건축설비기사(2010. 5. 9.) 시험일자 : 2010년 5월 9일
1과목 : 건축일반
1. 침실계획 시 고려 사항으로 옳지 않은 것은?
- ① 사적 생활을 보장할 수 있게 한다.
- ② 침실의 면적은 실내의 자연환기횟수를 고려하여 산출한다.
- ③ 노인침실은 일조가 충분한 곳에 면하게 한다.
- ④ 현관과 가깝게 배치해야 동선상 유리하다.
등록된 댓글이 없습니다.
2. 목구조에서 평보를 대공에 달아맬 때 쓰이는 보강철물은 어는 것인가?
- ① ㄱ자쇠
- ② 안장쇠
- ③ 쐐기
- ④ 감잡이쇠
등록된 댓글이 없습니다.
3. 열환경 지표 중 기온과 주벽의 복사열 및 기류의 영향을 조합시킨 지표로서 습도의 영향이 고려되어 있지 않은 것은?
- ① 작용온도
- ② 등온지수
- ③ 유효온도
- ④ 합성온도
등록된 댓글이 없습니다.
4. 다음 중 용어와 단위가 잘못 짝지어진 것은?
- ① 음압 : Pa
- ② 소음레벨 : dB
- ③ 광속 :lx
- ④ 열관류율 : W/m2∙K
등록된 댓글이 없습니다.
5. 병원의 건축계획에 관한 설명 중 옳지 않은 것은?
- ① 수술부는 에너지 사용량이 크므로 공조 재순환이 바람직하다.
- ② 위생기구 손잡이를 감지식으로 한다.
- ③ 감염으로부터 보호받아야 할 부서에 갱의실을 두고 다른 부문과는 분리시킨다.
- ④ 종합병원의 건축군을 크게 외래부, 병동부, 부속진료부로 나눌 수 있다.
등록된 댓글이 없습니다.
6. 층고가 4m인 박물관에 계단을 대체하여 경사로를 설치하고자 한다. 최소 몇 m의 수평거리가 필요한가?
- ① 18m
- ② 24m
- ③ 32m
- ④ 48m
등록된 댓글이 없습니다.
7. 상점 진열창의 눈부심(glare)을 방지하는 대책으로 옳지 않는 것은?
- ① 차양을 달아서 외부에 그늘을 주어 내부보다 어둡게 한다.
- ② 야간에는 눈에 입사하는 광속(光速)을 크게 한다.
- ③ 특수한 곡면 유리를 사용한다.
- ④ 유리면을 경사지게 하여 반사각을 조정한다.
등록된 댓글이 없습니다.
8. 다음 중 대형창호에 멀리온(mullion)을 설치하는 가장 주된 이유는?
- ① 기밀성을 양호하게 하기 위하여
- ② 채광성을 양호하게 하기 위하여
- ③ 차음성을 양호하게 하기 위하여
- ④ 진동에 의한 유리파손을 방지하기 위하여
등록된 댓글이 없습니다.
9. 일영계획에 관한 설명 중 옳지 않은 것은?
- ① 일영은 태양의 방위와 반대방향에 생긴다.
- ② 일영곡선은 해당지역의 위도, 시간별 태양고도에 따라 다르다.
- ③ 일영의 길이는 태양의 고도에 의하여 결정된다.
- ④ 일영이 생기는 방향은 계절이 바뀌어도 변함이 없다.
등록된 댓글이 없습니다.
10. 단열에 관한 설명 중 옳지 않은 것은?
- ① 일반적으로 열전도율이 작은 재료를 사용하는 것이 단열효과가 좋다.
- ② 공기층은 기밀성이 떨어져도 단열효과에는 영향이 없다.
- ③ 단열재에 수분이 침투하면 단열성이 매우 나빠진다.
- ④ 10cm 공기층을 1개층 설치하는 것보다 5cm 공기층을 2개층 설치하는 것이 단열에 유리하다.
등록된 댓글이 없습니다.
11. 인장력만으로 외력에 저항하는 건축구조 형식은?
- ① 스페이스 프레임구조
- ② 아치구조
- ③ 셸구조
- ④ 현수구조
등록된 댓글이 없습니다.
12. 기초의 부동침하를 방지하는데 효과적인 방법이 아닌 것은?
- ① 기초 상호간을 지중보로 연결한다.
- ② 가급적 건물의 중량을 무겁게 한다.
- ③ 구조 전체의 하중을 기초에 균등히 분포시킨다.
- ④ 지하실을 강성체로 설치한다.
등록된 댓글이 없습니다.
13. 콘크리트의 인장강도는 압축강도의 약 몇 %인가?
- ① 10%
- ② 30%
- ③ 50%
- ④ 80%
등록된 댓글이 없습니다.
14. 상점의 퍼사드(facade) 구성과 관련된 5가지 광고 요소에 해당되지 않는 것은?
- ① Imagination
- ② Attention
- ③ Desire
- ④ Memory
등록된 댓글이 없습니다.
15. 200명인 회사에서 전용사무소 건물의 필요 바닥면적으로 가장 적당한 것은?
- ① 1,000m2
- ② 2,000m2
- ③ 3,000m2
- ④ 4,000m2
등록된 댓글이 없습니다.
16. 병원의 평면계획상 구급동선은 어디에 연결되어야 하는가?
- ① 병동부
- ② 외래부
- ③ 중앙진료부
- ④ 관리부
등록된 댓글이 없습니다.
17. 도서관의 건축계획으로 옳지 않은 것은?
- ① 서고는 증축을 고려하여 계획한다.
- ② 열람실은 서고와 최대한 멀리 떨어져 위치시키는 것이 좋다.
- ③ 아동 열람실은 자유롭게 책을 꺼내볼 수 있도록 자유개가식으로 한다.
- ④ 참고실은 안정된 분위기를 갖고 일반열람실과는 별실로 목록실, 출납대 근처에 설치한다.
등록된 댓글이 없습니다.
18. 다음 중 블록의 빈 속에 철근을 배근하고 콘크리트를 사춤하여 보강한 가장 이상적인 블록구조는?
- ① 조적식 블록조
- ② 거푸집 블록조
- ③ 블록 장막벽
- ④ 보강콘크리트 블록조
등록된 댓글이 없습니다.
19. 공동주택의 건물단면형식 중 주거단위의 단면을 단층형과 복층형에서 동일층으로 하지 않고 반 층씩엇나게 하는 형식은?
- ① 스킵 플로어 형식
- ② 필로티 형식
- ③ 오픈 형식
- ④ 플랫 형식
등록된 댓글이 없습니다.
20. 아파트건축의 성립요건이 아닌 것은?
- ① 토지가 상승에 의한 저렴한 주거공급의 필요성
- ② 현대인의 다양하고 개성적인 생활양식의 수용
- ③ 도시행활자의 이동성 증가에 따른 편의성 제공
- ④ 단독주거로는 해결할 수 없는 넓은 옥외공간과 질높은 주거환경 조성
등록된 댓글이 없습니다.
2과목 : 위생설비
21. 온도 35℃, 길이 100m 인 동관에 탕이 흘러 60℃가 되었을 때, 동관의 팽창량은? (단, 동관의 선팽창계수는 0.171×10-4 이다.)
- ① 0.0017mm
- ② 0.06mm
- ③ 0.10mm
- ④ 42.75mm
등록된 댓글이 없습니다.
22. 어느 건물에 옥외소화전이 5개 설치되어 있다. 이 건물에서 옥외소화전설비의 수원은 저수량이 최소 얼마 이상이어야 하는가?
- ① 7m3
- ② 14m3
- ③ 85m3
- ④ 42m3
등록된 댓글이 없습니다.
23. 증기를 사일렌서(sileneer) 등에 의해 물과 혼합시켜 탕을 만드는 급탕방식은?
- ① 순간식
- ② 저탕식
- ③ 기수혼합식
- ④ 간접가열식
등록된 댓글이 없습니다.
24. 도시가스로 주로 공급되는 액화천연가스(LNG)에 대한 설명 중 옳지 않은 것은?
- ① 공기보다 가볍다.
- ② 아황산가스, 매연 등의 오염이 없다.
- ③ 천연가스를 정제해서 얻은 메탄을 주성분으로 하는 가스를 냉각시켜 액화한 것이다.
- ④ 발열량이 액화석유가스(LPG)보다 높다.
등록된 댓글이 없습니다.
25. 다음과 같은 조건에서 연면적이 20,000m2인 사무소에 필요한 1일의 급수량(사용수량)은?

- ① 33.6 m3/d
- ② 43.6 m3/d
- ③ 336 m3/d
- ④ 406 m3/d
등록된 댓글이 없습니다.
26. 아파트에 설치하는 저수조에 관한 설명으로 옳지 않은 것은?
- ① 저수조의 맨홀부분은 건축물(천정 및 보 등)로부터 100cm 이상 떨어져야 한다.
- ② 물의 유출구는 유입구의 윗부분에 설치하여 바닥의 침전물이 유출되지 아니하도록 한다.
- ③ 저수조의 공기정화를 위한 통기관과 물의 수위조절을 위한 월류관을 설치한다.
- ④ 저수조의 유입배관에는 배수용 밸브를 설치한다.
등록된 댓글이 없습니다.
27. 배수 배관에서 청소구를 원칙적으로 설치하여야 하는 곳이 아닌 것은?
- ① 배수수평주관의 기점
- ② 배수수직관의 최상부
- ③ 배수수평지관의 기점
- ④ 배수수평주관과 옥외배수관의 접속장소와 가까운 곳
등록된 댓글이 없습니다.
28. 어떤 정화조에서 유입수의 BOD가 150(mg/L), 유출수의 BOD가 60(mg/L)일 때, 이 정화조의 BOD 제거율은?
- ① 30%
- ② 45%
- ③ 60%
- ④ 90%
등록된 댓글이 없습니다.
29. 통기관의 관경 결정에 대한 설명 중 옳지 않은 것은?
- ① 각개통기관의 관경은 접속하는 배수관 관경의 1/2이상으로 한다.
- ② 루프통기관의 관경은 접속하는 배수 수평지관과 통기수직관의 관경 중 작은 쪽 관경의 1/2 이상으로 한다.
- ③ 결합통기관의 관경은 통기수직관과 배수 수직관 중 큰 쪽의 관경 이상으로 한다.
- ④ 신정통기관의 관경은 배수 수직관의 관경보다 작게해서는 안된다.
등록된 댓글이 없습니다.
30. 펌프의 캐비테이션에 대한 설명 중 옳지 않은 것은?
- ① 비정상적인 소음과 진동이 발생한다.
- ② 캐비테이션을 방지하기 위해 펌프의 흡입양정을 크게 한다.
- ③ 캐비테이션이 진행되면 펌프의 양수량, 양정 및 효율이 저하되어 간다.
- ④ 캐비테이션을 방지하기 위해 설계상의 펌프 운전범위내에서 항상 유효 NPSH가 필요 NPSH보다 크게 되도록 배관계획을 한다.
등록된 댓글이 없습니다.
31. 다음 중 급수배관의 관경결정과 관계없는 것은?
- ① 관균등표
- ② 확대관 저항계수
- ③ 마찰저항선도
- ④ 동시사용률
등록된 댓글이 없습니다.
32. 다음 설명에 알맞은 급수방식은?

- ① 수도직결방식
- ② 고가수조방식
- ③ 압력수조방식
- ④ 펌프직송방식
등록된 댓글이 없습니다.
33. 다음의 밸브에 관한 설명 중 옳은 것은?
- ① 슬루스 밸브는 주로 유량조절용에 사용된다.
- ② 글로브 밸브는 밸브를 완전히 열었을 때 유체 흐름의 단면적 변화가 없어서 마찰저항이 없다.
- ③ 리프트형 체크 밸브는 수평배관에 사용된다.
- ④ 버터 플라이 밸브는 기밀성 좋아서 고압유체의 흐름 단속용에 주로 사용된다.
등록된 댓글이 없습니다.
34. 배수 수직관 내가 부압으로 되는 곳에 배수 수평지관이 접속되어 있는 경우, 배수 수평지관 내의 공기가 수직관으로 유인되어 봉수가 파괴되는 현상은?
- ① 유도사이폰 작용
- ② 자기사이폰 작용
- ③ 모세관 현상
- ④ 증발 현상
등록된 댓글이 없습니다.
35. 다음 중 기구배수 부하단위수가 가장 큰 기구는?
- ① 세정밸브식 대변기
- ② 스톨형 소변기
- ③ 청소싱크
- ④ 세탁싱크
등록된 댓글이 없습니다.
36. 급탕설비에서 팽창관의 역할에 대한 설명 중 옳지 않은 것은?
- ① 보일러의 자동 급수조절 장치이다.
- ② 안전밸브와 같은 역할을 한다.
- ③ 보일러내의 공기나 증기를 배출시킨다.
- ④ 물의 온도상승에 따른 체적 팽창을 흡수한다.
등록된 댓글이 없습니다.
37. 연결살수설비의 송수구에 관한 기준 내용으로 옳지 않은 것은?
- ① 소방차가 쉽게 접근할 수 있고 노출된 장속에 설치하는 것이 원칙이다.
- ② 지면으로부터 높이가 0.5m 이상 1.0m 이하의 위치에 설치하여야 한다.
- ③ 개방형 헤드를 사용하는 송수구의 호스접결구는 각 송수구역마다 설치하는 것이 원칙이다.
- ④ 송수구는 구경 32mm의 쌍구형으로 설치하여야 한다.
등록된 댓글이 없습니다.
38. 35m의 높이에 있는 고가수조에 유속 2m/sec으로 양수량 10m3/h의 물을 양수하려고 할 때 펌프의 구경은?
- ① 약 25mm
- ② 약 42mm
- ③ 약 52mm
- ④ 약 62mm
등록된 댓글이 없습니다.
39. 다음 중 고층건물에서 급수설비의 조닝 목적과 가장 관계가 먼 것은?
- ① 배관의 적절한 수압유지
- ② 공사비의 절감
- ③ 소음과 진동의 방지
- ④ 기구 부속품의 파손방지
등록된 댓글이 없습니다.
40. 위생도기에 대한 설명 중 옳지 않은 것은?
- ① 흡수성(吸收性)이 높다.
- ② 산, 알칼리에 침식되지 않는다.
- ③ 오물이 부착되기 어려우며, 청소가 용이하다.
- ④ 복잡한 구조의 것을 일체화하여 제작할 수 있다.
등록된 댓글이 없습니다.
3과목 : 공기조화설비
41. 다음의 설명 중 옳은 것은?
- ① 코일의 열수가 증가할수록 바이패스 팩터는 커진다.
- ② 20℃의 습공기에 90℃의 온수로 분무가습하였을 경우 건구온도는 내려간다.
- ③ 코일을 통과하는 풍속이 커지면 바이패스 팩터는 감소한다.
- ④ 습공기의 노점온도는 습도가 낮을수록 높아진다.
등록된 댓글이 없습니다.
42. 다음과 같은 조건에 있는 벽체의 실내표면온도는?

- ① 16.5℃
- ② 11.2℃
- ③ 12.2℃
- ④ 13.5℃
등록된 댓글이 없습니다.
43. 온수배관에 관한 설명 중 옳지 않은 것은?
- ① 배관의 신축을 고려한다.
- ② 배관재료는 내식성을 고려한다.
- ③ 온수배관에는 공기가 고이지 않도록 구배를 준다.
- ④ 온수보일러의 팽창관에는 게이트 밸브를 설치한다.
등록된 댓글이 없습니다.
44. 증기배관에서의 증기유속으로 가장 적합한 것은?
- ① 저압 증기관 : 최소 10m/s, 고압 증기관 : 최소 70m/s
- ② 저압 증기관 : 최소 18m/s, 고압 증기관 : 최대 60m/s
- ③ 저압 증기관 : 최대 25m/s, 고압 증기관 : 최소 55m/s
- ④ 저압 증기관 : 최대 35m/s, 고압 증기관 : 최대 45m/s
등록된 댓글이 없습니다.
45. 냉각탑 주위의 배관에 대한 설명 중 옳지 않은 것은?
- ① 냉각수 배관은 일반적으로 개방회로이다.
- ② 펌프의 위치는 응축기의 흡입측에 설치한다.
- ③ 냉각탑 입구측 배관에 스트레이너를 설치한다.
- ④ 냉각탑 주위의 세균 감염에 유의하여야 한다.
등록된 댓글이 없습니다.
46. 건구온도 33℃, 절대습도 0.021kg/kg'의 공기 20kg과 건구온도 25℃, 절대습도 0.012kg/kg'의 공기 80kg을 단열혼합하였을 때, 혼합공기의 건구온도와 절대습도는?
- ① 건구온도 : 26.6℃, 절대습도 : 0.0138kg/kg'
- ② 건구온도 : 26.6℃, 절대습도 : 0.0192kg/kg'
- ③ 건구온도 : 31.4℃, 절대습도 : 0.0138kg/kg'
- ④ 건구온도 : 31.4℃, 절대습도 : 0.0192kg/kg'
등록된 댓글이 없습니다.
47. 공기조화방식 중 유인 유닛방식에 대한 설명으로 옳은 것은?
- ① 외기냉방의 효과는 크나 부하변동에 따른 적응성이 낮다.
- ② 전공기방식으로 배수관이 필요없어 누수의 우려가 없다.
- ③ 고속덕트를 사용하므로 덕트 스페이스를 작게 할 수 있다.
- ④ 각 유닛의 개별제어가 불가능하다.
등록된 댓글이 없습니다.
48. 다음의 공기조화방식 중 에너지 절약측면에서 가장 불리한 것은?
- ① 단일덕트방식
- ② 각층유닛방식
- ③ 유인유닛방식
- ④ 이중덕트방식
등록된 댓글이 없습니다.
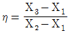
49. 그림과 같은 전열교환기의 전열효율을 올바르게 나타낸 것은? (단, 난방이 경우이며, X1, X2, X3, X4는 각 공기상태의 엔탈피를 나타낸다.)

- ①

- ②

- ③

- ④

등록된 댓글이 없습니다.
50. 에어와셔의 통과공기량이 20,000kg/h, 수량(水量)이 15,600kg/h이고, 입구공기의 엔탈피 23.9kJ/kg, 출구공기의 엔탈피 26.8kJ/kg 일 때, 에어와셔의 입구수온은? (단, 에어와셔의 출구 수온은 9.3℃, 물의 비열은 4.19kJ/kg∙K 이다.)
- ① 8.4℃
- ② 9.7℃
- ③ 10.2℃
- ④ 11.5℃
등록된 댓글이 없습니다.
51. 보일러에 대한 설명 중 옳지 않은 것은?
- ① 주철제 보일러는 규모가 비교적 작은 건물의 난방용으로 사용된다.
- ② 노통 연관보일러는 부하변동의 적응성이 낮으나 예열시간은 짧다.
- ③ 수관보일러는 대형건물 또는 병원이나 호텔 등과 같이 고압증기를 다량 사용하는 곳에 사용된다.
- ④ 입형보일러는 설치 면적이 작고 취급은 용이하나 사용압력이 낮다.
등록된 댓글이 없습니다.
52. 중앙식 공기조화기에서 가습기의 형식 선정시 유의사항으로 옳지 않은 것은?
- ① 공기조화기(AHU)에 가습기를 배치할 때 코일의 전∙후 위치를 검토한다.
- ② 가습과정의 열수분비를 확인하여 저온의 공기도 가습효과가 큰지 확인한다.
- ③ 분무노즐을 사용하는 경우는 분출압력이 높으면 가습효율은 증가되지만 소음이 증가되므로 소음대책도 검토한다.
- ④ 수분무의 경우 가습효율이 높으므로 엘리미네이터의 설치에 대한 고려를 하지 않는다.
등록된 댓글이 없습니다.
53. 건구온도 32℃, 절대습도 0.025kg/kg'인 습공기의 엔탈피는? (단, 건공기 정압비열 1.01kJ/kg∙K, 수증기 정압비열 1.85kJ/kg∙K, 0℃에서 포화수의 증발잠열 2501kJ/kg이다.)
- ① 71.12 kJ/kg
- ② 96.33 kJ/kg
- ③ 140.62 kJ/kg
- ④ 182.52 kJ/kg
등록된 댓글이 없습니다.
54. 덕트의 단면적을 확대시킬 경우 변화가 없는 것은? (단, 덕트의 마찰손실은 무시)
- ① 풍속
- ② 동압
- ③ 정압
- ④ 전압
등록된 댓글이 없습니다.
55. 축열시스템에 대한 설명으로 옳지 않은 것은?
- ① 냉동기의 용량을 감소시킬 수 있다.
- ② 값이 저렴한 심야전력의 이용이 가능하다.
- ③ 호텔의 공공부분과 같이 간헐운전이 심한 경우에는 적용할 수 없다.
- ④ 빙축열 시스템은 냉각을 위한 냉동기, 축열을 위한 빙축열조, 외부와의 열교환을 위한 열교환기 등으로 구성된다.
등록된 댓글이 없습니다.
56. 덕트의 치수 결정법에 대한 설명 중 옳지 않은 것은?
- ① 등속법은 덕트 내의 풍속을 일정하게 유지할 수 있도록 덕트 치수를 결정하는 방법이다.
- ② 등속법에 의한 덕트는 각 구간마다 압력 손실이 다르므로 송풍기 용량을 구하기 위해서는 전체 구간의 압력손실을 구해야 하는 번거로움이 있다.
- ③ 등속법에 의한 덕트에 많은 풍량을 송풍하면 소음발생이나 덕트의 강도상에 문제가 발생하므로 일정 풍량 이상인 경우 등마찰손실법으로 결정한다.
- ④ 등마찰손실법은 덕트의 단위길이당 마찰손실이 일정한 상태가 되도록 덕트마찰손실선도에 직경을 구하는 방법이다.
등록된 댓글이 없습니다.
57. 변풍량 유닛(VAV unit) 중 송풍덕트 내의 정압제어가 필요 없고, 유닛의 소음발생이 적으나, 송풍동력을 절감시킬 수 없는 유닛은?
- ① 바이패스형
- ② 슬롯형
- ③ 유인형
- ④ 댐퍼형
등록된 댓글이 없습니다.
58. 실내공간에 있어서 인체의 열방출 경로 중 그 비율이 가장 작은 것은?
- ① 대류
- ② 복사
- ③ 전도
- ④ 증발
등록된 댓글이 없습니다.
59. 다음 설명에 알맞은 환기방식은?

- ① 급기팬과 배기팬의 조합
- ② 급기팬과 자연배기의 조합
- ③ 자연급기와 배기팬의 조합
- ④ 자연급기와 자연배기의 조합
등록된 댓글이 없습니다.
60. 내경 50mm인 원관속을 흐르는 물의 유량은 10.5m3/h 이다. 관의 길이가 10m 일 경우 마찰손실은? (단, 관마찰계수는 0.02 이다.)
- ① 0.25 mAq
- ② 0.45 mAq
- ③ 0.62 mAq
- ④ 0.82 mAq
등록된 댓글이 없습니다.
4과목 : 소방 및 전기설비
61. 전열기에 인가되는 전압이 20[%] 상승할 경우, 소비전력은 몇 [%] 증가하는가?
- ① 20%
- ② 32%
- ③ 44%
- ④ 50%
등록된 댓글이 없습니다.
62. 다음 중 투자율의 단위는?
- ① A/m
- ② V/m
- ③ F/m
- ④ H/m
등록된 댓글이 없습니다.
63. 단열 중복형 에스켈레이터에 대한 설명으로 옳은 것은?
- ① 설치면적이 작고 점포 내를 잘 볼 수 있다.
- ② 연속적으로 승계할 수 있으나 설치면적이 큰 것이 결점이다.
- ③ 백화점 등에 주로 설치되는 형식으로 승객의 승계가 용이하며 상층으로 고객 유도가 용이하다.
- ④ 승강 모두 연속적으로 승계가 되며 상승과 하강이 서로 바닥면의 반대측에 분리되어 승강구에서 혼잡이 적다.
등록된 댓글이 없습니다.
64. 다음 설명이 의미하는 것은?

- ① 양자
- ② 자유전자
- ③ 중성자
- ④ 원자핵
등록된 댓글이 없습니다.
65. 건축물 내 변전실에서 사용하는 변압기의 용량을 산정하는데 사용하는 주요 요소(Factor)가 아닌 것은?
- ① 밀도율
- ② 부등률
- ③ 부하율
- ④ 수용률
등록된 댓글이 없습니다.
66. 공조설비의 밸브나 댐퍼의 구동을 위하여 비례저어용으로 주로 사용되는 기기는?
- ① 히트 펌프
- ② 서보 모터
- ③ 모듀트럴 모터
- ④ 직동식 전자밸브
등록된 댓글이 없습니다.
67. 전선의 저항에 대한 설명으로 옳지 않은 것은?
- ① 저항률의 단위는 [Ωㆍm]이다.
- ② 저항의 크기는 전선의 길이에 비례한다.
- ③ 저항의 크기는 전선의 단면적에 비례한다.
- ④ 전선의 저항은 전선의 주위온도에 영향을 받는다.
등록된 댓글이 없습니다.
68. 비상콘센트의 설치 높이에 대한 설명으로 옳은 것은?
- ① 바닥으로부터 높이 0.5m 이상 1.5m 이하의 위치에 설치한다.
- ② 바닥으로부터 높이 0.5m 이상 1.8m 이하의 위치에 설치한다.
- ③ 바닥으로부터 높이 0.8m 이상 1.5m 이하의 위치에 설치한다.
- ④ 바닥으로부터 높이 0.8m 이상 1.8m 아하의 위치에 설치한다.
등록된 댓글이 없습니다.
69. 피뢰침 설비의 접지 저항은 최대 얼마 이하로 하는가?
- ① 2[Ω]
- ② 5[Ω]
- ③ 10[Ω]
- ④ 15[Ω]
등록된 댓글이 없습니다.
70. 농형유도전동기에 대한 설명으로 옳지 않은 것은?
- ① 구조가 간단하여 취급방법이 간단하다.
- ② VVVF(Variable Voltage Variable Frequency)방식으로 속도제어가 가능하다.
- ③ 기동전류가 커서 전동기 권선을 과열시키거나 전원전압의 변동을 일으킬 수 있다.
- ④ 슬립링에서 불꽃이 나올 염려가 있기 때문에 인화성 또는 폭발성 가스가 있는 곳에서 사용할 수 없다.
등록된 댓글이 없습니다.
71. 전력 퓨즈에 대한 설명으로 옳지 않은 것은?
- ① 릴레이와 변성기가 필요하다.
- ② 소형으로 큰 차단용량을 가진다.
- ③ 옥내에 시설하는 경우에는 소음기를 부착하는 것이 좋다.
- ④ 일정치 이상의 과전류를 차단하여 전로나 기기를 보호한다.
등록된 댓글이 없습니다.
72. 유도전동기가 60Hz의 전원에 접속되고 4극 3상인 경우 회전 속도[rpm]는?
- ① 1600
- ② 1700
- ③ 1800
- ④ 3600
등록된 댓글이 없습니다.
73. 다음 중 전하간이 정전유도현상과 가장 관계가 먼 것은?
- ① 낙뢰
- ② 정전기
- ③ 전자석
- ④ 전기집진기
등록된 댓글이 없습니다.
74. 두 지점간의 전하가 갖는 에너지의 차를 의미하는 것은?
- ① 전압
- ② 전계
- ③ 전하량
- ④ 정전력
등록된 댓글이 없습니다.
75. 전기식 자동제어 시스템에서 리미트 조절기의 설정치보다 제어량이 저하되었을 때 리미트 조절기가 주조절기의 동작과 관계없이 조작기를 직접 작동시켜 조작기가 열리거나 운전되도록 하는 제어방법은?
- ① 상한제어
- ② 하한제어
- ③ 최소개도제어
- ④ 외기도입제어
등록된 댓글이 없습니다.
76. 보일러의 자동제어에 해당하지 않는 것은?
- ① 온도 제어
- ② 연소 제어
- ③ 급수 제어
- ④ 위치 제어
등록된 댓글이 없습니다.
77. 축전지 설비에 사용되는 알카리 축전지의 공칭전압은?
- ① 0.5[V/셀]
- ② 1.2[V/셀]
- ③ 2[V/셀]
- ④ 2.5[V셀]
등록된 댓글이 없습니다.
78. 다음 설명에 알맞은 간선 배선방식은?

- ① 수지상식
- ② 나뭇가지식
- ③ 평행식
- ④ 병용식
등록된 댓글이 없습니다.
79. 다음 그림의 게이트 기호는 무엇을 나타내는가?

- ① AND
- ② OR
- ③ NOT
- ④ NOR
등록된 댓글이 없습니다.
80. 안전전압이란 회로에 인가된 정격전압이 일정 수준 이하의 낮은 전압으로 인체에 접촉되어도 전기적 충격을 주지 않는 안전한 전압의 크기를 말하는데, 우리나라에서 규정된 안전전압은?
- ① 20[V]
- ② 30[V]
- ③ 35[V]
- ④ 50[V]
등록된 댓글이 없습니다.
5과목 : 건축설비관계법규
81. 건축물의 건축허가를 신청하는 경우 에너지절약계획서를 제출하여야 하는 대상 건축물에 속하는 것은?
- ① 업무시설로서 당해 용도에 사용되는 바닥면적의 합계가 3,000m2 인 건축물
- ② 숙박시설로서 그 용도에 사용되는 바닥면적의 합계가 1,500m2 인 건축물
- ③ 판매시설로서 그 용도에 사용되는 바닥면적의 합계가 2,000m2 인 건축물
- ④ 교육연구시설 중 연구소로서 당해 용도에 사용되는 바닥면적의 합계가 2,000m2 인 건축물
등록된 댓글이 없습니다.
82. 다음 중 건축물의 에너지절약 설계기준의 건축부문의 권장사항으로 옳지 않은 것은?
- ① 공동주택은 인동간격을 넓게 하여 저층부의 일사 수열량을 증대시킨다.
- ② 건축물의 체적에 대한 외피면적의 비 또는 연면적에 대한 외피면적의 비는 가능한 크게 한다.
- ③ 거실의 층고 및 반자 높이는 실의 용도와 기능에 지장을 주지 않는 범위 내에서 가능한 낮게 한다.
- ④ 건물의 창호는 가능한 작게 설계하고, 특히 열손실이 많은 북측의 창면적은 최소화한다.
등록된 댓글이 없습니다.
83. 건축물의 바깥쪽으로 나가는 출구로 쓰이는 문을 안여닫이로 해도 되는 건축물의 용도는?
- ① 판매시설
- ② 장례식장
- ③ 위락시설
- ④ 종교시설
등록된 댓글이 없습니다.
84. 대수선의 범위 기준으로 옳지 않은 것은?
- ① 미관지구에서 건축물의 외부형태를 변경하는 것
- ② 기둥을 증설 또는 해체하거나 2개 이상 수선 또는 변경하는 것
- ③ 다가구주택의 가구 간 경계벽을 증설 또는 해체하거나 수선 또는 변경하는 것
- ④ 내력벽을 증설 또는 해체하거나 그 벽면적을 30제곱미터 이상 수선 또는 변경하는 것
등록된 댓글이 없습니다.
85. 다음은 창문 등의 차면시설과 관련된 기준 내용이다. ( )안에 알맞은 숫자는?

- ① 1
- ② 2
- ③ 3
- ④ 4
등록된 댓글이 없습니다.
86. 다음 중 내화구조에 해당하는 것은?
- ① 콘크리트블록조의 지붕
- ② 철근콘크리트조의 벽으로서 두께가 5센티미터인 것
- ③ 철근콘크리트조의 바닥으로서 두께가 7센티미터인 것
- ④ 철근콘크리트조의 기둥으로서 그 작은 지름이 25센티미터인 것
등록된 댓글이 없습니다.
87. 무창층의 개구부가 갖추어야 할 요건으로 옳지 않은 것은?
- ① 외부에서 파괴 또는 개방할 수 없을 것
- ② 개구부는 도로 또는 차량이 진입할 수 있는 빈터를 향할 것
- ③ 개구부의 크기가 지름 50센티미터 이상의 원이 내접할 수 있을 것
- ④ 해당 층의 바닥면으로부터 개구부 밑면까지의 높이가 1.2미터 이내일 것
등록된 댓글이 없습니다.
88. 지하층의 비상탈출구에 관한 기준 내용으로 옳지 않은 것은?
- ① 비상탈출구의 유효높이는 1.5m 이상으로 할 것
- ② 비상탈출구의 유효너비는 0.75m 이상으로 할 것
- ③ 비상탈출구는 출입구로부터 2m 이상 떨어진 곳에 설치할 것
- ④ 비상탈출구의 문은 피난방향으로 열리도록 하고, 실내에서 항상 열 수 있는 구조로 할 것
등록된 댓글이 없습니다.
89. 다음 중 건축물의 에너지절약설계기준에 따른 기계부문의 권장사항으로 옳지 않은 것은?
- ① 폐열회수형 환기장치를 설치한다.
- ② 급수용 펌프의 전동기에는 가변속 제어방식을 채택한다.
- ③ 위생설비 급탕용 저탕조의 설계온도는 70℃ 이상으로 한다.
- ④ 실내공기질을 저하시키지 않는 범위내에서 이코노미이저시스템을 적용한다.
등록된 댓글이 없습니다.
90. 수동식 소화기 또는 간이소화용구를 설치하여야 하는 특정소방대상물의 연면적 기준은?
- ① 10m2 이상
- ② 25m2 이상
- ③ 33m2 이상
- ④ 66m2 이상
등록된 댓글이 없습니다.
91. 축냉식 전기냉방설비의 설계기준 내용으로 옳지 않은 것은?
- ① 축열조는 축냉 및 방냉운전을 반복적으로 수행하는데 적합한 재질의 축냉재를 사용해야 한다.
- ② 자동제어설비는 수동조작이 가능하지 않도록 하여야 하며 감시기능을 갖추어야 한다.
- ③ 열교환기는 시간당 최대냉방열량을 처리할 수 있는 용량이상으로 설치하여야 한다.
- ④ 열교환기는 보온을 철저히 하여 열손실과 결로를 방지하여야 한다.
등록된 댓글이 없습니다.
92. 옥내에 비상용 승강기 설치시 승강자의 바닥면적은 비상용 승강기 1대에 대하여 최소 얼마 이상이어야 하는가?
- ① 2제곱미터
- ② 4제곱미터
- ③ 5제곱미터
- ④ 6제곱미터
등록된 댓글이 없습니다.
93. 방염성능기준 이상의 실내장식물 등을 설치하여야 하는 특정소방대상물에 속하는 것은? (단, 층수가 10층인 경우)
- ① 아파트
- ② 실내수영장
- ③ 종합병원
- ④ 기숙사
등록된 댓글이 없습니다.
94. 다음 중 건축법상 단독주택에 속하지 않는 것은?
- ① 다중주택
- ② 다세대주택
- ③ 다가구주택
- ④ 공관
등록된 댓글이 없습니다.
95. 건축물을 건축하거나 대수선하는 경우 국토해양부령으로 정하는 구조기준 등에 따라 그 구조의 안전을 확인하여야 하는 대상 건축물에 속하지 않는 것은?
- ① 층수가 3층인 건축물
- ② 처마높이가 9미터인 건축물
- ③ 높이가 13미터인 건축물
- ④ 연면적이 500제곱미터인 건축물
등록된 댓글이 없습니다.
96. 방화관리자를 두어야 하는 특정소방대상물 중 1급 방화관리대상물의 연면적 기준은?
- ① 5,000m2 이상
- ② 10,000m2 이상
- ③ 15,000m2 이상
- ④ 20,000m2 이상
등록된 댓글이 없습니다.
97. 6층 이상의 거실면적의 합계가 11,000m2인 교육연구 및 복지시설에 설치하여야 하는 승용승강기의 최소 대수는? (단, 8인승 승용승강기인 경우)
- ① 3대
- ② 4대
- ③ 5대
- ④ 6대
등록된 댓글이 없습니다.
98. 건축물의 출입구에 설치하는 회전문의 설치기준 내용으로 옳지 않은 것은?
- ① 계단으로부터 2미터 이상의 거리를 둘 것
- ② 에스컬레이터로부터 2미터 이상의 거리를 둘 것
- ③ 회전문의 회전속도는 분당회전수가 12회를 넘지 아니하도록 할 것
- ④ 출입에 지장이 없도록 일정한 방향으로 회전하는 구조로 할 것
등록된 댓글이 없습니다.
99. 다음 중 중수도를 설치ㆍ운영하여야 하는 대상 시설물의 중수도 처리 용량 기준으로 적합한 것은?
- ① 사용수량의 100분의 10 이상
- ② 사용수량의 100분의 7 이상
- ③ 사용수량의 100분의 5 이상
- ④ 사용수량의 100분의 3 이상
등록된 댓글이 없습니다.
100. 외기에 직접 면하고 1층 또는 지상으로 연결된 출입문을 방풍구조로 하여야 하는 것은?
- ① 공동주택의 출입문
- ② 너비 1.5m의 출입문
- ③ 사람의 통행을 주목적으로 하지 않는 출입문
- ④ 판매시설 중 상점으로서 바닥면적 300m2의 개별 점포의 출입문
등록된 댓글이 없습니다.