건설재료시험산업기사(2004. 9. 5.) 시험일자 : 2004년 9월 5일
1과목 : 콘크리트공학
1. 시멘트와 굵은 골재의 분리를 줄이는 방법에 대한 설명 중 잘못된 것은?
- ① 잔골재율을 줄인다.
- ② 플라이애쉬를 혼합한다.
- ③ 물-시멘트비를 작게 한다.
- ④ 입자가 둥근 골재를 사용한다.
등록된 댓글이 없습니다.
2. 콘크리트의 배합설계시 물-시멘트비를 정하는 기준이 아닌 것은?
- ① 압축강도
- ② 내구성과 수밀성
- ③ 단위중량과 공기량
- ④ 내동해성과 내화학성
등록된 댓글이 없습니다.
3. 콘크리트의 크리프에 대한 설명으로 옳은 것은?
- ① 하중 재하기간과는 무관하다.
- ② 옥내 구조물에 대하여는 크리프계수(ø)=2.0 을 사용한다.
- ③ 응력이 증가하면서 변형이 감소되는 현상이다.
- ④ 같은 응력하에서는 고강도가 저강도 콘크리트보다 작은 크리프 변형률을 나타낸다.
등록된 댓글이 없습니다.
4. 시방배합에서 사용되는 골재의 상태는 어떤 상태인가?
- ① 절대건조상태
- ② 공기중 건조상태
- ③ 표면건조 포화상태
- ④ 습윤상태
등록된 댓글이 없습니다.
5. Creep의 양을 좌우하는 요소로서 맞지 않는 것은?
- ① 재하되는 기간
- ② 재하가 시작하는 시점의 콘크리트의 재령과 강도
- ③ 재하되는 콘크리트의 AE제 첨가여부
- ④ 재하되는 응력의 크기
등록된 댓글이 없습니다.
6. 현행 콘크리트표준시방서에서 염해를 방지하기 위해서 제시된 전체 염화물이온량은 원칙적으로 얼마 이하이어야 하는가?
- ① 0.3 kg/m3
- ② 0.4 kg/m3
- ③ 0.5 kg/m3
- ④ 0.6 kg/m3
등록된 댓글이 없습니다.
7. 다음 중 알칼리골재반응의 시험방법이 아닌 것은?
- ① 암석학적 시험법
- ② 모르타르 방법
- ③ 화학법
- ④ 지깅법
등록된 댓글이 없습니다.
8. 시멘트의 응결경화 촉진제로서 사용되는 대표적인 혼화재료는?
- ① 포졸리스
- ② 리그닌설폰산염
- ③ 염화칼슘
- ④ 플라이애시
등록된 댓글이 없습니다.
9. 콘크리트 치기에서 거푸집의 높이가 높을 경우 재료분리를 방지하기 위해 슈트, 펌프배관, 버킷, 호퍼 등을 사용 할 때 배출구와 치기면 까지의 높이는 얼마 이하를 원칙으로 하는가?
- ① 0.5m
- ② 1.0m
- ③ 1.5m
- ④ 2.0m
등록된 댓글이 없습니다.
10. 한중콘크리트에 관한 설명 중 틀린 것은?
- ① 하루평균 기온이 4℃ 이하가 되는 기상조건 하에서는 한중콘크리트로서 시공해야 한다.
- ② 한중콘크리트에는 AE콘크리트를 사용하는 것을 원칙으로 하고 있다.
- ③ 기온이 -3℃ 이하에서는 물, 시멘트 및 골재를 가열하여 콘크리트의 온도를 높여야 한다.
- ④ 응결경화의 초기에 동결되지 않도록 하며, 예상되는 하중에 대하여 충분한 강도를 가지게 하여야 한다.
등록된 댓글이 없습니다.
11. 구조재료로서 콘크리트의 단점이 아닌 것은?
- ① 시공후의 검사가 곤란하다.
- ② 제작시 형상 및 치수의 제약이 많다.
- ③ 자중이 커서 장지간의 교량에는 불리하다.
- ④ 인장응력, 건조수축 등에 의한 균열 발생이 쉽다.
등록된 댓글이 없습니다.
12. 공기 중의 이산화탄소 등과 콘크리트 중의 수산화칼슘이 반응함으로써 일어나는 현상으로 콘크리트 피복두께 이상으로 진행될 경우 철근의 부식을 초래하여 궁극적으로 구조물의 수명을 단축시키게 되는 것은?
- ① 중성화
- ② 수화반응
- ③ 동결융해 작용
- ④ 알칼리 - 실리카 반응
등록된 댓글이 없습니다.
13. 다음 열거한 시멘트 중 혼합시멘트에 속하지 않는 것은?
- ① 고로슬래그 시멘트
- ② 플라이애시 시멘트
- ③ 포졸란 시멘트
- ④ 알루미나 시멘트
등록된 댓글이 없습니다.
14. 다음 중 시멘트의 비중이 낮아지는 원인에 해당하지 않는 것은?
- ① 클링커의 소성이 충분할 때
- ② 혼합물이 섞여 있을 때
- ③ 시멘트가 풍화 되었을 때
- ④ 저장기간이 길었을 때
등록된 댓글이 없습니다.
15. 콘크리트 시방배합 설계 결과, 굵은 골재량이 1000kg/m3이며, 잔골재량이 700kg/m3 이었다. 이 배합을 골재의 입도에 대한 보정을 수행한 결과, 굵은골재량이 1100kg/m3으로 바뀌었다. 이때 보정된 잔골재량은 얼마인가?
- ① 600 kg/m3
- ② 640 kg/m3
- ③ 660 kg/m3
- ④ 700 kg/m3
등록된 댓글이 없습니다.
16. 다음 중 습윤양생에 관한 설명과 거리가 먼 것은?
- ① 막양생제를 살포하는 방법
- ② 콘크리트에 직접 살수하는 방법
- ③ 콘크리트 주위에 60 ℃의 증기를 뿜어주는 방법
- ④ 가마니, 마대, 양생포를 덮고 그 위에 살수하는 방법
등록된 댓글이 없습니다.
17. AE콘크리트의 특성에 대한 내용으로 잘못 설명된 것은?
- ① 공기량과 거의 같은 용적의 잔골재량을 감소시킬 수 있다.
- ② 동일한 슬럼프인 경우 단위수량을 감소시킬 수 있다.
- ③ 블리딩이 감소하고 수밀성이 증대된다.
- ④ 같은 물-시멘트비의 경우 압축강도를 증대시킬 수 있다.
등록된 댓글이 없습니다.
18. 일반적인 수중콘크리트의 경우, 콘크리트 표준시방서에 규정된 물-시멘트비와 단위시멘트량의 기준은 각각 얼마인가?
- ① 50% 이하, 300kg/m3 이상
- ② 40% 이하, 350kg/m3 이상
- ③ 50% 이하, 370kg/m3 이상
- ④ 40% 이하, 400kg/m3 이상
등록된 댓글이 없습니다.
19. 폴리머 콘크리트(레진 콘크리트)의 성질 중 틀린 것은?
- ① 경화시 수축이 작다.
- ② 투수성이 작다.
- ③ 조기에 고강도가 얻어진다.
- ④ 고열에 취약하다.
등록된 댓글이 없습니다.
20. 다음 중 프리스트레스 도입 후에 일어나는 손실이 아닌 것은?
- ① 콘크리트의 크리프
- ② 콘크리트의 건조수축
- ③ PS강재와 쉬스 사이의 마찰
- ④ PS강재의 릴랙세이션
등록된 댓글이 없습니다.
2과목 : 건설재료 및 시험
21. 다음 중 포졸란 작용이 있는 혼화재가 아닌 것은?
- ① 플라이 애시
- ② 규조토
- ③ 화산재
- ④ 팽창재
등록된 댓글이 없습니다.
22. 다음 혼화재료 중에서 사용량이 비교적 많아 콘크리트의 배합 설계에 고려해야 되는 혼화재료는 어느 것인가?
- ① AE제
- ② 응결경화촉진제
- ③ 포졸란(pozzolan)
- ④ 시멘트의 분산제
등록된 댓글이 없습니다.
23. 시멘트 콘크리트의 배합설계시 고려해야 할 사항과 거리가 먼 것은?
- ① 골재의 입도
- ② 단위 시멘트량
- ③ 물· 시멘트비
- ④ 마샬안정도값
등록된 댓글이 없습니다.
24. 어떤 굵은골재의 단위용적 중량이 1.75t/m3이다. 이 골재의 비중이 2.6이라면 이 골재의 실적율은 약 얼마인가?
- ① 73%
- ② 64%
- ③ 70%
- ④ 67%
등록된 댓글이 없습니다.
25. 암석의 구조에 관한 다음 설명 중 잘못 이루어진 것은?
- ① 절리 - 암석의 종류에 따라 가지는 특유의 균열로 화성암에 많이 존재한다.
- ② 석리 - 석재를 조성하는 광물의 조직에 따라 생기는 눈의 모양을 말한다.
- ③ 석목 - 돌의 무늬를 말하는 것으로 가장 아름다운 암석의 면을 가리킨다.
- ④ 벽개 - 석재가 잘 갈라지는 면을 말하며 벽개를 갖지 않는 석재의 면을 단구라 한다.
등록된 댓글이 없습니다.
26. 다음 중 골재시험과 관계없는 것은?
- ① 팽창도시험
- ② 로스엔젤레스 마모시험
- ③ 체가름시험
- ④ 유기불순물시험
등록된 댓글이 없습니다.
27. 건설공사 품질시험기준 중 콘크리트공사의 철근 및 강재시험에 관한 사항으로 틀린 것은?
- ① 제품규격별 100ton마다 실시한다.
- ② 용접 이음부위는 500개소 마다 실시 한다.
- ③ 제조일부터 3개월이 경과 되어 재질의 변화가 있다고 인정되는 때 실시한다.
- ④ 제조회사별로 실시한다.
등록된 댓글이 없습니다.
28. 부순돌(입경 5~13mm, 2.5~5mm)모래 석분에 도로 포장용 아스팔트를 알맞게 넣고 가열하여 섞어서 만든 혼합물로 서 빈틈이 없는 아스팔트는 어느 것인가?
- ① 매스틱 아스팔트
- ② 구스 아스팔트
- ③ 아스팔트 콘크리트
- ④ 에멀션화 아스팔트
등록된 댓글이 없습니다.
29. 역청유제에 사용되는 유화제에 해당 되지 않는 것은?
- ① 양이온계 유제
- ② 음이온계 유제
- ③ 점토계 유제
- ④ 네오프렌(neoprene)고무 유제
등록된 댓글이 없습니다.
30. 목재에 관한 설명으로 옳지 않은 것은?
- ① 일반적으로 압축에 대한 탄성계수는 인장의 경우보다 낮다.
- ② 목재의 수분이 감소하면 압축강도는 감소한다.
- ③ 목재의 인장강도는 압축강도에 비해서 크다.
- ④ 목질건조중량의 60%정도가 셀룰로오즈이다.
등록된 댓글이 없습니다.
31. 아스팔트의 성질 중 온도에 따라 반죽질기가 변화되는 성질은?
- ① 감온성
- ② 밀도
- ③ 비중
- ④ 흐름치
등록된 댓글이 없습니다.
32. 시멘트의 비표면적 시험에 관한 설명중 틀린 것은?
- ① 블레인 공기 투과장치를 사용하여 시험할 수 있다.
- ② 시멘트의 분말도를 알아보는 시험이다.
- ③ 시멘트 내의 공기량을 측정하는 시험이다.
- ④ 표준체에 의한 방법으로도 시험할 수 있다.
등록된 댓글이 없습니다.
33. 니트로글리세린을 7~20%, 질산암모늄을 7% 이상 함유하며 목분 3~9%, 나프탈린 0~6%를 섞어서 만든 다이나마이트는 어느 것인가?
- ① 규조토 다이나마이트
- ② 분말상 다이나마이트
- ③ 스트레이트 다이나마이트
- ④ 교질 다이나마이트
등록된 댓글이 없습니다.
34. 콘크리트용 혼화제인 AE제에 의해 콘크리트에 연행된 공기에 대한 설명 중 틀린 것은?
- ① AE제의 사용량이 과다하여 연행된 공기량이 증가하면 콘크리트의 압축강도는 크게 감소한다.
- ② 부순모래를 사용한 콘크리트는 강모래를 사용한 콘크리트에 비해 동일한 공기량을 얻기위한 AE제의 사용량이 증가된다.
- ③ 적당한 연행공기량은 콘크리트의 동결융해에 대한 저항성을 증가시킨다.
- ④ 콘크리트의 단위시멘트량이 증가하면 연행공기량은 증가한다.
등록된 댓글이 없습니다.
35. 습윤상태의 중량이 200gf 인 모래를 절대 건조시킨 결과 178gf 이 되었다. 전함수량은 얼마인가?
- ① 8.8%
- ② 9.6%
- ③ 12.4%
- ④ 14.2%
등록된 댓글이 없습니다.
36. 다음은 시멘트 혼합물의 응결과 관련된 특성을 열거한 것이다. 틀린 것은?
- ① 시멘트의 분말도가 크면 응결이 빨라진다.
- ② 알민산3석회(C3S)가 많으면 응결이 빨라진다.
- ③ 온도가 높으면 응결이 빨라진다.
- ④ 석고 첨가량이 많으면 응결은 빨라진다.
등록된 댓글이 없습니다.
37. 건설공사의 품질시험기준에서 노상의 시험종목이 아닌 것은?
- ① 비중시험
- ② 현장밀도시험
- ③ 프루프롤링시험
- ④ 함수량시험
등록된 댓글이 없습니다.
38. 스트레이트아스팔트와 비교한 블로운(Blown)아스팔트의 성질에 관한 다음 설명중 틀린 것은?
- ① 탄성이 풍부하다.
- ② 감온성이 크다.
- ③ 침입도가 작다.
- ④ 점도가 높다.
등록된 댓글이 없습니다.
39. 파괴에 이를 때까지 높은 응력에 견디며 큰 변형을 일으키는 재료의 성질을 무엇이라고 하는가?
- ① 강성
- ② 탄성
- ③ 취성
- ④ 인성
등록된 댓글이 없습니다.
40. 주철의 주성분이 아닌 것은?
- ① 규소(Si)
- ② 망간(Mn)
- ③ 인(P)
- ④ 질소(N)
등록된 댓글이 없습니다.
3과목 : 건설시공학
41. 동결 지수가 400℃·day이고 정수C값이 2.0일 때 이 지역의 동결 깊이는?
- ① 55cm
- ② 60cm
- ③ 40cm
- ④ 50cm
등록된 댓글이 없습니다.
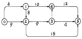
42. 어느공사를 완성하는데 다음 Net Work와 같은 계획이 수립되었다. 이 공사의 소요 공기는?

- ① 29일
- ② 35일
- ③ 25일
- ④ 38일
등록된 댓글이 없습니다.
43. 댐콘크리트 시공시 수화열의 발열과 콘크리트 수축에 의한 균열을 방지하기 위한 대책 중 옳지 않은 것은?
- ① 단위시멘트량을 크게 하고 중용열시멘트 사용
- ② 골재를 냉각시키거나 냉각수를 사용
- ③ 습윤양생하거나 거푸집을 빨리 떼어 방열
- ④ 콘크리트 타설의 한 층의 높이는 0.4~0.5m을 표준으로 한다.
등록된 댓글이 없습니다.
44. 지반밑의 수직굴착에 사용하는 이외에 well내의 수중굴착과 자갈, 모래, 흙 등을 파서 덤프트럭에 싣는데 많이 사용하고 특히 자갈의 채취, 모래의 채취 등에 가장 많이 사용하며 버켓은 양개식의 구조로서 와이어 로프를 달아서 조작하는 장비는?
- ① 백호우
- ② 클램셀
- ③ 트랙터쇼벨
- ④ 드래그라인
등록된 댓글이 없습니다.
45. 뉴매틱 케이슨공법의 장점에 대한 설명으로 틀린 것은?
- ① 공정이 빠르고, 공사기간도 확실히 예정할 수 있다.
- ② 비교적 정확히 지지력 측정이 가능하다.
- ③ 인접 지반 침하의 현상을 일으키지 않는다.
- ④ 소규모의 공사나 깊이가 얕은 경우 경제적인 공법이다.
등록된 댓글이 없습니다.
46. 흙막이 공사에서 어스앵커(Earth Anchor)공법에 대한 설명으로 바르지 않는 것은?
- ① 굴착면의 폭이 좁을 때 버팀보 보다 유리하다.
- ② 작업공간이 넓게 확보된다.
- ③ 정착지반이 약할 경우 앵커의 길이가 길어진다.
- ④ 앵커가 인접대지에 침범하는 경우 민원이 발생될 수 있다.
등록된 댓글이 없습니다.
47. 콘크리트의 포장의 설계 기준 강도로 사용하는 것은?
- ① 압축강도
- ② 인장강도
- ③ 휨강도
- ④ 전단강도
등록된 댓글이 없습니다.
48. 수직도갱의 심빼기공으로 특히 물이 많을 때 편리한 공법은?
- ① 피라밋컷
- ② 노컷
- ③ 스윙컷
- ④ 번컷
등록된 댓글이 없습니다.
49. 다음 사항 중 배수 불량의 원인으로 틀린 것은?
- ① 하천의 수위가 배수로 바닥보다 높을 때
- ② 자연배수의 하천경사가 완만하여 배수단면이 부족할 때
- ③ 배수로 주변 토지의 지반이 낮고, 평탄하며 면적이 클 때
- ④ 지표의 하층토가 투수성이고, 지하 수위가 낮을 때
등록된 댓글이 없습니다.
50. 포장두께 결정을 위한 지지력 시험으로 적당하지 않는 것은?
- ① 평판재하시험
- ② 노상토의 지지력비시험
- ③ 동탄성계수시험
- ④ 압밀시험
등록된 댓글이 없습니다.
51. 시공계획을 수립할 때 시공기면을 결정하는 데 고려사항으로 잘못된 것은?
- ① 절토, 성토를 균형시키도록 토공량을 많이 할 것
- ② 토취장, 사토장에서의 운반 거리를 짧게 할 것
- ③ 연약지반, 산사태, 낙석이 있는 지역은 피할 것
- ④ 비탈면이 고려되는 경우 흙의 안정성을 고려할 것
등록된 댓글이 없습니다.
52. 히빙(heaving)의 방지대책에 관한 설명 중 옳지 않은 것은?
- ① 기초의 근입 깊이를 짧게 한다.
- ② 표토를 제거하여 흙 하중을 작게 한다.
- ③ 지반을 개량한다.
- ④ 굴착면에 하중을 가한다.
등록된 댓글이 없습니다.
53. 21,000m3의 모래를 3m3의 덤프트럭으로 운반할 때, 1일 운반 가능횟수가 20회이며, 7일간 전량을 운반하려면 1일 몇 대의 트럭이 소요되는가?
- ① 50대/일당
- ② 100대/일당
- ③ 150대/일당
- ④ 200대/일당
등록된 댓글이 없습니다.
54. 댐공사나 항만공사 등에서 건조상태의 작업을 위한 가물막이 시공을 할 때, 가장 단순하고 토사의 입수가 용이하며 수심이 얕을 때 채택하는 가물막이 공법은?
- ① 흙댐식
- ② 박스(Box)식
- ③ 케이슨(Caisson)식
- ④ 널말뚝식
등록된 댓글이 없습니다.
55. 터널계획 및 설계에 관한 설명 중 잘못된 것은?
- ① 터널의 노선선정은 지질이 양호하고, 단층이 없는 곳이 좋다.
- ② 터널의 동바리공, 라이닝은 편압이 생기지 않게 좌우대칭인 토압이 되도록 설계해야 한다.
- ③ 도로, 철도등의 터널 경사도는 가급적 수평으로 하는 것이 좋다.
- ④ 터널 단면은 지질이 양호할 경우 측벽부는 수직으로 하고 천정은 아치형으로 하는 것이 좋다.
등록된 댓글이 없습니다.
56. 다음 데이터의 통계량으로 범위(R)는 얼마인가?

- ① 2
- ② 3
- ③ 5
- ④ 6
등록된 댓글이 없습니다.
57. 파이프 또는 와이어의 끝에 붙인 저항체를 지중에 삽입하여 이에 관입, 회전, 인발 등의 힘을 가하여 그 저항치에서 토층의 상태를 알 수 있는 방법은?
- ① Boiling
- ② Sounding
- ③ CBR
- ④ Sampler
등록된 댓글이 없습니다.
58. 침매(沈埋) 공법에 대한 설명 중 옳지 않은 것은?
- ① 지하수면 아래를 굴착하는 공법이다.
- ② 단면의 형상은 비교적 자유롭지 못하다.
- ③ 수심이 얕은 곳은 터널 연장이 짧아도 된다.
- ④ 수중에 설치하므로 자중은 적다.
등록된 댓글이 없습니다.
59. 성토공법에서 비교적 높이가 낮은 제방에 사용되는 공법으로 공기가 단축되고, 공사비가 저렴 하지만 공사 완료후에 상당한 침하가 생기는 공법은?
- ① 수평층쌓기법
- ② 전방쌓기법
- ③ 비계쌓기법
- ④ 물다짐공법
등록된 댓글이 없습니다.
60. 나무뿌리 뽑기나 굳은땅, 자갈층의 작업에 적당한 도우저는?
- ① 레이크도우저
- ② 앵글도우저
- ③ 습지불도우저
- ④ 틸트도우저
등록된 댓글이 없습니다.
4과목 : 토질 및 기초
61. 다음 토질 시험중 도로의 포장 두께를 정하는데 많이 사용되는 것은?
- ① 표준관입시험
- ② C.B.R 시험
- ③ 삼축압축시험
- ④ 다짐시험
등록된 댓글이 없습니다.
62. 채취된 시료의 교란정도는 면적비를 계산하여 통상 면적비가 몇 % 이하이면 잉여토의 혼입이 불가능한 것으로 보고 불교란 시료로 간주하는가?
- ① 5%
- ② 7%
- ③ 10%
- ④ 15%
등록된 댓글이 없습니다.
63. 포화된 흙의 함수비가 40%, 비중이 2.71인 경우 건조 단위 중량은 얼마인가?
- ① 1.3t/m3
- ② 1.5t/m3
- ③ 1.7t/m3
- ④ 1.8t/m3
등록된 댓글이 없습니다.
64. 점토지반을 수평면과 63° 의 기울기로 무지보 굴착을 하려한다. 이 흙의 단위중량이 1.8t/m3, 점착력이 2.0t/m2이라고 할때 안전율을 1.5로 하여 굴토깊이를 결정한 것으로 옳은 것은?
- ① 4.8m
- ② 3.8m
- ③ 2.4m
- ④ 1.4m
등록된 댓글이 없습니다.
65. 연약점토 지반에 성토할 때 다음 공법 중 이용도가 가장 낮은 것은?
- ① 치환 공법
- ② Pre-loading 공법
- ③ Sand-drain 공법
- ④ Soil-Cement 공법
등록된 댓글이 없습니다.
66. 점토의 예민비(Sensitivity ratio)는 다음 시험중 어떤방법으로 구하는가?
- ① 삼축압축시험
- ② 일축압축시험
- ③ 직접전단시험
- ④ 베인시험
등록된 댓글이 없습니다.
67. 다음 설명 중 동상에 대한 대책이 아닌 것은?
- ① 실트질 흙으로 치환한다.
- ② 배수구를 설치하여 지하수위를 낮춘다.
- ③ 모관수의 상승을 차단한다.
- ④ 지표부근에 단열재료를 매립한다.
등록된 댓글이 없습니다.
68. 3층 구조로 구조결합 사이에 불치환성 양이온이 있어서 수축 팽창은 거의 없지만 안정성은 중간 정도의 점토 광물은?
- ① Silt
- ② illite
- ③ kaolinite
- ④ montmorillonite
등록된 댓글이 없습니다.
69. CBR 시험을 한 결과 관입량이 5.0㎜일 때의 CBR5.0값이 관입량 2.5㎜일 때의 CBR2.5값보다 클 때에는 재시험을 해야하고 재시험을 해도 CBR5.0이 클 때에는 어떤 값을 CBR로 하는가?
- ① CBR2.5
- ② CBR5.0
- ③ CBR2.5+CBR5.0/2
- ④ CBR2.5+CBR5.0
등록된 댓글이 없습니다.
70. 흙의 다짐에 대한 다음 사항 중 옳지 않은 것은?
- ① 최적 함수비로 다질때에 건조밀도는 최대가 된다.
- ② 세립토의 함유율이 증가할수록 최적 함수비는 증대된다.
- ③ 다짐에너지가 클수록 최적 함수비는 커진다.
- ④ 점성토는 조립토에 비하여 다짐곡선의 모양이 완만하다.
등록된 댓글이 없습니다.
71. 다음중에서 정지토압 Po,주동토압 PA,수동토압 Pp의 크기 순서가 옳은 것은 어느 것인가?
- ① Pp < Po < PA
- ② Po < PA< Pp
- ③ Po < Pp < PA
- ④ PA < Po < Pp
등록된 댓글이 없습니다.
72. 어떤 시료에 대하여 일축압축 강도 시험을 실시한 결과 파괴강도가 3t/m2 이었다. 이 흙의 점착력은? (단, ø = 0° 인 점성토이다.)
- ① 1.0 t/m2
- ② 1.5 t/m2
- ③ 2.0 t/m2
- ④ 2.5 t/m2
등록된 댓글이 없습니다.
73. 어느 흙댐에서 동수구배 1.0, 흙의 비중이 2.65, 함수비 45%인 포화토에 있어서 분사현상에 대한 안전율은 얼마인가?
- ① 1.33
- ② 1.04
- ③ 0.90
- ④ 0.75
등록된 댓글이 없습니다.
74. 말뚝기초에서 부마찰력(nagative skin friction)에 대한 설명이다. 옳지 않은 것은?
- ① 지하수위 저하로 지반이 침하할 때 발생한다.
- ② 지반이 압밀진행중인 연약점토 지반인 경우에 발생한다.
- ③ 발생이 예상되면 대책으로 말뚝주면에 역청으로 코팅하는 것이 좋다.
- ④ 말뚝 주면에 상방향으로 작용하는 마찰력이다.
등록된 댓글이 없습니다.
75. 점토층이 소정의 압밀도에 도달 소요시간이 단면배수일 경우 4년이 걸렸다면 양면배수 일 때는 몇 년이 걸리겠는가?
- ① 1년
- ② 2년
- ③ 4년
- ④ 16년
등록된 댓글이 없습니다.
76. 분사현상(quick sand action)에 관한 그림이 아래와 같을 때 수두차 h를 최소 얼마 이상으로 하면 모래시료에 분사 현상이 발생하겠는가? (단, 모래의 비중 2.60, 공극율 50%)

- ① 6㎝
- ② 12㎝
- ③ 24㎝
- ④ 30㎝
등록된 댓글이 없습니다.
77. 건조한 흙의 직접 전단시험 결과 수직응력이 4㎏/cm2 일 때 전단저항은 3㎏/cm2이고 점착력은 0.5㎏/cm2 이었다. 이 흙의 내부마찰각은?
- ① 30.2°
- ② 32°
- ③ 36.8°
- ④ 41.2°
등록된 댓글이 없습니다.
78. 흙의 모관현상에 관한 다음 설명중 옳지 않은 것은?
- ① 모래와 같은 조립토에서는 모관 상승속도가 빠르다.
- ② 점토와 같은 세립토에서는 모관 상승고는 매우 낮다.
- ③ 모관상승 부분의 압력은 부압(負壓)이 된다.
- ④ 모관고는 공극비에 반비례한다.
등록된 댓글이 없습니다.
79. 다음 상대밀도에 대한 설명으로 옳은 것은?
- ① 주로 점토와 같은 세립토에 사용된다.
- ② 60%정도이면 느슨한 상태이다.
- ③ 보통 진동 다짐에 의하여 emax, 건조모래를 가만히 유입함으로서 emin을 측정한다.
- ④ 흙의 조밀 또는 느슨한 상태를 알려할 때 공극비만으로는 명확하지 못하므로 상대밀도를 사용한다.
등록된 댓글이 없습니다.
80. 다음 중 직접기초에 속하는 것은?
- ① 후팅기초
- ② 말뚝기초
- ③ 피어기초
- ④ 케이슨기초
등록된 댓글이 없습니다.