소방설비기사(전기분야)(2020. 8. 22.) 시험일자 : 2020년 8월 22일
1과목 : 소방원론
1. 공기의 평균 분자량이 29일 때 이산화탄소 기체의 증기비중은 얼마인가?
- ① 1.44
- ② 1.52
- ③ 2.88
- ④ 3.24
등록된 댓글이 없습니다.
2. 밀폐된 공간에 이산화탄소를 방사하여 산소의 체적 농도를 12% 되게 하려면 상대적으로 방사된 이산화탄소의 농도는 얼마가 되어야 하는가?
- ① 25.40%
- ② 28.70%
- ③ 38.35%
- ④ 42.86%
조2023. 8. 1. 13:55삭제
CO2농도=((21-O2)/21)×100=42.86
3. 다음 중 고체 가연물이 덩어리보다 가루일 때 연소되기 쉬운 이유로 가장 적합한 것은?
- ① 발열량이 작아지기 때문이다.
- ② 공기와 접촉면이 커지기 때문이다.
- ③ 열전도율이 커지기 때문이다.
- ④ 활성에너지가 커지기 때문이다.
등록된 댓글이 없습니다.
4. 다음 중 발화점이 가장 낮은 물질은?
- ① 휘발유
- ② 이황화탄소
- ③ 적린
- ④ 황린
hsm2025. 7. 8. 16:10삭제
발화점 해설이 틀렸습니다.
황린 30~50도, 이황화탄소 100도 적린 260도 휘발유 300도
5. 질식소화 시 공기 중의 산소농도는 일반적으로 약 몇 vol% 이하로 하여야 하는가?
- ① 25
- ② 21
- ③ 19
- ④ 15
등록된 댓글이 없습니다.
6. 화재하중의 단위로 옳은 것은?
- ① kg/m2
- ② ℃/m2
- ③ kg·L/m3
- ④ ℃·L/m3
등록된 댓글이 없습니다.
7. 제1종 분말소화약제의 주성분으로 옳은 것은?
- ① KHCO3
- ② NaHCO3
- ③ NH4H2PO4
- ④ Al2(SO4)3
조2023. 7. 1. 10:00삭제
탄산수소나트륨
8. 소화약제인 IG-541의 성분이 아닌 것은?
- ① 질소
- ② 아르곤
- ③ 헬륨
- ④ 이산화탄소
조2023. 8. 1. 14:01삭제
질소:52%
아르곤:40%
이산화탄소:8%
9. 다음 중 연소와 가장 관련 있는 화학반응은?
- ① 중화반응
- ② 치환반응
- ③ 환원반응
- ④ 산화반응
등록된 댓글이 없습니다.
10. 위험물과 위험물안전관리법령에서 정한 지정수량을 옳게 연결한 것은?
- ① 무기과산화물 - 300kg
- ② 황화린 - 500kg
- ③ 황린 - 20kg
- ④ 질산에스테르류 – 200kg
조2023. 8. 1. 14:13삭제
무기과산화물 50kg
황하린:100kg
질산에스테류:10kg
11. 화재의 종류에 따른 분류가 틀린 것은?
- ① A급 : 일반화재
- ② B급 : 유류화재
- ③ C급 : 가스화재
- ④ D급 : 금속화재
ㅇㅇ2023. 8. 25. 02:02삭제
C급: 전기화재
12. 이산화탄소 소화약제 저장용기의 설치장소에 대한 설명 중 옳지 않는 것은?
- ① 반드시 방호구역 내의 장소에 설치한다.
- ② 온도의 변화가 적은 곳에 설치한다.
- ③ 방화문으로 구획된 실에 설치한다.
- ④ 해당 용기가 설치된 곳임을 표시하는 표지를 한다.
우언껀토야2023. 8. 24. 08:07삭제
방호구역 내가 아니고 외부에설치
13. 화재의 소화원리에 따른 소화방법의 적용으로 틀린 것은?
- ① 냉각소화 : 스프링클러설비
- ② 질식소화 : 이산화탄소 소화설비
- ③ 제거소화 : 포소화설비
- ④ 억제소화 : 할로겐화합물 소화설비
등록된 댓글이 없습니다.
14. Halon 1301의 분자식은?
- ① CH3Cl
- ② CH3Br
- ③ CF3Cl
- ④ CF3Br
등록된 댓글이 없습니다.
15. 소화효과를 고려하였을 경우 화재 시 사용할 수 있는 물질이 아닌 것은?
- ① 이산화탄소
- ② 아세틸렌
- ③ Halon 1211
- ④ Halon 1301
등록된 댓글이 없습니다.
16. 탄화칼슘이 물과 반응 시 발생하는 가연성 가스는?
- ① 메탄
- ② 포스핀
- ③ 아세틸렌
- ④ 수소
등록된 댓글이 없습니다.
17. 다음 원소 중 전기 음성도가 가장 큰 것은?
- ① F
- ② Br
- ③ Cl
- ④ I
등록된 댓글이 없습니다.
18. 건축물의 내화구조에서 바닥의 경우에는 철근콘크리트의 두께가 몇 cm 이상이어야 하는가?
- ① 7
- ② 10
- ③ 12
- ④ 15
흥2025. 5. 2. 16:52삭제
10 5 5
19. 화재 시 발생하는 연소가스 중 인체에서 헤모글로빈과 결합하여 혈액의 산소운반을 저해하고 두통, 근육조절의 장애를 일으키는 것은?
- ① CO2
- ② CO
- ③ HCN
- ④ H2S
우언껀토야2023. 8. 24. 08:09삭제
문제에 헤모글로빈 나오면
일산화탄소임
20. 인화점이 20℃인 액체위험물을 보관하는 창고의 인화 위험성에 대한 설명 중 옳은 것은?
- ① 여름철에 창고 안이 더워질수록 인화의 위험성이 커진다.
- ② 겨울철에 창고 안이 추워질수록 인화의 위험성이 커진다.
- ③ 20℃에서 가장 안전하고 20℃ 보다 높아지거나 낮아질수록 인화의 위험성이 커진다.
- ④ 인화의 위험성은 계절의 온도와는 상관없다.
등록된 댓글이 없습니다.
2과목 : 소방전기회로
21. 최대눈금이 200mA, 내부저항이 0.8Ω인 전류계가 있다. 8mΩ의 분류기를 사용하여 전류계의 측정범위를 넓히면 몇 A까지 측정할 수 있는가?
- ① 19.6
- ② 20.2
- ③ 21.4
- ④ 22.8
조2023. 8. 2. 01:41삭제
Io=I×(1+Ra/Rs)=(200×10^-3)×(1+(0.8/8×10^-3))=20.2
22. 5Ω의 저항과 2Ω의 유도성 리액턴스를 직렬로 접속한 회로에 5A의 전류를 흘렀을 때 이 회로의 복소전력(VA)은?
- ① 25+j10
- ② 10+j25
- ③ 125+j50
- ④ 50+j125
등록된 댓글이 없습니다.
23. 그림과 같은 회로에서 전압계 Ⓥ가 10V일 때 단자 A-B 간의 전압은 몇 V 인가?

- ① 50
- ② 85
- ③ 100
- ④ 135
등록된 댓글이 없습니다.
24. 50Hz의 3상 전압을 전파 정류하였을 때 리플(맥동) 주파수(Hz)는?
- ① 50
- ② 100
- ③ 150
- ④ 300
조2023. 8. 2. 02:55삭제
단상반파: f
단상전파:2f
3상반파:3f
3상전파:6f
25. 개루프 제어와 비교하여 폐루프 제어에서 반드시 필요한 장치는?
- ① 안정도를 좋게 하는 장치
- ② 제어대상을 조작하는 장치
- ③ 동작신호를 조절하는 장치
- ④ 기준압력신호와 주궤환신호를 비교하는 장치
등록된 댓글이 없습니다.
26. 그름의 시퀀스 회로와 등가인 논리 게이트는?

- ① OR게이트
- ② AND게이트
- ③ NOT게이트
- ④ NOR게이트
등록된 댓글이 없습니다.
27. 전압이득이 60dB인 증폭기와 궤환율(β)이 0.01인 궤환회로를 부궤환 증폭기로 구성하였을 때 전체 이득은 약 몇 dB인가?
- ① 20
- ② 40
- ③ 60
- ④ 80
등록된 댓글이 없습니다.
28. 지하 1층, 지상 2층, 연면적이 1500m2인 기숙사에서 지상 2층에 설치된 차동식스포트형감지기가 작동하였을 때 전 층의 지구경종이 동작되었다. 각 층 지구경종의 정격전류가 60mA 이고, 24V가 인가되고 있을 때 모든 지구경종에서 소비되는 총 전력(W)는?
- ① 4.23
- ② 4.32
- ③ 5.67
- ④ 5.76
조2023. 7. 1. 11:15삭제
0.06×24×3=4.32
29. 진공 중에 놓인 5μC의 점전하에서 2m되는 점에서의 전계는 몇 V/m 인가?
- ① 11.25 × 103
- ② 16.25 × 103
- ③ 22.25 × 103
- ④ 28.25 × 103
조2023. 8. 29. 23:19삭제
9×10⁹×(Q/r²)=9×10⁹×(5×10-⁵/2²)=11250
30. 열팽창식 온도계가 아닌 것은?
- ① 열전대 온도계
- ② 유리 온도계
- ③ 바이메탈 온도계
- ④ 압력식 온도계
등록된 댓글이 없습니다.
31. 3상 유도전동기를 Y결선으로 기동할 때 전류의 크기(|IY|)와 △결선으로 기동할 때 전류의 크기(|I△|)의 관계로 옳은 것은?
- ①

- ②

- ③

- ④

등록된 댓글이 없습니다.
32. 역률 0.8인 전동기에 200V의 교류전압을 가하였더니 10A의 전류가 흘렀다. 피상전력은 몇 VA인가?
- ① 1000
- ② 1200
- ③ 1600
- ④ 2000
등록된 댓글이 없습니다.
33. 다음 중 강자성체에 속하지 않는 것은?
- ① 니켈
- ② 알루미늄
- ③ 코발트
- ④ 철
우언껀토야2023. 8. 24. 08:16삭제
알루미늄,백금은 상자성체
34. 프로세스제어의 제어량이 아닌 것은?
- ① 액위
- ② 유량
- ③ 온도
- ④ 자세
등록된 댓글이 없습니다.
35. 3상 농형 유도전동기의 기동법이 아닌 것은?
- ① Y-△ 기동법
- ② 기동 보상기법
- ③ 2차 저항 기동법
- ④ 리액터 기동법
우언껀토야2023. 8. 27. 22:38삭제
권선형 은 2차저항기법
36. 100V, 500W의 전열선 2개를 같은 전압에서 직렬로 접속한 경우와 병렬로 접속한 경우에 각 전열선에서 소비되는 전력은 각각 몇 W 인가?
- ① 직렬 : 250, 병렬 : 500
- ② 직렬 : 250, 병렬 : 2000
- ③ 직렬 : 500, 병렬 : 500
- ④ 직렬 : 500, 병렬 : 1000
나다2023. 9. 7. 11:18삭제
250 1000
Bj2023. 9. 3. 04:21삭제
P = V^2 / R
직렬접속 R=40, R1+R2=40
병렬접속 R=10, R1R2/R1+R2 = 10
지나가는사람2021. 2. 8. 20:29삭제
보기 오류 입니다. 250 ㅣ 1000 으로 수장 필요.
37. 그림과 같은 논리회로의 출력 Y는?

- ①

- ②

- ③

- ④

등록된 댓글이 없습니다.
38. 단상변압기 3대를 △결선하여 부하에 전력을 공급하고 있는 중 변압기 1대가 고장 나서 V결선으로 바꾼 경우에 고장 전과 비교하여 몇 % 출력을 낼 수 있는가?
- ① 50
- ② 57.7
- ③ 70.7
- ④ 86.6
등록된 댓글이 없습니다.
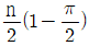
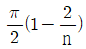
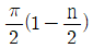
39. 대칭 n상의 환상결선에서 선전류와 상전류(환상전류) 사이의 위상차는?
- ①

- ②

- ③

- ④

멍멍이2021. 2. 13. 17:04삭제
숫자 3을 넣어본다.
40. 공기중에서 50kW 방사 전력이 안테나에서 사방으로 균일하게 방사될 때, 안테나에서 1km 거리에 있는 점에서의 전계의 실효값은 약 몇 V/m 인가?
- ① 0.87
- ② 1.22
- ③ 1.73
- ④ 3.98
멍멍이2021. 2. 13. 17:03삭제
e=377h
e x h = 50000/(4*π* 1000^2)
e^2 = 1.5
e = 1.22 v/m
3과목 : 소방관계법규
41. 소방기본법령상 화재피해조사 중 재산피해조사의 조사범위에 해당하지 않는 것은?
- ① 소화활동 중 사용된 물로 인한 피해
- ② 열에 의한 탄화, 용융, 파손 등의 피해
- ③ 소방활동 중 발생한 사망자 및 부상자
- ④ 연기, 물품반출, 화재로 인한 폭발 등에 의한 피해
등록된 댓글이 없습니다.
42. 위험물안전관리법령상 제조소의 기준에 따라 건축물의 외벽 또는 이에 상당하는 공작물의 외측으로부터 제조소의 외벽 또는 이에 상당하는 공작물의 외측까지의 안전거리 기준으로 틀린 것은? (단, 제6류 위험물을 취급하는 제조소를 제외하고, 건축물에 불연재료로 된 방화상 유효한 담 또는 벽을 설치하지 않은 경우이다.)
- ① 의료법에 의한 종합병원에 있어서는 30m 이상
- ② 도시가스사업법에 의한 가스공급시설에 있어서는 20m 이상
- ③ 사용전압 35000V를 초과하는 특고압가공전선에 있어서는 5m 이상
- ④ 문화재보호법에 의한 유형문화재와 기념물 중 지정문화재에 있어서는 30m 이상
우언껀토야2023. 8. 24. 08:20삭제
4번은 50m이상
43. 위험물안전관리법령상 허가를 받지 아니하고 당해 제조소등을 설치하거나 그 위치·구조 또는 설비를 변경할 수 있으며, 신고를 하지 아니하고 위험물의 품명·수량 또는 지정수량의 배수를 변경할 수 있는 기준으로 옳은 것은?
- ① 축산용으로 필요한 건조시설을 위한 지정수량 40배 이하의 저장소
- ② 수산용으로 필요한 건조시설을 위한 지정수량 30배 이하의 저장소
- ③ 농예용으로 필요한 난방시설을 위한 지정수량 40배 이하의 저장소
- ④ 주택의 난방시설(공동주택의 중앙난방시설 제외)을 위한 저장소
등록된 댓글이 없습니다.
44. 소방시설공사업법령상 공사감리자 지정대상 특정소방대상물의 범위가 아닌 것은?
- ① 제연설비를 신설·개설하거나 제연구역을 증설할 때
- ② 연소방지설비를 신설·개설하거나 살수구역을 증설할 때
- ③ 캐비닛형 간이스프링클러설비를 신설·개설하거나 방호·방수 구역을 증설할 때
- ④ 물분무등소화설비(호스릴 방식의 소화설비 제외)를 신설·개설하거나 방호·방수 구역을 증설할 때
등록된 댓글이 없습니다.
45. 다음 중 소방기본법령상 특수가연물에 해당하는 품명별 기준수량으로 틀린 것은?
- ① 사류 1000 kg 이상
- ② 면화류 200 kg 이상
- ③ 나무껍질 및 대팻밥 400 kg 이상
- ④ 넝마 및 종이부스러기 500 kg 이상
등록된 댓글이 없습니다.
46. 소방기본법령상 소방대장의 권한이 아닌 것은?
- ① 화재 현장에 대통령령으로 정하는 사람외에는 그 구역에 출입하는 것을 제한할 수 있다.
- ② 화재 진압 등 소방활동을 위하여 필요할 때에는 소방용수 외에 댐·저수지 등의 물을 사용할 수 있다.
- ③ 국민의 안전의식을 높이기 위하여 소방박물관 및 소방체험관을 설립하여 운영할 수 있다.
- ④ 불이 번지는 것을 막기 위하여 필요할 때에는 불이 번질 우려가 있는 소방대상물 및 토지를 일시적으로 사용할 수 있다.
등록된 댓글이 없습니다.
47. 화재예방, 소방시설 설치·유지 및 안전관리에 관한 법령상 단독경보형 감지기를 설치하여야 하는 특정소방대상물의 기준으로 틀린 것은?(문제 오류로 가답안 발표시 1번으로 발표되었지만 확정답안 발표시 1, 3번이 정답처리 되었습니다. 여기서는 가답안인 1번을 누르시면 정답 처리 됩니다.)
- ① 연면적 600m2 미만의 기숙사
- ② 연면적 600m2 미만의 숙박시설
- ③ 연면적 1000m2 미만의 아파트
- ④ 교육연구시설 또는 수련시설 내에 있는 합숙소 또는 기숙사로서 연면적 2000m2 미만인 것
등록된 댓글이 없습니다.
48. 소방기본법령상 시장지역에서 화재로 오인할 만한 우려가 있는 불을 피우거나 연막소독을 하려는 자가 신고를 하지 아니하여 소방자동차를 출동하게 한 자에 대한 과태료 부과·징수권자는?
- ① 국무총리
- ② 시·도지사
- ③ 행정안전부 장관
- ④ 소방본부장 또는 소방서장
등록된 댓글이 없습니다.
49. 화재예방, 소방시설 설치·유지 및 안전관리에 관한 법령상 1급 소방안전관리 대상물에 해당하는 건축물은?
- ① 지하구
- ② 층수가 15층인 공공업무시설
- ③ 연면적 15000m2 이상인 동물원
- ④ 층수가 20층이고, 지상으로부터 높이가 100미터인 아파트
가브리엘2024. 7. 8. 11:28삭제
(문제변경) 해당하는 건축물이 아닌것은??
50. 화재예방, 소방시설 설치·유지 및 안전관리에 관한 법령상 수용인원 산정 방법 중 침대가 없는 숙박시설로서 해당 특정소방대상물의 종사자의 수는 5명, 복도, 계단 및 화장실의 바닥면적을 제외한 바닥 면적이 158m2인 경우의 수용인원은 약 몇 명인가?
- ① 37
- ② 45
- ③ 58
- ④ 84
조2023. 7. 1. 12:07삭제
(158÷3)+5=58
51. 화재예방, 소방시설 설치·유지 및 안전관리에 관한 법령상 소방특별조사 결과 소방대상물의 위치 상황이 화재 예방을 위하여 보완될 필요가 있을 것으로 예상되는 때에 소방대상물의 개수·이전·제거, 그 밖의 필요한 조치를 관계인에게 명령할 수 있는 사람은?
- ① 소방서장
- ② 경찰청장
- ③ 시·도지사
- ④ 해당구청장
등록된 댓글이 없습니다.
52. 화재예방, 소방시설 설치·유지 및 안전관리에 관한 법령상 지하가 중 터널로서 길이가 1천미터일 때 설치하지 않아도 되는 소방시설은?
- ① 인명구조기구
- ② 옥내소화전설비
- ③ 연결송수관설비
- ④ 무선통신보조설비
등록된 댓글이 없습니다.
53. 소방시설공사업법령상 소방시설공사의 하자보수 보증기간이 3년이 아닌 것은?
- ① 자동소화장치
- ② 무선통신보조설비
- ③ 자동화재탐지설비
- ④ 간이스프링클러설비
sobang2025. 4. 23. 23:19삭제
- 전기(+피난기구): 2년
- 기계(+자동화재탐지설비): 3년
54. 화재예방, 소방시설 설치·유지 및 안전관리에 관한 법령상 스프링클러설비를 설치하여야 하는 특정소방대상물의 기준으로 틀린 것은? (단, 위험물 저장 및 처리 시설 중 가스시설 또는 지하구는 제외한다.)
- ① 복합건축물로서 연면적 3500m2 이상인 경우에는 모든 층
- ② 창고시설(물류터미널은 제외)로서 바닥면적 합계가 5000m2 이상인 경우에는 모든 층
- ③ 숙박이 가능한 수련시설 용도로 사용되는 시설의 바닥면적의 합계가 600m2 이상인 것은 모든 층
- ④ 판매시설, 운수시설 및 창고시설(물류터미널에 한정)로서 바닥면적의 합계가 5000m2 이상이거나 수용인원이 500명 이상인 경우에는 모든 층
등록된 댓글이 없습니다.
55. 국민의 안전의식과 화재에 대한 경각심을 높이고 안전문화를 정착시키기 위한 소방의 날은 몇 월 며칠인가?
- ① 1월 19일
- ② 10월 9일
- ③ 11월 9일
- ④ 12월 19일
등록된 댓글이 없습니다.
56. 위험물안전관리법령상 위험물시설의 설치 및 변경 등에 관한 기준 중 다음 ( ) 안에 들어갈 내용으로 옳은 것은?

- ① ㉠ : 1, ㉡ : 대통령령, ㉢ : 소방본부장
- ② ㉠ : 1, ㉡ : 행정안전부령, ㉢ : 시·도지사
- ③ ㉠ : 14, ㉡ : 대통령령, ㉢ : 소방서장
- ④ ㉠ : 14, ㉡ : 행정안전부령, ㉢ : 시·도지사
등록된 댓글이 없습니다.
57. 위험물안전관리법령상 위험물취급소의 구분에 해당하지 않는 것은?
- ① 이송취급소
- ② 관리취급소
- ③ 판매취급소
- ④ 일반취급소
우언껀토야2023. 8. 24. 08:26삭제
이송 판매 일반 주유소
58. 소방기본법령상 화재가 발생하였을 때 화재의 원인 및 피해 등에 대한 조사를 하여야 하는 자는?
- ① 시·도지사 또는 소방본부장
- ② 소방청장·소방본부장 또는 소방서장
- ③ 시·도지사·소방서장 또는 소방파출소장
- ④ 행정안전부장관·소방본부장 또는 소방파출소장
등록된 댓글이 없습니다.
59. 화재예방, 소방시설 설치·유지 및 안전관리에 관한 법령상 1년 이하의 징역 또는 1천만원 이하의 벌금 기준에 해당하는 경우는?
- ① 소방용품의 형식승인을 받지 아니하고 소방용품을 제조하거나 수입한 자
- ② 형식승인을 받은 소방용품에 대하여 제품검사를 받지 아니한 자
- ③ 거짓이나 그 밖의 부정한 방법으로 제품검사 전문기관으로 지정을 받은 자
- ④ 소방용품에 대하여 형상 등의 일부를 변경한 후 형식승인의 변경승인을 받지 아니한 자
등록된 댓글이 없습니다.
60. 다음 중 화재예방, 소방시설 설치·유지 및 안전관리에 관한 법령상 소방시설관리업을 등록할 수 있는 자는?
- ① 피성년후견인
- ② 소방시설관리업의 등록이 취소된 날부터 2년이 경과된 자
- ③ 금고 이상의 형의 집행유예를 선고받고 그 유예기간 중에 있는 자
- ④ 금고 이상의 실형을 선고받고 그 집행이 면제된 날부터 2년이 지나지 아니한 자
등록된 댓글이 없습니다.
4과목 : 소방전기시설의 구조 및 원리
61. 자동화재속보설비의 속보기의 성능인증 및 제품검사의 기술기준에 따라 교류입력측과 외함 간의 절연저항은 직류 500V의 절연저항계로 측정한 값이 몇 MΩ 이상이어야 하는가?
- ① 5
- ② 10
- ③ 20
- ④ 50
등록된 댓글이 없습니다.
62. 무선통신보조설비의 화재안전기준(NFSC 505)에 따라 금속제 지지금구를 사용하여 무선통신 보조설비의 누설동축케이블을 벽에 고정시키고자 하는 경우 몇 m 이내마다 고정시켜야 하는가? (단, 불연재료로 구획된 반자 안에 설치하는 경우는 제외한다.)
- ① 2
- ② 3
- ③ 4
- ④ 5
등록된 댓글이 없습니다.
63. 비상경보설비 및 단독경보형감지기의 화재안전기준(NFSC 201)에 따라 비상벨설비의 음향장치의 음량은 부착된 음향장치의 중심으로부터 1m 떨어진 위치에서 몇 dB 이상이 되는 것으로 하여야 하는가?
- ① 60
- ② 70
- ③ 80
- ④ 90
등록된 댓글이 없습니다.
64. 자동화재탐지설비 및 시각경보장치의 화재안전기준(NFSC 203)에 따라 외기에 면하여 상시 개방된 부분이 있는 차고·주차장·창고 등에 있어서는 외기에 면하는 각 부분으로부터 몇 m 미만의 범위 안에 있는 부분은 경계구역의 면적에 산입하지 아니 하는가?
- ① 1
- ② 3
- ③ 5
- ④ 10
등록된 댓글이 없습니다.
65. 누전경보기의 형식승인 및 제품검사의 기술기준에 따른 누전경보기 수신부의 기능검사 항목이 아닌 것은?
- ① 충격시험
- ② 진공가압시험
- ③ 과입력전압시험
- ④ 전원전압변동시험
등록된 댓글이 없습니다.
66. 비상방송설비의 화재안전기준(NFSC 202)에 따른 음향장치의 구조 및 성능에 대한 기준이다. 다음 ( )에 들어갈 내용으로 옳은 것은?

- ① ㉠ 65, ㉡ 자동화재탐지설비
- ② ㉠ 80, ㉡ 자동화재탐지설비
- ③ ㉠ 65, ㉡ 단독경보형감지기
- ④ ㉠ 80, ㉡ 단독경보형감지기
등록된 댓글이 없습니다.
67. 비상조명등의 화재안전기준(NFSC 304)에 따라 조도는 비상조명등이 설치된 장소의 각 부분의 바닥에서 몇 lx 이상이 되도록 하여야 하는가?
- ① 1
- ② 3
- ③ 5
- ④ 10
등록된 댓글이 없습니다.
68. 비상방송설비의 화재안전기준(NFSC 202)에 따른 용어의 정의에서 소리를 크게 하여 멀리까지 전달될 수 있도록 하는 장치로써 일명 “스피커”를 말하는 것은?
- ① 확성기
- ② 증폭기
- ③ 사이렌
- ④ 음량조절기
등록된 댓글이 없습니다.
69. 자동화재탐지설비 및 시각경보장치의 화재안전기준(NFSC 203)에 따른 중계기에 대한 시설기준으로 틀린 것은?
- ① 조작 및 점검에 편리하고 화재 및 침수 등의 재해로 인한 피해를 받을 우려가 없는 장소에 설치할 것
- ② 수시기에서 직접 감지기회로의 도통시험을 행하지 아니하는 것에 있어서는 수신기와 발신기 사이에 설치할 것
- ③ 수신기에 따라 감시되지 아니하는 배선을 통하여 전력을 공급받는 것에 있어서는 전원입력측에 배선에 과전류 차단기를 설치할 것
- ④ 수신기에 따라 감시되는 아니하는 배선을 통하여 전력을 공급받는 것에 있어서는 해당 전원의 정전이 즉시 수신기에 표시되는 것으로 할 것
등록된 댓글이 없습니다.
70. 비상콘셉트설비의 화재안전기준(NFSC 504)에 따라 비상콘센트용의 풀박스 등은 방청도장을 한 것으로서, 두께 몇 mm 이상의 철판으로 하여야 하는가?
- ① 1.2
- ② 1.6
- ③ 2.0
- ④ 2.4
등록된 댓글이 없습니다.
71. 누전경보기의 형식승인 및 제품검사의 기술기준에 따라 누전경보기의 변류기는 경계전로에 정격전류를 흘리는 경우, 그 경계전로의 전압강하는 몇 V 이하이어야 하는가? (단, 경계전로의 전선을 그 변류기에 관통시키는 것은 제외한다.)
- ① 0.3
- ② 0.5
- ③ 1.0
- ④ 3.0
등록된 댓글이 없습니다.
72. 자동화재탐지설비 및 시각경보장치의 화재안전기준(NFSC 203)에 따른 배선의 시설기준으로 틀린 것은?
- ① 감지기 사이의 회로의 배선은 송배전식으로 할 것
- ② 자동화재탐지설비의 감지기 회로의 전로저항은 50Ω 이하가 되도록 할 것
- ③ 수신기의 각 회로별 종단에 설치되는 감지기에 접속되는 배선의 전압은 감지기 정격전압의 80% 이상이어야 할 것
- ④ 피(P)형 수신기 및 지피(G.P.)형 수신기의 감지기 회로의 배선에 있어서 하나의 공통선에 접속할 수 있는 경계구역은 10개 이하로 할 것
우언2023. 8. 24. 08:33삭제
4번답. (10개아니고 7개)
73. 예비전원의 성능인증 및 제품검사의 기술기준에 따른 예비전원의 구조 및 성능에 대한 설명으로 틀린 것은?
- ① 예비전원을 병렬로 접속하는 경우에는 역충전방지 등의 조치를 강구하여야 한다.
- ② 배선은 충분한 전류 용량을 갖는 것으로서 배선의 접속이 적합하여야 한다.
- ③ 예비전원에 연결되는 배선의 경우 양극은 청색, 음극은 적색으로 오접속방지 조치를 하여야 한다.
- ④ 축전지를 직렬 또는 병렬로 사용하는 경우에는 용량(전압, 전류)이 균일한 축전지를 사용하여야 한다.
등록된 댓글이 없습니다.
74. 비상콘센트설비의 성능인증 및 제품검사의 기술기준에 따라 비상콘센트설비에 사용되는 부품에 대한 설명으로 틀린 것은?
- ① 진공차단기는 KS C 8321(진공차단기)에 적합하여야 한다.
- ② 접속기는 KS C 8305(배선용 꽂음 접속기)에 적합하여야 한다.
- ③ 표시등의 소켓은 접속이 확실하여야 하며 쉽게 전구를 교체할 수 있도록 부착하여야 한다.
- ④ 단자는 충분한 전류용량을 갖는 것으로 하여야 하며 단자의 접속이 정확하고 확실하여야 한다.
Bj2023. 8. 26. 02:49삭제
1. 진공차단기 -> 과전류차단기
75. 소방시설용 비상전원수전설비의 화재안전기준(NFSC 602)에 따른 제1종 배전반 및 제1종 분저반의 시설기준으로 틀린 것은?
- ① 전선의 인입구 및 입출구는 외함에 누출하여 설치하면 아니 된다.
- ② 외함의 문은 2.3mm 이상의 강판과 이와 동등 이상의 강도와 내화성능이 있는 것으로 제작하여야 한다.
- ③ 공용배전판 및 공용분전판의 경우 소방회로와 일반회로에 사용하는 배선 및 배선용 기기는 불연재료로 구획되어야 한다.
- ④ 외함은 금속관 또는 금속제 가요전선관을 쉽게 접속할 수 있도록 하고, 당해 접속부분에는 단열조치를 하여야 한다.
용이2025. 2. 21. 19:15삭제
1번이고 해설이 이상함
76. 비성경보설비 및 단독경보형감지기의 화재안전기준(NFSC 201)에 따른 발신기의 시설기준으로 틀린 것은?
- ① 발신기의 위치표시등은 함의 하부에 설치한다.
- ② 조작스위치는 바닥으로부터 0.8m 이상 1.5m 이하의 높이에 설치할 것
- ③ 복도 또는 별도로 구획된 실로서 보행거리가 40m 이상일 경우에는 추가로 설치하여야 한다.
- ④ 특정소방대상물의 층마다 설치하되, 해당 특정소방대상물의 각 부분으로부터 하나의 발신기까지의 수평거리가 25m 이하가 되도록 할 것
우언2023. 8. 24. 08:36삭제
발신기위치표시등은 상부에
77. 유도등의 형식승인 및 제품검사의 기술기준에 따른 유도등의 일반구조에 대한 설명으로 틀린 것은?
- ① 축전지에 배선 등을 직접 납땜하지 아니하여야 한다.
- ② 충전부가 노출되지 아니한 것은 300V를 초과할 수 있다.
- ③ 예비전원을 직렬로 접속하는 경우는 역충전 방지 등의 조치를 강구하여야 한다.
- ④ 유도등에는 점멸, 음성 또는 이와 유사한 방식 등에 의한 유도장치를 설치할 수 있다.
우언2023. 8. 24. 08:37삭제
예비전원을 직렬이 아니고 병렬로 접속시 역충전방지조치를 함
78. 자동화재탐지설비 및 시각경보장치의 화재안전기준(NFSC 203)에 따라 지하층·무장층 등으로서 환기가 잘되지 아니하거나 실내 면적이 40m2 미만인 장소에 설치하여야 하는 적응성이 있는 감지기가 아닌 것은?
- ① 불꽃감지기
- ② 광전식분리형감지기
- ③ 정온식스포트형감지기
- ④ 아날로그방식의 감지기
조2023. 8. 2. 06:48삭제
불꽃감지기
정온식감지선형감지기
분포형감지기
복합식감지기
광전식분리형감지기
아닐로그방식감지기
다신호방식감지기
축적방식감지기
79. 무선통신보조설비의 화재안전기준(NFSC 505)에 따른 무선기기의 접속단자에 대한 시설기준이다. 다음 ( )에 들어갈 내용으로 옳은 것은?

- ① ㉠ 300, ㉡ 3
- ② ㉠ 300, ㉡ 5
- ③ ㉠ 500, ㉡ 3
- ④ ㉠ 500, ㉡ 5
용이2025. 2. 22. 20:14삭제
무선기기 접속 단자 300의 5
80. 유도등 및 유도표지의 화재안전기준(NFSC 303)에 따른 피난구유도등의 설치장소로 틀린 것은?
- ① 직통계단
- ② 직통계단의 계단실
- ③ 안전구획된 거실로 통하는 출입구
- ④ 옥외로부터 직접 지하로 통하는 출입구
등록된 댓글이 없습니다.