전기기사(2020. 6. 6.) 시험일자 : 2020년 6월 6일
1과목 : 전기자기학
1. 반자성체의 비투자율(μr) 값의 범위는?
- ① μr=1
- ② μr<1
- ③ μr>1
- ④ μr=0
초롱초롱2022. 6. 1. 11:20삭제
상자성체가 1보다 약간 크고 강자성체는 1보다 많이 크고 반자성체는 1보다 작다.답2번 맞는데쵸
ㅇㅇ2021. 7. 1. 19:23삭제
뭔 소리임; 반자성체면 비투자율 범위가 1보다 작거나 같을텐데
dr2021. 4. 27. 14:58삭제
이거 답 3번
2. 자기회로에서 자기저항의 크기에 대한 설명으로 옳은 것은?
- ① 자기회로의 길이에 비례
- ② 자기회로의 단면적에 비례
- ③ 자성체의 비투자율에 비례
- ④ 자성체의 비투자율의 제곱에 비례
등록된 댓글이 없습니다.
3. 자기 인덕턴스와 상호 인덕턴스와의 관계에서 결합계수 k의 범위는?
- ① 0 ≤ k ≤ 1/2
- ② 0 ≤ k ≤ 1
- ③ 1 ≤ k ≤ 2
- ④ 1 ≤ k ≤ 10
등록된 댓글이 없습니다.
4. 전위함수 V=x2+y2(V)일 때 점 (3, 4)(m)에서의 등전위선의 반지름은 몇 m이며, 전기력선 방정식은 어떻게 되는가?
- ① 등전위선의 반지름 : 3, 전기력선 방정식 :

- ② 등전위선의 반지름 : 4, 전기력선 방정식 :

- ③ 등전위선의 반지름 : 5, 전기력선 방정식 :

- ④ 등전위선의 반지름 : 5, 전기력선 방정식 :

등록된 댓글이 없습니다.
5. 공기 중에 있는 무한히 긴 직선 도선에 10 A의 전류가 흐르고 있을 때 도선으로부터 2m 떨어진 점에서의 자속밀도는 몇 Wb/m2인가?
- ① 10-5
- ② 0.5×10-6
- ③ 10-6
- ④ 2×10-6
등록된 댓글이 없습니다.
6. 정전계 해석에 관한 설명으로 틀린 것은?
- ① 포아송 방정식은 가우스 정리의 미분형으로 구할 수 있다.
- ② 도체 표면에서의 전계의 세기는 표면에 대해 법선 방향을 갖는다.
- ③ 라플라스 방정식은 전극이나 도체의 형태에 관계없이 체적 전하밀도가 0인 모든 점에서 ∇2V=0을 만족한다.
- ④ 라플라스 방정식은 비선형 방정식이다.
등록된 댓글이 없습니다.
7. 10㎜의 지름을 가진 동선에 50A의 전류가 흐르고 있을 때 단위시간 동안 동선의 단면을 통과하는 전자의 수는 약 몇 개인가?
- ① 7.85×1016
- ② 20.45×1015
- ③ 31.21×1019
- ④ 50×1019
등록된 댓글이 없습니다.
8. 유전율이 ε1, ε2(F/m)인 유전체 경계면에 단위 면적당 작용하는 힘의 크기는 몇 N/m2인가? (단, 전계가 경계면에 수직인 경우이며, 두 유전체에서의 전속밀도는 D1=D2=D(C/m2)이다.)
- ①

- ②

- ③

- ④

등록된 댓글이 없습니다.
9. 반지름 r(m)인 무한장(원통형) 도체에 전류가 균일하게 흐를 때 도체 내부에서 자계의 세기(AT/m)는?
- ① 원통 중심축으로부터 거리에 비례한다.
- ② 원통 중심축으로부터 거리에 반비례한다.
- ③ 원통 중심축으로부터 거리의 제곱에 비례한다.
- ④ 원통 중심축으로부터 거리의 제곱에 반비례한다.
ㅇㅇ2021. 7. 29. 19:45삭제
자계 H는 전류에 비례함, 도체 내부에 전류가 일정하게 흐르기 때문에, 임의의 반지름 선이 길어질수록 선에 걸리는 전류선이 많아지게 됨으로서 거리r이 증가할수록 I가 비례, 즉 H가 비례한다는 뜻이 된다.
10. 전계 및 자계의 세기가 각각 E(V/m), H(AT/m)일 때, 포인팅 벡터 P(W/m2)의 표현으로 옳은 것은?
- ① P=1/2E×H
- ② P=E rot H
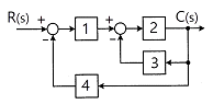
- ③ P=E×H
- ④ P=H rot E
등록된 댓글이 없습니다.
11. 그림과 같이 내부 도체구 A에 +Q(C), 외부 도체구 B에 –Q(C)를 부여한 동심 도체구 사이의 정전용량 C(F)는?

- ① 4πε0
- ②

- ③

- ④

등록된 댓글이 없습니다.
12. 비유전율 εr이 4인 유전체의 분극률은 진공의 유전율의 몇 배인가?
- ① 1
- ② 3
- ③ 9
- ④ 12
등록된 댓글이 없습니다.
13. 면적이 매우 넓은 두 개의 도체판을 d(m) 간격으로 수평하게 평행 배치하고, 이 평행 도체 판 사이에 놓인 전자가 정지하고 있기 위해서 그 도체 판 사이에 가하여야할 전위차(V)는? (단, g는 중력 가속도이고, m은 전자의 질량이고, e는 전자의 전하량이다.)
- ① mged
- ② ed/mg
- ③ mgd/e
- ④ mge/d
등록된 댓글이 없습니다.
14. 진공 중 3m 간격으로 두 개의 평행판 무한평판 도체에 각각 +4C/m2, -4C/m2의 전하를 주었을 때, 두 도체 간의 전위차는 약 몇 V인가?
- ① 1.5×1011
- ② 1.5×1012
- ③ 1.36×1011
- ④ 1.36×1012
등록된 댓글이 없습니다.
15. 평등자계 내에 전자가 수직으로 입사하였을 때 전자의 운동에 대한 설명으로 옳은 것은?
- ① 원심력은 전자속도에 반비례한다.
- ② 구심력은 자계의 세기에 반비례한다.
- ③ 원운동을 하고, 반지름은 자계의 세기에 비례한다.
- ④ 원운동을 하고, 반지름은 전자의 회전속도에 비례한다.
ㅇㅇ2021. 7. 29. 20:02삭제
전자의 회전속도라 함은 주기라고 할 수 있는데, 주파수f=qB/2pim이므로 로렌츠 힘 qvB= 구심력 mv^2/r을 통해 식을 이전시키면 f=mv^2/2pimrB가 되므로 f=1/T인 상황에서 주기는 r과 비례한다가 될 수 있다.
16. 자속밀도 B(Wb/m2)의 평등 자계 내에서 길이 ℓ(m) 인 도체 ab가 속도 v(m/s)로 그림과 같이 도선을 따라서 자계와 수직으로 이동할 때, 도체 ab에 의해 유기된 기전력의 크기 e(V)와 폐회로 abcd 내 저항 R에 흐르는 전류의 방향은? (단, 폐회로 abcd 내 도선 및 도체의 저항은 무시한다.)

- ① e=Blv, 전류방향 : c→d
- ② e=Blv, 전류방향 : d→c
- ③ e=Blv2, 전류방향 : c→d
- ④ e=Blv2, 전류방향 : d→c
등록된 댓글이 없습니다.
17. 자기유도계수 L의 계산 방법이 아닌 것은? (단, N : 권수, ø : 자속(Wb), I : 전류(A), A : 벡터퍼텐셜(Wb/m), i : 전류밀도(A/m2), B(Wb/m2), H : 자계의 세기(AT/m)이다.
- ①

- ②

- ③

- ④

등록된 댓글이 없습니다.
18. 면적이 S(m2)이고 극간의 거리가 d(m)인 평행판 콘덴서에 비유전율이 εr인 유전체를 채울 때 정전용량 (F)은? (단, ε0는 진공의 유전율이다.)
- ①

- ②

- ③

- ④

등록된 댓글이 없습니다.
19. 그림에서 N=1000회, I=100㎝, S=10cm2인 환상 철심의 자기 회로에 전류 I=10(A)를 흘렸을 때 축적되는 자계 에너지는 몇 J인가? (단, 비투자율 μr=100이다.)

- ① 2π×10-3
- ② 2π×10-2
- ③ 2π×10-1
- ④ 2π
sj2020. 9. 4. 13:08삭제
비투자율 100, l(길이)=100cm=1m라 0.1이 아닌 1로 바꿔서 대입해서 풀면 답이 나옵니다
20. 20℃에서 저항의 온도계수가 0.002인 니크롬선의 저항이 100Ω이다. 온도가 60℃로 상승되면 저항은 몇 Ω이 되겠는가?
- ① 108
- ② 112
- ③ 115
- ④ 120
등록된 댓글이 없습니다.
2과목 : 전력공학
21. 송배전 선로에서 선택지락계전기(SGR)의 용도는?
- ① 다회선에서 접지 고장 회선의 선택
- ② 단일 회선에서 접지 전류의 대소 선택
- ③ 단일 회선에서 접지 전류의 방향 선택
- ④ 단일 회선에서 접지 사고의 지속 시간 선택
등록된 댓글이 없습니다.
22. 3상 3선식에서 전선 한 가닥에 흐르는 전류는 단상 2선식의 경우의 몇 배가 되는가? (단, 송전전력, 부하역률, 송전 거리, 전력손실 및 선간전압이 같다.)
- ① 1/√3
- ② 2/3
- ③ 3/4
- ④ 4/9
등록된 댓글이 없습니다.
23. 단로기에 대한 설명으로 틀린 것은?
- ① 소호장치가 있어 아크를 소멸 시킨다.
- ② 무부하 및 여자전류의 개폐에 사용된다.
- ③ 사용 회로수에 의해 분류하면 단투형과 쌍투형이 있다.
- ④ 회로의 분리 또는 계통의 접속 변경 시 사용한다.
등록된 댓글이 없습니다.
24. 중성점 직접접지방식의 발전기가 있다. 1선 지락 사고 시지락전류는? (단, Z1, Z2, Z3는 각각 정상, 역상, 영상 임피던스이며, Ea는 지락된 상의 무부하 기전력이다.
- ①

- ②

- ③

- ④

등록된 댓글이 없습니다.
25. 정격전압 7.2kV, 정격차단용량 100MVA인 3상 차단기의 정격 차단전류는 약 몇 kA인가?
- ① 4
- ② 6
- ③ 7
- ④ 8
등록된 댓글이 없습니다.
26. 일반 회로정수가 같은 평형 2회선에서 A, B, C, D는 각각 1회선의 경우의 몇 배로 되는가?
- ① A : 2배, B : 2배, C : 1/2배, D : 1배
- ② A : 1배, B : 2배, C : 1/2배, D : 1배
- ③ A : 1배, B : 1/2배, C : 2배, D : 1배
- ④ A : 1배, B : 1/2배, C : 2배, D : 2배
등록된 댓글이 없습니다.
27. 전선의 표피 효과에 대한 설명으로 알맞은 것은?
- ① 전선이 굵을수록, 주파수가 높을수록 커진다.
- ② 전선이 굵을수록, 주파수가 낮을수록 커진다.
- ③ 전선이 가늘수록, 주파수가 높을수록 커진다.
- ④ 전선이 가늘수록, 주파수가 낮을수록 커진다.
등록된 댓글이 없습니다.
28. 전력설비의 수용률을 나타낸 것은?
- ①

- ②

- ③

- ④

등록된 댓글이 없습니다.
29. 30,000kW의 전력을 51㎞ 떨어진 지점에 송전하는데 필요한 전압은 약 몇 kV인가? (단, Still의 식에 의하여 산정한다.)
- ① 22
- ② 33
- ③ 66
- ④ 100
gh07292024. 4. 6. 22:56삭제
추천합니다.
ㅇㅇ2021. 7. 13. 18:00삭제
still식이란 5.5root(0.6L+0.01P)=V가 되는 식이다. 따라서, 100V
30. 증기터빈 출력을 P(kW), 증기량을 W(t/h), 초압 및 배기의 증기 엔탈피를 각각 i0, i1(kcal/kg)이라 하면 터빈의 효율 ηT(%)는?
- ①

- ②

- ③

- ④

등록된 댓글이 없습니다.
31. 다음 중 송전계통의 절연협조에 있어서 절연레벨이 가장 낮은 기기는?
- ① 피뢰기
- ② 단로기
- ③ 변압기
- ④ 차단기
등록된 댓글이 없습니다.
32. 수전단의 전력원 방정식이 Pr2+(Qr+400)2=250000으로 표현되는 전력계통에서 조상설비 없이 전압을 일정 하게 유지하면서 공급할 수 있는 부하전력은? (단, 부하는 무유도성이다.)
- ① 200
- ② 250
- ③ 300
- ④ 350
등록된 댓글이 없습니다.
33. 송전선로에서 가공지선을 설치하는 목적이 아닌 것은?
- ① 뇌(雷)의 직격을 받을 경우 송전선 보호
- ② 유도뢰에 의한 송전선의 고전위 방지
- ③ 통신선에 대한 전자유도장해 경감
- ④ 철탑의 접지저항 경감
등록된 댓글이 없습니다.
34. 고장 즉시 동작하는 특성을 갖는 계전기는?
- ① 순시 계전기
- ② 정한시 계전기
- ③ 반한시 계전기
- ④ 반한시성 정한시 계전기
등록된 댓글이 없습니다.
35. 댐의 부속설비가 아닌 것은?
- ① 수로
- ② 수조
- ③ 취수구
- ④ 흡출관
등록된 댓글이 없습니다.
36. 4단자 정수 A=0.9918+j0.0042, B=34.17+50.38, C=(-0.006+j3247)×10-4인 송전선로의 송전단에 66kV를 인가하고 수전단을 개방하였을 때 수전단 선간 전압은 약 몇 kV인가?
- ① 66.55/√3
- ② 62.5
- ③ 62.5/√3
- ④ 66.55
ㅇㅇ2021. 7. 29. 20:36삭제
Es=AEr이 되므로 Er=(1/A)Es이다, 따라서 (1/0.9918)*66k 하게 된다면 66.55kV가 나옴
37. 3상 배전선로의 말단에 역률 60%(늦음), 60kW의 평형 3상 부하가 있다. 부하점에 부하와 병렬로 전력용콘덴서를 접속하여 선로손실을 최소로 하고자 할 때 콘덴서 용량(kVA)은? (단, 부하단의 전압은 일정하다.)
- ① 40
- ② 60
- ③ 80
- ④ 100
등록된 댓글이 없습니다.
38. 화력발전소에서 절탄기의 용도는?
- ① 보일러에 공급되는 급수를 예열한다.
- ② 포화증기를 과열한다.
- ③ 연소용 공기를 예열한다.
- ④ 석탄을 건조한다.
등록된 댓글이 없습니다.
39. 변전소에서 비접지 선로의 접지보호용으로 사용되는 계전기에 영상전류를 공급하는 것은?
- ① CT
- ② GPT
- ③ ZCT
- ④ PT
등록된 댓글이 없습니다.
40. 사고, 정전 등의 중대한 영향을 받는 지역에서 정전과 동시에 자동적으로 예비전원용 배전선로로 전환하는 장치는?
- ① 차단기
- ② 리클로저(Recloser)
- ③ 섹셔널라이저(Sectionalizer)
- ④ 자동부하 전환개폐기(Auto Load Transfer Switch)
등록된 댓글이 없습니다.
3과목 : 전기기기
41. 3상 20,000kVA인 동기발전기가 있다. 이 발전기는 60㎐일 때는 200rpm, 50㎐일 때는 약 167rpm으로 회전한 다. 이 동기발전기의 극수는?
- ① 18극
- ② 36극
- ③ 54극
- ④ 72극
등록된 댓글이 없습니다.
42. 전원전압이 100V인 단상 전파정류제어에서 점호각이 30°일 때 직류 평균전압은 약 몇 V인가?
- ① 54
- ② 64
- ③ 84
- ④ 94
ㅇㅇ2021. 7. 29. 20:44삭제
Edc=2root(2)/pi x E x ((1+cos(a))/2)로써 대략 84V가 나온다
43. 단자전압 110V, 전기자 전류 15 A, 전기자 회로의 저항 2Ω, 정격속도 1800rpm으로 전부하에서 운전하고 있는 직류 분권전동기의 토크는 약 몇 Nㆍm인가?
- ① 6.0
- ② 6.4
- ③ 10.08
- ④ 11.14
ㅇㅇ2021. 7. 15. 14:13삭제
단자전압은 Vt, 전기자 전압은 Ea이며, 전동기이므로 Ea=Vt-(Ra*Ia)이므로 80V, EaIa=T*Wm이므로 T=EaIa/Wm이 된다, (80*15)/((1800*2Pi)/60)하면 6.36...이 나오므로 대략 6.4가 정답이다
44. 단상 유도전동기의 분상 기동형에 대한 설명으로 틀린 것은?
- ① 보조권선은 높은 저항과 낮은 리액턴스를 갖는다.
- ② 주권선은 비교적 낮은 저항과 높은 리액턴스를 갖는다.
- ③ 높은 토크를 발생시키려면 보조권선에 병렬로 저항을 삽입한다.
- ④ 전동기가 기동하여 속도가 어느 정도 상승하면 보조 권선을 전원에서 분리해야 한다.
등록된 댓글이 없습니다.
45. 직류발전기에 P(Nㆍm/s)의 기계적 동력을 주면 전력은 몇 W로 변환되는가? (단, 손실은 없으며, Ia는 전기자 도체의 전류, e는 전기자 도체의 유기기전력, Z는 총도체수이다.)
- ① P=iaeZ
- ②

- ③

- ④

등록된 댓글이 없습니다.
46. 용량 1kVA, 3000/200V의 단상변압기를 단권변압기로 결선해서 3000/3200V의 승압기로 사용할 때 그 부하 용량(kVA)은?
- ① 1/16
- ② 1
- ③ 15
- ④ 16
등록된 댓글이 없습니다.
47. 유도전동기를 정격상태로 사용 중, 전압이 10 % 상승할 때 특성변화로 틀린 것은? (단, 부하는 일정토크라고 가정 한다.)
- ① 슬립이 작아진다.
- ② 역률이 떨어진다.
- ③ 속도가 감소한다.
- ④ 히스테리시스손과 와류손이 증가한다.
ㅇㅇ2021. 7. 15. 14:24삭제
농형유도전동기의 경우 주파수, 전압, 극수변환을 통해 속도제어가 가능하다
48. 단상 유도전동기의 기동 시 브러시를 필요로 하는 것은?
- ① 분상 기동형
- ② 반발 기동형
- ③ 콘덴서 분상 기동형
- ④ 셰이딩 코일 기동형
등록된 댓글이 없습니다.
49. 스텝모터에 대한 설명으로 틀린 것은?
- ① 가속과 감속이 용이하다.
- ② 정ㆍ역 및 변속이 용이하다.
- ③ 위치제어 시 각도 오차가 작다.
- ④ 브러시 등 부품수가 많아 유지보수 필요성이 크다.
등록된 댓글이 없습니다.
50. 직류전동기의 워드레오나드 속도제어 방식으로 옳은 것은?
- ① 전압제어
- ② 저항제어
- ③ 계자제어
- ④ 직병렬제어
등록된 댓글이 없습니다.
51. 출력이 20kW인 직류발전기의 효율이 80 % 이면 전 손실은 약 몇 kW인가?
- ① 0.8
- ② 1.25
- ③ 5
- ④ 45
등록된 댓글이 없습니다.
52. 전압변동률이 작은 동기발전기의 특성으로 옳은 것은?
- ① 단락비가 크다.
- ② 속도변동률이 크다.
- ③ 동기 리액턴스가 크다.
- ④ 전기자 반작용이 크다.
등록된 댓글이 없습니다.
53. 변압기의 %Z가 커지면 단락전류는 어떻게 변화하는가?
- ① 커진다.
- ② 변동 없다.
- ③ 작아진다.
- ④ 무한대로 커진다.
등록된 댓글이 없습니다.
54. 단권변압기의 설명으로 틀린 것은?
- ① 분로권선과 직렬권선으로 구분된다.
- ② 1차권선과 2차권선의 일부가 공동으로 사용된다.
- ③ 3상에는 사용할 수 없고 단상으로만 사용한다.
- ④ 분로권선에서 누설자속이 없기 때문에 전압변동률이 작다.
등록된 댓글이 없습니다.
55. 도통(on)상태에 있는 SCR을 차단(off)상태로 만들기 위해서는 어떻게 하여야 하는가?
- ① 게이트 펄스전압을 가한다.
- ② 게이트 전류를 증가시킨다.
- ③ 게이트 전압이 부(-)가 되도록 한다.
- ④ 전원전압의 극성이 반대가 되도록 한다.
등록된 댓글이 없습니다.
56. 동기전동기의 공급전압과 부하를 일정하게 유지하면서 역률을 1로 운전하고 있는 상태에서 여자전류를 증가시키면 전기자전류는?
- ① 앞선 무효전류가 증가
- ② 앞선 무효전류가 감소
- ③ 뒤진 무효전류가 증가
- ④ 뒤진 무효전류가 감소
등록된 댓글이 없습니다.
57. 계자권선이 전기자에 병렬로만 연결된 직류기는?
- ① 분권기
- ② 직권기
- ③ 복권기
- ④ 타여자기
등록된 댓글이 없습니다.
58. 정격전압 6600V인 3상 동기발전기가 정격출력(역률=1)으로 운전할 때 전압변동률이 12%이었다. 여자전류와 회전수를 조정하지 않은 상태로 무부하 운전하는 경우 단자전압(V)은?
- ① 6433
- ② 6943
- ③ 7392
- ④ 7842
등록된 댓글이 없습니다.
59. 1차전압 6600V, 권수비 30인 단상변압기로 전등부하에 30A를 공급할 때의 입력(kW)은? (단, 변압기의 손실은 무시한다.)
- ① 4.4
- ② 5.5
- ③ 6.6
- ④ 7.7
등록된 댓글이 없습니다.
60. 3선 중 2선의 전원 단자를 서로 바꾸어서 결선하면 회전 방향이 바뀌는 기기가 아닌 것은?
- ① 회전변류기
- ② 유도전동기
- ③ 동기전동기
- ④ 정류자형 주파수 변환기
등록된 댓글이 없습니다.
4과목 : 회로이론 및 제어공학
61. 특성방정식이 s3+2s2+Ks+10=0로 주어지는 제어시스템이 안정하기 위한 K의 범위는?
- ① K>0
- ② K>5
- ③ K<0
- ④ 0<K<5
등록된 댓글이 없습니다.
62. Z변환된 함수 에 대응되는 라플라스 변환 함수는?
- ①

- ②

- ③

- ④

등록된 댓글이 없습니다.
63. 그림과 같은 논리회로의 출력 Y는?

- ①

- ②

- ③

- ④

등록된 댓글이 없습니다.
64. 안정한 제어시스템의 보드선도에서 이득여유는?
- ① -20~20dB 사이에 있는 크기(dB) 값이다.
- ② 0~20dB 사이에 있는 크기 선도의 길이이다.
- ③ 위상이 0°가 되는 주파수에서 이득의 크기(dB)이다.
- ④ 위상이 –180°가 되는 주파수에서 이득의 크기(dB)이다.
등록된 댓글이 없습니다.
65. 그림과 같은 제어시스템의 전달함수 는?

- ① 1/15
- ② 2/15
- ③ 3/15
- ④ 4/15
등록된 댓글이 없습니다.
66. 다음과 같은 미분방정식으로 표현되는 제어시스템의 시스템 행렬 A는?

- ①

- ②

- ③

- ④

등록된 댓글이 없습니다.
67. 그림의 신호흐름선도에서 전달함수 는?

- ①

- ②

- ③

- ④

등록된 댓글이 없습니다.
68. 제어시스템의 개루프 전달함수가 로 주어질 때, 다음 중 인 경우 근궤적의 점근선이 실수축과 이루는 각 (°)은?
- ① 20°
- ② 60°
- ③ 90°
- ④ 120°
등록된 댓글이 없습니다.
69. 단위 피드백 제어계에서 개루프 전달함수 G(s)가 다음과 같이 주어졌을 때 단위 계단 입력에 대한 정상상태 편차는?

- ① 0
- ② 1
- ③ 2
- ④ 3
ㅇㅇ2021. 7. 13. 20:21삭제
1/1+Kp==> s(s+1)(s+2)/s(s+1)(s+2)+5이며, lim sF(s)*R(s)인데 R(s)는 1/s이므로 상쇄됨, 정상상태이므로 t->oo, s->0으로 향하므로 정상상태 편차는 0/5, 즉 0이 된다
70. 전달함수가 인 제어기가 있다. 이 제어기는 어떤 제어기인가?
- ① 비례 미분 제어기
- ② 적분 제어기
- ③ 비례 적분 제어기
- ④ 비례 적분 미분 제어기
등록된 댓글이 없습니다.
71. f(t)=t2e-at를 라플라스 변환하면?
- ①

- ②

- ③

- ④

등록된 댓글이 없습니다.
72. 3상 전류가 Ia=10+j3(A), Ib=-5-12(A), Ic=-3+j4일 때 정상분 전류의 크기는 약 몇 A 인가?
- ① 5
- ② 6.4
- ③ 10.5
- ④ 13.34
ㅇㅇ2024. 2. 21. 22:14삭제
-12가 아니라 -2j임 ㅡ ㅡ
73. 선로의 단위 길이 당 인덕턴스, 저항, 정전용량, 누설 컨덕턴스를 각각 L, R, C, G라 하면 전파정수는?
- ①

- ②

- ③

- ④

등록된 댓글이 없습니다.
74. v(t)=3+5√2sinωt+10√2sin(3ωt-π/3)(V)의 실효값 크기는 약 몇 V인가?
- ① 9.6
- ② 10.6
- ③ 11.6
- ④ 12.6
등록된 댓글이 없습니다.
75. 회로에서 0.5Ω 양단 전압(V)은 약 몇 V인가?

- ① 0.6
- ② 0.93
- ③ 1.47
- ④ 1.5
등록된 댓글이 없습니다.
76. 그림은 회로에서 영상임피던스 Z01이 6Ω일 때, 저항 R의 값은 몇 Ω인가?

- ① 2
- ② 4
- ③ 6
- ④ 9
등록된 댓글이 없습니다.
77. 8+j6(Ω)인 임피던스에 13+j20 (V)의 전압을 인가할 때 복소전력은 약 몇 VA인가?
- ① 127+j34.1
- ② 12.7+j55.5
- ③ 45.5+j34.1
- ④ 45.5+j55.5
등록된 댓글이 없습니다.
78. 그림과 같이 결선된 회로의 단자 (a, b, c)에 선간전압 V(V)인 평형 3상 전압을 인가할 때 상전류 I(A)의 크기는?

- ①

- ②

- ③

- ④

등록된 댓글이 없습니다.
79. 결선의 평형 3상 회로에서 선간전압 Vab와 상전압 Van의 관계로 옳은 것은? (단, )
- ①

- ②

- ③

- ④

등록된 댓글이 없습니다.
80. RLC 직렬회로의 파라미터가 의 관계를 가진다면, 이 회로에 직류 전압을 인가하는 경우 과도 응답특성은?
- ① 무제동
- ② 과제동
- ③ 부족제동
- ④ 임계제동
등록된 댓글이 없습니다.
5과목 : 전기설비기술기준 및 판단기준
81. 백열전등 또는 방전등에 전기를 공급하는 옥내전로의 대지전압은 몇 V 이하이어야 하는가? (단, 백열전등 또는 방전등 및 이에 부속하는 전선은 사람이 접촉할 우려가 없도록 시설한 경우이다.)
- ① 60
- ② 110
- ③ 220
- ④ 300
등록된 댓글이 없습니다.
82. 연료전지 및 태양전지 모듈의 절연내력시험을 하는 경우 충전부분과 대지 사이에 인가하는 시험전압은 얼마인가? (단, 연속하여 10분간 가하여 견디는 것이어야 한다.)
- ① 최대사용전압의 1.25배의 직류전압 또는 1배의 교류전압 (500V 미만으로 되는 경우에는 500V)
- ② 최대사용전압의 1.25배의 직류전압 또는 1.25배의 교류 전압 (500 V 미만으로 되는 경우에는 500V)
- ③ 최대사용전압의 1.5배의 직류전압 또는 1배의 교류전압 (500V 미만으로 되는 경우에는 500V)
- ④ 최대사용전압의 1.5배의 직류전압 또는 1.25배의 교류 전압 (500V 미만으로 되는 경우에는 500V)
등록된 댓글이 없습니다.
83. 저압 수상전선로에 사용되는 전선은?
- ① 옥외 비닐 케이블
- ② 600V 비닐절연전선
- ③ 600V 고무절연전선
- ④ 클로로프렌 캡타이어 케이블
등록된 댓글이 없습니다.
84. 교류 전차선 등과 삭도 또는 그 지주 사이에 이격거리를 몇 m 이상 이격하여야 하는가?
- ① 1
- ② 2
- ③ 3
- ④ 4
등록된 댓글이 없습니다.
85. 출퇴표시등 회로에 전기를 공급하기 위한 변압기는 1차측 전로의 대지전압이 300V 이하, 2차측 전로의 사용전압은 몇 V 이하인 절연변압기이어야 하는가?
- ① 60
- ② 80
- ③ 100
- ④ 150
등록된 댓글이 없습니다.
86. 수소 냉각식 발전기 등의 시설기준으로 틀린 것은?
- ① 발전기안 또는 조상기안의 수소의 온도를 계측하는 장치를 시설할 것
- ② 발전기축의 밀봉부로부터 수소가 누설될 때 누설된 수소를 외부로 방출하지 않을 것
- ③ 발전기안 또는 조상기안의 수소의 순도가 85 % 이하로 저하한 경우에 이를 경보하는 장치를 시설할 것
- ④ 발전기 또는 조상기는 수소가 대기압에서 폭발하는 경우에 생기는 압력에 견디는 강도를 가지는 것일 것
등록된 댓글이 없습니다.
87. 전개된 장소에서 저압 옥상전선로의 시설기준으로 적합하지 않은 것은?
- ① 전선은 절연전선을 사용하였다.
- ② 전선 지지점 간의 거리를 20m로 하였다.
- ③ 전선은 지름 2.6㎜의 경동선을 사용하였다.
- ④ 저압 절연전선과 그 저압 옥상 전선로를 시설하는 조영재와의 이격거리를 2m로 하였다.
등록된 댓글이 없습니다.
88. 케이블 트레이 공사에 사용하는 케이블 트레이에 적합하지 않은 것은?
- ① 비금속제 케이블 트레이는 난연성 재료가 아니어도 된다.
- ② 금속재의 것은 적절한 방식처리를 한 것이거나 내식성 재료의 것이어야 한다.
- ③ 금속제 케이블 트레이 계통은 기계적 및 전기적으로 완전 하게 접속하여야 한다.
- ④ 케이블 트레이가 방화구획의 벽 등을 관통하는 경우에 관통부는 불연성의 물질로 충전하여야 한다.
등록된 댓글이 없습니다.
89. 가공전선로의 지지물의 강도계산에 적용하는 풍압하중은 빙설이 많은 지방 이외의 지방에서 저온계절에는 어떤 풍압하중을 적용하는가? (단, 인가가 연접되어 있지 않다고 한다.)
- ① 갑종풍압하중
- ② 을종풍압하중
- ③ 병종풍압하중
- ④ 을종과 병종풍압하중을 혼용
등록된 댓글이 없습니다.
90. 전개된 건조한 장소에서 400V 이상의 저압옥내배선을할 때 특별히 정해진 경우를 제외하고는 시공할 수 없는 공사는?
- ① 애자사용공사
- ② 금속덕트공사
- ③ 버스덕트공사
- ④ 합성수지몰드공사
등록된 댓글이 없습니다.
91. 가공전선로의 지지물에 시설하는 지선으로 연선을 사용할 경우 소선은 최소 몇 가닥 이상이어야 하는가?
- ① 3
- ② 5
- ③ 7
- ④ 9
등록된 댓글이 없습니다.
92. 440V 옥내 배선에 연결된 전동기 회로의 절연저항 최소값은 몇 MΩ인가?
- ① 0.1
- ② 0.2
- ③ 0.4
- ④ 1
등록된 댓글이 없습니다.
93. 태양전지 발전소에 시설하는 태양전지 모듈, 전선 및 개폐기 기타 기구의 시설기준에 대한 내용으로 틀린 것은?
- ① 충전부분은 노출되지 아니하도록 시설할 것
- ② 옥내에 시설하는 경우에는 전선을 케이블 공사로 시설할 수 있다.
- ③ 태양전지 모듈의 프레임은 지지물과 전기적으로 완전하게 접속하여야 한다.
- ④ 태양전지 모듈을 병렬로 접속하는 전로에는 과전류차단기를 시설하지 않아도 된다.
등록된 댓글이 없습니다.
94. 지중 전선로를 직접 매설식에 의하여 시설할 때, 중량물의 압력을 받을 우려가 있는 장소에 저압 또는 고압의 지중전선을 견고한 트라프 기타 방호물에 넣지 않고도 부설할 수 있는 케이블은?
- ① PVC 외장 케이블
- ② 콤바인덕트 케이블
- ③ 염화비닐 절연 케이블
- ④ 폴리에틸렌 외장 케이블
등록된 댓글이 없습니다.
95. 중성점 직접 접지식 전로에 접속되는 최대사용전압 161kV 인 3상 변압기 권선(성형결선)의 절연내력시험을 할 때접지시켜서는 안 되는 것은?
- ① 철심 및 외함
- ② 시험되는 변압기의 부싱
- ③ 시험되는 권선의 중성점 단자
- ④ 시험되지 않는 각 권선(다른 권선이 2개 이상 있는 경우에는 각 권선의 임의의 1단자)
등록된 댓글이 없습니다.
96. 저압 가공전선로 또는 고압 가공전선로의 기설 가공 약전류 전선로가 병행하는 경우에는 유도작용에 의한 통신상의 장해가 생기지 아니하도록 전선과 기설 약전류 전선간의 이격거리는 몇 m 이상이어야 하는가? (단, 전기철도용 급전선로는 제외한다.)
- ① 2
- ② 4
- ③ 6
- ④ 8
등록된 댓글이 없습니다.
97. 저압전로에서 그 전로에 지락이 생긴 경우 0.5초 이내에 자동적으로 전로를 차단하는 장치를 시설하는 경우에는 특별 제3종 접지공사의 접지저항 값은 자동 차단기의 정격감도 전류가 30mA 이하일 때 몇 Ω 이하로 하여야 하는가?
- ① 75
- ② 150
- ③ 300
- ④ 500
등록된 댓글이 없습니다.
98. 특고압 가공전선로의 지지물에 첨가하는 통신선 보안장치에 사용되는 피뢰기의 동작전압은 교류 몇 V 이하인가?
- ① 300
- ② 600
- ③ 1000
- ④ 1500
등록된 댓글이 없습니다.
99. 어느 유원지의 어린이 놀이기구인 유희용 전차에 전기를 공급하는 전로의 사용전압은 교류인 경우 몇 V 이하이어야 하는가?
- ① 20
- ② 40
- ③ 60
- ④ 100
등록된 댓글이 없습니다.
100. 고압 가공전선을 시가지외에 시설할 때 사용되는 경동선의 굵기는 지름 몇 ㎜ 이상인가?
- ① 2.6
- ② 3.2
- ③ 4.0
- ④ 5.0
등록된 댓글이 없습니다.