건축기사(2009. 5. 10.) 시험일자 : 2009년 5월 10일
1과목 : 건축계획
1. 다음 중 주택의 거실 규모 결정시 고려하여야 할 사항과 가장 관계가 먼 것은?
- ① 가족수
- ② 전체 주택의 규모
- ③ 가족 구성
- ④ 현관의 위치
등록된 댓글이 없습니다.
2. 다음 중 오피스 랜드스케이프(office landscape)의 특징에 해당되지 않는 것은?
- ① 공간의 효율적 이용
- ② 조경면적의 확대
- ③ 사무능률의 향상
- ④ 시설비와 유지비 절감
등록된 댓글이 없습니다.
3. 레이트 모던(Late Modern)건축양식에 대한 설명 중 옳지 않은 것은?
- ① 기호학적 분절을 추구하였다.
- ② 공업기술을 바탕으로 기술적 이미지를 과장하였다.
- ③ 대표적 건축가로서 시저 펠리, 노만 포스터 등이 있다.
- ④ 폼피두 센터는 이 양식에 부합되는 건축물이다.
등록된 댓글이 없습니다.
4. 사무소 건축의 엘리베이터 계획에 대한 설명 중 옳지 않은 것은?
- ① 외래자에게 직접 잘 알려질 수 있는 위치에 배치한다.
- ② 엘리베이터의 위치는 1개소로 한정하는 것이 운영면에서 효율적이다.
- ③ 알코브형 배치는 4대 정도를 한도로 하고 그 이상일 경우 직렬로 배치하는 것을 고려한다.
- ④ 전층스톱운행형식은 고층 사무소에는 부적당하나 전층 거주자에 대해 균등한 서비스가 가능하다.
등록된 댓글이 없습니다.
5. 극장의 평면 형식 중 애리나형에 대한 설명으로 옳지 않은 것은?
- ① 가까운 거리에서 관람하면서 가장 많은 관객을 수용할 수 있다.
- ② 무대의 배경을 만들지 않으므로 경제성이 있다.
- ③ 무대의 장치나 소품은 주로 낮은 가구들로 구성된다.
- ④ 연기는 한정된 액자 속에서 나타나는 구성화의 느낌을 준다.
등록된 댓글이 없습니다.
6. 다음 중 병원건축에서 간호단위의 병상수가 과다한 경우 나타나는 문제점과 가장 관계가 먼 것은?
- ① 환자 보호자들에 의한 간호가 불가능해 진다.
- ② 전체 환자의 상태를 파악하기 어려워진다.
- ③ 간호사들의 동선이 길어진다.
- ④ 병실 간호능력이 저하된다.
등록된 댓글이 없습니다.
7. 초기 기독교 시기의 바실리카 양식의 본당의 평면도에서 화랑의 중앙부분을 나타내는 용어는?
- ① 아일(Aisle)
- ② 페디먼트(pediment)
- ③ 네이브(Nave)
- ④ 아트리움(Atrium)
등록된 댓글이 없습니다.
8. 다음의 극장계획에 관한 설명 중 옳지 않은 것은?
- ① 연극 등을 감상하는 경우 연기자의 표정을 읽을 수 있는 가시한계는 15m 정도이다.
- ② 객석의 크기는 1인당 점유면적을 0.6m2 정도로 하여 산정할 수 있다.
- ③ 관객의 눈과 무대 위의 점을 연결하는 가시선이 쾌적한 상태로 이루어지도록 한다.
- ④ 객석의 의자의 폭은 최소 35cm 이상으로 한다.
등록된 댓글이 없습니다.
9. 다음의 학교운영방식에 대한 설명 중 옳지 않은 것은?
- ① 초등학교 고학년에는 일반교실 및 특별교실형(UㆍV형)이 일반적이다.
- ② 일반교실 및 특별교실형(UㆍV형)은 학생의 이동이 없어 안정적이다.
- ③ 교과교실형(V형)은 모든 교실이 특정 교과 때문에 만들어 진다.
- ④ 플래툰형(P형)은 교사의 수와 적당한 시설이 없으면 실시가 곤란하다.
등록된 댓글이 없습니다.
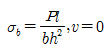
10. 종합병원의 외래진료부에 관한 설명 중 옳지 않은 것은?
- ① 내과는 진료검사에 시간이 걸리므로 소진료실을 다수 설치한다.
- ② 정형외과는 보행이 편리한 곳에 두고 미끄러질 염려가 있는 바닥마무리와 경사로를 피한다.
- ③ 외과는 1실에서 여러 환자를 볼 수 있도록 대실로 한다.
- ④ 안과는 진료실, 기공실, 검사실, 암실을 설치하며, 검안을 위해 3m 정도 거리를 확보한다.
등록된 댓글이 없습니다.
11. 상점이 쇼윈도우에 대한 설명 중 옳지 않은 것은?
- ① 상점의 전면이 넓지 않을 경우 일반적으로 쇼윈도우와 출입구는 비대칭적으로 처리하는 것이 좋다.
- ② 평형은 일반적으로 많이 사용되는 기본형으로 상점내의 면적을 넓게 사용할 수 있다.
- ③ 곡면형은 곡면유리를 사용하여 쇼윈도우의 구성에 변화를 주어 일단 형태감에서 통행인의 시선을 자연스럽게 유도할 수 있다.
- ④ 경사형은 유리면을 경사지게 처리하여 단조로움이 적게 되지만 유리면의 눈부심이 크다.
등록된 댓글이 없습니다.
12. 극장에서 그린 룸(green room)이란 무엇을 뜻하는가?
- ① 온실
- ② 출연대기실
- ③ 연주실
- ④ 분장실
등록된 댓글이 없습니다.
13. 우리나라 전통이 한식주택에서 문꼴부분의 면적이 큰 이유로 가장 적합한 것은?
- ① 출입하는데 편리하게 하기 위해서
- ② 하기의 고온다습을 견디기 위해서
- ③ 동기에 일조효과를 충분히 얻기 위해서
- ④ 겨울의 방한을 위해서
등록된 댓글이 없습니다.
14. 병원건축의 형식 중 분관식에 대한 설명으로 옳지 않은 것은?
- ① 동선이 길어진다.
- ② 채광 및 통풍이 좋다.
- ③ 대지면적에 제약이 있는 경우에 주로 적용된다.
- ④ 환자는 주로 경사로를 이용한 보행 또는 들것으로 운반된다.
등록된 댓글이 없습니다.
15. 병원건축계획에 관한 설명 중 옳지 않은 것은?
- ① 도심부에 병원건축을 계획할 경우 블록타입(block type) 보다는 파빌리온 타입(pavillion type)이 유리하다.
- ② 중앙진료부는 외래부와 병동부의 중간에 위치하는 편이 좋다.
- ③ 병동부의 전체면적에 대한 비율은 40% 정도가 적당하다.
- ④ 심근, 협심증환자를 대상으로 집중치료하는 간호단위를 C.C.U(Coronary Care Unit)라 한다.
등록된 댓글이 없습니다.
16. 다음의 노인거주계획에 관한 설명 중 옳지 않은 것은?
- ① 계단 양쪽에 난간을 부착하도록 한다.
- ② 단차가 있는 바닥은 대비가 약한 색을 사용하는 것이 좋다.
- ③ 침실이나 욕실 바닥재는 미끄럼이 없고 청소하기 쉬운 재료를 사용한다.
- ④ 출입구에는 휠체어를 놓을 수 있는 공간을 확보하고 비를 맞지 않도록 계획한다.
등록된 댓글이 없습니다.
17. 아파트의 각 형식에 관한 설명 중 옳지 않은 것은?
- ① 홀형은 승강기를 설치할 경우 1대당 이용률이 복도형에 비해 적다.
- ② 편복도형은 단위면적당 가장 많은 주호를 집결시킬수 있는 형식이다.
- ③ 집중형은 기후조건이 따라 기계적 환경조절이 필요한다.
- ④ 편복동형은 공용복도에 있어서 프라이버시가 침해되기 쉽다.
등록된 댓글이 없습니다.
18. 상점건축의 매장 가구의 배치계획에서 고려할 사항으로 옳지 않은 것은?
- ① 고객 쪽에서 상품이 효과적으로 보이게 한다.
- ② 들어오는 고객과 직원의 시선이 바로 마주치는 것을 피하도록 한다.
- ③ 감시하기 쉽고 또한 고객에게 감시받고 있다는 인상을 주어 미연에 도난에 방지하도록 한다.
- ④ 고객과 직원의 동선이 원활하고, 소수의 직원으로 다수의 고객을 수용할 수 있어야 한다.
등록된 댓글이 없습니다.
19. 불사건축의 진입방법에서 누하진입방식을 취한 것은?
- ① 부석사
- ② 통도사
- ③ 화엄사
- ④ 범어사
등록된 댓글이 없습니다.
20. 다음 중 호텔의 성격상 연면적에 대한 숙박면적의 비가 가장 큰 것은?
- ① 리죠트 호텔
- ② 커머셜 호텔
- ③ 레지덴셜 호텔
- ④ 클럽 하우스
등록된 댓글이 없습니다.
2과목 : 건축시공
21. 네트워크 공정표에서 작업의 상호관계만을 도시하기 위하여 사용하는 화살선을 무엇이라 하는가?
- ① dummy
- ② event
- ③ activity
- ④ critical path
등록된 댓글이 없습니다.
22. 미장공사에서 시멘트 모르타르 바름에 관한 기술 중 옳은 것은?
- ① 1회의 바름두께는 바닥의 경우를 제외하고 10mm를 표준으로 한다.
- ② 초벌바름 후 방치기간 없이 바로 고름질을 하는 것이 좋다.
- ③ 쇠흙손 마무리는 쇠흙손으로 바르고 나무흙손으로 눌러 고른 다음, 쇠흙손으로 마무리 한다.
- ④ 콘크리트 바닥면에 모르타르를 바를 때는 바닥에 물이 고인상태에서 바르는 것이 좋다.
등록된 댓글이 없습니다.
23. 계속 타설 중인 콘크리트에 있어 외기온이 25℃미만일 때의 이어붓기 시간간격의 한도로 옳은 것은?
- ① 60분
- ② 90분
- ③ 120분
- ④ 150분
등록된 댓글이 없습니다.
24. 지름 100mm, 높이 200mm의 콘크리트 공시체를 쪼갬인장강도시험에 의해 강도를 측정하였더니 파괴하중이 63kN이었다. 이 공시체의 인장강도는?
- ① 0.8MPa
- ② 1.5MPa
- ③ 2MPa
- ④ 3MPa
등록된 댓글이 없습니다.
25. 다음 중 조적식구조에 대한 설명으로 옳지 않은 것은?
- ① 조적식구조인 각 층의 벽은 편심하중이 작용하지 아니 하도록 설계하여야 한다.
- ② 조적식구조인 칸막이벽의 두께는 90mm이상으로 하여야 한다.
- ③ 폭이 1.2m를 넘는 개구부의 상부에는 철근콘크리트 윗인방을 설치하여야 한다.
- ④ 조적식구조인 내어쌓기창은 철골 또는 철근콘크리트로 보강하여야 한다.
등록된 댓글이 없습니다.
26. 플리머함침콘크리트에 대한 설명 중 틀린 것은?
- ① 시멘트계의 재료를 건조시켜 미세한 공극에 수용성폴리머를 함침, 중합시켜 일체화한 것이다.
- ② 내화성이 뛰어나며 현장시공이 용이하다.
- ③ 내구성 및 내약품성이 뛰어나다.
- ④ 고속도로 포장이나 댐의 보수공사 등에 사용된다.
등록된 댓글이 없습니다.
27. 다음 중 콘크리트의 공기량에 대한 설명으로 틀린 것은?
- ① 공기량이 많을수록 슬럼프는 증대한다.
- ② AE공기량은 온도가 높이질수록 증가한다.
- ③ AE공기량은 진동을 주면 감소한다.
- ④ 공기량이 많을수록 강도는 저하한다.
등록된 댓글이 없습니다.
28. 공정표 작성시 공정계산에 관한 설명 중 옳은 것은?
- ① 복수의 작업에 후속되는 작업의 EST는 복수의 선행작업중 EFT의 최소값으로 한다.
- ② 복수의 작업에 선행되는 작업의 LFT는 후속작업의 LST중 최대값으로 한다.
- ③ 전체여유(TF)는 작업을 EST로 시작하고 LFT로 완료할 때 생기는 여유시간이다.
- ④ 종속여유(DF)는 후속작업의 EST에 영행을 주지 않는 범위 내에서 한 작업이 가질 수 있는 여유시간이다.
등록된 댓글이 없습니다.
29. 한중 콘크리트에서 초기 동해방지에 필요한 최소 압축강도는 얼마인가?
- ① 5MPa
- ② 10MPa
- ③ 15MPa
- ④ 20MPa
등록된 댓글이 없습니다.
30. 다음 중 사운딩(Sounding)시험에 속하지 않는 시험법은?
- ① 표준관입시험
- ② 콘 관입시험
- ③ 베인전단시험
- ④ 평판재하시험
등록된 댓글이 없습니다.
31. 철근콘크리트 공사에서 철근조립에 관한 설명 중 옳지 않은 것은?
- ① 철근과 철근의 순간격은 굵은 골재 최대치수의 1.25배 이상으로 한다.
- ② 철근과 철근의 간격을 유지하기 위하여 세퍼레이터를 사용한다.
- ③ 철근의 교차부에서 겹친 이음인 경우에는 2개소 이상을 결속하여야 한다.
- ④ 철근조립 전에 철근에 부착된 진흙, 기름 등의 유해물은 제거하는 것이 콘크리트와의 부착력 향상에 좋다.
등록된 댓글이 없습니다.
32. 철골가공 및 용접에 있어 자동용접의 경우 용접봉의 피복재 역할로 쓰이는 분말상의 재료를 무엇이라 하는가?
- ① 플럭스(flux)
- ② 슬래그(slag)
- ③ 시드(sheathe)
- ④ 샤모테(chamotte)
등록된 댓글이 없습니다.
33. 도급자가 공사를 착공하기 전에 공사내용과 공기를 가장 효과적으로 달성하면서 집행가능한 최소의 투자를 전제하여 시공계획과 손익의 목표를 합리적으로 표현한 금액적계획서를 일반적으로 무엇이라고 하는가?
- ① 목표예산
- ② 실행예산
- ③ 도급예산
- ④ 소요예산
등록된 댓글이 없습니다.
34. 시멘트 600포대를 저장할 수 있는 시멘트 창고의 최소 필요면적으로 옳은 것은?
- ① 18.46m2
- ② 21.64m2
- ③ 23.25m2
- ④ 25.84m2
등록된 댓글이 없습니다.
35. 지하연속벽 공법 중 슬러리 월(slurry wall)에 대한 특징으로 옳지 않은 것은?
- ① 시공시 소음ㆍ진동이 크다.
- ② 인접건물의 경계선까지 시공이 가능하다.
- ③ 주변 지반에 대한 영향이 적고 차수효과가 확실하다.
- ④ 지반 굴착시 안정액을 사용한다.
등록된 댓글이 없습니다.
36. 방수공사에 사용하는 아스팔트의 견고성 정도를 침의 관입 저항으로 평가하는 방법은?
- ① 침입도
- ② 마모도
- ③ 연화점
- ④ 신도
등록된 댓글이 없습니다.
37. 공정관리 용어로서 전체 공사과정 중 관리상 특히 중요한 몇몇 작업의 시작과 종료를 의미하는 특정시점을 무엇이라 하는가?
- ① 중간관리일
- ② 절점
- ③ 표준점
- ④ 비작업일
등록된 댓글이 없습니다.
38. 조적공사의 벽돌쌓기에 관한 다음 내용 중 틀린 것은?
- ① 벽돌은 충분히 물에 축여 표면의 물기가 빠진 뒤에 쌓는다.
- ② 1일 쌓는 높이는 통상 1.2m를 표준으로 한다.
- ③ 세로줄눈은 특별한 경우를 제외하고는 통줄눈이 되게 한다.
- ④ 연속되는 벽면의 일부를 트이게 하여 나중쌓기로 할 때 에는 그 부분을 층단 들여쌓기로 한다.
등록된 댓글이 없습니다.
39. 다음 중 테라조(terrazzo)현장 갈기에 대한 설명으로 옳지 않은 것은?
- ① 여름철 강기는 3일 이상 충분히 경화시킨 다음 갈기시작한다.
- ② 초절 갈기는 돌말이 균등하게 나타나도록 하고 시멘트 풀먹임이 경화되기 전 중갈기를 한다.
- ③ 정벌 갈기는 중갈기가 끝나고 시멘트 풀 먹임을 2~3회 거듭한 후 행한다.
- ④ 광내기 왁스칠은 시간을 두고 얇게 여러번 행하는 것이 좋다.
등록된 댓글이 없습니다.
40. 철골부재 각 부에 사용되는 접합방법으로 옳지 않은 것은?
- ① 기초콘크리트와 베이스 플레이트 - 용접
- ② 기둥과 기둥 - 고장력 볼트
- ③ 기둥과 보 - 용접
- ④ 보와 보 - 고장력 볼트
등록된 댓글이 없습니다.
3과목 : 건축구조
41. 강도설계법에서 벽체 전체 단면적에 대한 최소 수직ㆍ수평 철근비로 옳은 것은? (단, fy=400MPa, D13 철근 사용)
- ① 수직철근비 0.0012, 수평철근비 0.0020
- ② 수직철근비 0.0015, 수평철근비 0.0020
- ③ 수직철근비 0.0015, 수평철근비 0.0025
- ④ 수직철근비 0.0020, 수평철근비 0.0025
등록된 댓글이 없습니다.
42. 다음 그림의 기둥에서 Euler의 좌굴하중은 얼마인가? (단, E=2.1×105MPa, Ix=1620cm4, Iy=113cm4)

- ① 209.8kN
- ② 585.5kN
- ③ 620.8kN
- ④ 840kN
등록된 댓글이 없습니다.
43. 철근콘크리트 보에서 강도설계법에 의한 콘크리트의 공칭 전단강도(Vc)가 80kN이고, 전단보강근의 공칭전단강도(Vs)가 120kN일 때 설계전단강도(øVn)의 크기는? (단, 전단에 대한 강도감소계수는 0.85임)
- ① 150kN
- ② 170kN
- ③ 200kN
- ④ 220kN
등록된 댓글이 없습니다.
44. 다음 중 등가정적해석법을 사용하여 밑면전단력을 산정하는 경우, 밑면전단력의 크기가 가장 작은 구조물은?
- ① 건물의 중량이 크고 주기가 짧은 구조물
- ② 건물의 중량이 크고 주기가 긴 구조물
- ③ 건물의 중량이 작고 주기가 짧은 구조물
- ④ 건물의 중량이 작고 주기가 긴 구조물
등록된 댓글이 없습니다.
45. 보의 길이가 같은 캔틸레버보에서 작용하는 집중하중의 크기가 P3:P2일 때, 보의 간명이 그림과 같다면 최대처짐 y1:y2의 비는?

- ① 1:1
- ② 2:1
- ③ 4:1
- ④ 8:1
등록된 댓글이 없습니다.
46. 연약지반에서 부동침하를 방지하는 대책으로 옳지 않은 것은?
- ① 건물을 경량화한다.
- ② 지하실을 강성체로 설치한다.
- ③ 줄기초와 마찰말뚝기초를 병용한다.
- ④ 건물의 구조강성을 높인다.
등록된 댓글이 없습니다.
47. 강도설계법에 의한 철근콘크리트 보 설계에서 단순지지 된 경우 처짐을 계산하지 않아도 되는 보의 최소 두께로 옳은 것은? (단, 보통콘크리트(mc=2,300kg/m3)와 설계기준할복강도 400MPa 철근을 사용)
- ① ℓ/16
- ② ℓ/20
- ③ ℓ/24
- ④ ℓ/28
등록된 댓글이 없습니다.
48. 그림과 같은 보에서 A점에 200kNㆍm의 모멘트가 작용하였을 때 B점이 지지하는 모멘트 및 수직반력은?

- ① MBA=200kNㆍm, VB=100kN
- ② MBA=200kNㆍm, VB=50kN
- ③ MBA=100kNㆍm, VB=100kN
- ④ MBA=100kNㆍm, VB=50kN
등록된 댓글이 없습니다.
49. 강구조 용접에서 용접결함에 관한 용어와 거리가 먼 것은?
- ① 오버랩(overlap)
- ② 엔드탭(end tap)
- ③ 피트(pit)
- ④ 언더컷(under cut)
등록된 댓글이 없습니다.
50. 그림과 같은 내인보에 집중하중이 작용할 때 A점의 처짐각 ⍬A를 구하면?

- ①

- ②

- ③

- ④

등록된 댓글이 없습니다.
51. 단면의 지름이 150mm, 재축방향 길이가 300mm인 원형 강봉의 윗면에 300kN의 힘이 작용하여 재축방향 길이가 0.16mm 줄어들었고, 단면의 지름이 0.01mm 늘어 났다면 이 강봉의 탄성계수 E와 푸와송비는?
- ① 31830MPa, 0.25
- ② 31830MPa, 0.125
- ③ 31630MPa, 0.25
- ④ 31630MPa, 0.125
등록된 댓글이 없습니다.
52. 다음 중 내진설계의 기본적인 개념으로 옳지 않은 것은?
- ① 설계지진하중에 대한 구조물의 부분 파손을 가정한다.
- ② 보의 파괴보다는 기둥의 파괴를 유도한다.
- ③ 특정층에 파괴가 집중되지 않도록 유도한다.
- ④ 접합부보다는 부재중간의 파괴를 유도한다.
등록된 댓글이 없습니다.
53. 장방향 단면에서 폭 b가 일정하고 높이 h만 2배로 증가했을 때 휨강도는 몇 배가 되는가? (단, M은 일정)
- ① 변함없다.
- ② 2배
- ③ 3배
- ④ 4배
등록된 댓글이 없습니다.
54. 철근콘트리트의 단근보를 강도설계법으로 설계시 콘크리트가 받는 압축력으로 옳은 것은? (단, fck=27MPa, 보의 폭 300mm, 음력블록의 깉이 120mm)
- ① 750.6kN
- ② 782.4kN
- ③ 826.2kN
- ④ 850.8kN
등록된 댓글이 없습니다.
55. 그림과 같은 단면의 x, y축에 대한 단면상승모멘트 Ixy는 얼마인가?

- ① 10,000cm4
- ② 22,500cm4
- ③ 33,750cm4
- ④ 50,625cm4
등록된 댓글이 없습니다.
56. 그림과 같은 단면의 단순보에서 보의 중앙점 C단면에 생기는 휨음력 σb와 전단음력 v의 값은?

- ①

- ②

- ③

- ④

등록된 댓글이 없습니다.
57. 그림과 같은 단면에 전단력 50kN이 가해진 경우 중립축에서 상방향으로 100mm 떨어진 지점의 전단응력은?

- ① 0.85MPa
- ② 0.79MPa
- ③ 0.73MPa
- ④ 0.69MPa
등록된 댓글이 없습니다.
58. 철근콘크리트 구조의 철근 배근에 있어서 잘못된 것은?
- ① 단순보의 늑근은 중앙부보다 단부에 더 많이 넣는다.
- ② 연속보 단부에서의 주근은 상부에 더 많이 넣는다.
- ③ 슬래브의 철근은 장변방향보다 단변방향에 더 많이 넣는다.
- ④ 기둥의 띠철근은 상ㆍ하단부보다 중앙부에 더 많이 넣는다.
등록된 댓글이 없습니다.
59. 다음 중 철골기둥의 주각부에 사용되는 보강재로 거리가 먼 것은?
- ① 사이드 앵글(side angle)
- ② 베이스 플레이트(base plate)
- ③ 필러 플레이트(filler plate)
- ④ 윙 플레이트(wing plate)
등록된 댓글이 없습니다.
60. 강도설계법에서 D22 압축철근의 기본정착길이는? (단, fck=27MPa, fy=400MPa)
- ① 200.5mm
- ② 352mm
- ③ 423.4mm
- ④ 604.6mm
등록된 댓글이 없습니다.
4과목 : 건축설비
61. 관 속의 유체에 섞여 있는 모래, 쇠부스러기 등의 이물질을 제거하여 기기의 성능을 보호하기 위해 배관에 설치하는 것은?
- ① 볼 탭
- ② 패킹
- ③ 체크 밸브
- ④ 스트레이너
등록된 댓글이 없습니다.
62. 다음 중 배수설비에 있어서 통기관을 설치하는 목적과 가장 거리가 먼 것은?
- ① 배수계통내의 배수의 흐름을 원활히 한다.
- ② 사이폰 작용에 의해서 트랩 봉수가 파괴되는 것을 방지한다.
- ③ 배수관 계통이 환기를 도모하여 관내를 청결하게 유지한다.
- ④ 세정 배수 중의 유지분을 포집하여 배수관이 막히는 것을 방지한다.
등록된 댓글이 없습니다.
63. 바닥면적이 50[m2]인 사무실이 있다. 32[W] 형광등 20개를 균등하게 배치할 때 사무실의 평균 조도는? (단, 형광등 1개의 광속은 3,300[lm], 조명률은 0.5, 보수율은 0.76 이다.)
- ① 약 500[lx]
- ② 약 450[lx]
- ③ 약 400[lx]
- ④ 약 350[lx]
등록된 댓글이 없습니다.
64. 습공기가 냉각될 때 어느 정도의 온도에 다다르면 공기 중에 포함되어 있던 수증기가 작은 물방울로 변화하는데, 이 때의 온도를 무엇이라 하는가?
- ① 노점온도
- ② 상대온도
- ③ 멘탈피
- ④ 유효온도
등록된 댓글이 없습니다.
65. 다음 중 현열 변화량과 엔탈피 변화량의 비를 나타내는 것은?
- ① 현열비
- ② 열수분비
- ③ 바이패스 팩터
- ④ 콘택트 팩터
등록된 댓글이 없습니다.
66. 일반적으로 보일러 선정시에 기준이 되는 출력(난방부하, 급탕부하, 배관부하, 예열부하의 합)의 표시방법은?
- ① 과부하 출력
- ② 상용 출력
- ③ 정미 출력
- ④ 정격 출력
등록된 댓글이 없습니다.
67. 전압이 1[V]일 때 1[A]의 전류가 1[s]동안 하는 일을 나타내는 것은?
- ① 1[Ω]
- ② 1[J]
- ③ 1[dB]
- ④ 1[W]
등록된 댓글이 없습니다.
68. 다음의 설명에 알맞은 냉동기는?

- ① 터보식 냉동기
- ② 스크류식 냉동기
- ③ 흡수식 냉동기
- ④ 왕복동식 냉동기
등록된 댓글이 없습니다.
69. 다음의 에스컬레이터에 대한 설명 중 옳지 않은 것은?
- ① 기다리는 시간이 없고 연속적으로 승객을 수송할 수 있다.
- ② 수송능력이 엘리베이터의 약 10배 정도이다.
- ③ 정격 속도는 하강방향을 고려하여 60m/min 정도가 가장 바람직하다.
- ④ 기계실이 필요하지 않으며 피크가 간단하다.
등록된 댓글이 없습니다.
70. 전력설비의 기기를 이상전압(뇌서지, 개폐서지)으로부터 보호하는 장치는?
- ① 전력 퓨즈
- ② 계기용 변성기
- ③ 피뢰기
- ④ 과전류 계전기
등록된 댓글이 없습니다.
71. 다음의 각종 보일러에 대한 설명 중 옳은 것은?
- ① 노동 연관보일러는 부하변동에 잘 적응되며, 보유 수면이 넓어서 급수용량 제어가 쉽다.
- ② 관류보일러는 보유수량이 많아 예열시간이 길다.
- ③ 주철제 보일러는 사용 내압이 높아 고압용으로 주로 사용되며 용량도 크다.
- ④ 수관보일러는 소용량으로 소규모 건물에 적합하며 지역난방으로는 사용이 불가능하다.
등록된 댓글이 없습니다.
72. 다음 설명이 의미하는 봉수파괴 원인은?

- ① 증발현상
- ② 모세관 현상
- ③ 자기사이폰 작용
- ④ 유도사이폰 작용
등록된 댓글이 없습니다.
73. 비상콘센트 설비에 관한 설명 중 옳지 않은 것은?
- ① 하나의 전용회로에 설치하는 비상콘센트는 10개 이하로 한다.
- ② 건축물의 11층 이상의 층에서는 그 층의 각 부분에서 비상콘센트까지의 거리를 최대 60m 이하로 한다.
- ③ 비상콘센트는 바닥으로부터 높이 0.8m 이상 1.5m 이하의 위치에 설치한다.
- ④ 비상콘센트설비의 전원회로는 각 층에 있어서 2 이상이 되도록 설치하는 것이 원칙이다.
등록된 댓글이 없습니다.
74. 전양정 24m, 양수량 13.8m3/h, 효율 60%일 때 펌프의 축동력은?
- ① 약 0.5 kW
- ② 약 1.0 kW
- ③ 약 1.5 kW
- ④ 약 3.0 kW
등록된 댓글이 없습니다.
75. 실내음환경의 잔향시간에 대한 설명 중 옳은 것은?
- ① 잔향시간은 음향청취를 목적으로 하는 공간이 음성전달을 목적으로 하는 공간보다 짧아야 한다.
- ② 잔향시간을 길게 하기 위해서는 실내공간의 용적이 작아야 한다.
- ③ 실의 흡음력이 높을수록 잔향시간은 길어진다.
- ④ 영화관은 전기음향설비가 주가 되므로 잔향시간은 짧을수록 좋다.
등록된 댓글이 없습니다.
76. 다음 설명에 알맞은 엘리베이터의 안전장치는?

- ① 조속기
- ② 완충기
- ③ 도어 클로저
- ④ 최종 리미트 스위치
등록된 댓글이 없습니다.
77. 다음과 같은 특징을 갖는 배선공사는?

- ① 금속관 공사
- ② 버스덕트 공사
- ③ 경질비닐관 공사
- ④ 라이팅덕트 공사
등록된 댓글이 없습니다.
78. 다음 중 슬리브(sleeve)에 대한 설명으로 옳은 것은?
- ① 배관시 차후의 교체, 수리를 편리하게 하고 관의 신축에 무리가 생기지 않도록 하기 위해 사용한다.
- ② 가열장치 내의 압력이 설정압력을 넘는 경우에 압력을 도피시키기 위해 사용한다.
- ③ 사이폰 작용에 의한 트랩의 봉수 파괴 방지를 위해 사용한다.
- ④ 스케일 부착 및 이물질 투입에 의한 관 폐쇄를 방지하기 위해 사용한다.
등록된 댓글이 없습니다.
79. 다음 중 냉ㆍ난방부하의 계산에서 난방의 경우는 일반적으로 고려하지 않으나 냉방의 경우는 반드시 계산해야 하는 항목은?
- ① 외벽, 유리창을 통한 관류부하
- ② 도입외기에 의한 외기부하
- ③ 인체부하
- ④ 바닥을 통한 관류부하
등록된 댓글이 없습니다.
80. 다음 통기관의 관경에 대한 설명 중 옳지 않은 것은?
- ① 각개통기관의 관경은 그것이 접속되는 배수관 관경의 1/2 이상으로 한다.
- ② 신정통기관의 관경은 배수수직관의 관경보다 작게해서는 안된다.
- ③ 회로통기관의 관경은 배수수평지관과 통기수직관 중 큰쪽 관경의 1/2 이상으로 한다.
- ④ 결합통기관의 관경은 통기수직관과 배수수직관 중 작은 쪽 관경 이상으로 한다.
등록된 댓글이 없습니다.
5과목 : 건축법규
81. 일반주거지역내에서 그림과 같은 건물을 건축할 경우 인접 대지 경계선으로부터 띄어야 할 최소거리 x는? (단, 건물은 9m 높이의 3층 주택임)

- ① 4.5m
- ② 6.0m
- ③ 7.5m
- ④ 9.0m
등록된 댓글이 없습니다.
82. 관련 규정에 의하여 건축물에 설치하는 지하층의 구조 및 설비에 관한 기준 내용으로 옳지 않은 것은?
- ① 거실의 바닥면적이 50제곱미터 이상인 층에는 직통계단외에 피난층 또는 지상으로 통하는 비상탈출구 및 환기통을 설치할 것
- ② 바닥면적이 1천제곱미터이상인 층에는 피난층 또는 지상으로 통하는 직통계단을 방화구획으로 수획되는 각 부분마다 1개소 이상 설치하되, 이를 피난계단 및 특별피난계단의 구조로 할 것
- ③ 거실의 바닥면적의 합계가 1천제곱미터 이상인 층에는 환기설비를 설치할 것
- ④ 지하층의 바닥면적이 200제곱미터 이상인 층에는 식수공급을 위한 급수전을 1개소이상 설치할 것
등록된 댓글이 없습니다.
83. 건물의 소유자나 관리자는 건축물이 재해로 멸실된 경우 멸실 후 최대 몇 일 이내에 신고를 하여야 하는가?
- ① 10일
- ② 20일
- ③ 30일
- ④ 50일
등록된 댓글이 없습니다.
84. 다음 중 옥외피난계단을 설치하여야 하는 대상 기준 내용과 가장 관계가 먼 것은?
- ① 건축물 용도
- ② 층수
- ③ 거실의 바닥면적
- ④ 연면적
등록된 댓글이 없습니다.
85. 부설주차장의 규모가 주차대수 300대 이하인 경우 시설물의 부지인근에 단독 또는 공동으로 부설주차장을 설치할 수 있다. 다음 중 부지인근의 범위에 관한 기준 내용으로 알맞은 것은?
- ① 당해 부지의 경계선으로부터 부설주차장의 경계선까지의 직선거리 200m 이내 또는 도보거리 500m 이내
- ② 당해 부지의 경계선으로부터 부설주차장의 경계선까지의 직선거리 300m 이내 또는 도보거리 500m 이내
- ③ 당해 부지의 경계선으로부터 부설주차장의 경계선까지의 직선거리 200m 이내 또는 도보거리 600m 이내
- ④ 당해 부지의 경계선으로부터 부설주차장의 경계선까지의 직선거리 300m 이내 또는 도보거리 600m 이내
등록된 댓글이 없습니다.
86. 다음의 도시계획시설결정의 실효과 관련된 기준 내용 중 ( )안에 알맞은 내용은?

- ① 5
- ② 10
- ③ 15
- ④ 20
등록된 댓글이 없습니다.
87. 시가화조정구역의 지정시 시가화 유보기간으로 정할 수 있는 기간은?
- ① 3년 이상 5년이내
- ② 3년 이상 10년이내
- ③ 5년 이상 20년이내
- ④ 5년 이상 30년이내
등록된 댓글이 없습니다.
88. 다음 중 피난층이 아닌 거실에 배연설비를 설치하여야 하는 대상 건축물에 속하지 않는 것은? (단, 6층 이상인 건축물의 경우)
- ① 판매시설
- ② 종교시설
- ③ 교육연구시설 중 학교
- ④ 운수시설
등록된 댓글이 없습니다.
89. 지하식 또는 건축물식 노외주차장의 차로에 관한 기준 내용으로 옳지 않은 것은?
- ① 높이는 주차바닥면으로부터 2.3미터 이상으로 하여야 한다.
- ② 굴곡부는 자동차가 4미터 이상의 내변반경으로 회전이 가능하도록 하여야 한다.
- ③ 경사로이 종단경사도는 직선부분에서는 17퍼센트를 곡선부분에서는 14퍼센트를 초과하여서는 아니된다.
- ④ 주차대수규모가 50대 이상인 경우의 경사로는 너비 6미터 이상인 2차선의 차로를 확보하거나 진입차로와 진출차로를 분리하여야 한다.
등록된 댓글이 없습니다.
90. 20m 간선도로변 일반주거지역의 건축물에 설치한 냉방시설의 배기구로서 보행자를 배려한 설비를 따로 하지 않았을 경우 설치높이 기준은?
- ① 도로면으로부터 1.5m 이상
- ② 대지면으로부터 1.5m 이상
- ③ 도로면으로부터 2.0m 이상
- ④ 대지면으로부터 2.0m 이상
등록된 댓글이 없습니다.
91. 주요구조부를 내화구조로 하여야 하는 대상 건축물에 대한 기준 내용으로 옳지 않은 것은?
- ① 장례식장의 용도로 쓰는 건축물로서 집회실의 바닥면적의 합계가 200제곱미터 이상인 건축물
- ② 문화 및 집회시설 중 전시장의 용도로 쓰는 건축물로서 그 용도로 쓰는 바닥면적의 합계가 400제곱미터 이상인 건축물
- ③ 공장의 용도로 쓰는 건축물로서 그 용도로 쓰는 바닥 면적의 합계가 2,000제곱미터 이상인 건축물
- ④ 건축물의 2층이 숙박시설의 용도로 쓰는 건축물로서 그 용도로 쓰는 바닥면적의 합계가 400제곱미터 이상인 건축물
등록된 댓글이 없습니다.
92. 다음 공동주택의 평면도에서 발코니 면적은 바닥면적에 얼마나 산입되는가? (단, 실내와 발코니 사이의 선은 외벽의 중심선이다.)

- ① 바닥면적에 산입되지 않는다.
- ② 1.35m2
- ③ 4.05m2
- ④ 8.1m2
등록된 댓글이 없습니다.
93. 가설건축물을 축조하려는 자가 대통령령으로 정하는 존치기간, 설치 기준 및 절차에 따라 특별자치도지사 또는 시장ㆍ군수ㆍ구청장에게 신고한 후 착공하여야 하는 대상 가설건축물레 해당되지 않는 것은?
- ① 전시를 위한 견본주택
- ② 농업용 고정식 온실
- ③ 공장에 설치하는 창고용 천막
- ④ 조립식 구조로 된 경비용에 쓰이는 가설건축물로서 연면적이 15m2인 것
등록된 댓글이 없습니다.
94. 노외주차장에서 요구되는 차로의 최소 너비가 가장 큰 주차형식은?
- ① 60도 대향주차
- ② 45도 대향주차
- ③ 평행주차
- ④ 직각주차
등록된 댓글이 없습니다.
95. 다음 중 시설보호지구의 지정 목적에 속하지 않는 것은?
- ① 학교시설의 보호
- ② 향만의 효율화
- ③ 항공기의 안전운항
- ④ 문화재의 보호
등록된 댓글이 없습니다.
96. 다음 중 허가 대상 건축물이라 하더라도 건축신고를 하면 건축허가를 받은 것으로 보는 건축물이 아닌 것은?
- ① 연면적의 합계가 80m2인 건축물의 건축
- ② 바닥면적의 합계 80m2를 증축하는 건축물
- ③ 건축물의 높이 4m를 증축하는 건축물
- ④ 연면적 150m2이고 2층인 건축물의 대수선
등록된 댓글이 없습니다.
97. 비상용승강기의 승강장의 구조에 관한 기준 내용으로 옳지 않은 것은?
- ① 승강장의 창문ㆍ출입구 기타 개구부를 제외한 부분은 당해 건축물의 다른 부분과 내화구조의 바닥 및 벽으로 구획할 것
- ② 피난층이 있는 승강장의 출입구로부터 도로 또는 공지에 이르는 거리가 30미터 이하일 것
- ③ 벽 및 반자가 실내에 접하는 부분의 마감재료는 불연재료 또는 준불연재료로 할 것
- ④ 채광이 되는 창문이 있거나 예비전원에 의한 조명설비를 할 것
등록된 댓글이 없습니다.
98. 다음 중 건축법령에 따라 건축시 지방건축위원회의 건축 심의를 받는 대상 건축물에 속하지 않는 것은?
- ① 종합병원의 용도로 쓰이는 바닥면적의 합계가 6000m2인 건축물
- ② 17층의 사무소
- ③ 연면적 10000m2의 아파트
- ④ 16층의 관광호텔
등록된 댓글이 없습니다.
99. 주차장과 문화 및 집회시설을 함께 설치하는 경우에 주차장법에 의한 주차전용건축물이 기준에 적합하기 위해서는 주차장으로 사용되는 부분의 면적이 당해 건축물 연면적의 최소 몇 % 이상이어야 하는가?
- ① 60%
- ② 70%
- ③ 80%
- ④ 95%
등록된 댓글이 없습니다.
100. 건축물의 높이ㆍ층수 등의 산정방법에 관한 기준내용으로 옳지 않은 것은?
- ① 난간벽(그 벽면적의 2분의 1 이상이 공간으로 되어 있는 것만 해당한다.)은 그 건축물의 높이에 산입하지 아니한다.
- ② 처마높이는 지표면으로부터 건축물의 지붕틀 또는 이와 유사한 수평재를 지지하는 벽ㆍ깔도리 또는 기둥의 상단까지의 높이로 한다.
- ③ 층고는 방의 바닥구조체 중간으로부터 위층 바닥구조체의 중간까지의 높이로 한다.
- ④ 층의 구분에 명확하지 아니한 건축물은 그 건축물의 높이 4m 마다 하나의 층으로 산정한다.
등록된 댓글이 없습니다.