리 암층이 존재하는 터널의 안정성 확보를 위하여 종방향, 횡방향으로 간격이 1.5m가 되도록 록볼트를 설치하였을 때, 록볼트의 안전율은? (단, 암반의 단위중량은 2.7ton/m3, 록볼트의 극한지지하중은 8ton이다.)
- ① 0.7
- ② 1.0
- ③ 1.2
- ④ 1.6
등록된 댓글이 없습니다.