공조냉동기계산업기사(2019. 4. 27.) 시험일자 : 2019년 4월 27일
1과목 : 공기조화
1. 다음 중 직접 난방방식이 아닌 것은?
- ① 증기난방
- ② 온수난방
- ③ 복사난방
- ④ 온풍난방
김찬욱2023. 6. 22. 07:40삭제
직접 -난방 대상 실내 공간에 고온의 방열면을 가진 방열기 등을 설치하고 대류 및 복사작용에 의해 실내공간을 직접적으로 가열하는 방식.
간접 - 실내를 난방할 때 공기와 열교환시켜 만든 온풍을 방에 보내 난방하는 방법이다.
2. 건축물의 출입문으로부터 극간풍의 영향을 방지하는 방법으로 틀린 것은?
- ① 회전문을 설치한다.
- ② 이중문을 충분한 간격으로 설치한다.
- ③ 출입문에 블라인드를 설치한다.
- ④ 에어커튼을 설치한다.
김찬욱2023. 6. 22. 07:40삭제
3. 블라인드설치 는 일사의 영향을 방지
3. 유리를 투과한 일사에 의한 취득열량과 가장 거리가 먼 것은?
- ① 유리창 면적
- ② 일사량
- ③ 환기횟수
- ④ 차폐계수
등록된 댓글이 없습니다.
4. 공조방식 중 송풍온도를 일정하게 유지하고 부하변동에 따라서 송풍량을 변화시킴으로써 실온을 제어하는 방식은?
- ① 멀티 존 유닛방식
- ② 이중덕트방식
- ③ 가변풍량방식
- ④ 패키지 유닛방식
등록된 댓글이 없습니다.
5. 다음 중 냉방부하 계산 시 상당외기온도차를 이용하는 경우는?
- ① 유리창의 취득열량
- ② 내벽의 취득열량
- ③ 침입외기 취득열량
- ④ 외벽의 취득열량
등록된 댓글이 없습니다.
6. 송풍기 회전수를 높일 때 일어나는 현상으로 틀린 것은?
- ① 정압 감소
- ② 동압 증가
- ③ 소음 증가
- ④ 송풍기 동력 증가
매군2023. 6. 27. 12:27삭제
전압=정압+동압 이므로 전압은 일정하니까 동압이 증가하면 정압은 감소하겠지? 라고 생각하면 틀린다.
회전수를 높이게 되면 전압과 동압은 증가하고 정압은 일정하다.
7. 냉방부하의 종류 중 현열만 존재하는 것은?
- ① 외기의 도입으로 인한 취득열
- ② 유리를 통과하는 전도열
- ③ 문틈에서의 틈새바람
- ④ 인체에서의 발생열
등록된 댓글이 없습니다.
8. 주로 소형 공조기에 사용되며, 증기 또는 전기 가열기로 가열한 온수 수면에서 발생하는 증기로 가습하는 방식은?
- ① 초음파형
- ② 원심형
- ③ 노즐형
- ④ 가습팬형
등록된 댓글이 없습니다.
9. 31℃의 외기와 25℃의 환기를 1 : 2의 비율로 혼합하고 바이패스 팩터가 0.16인 코일ㄹ 냉각 제습할 때 코일 출구온도(℃)는? (단, 코일의 표면온도는 14℃ 이다.)
- ① 14
- ② 16
- ③ 27
- ④ 29
해설쓴사람누구냐2024. 4. 16. 16:52삭제
댓글이정확하넹
로즈로즈2024. 3. 28. 10:32삭제
tm=(G1t1+G2t2)/(G1+G2)
=(1*31+2*25)/(1+2)= 27(혼합온도)
코일출구온도= 코일표면온도+바이패스팩터(혼합온도-코일표면온도)
14+0.16(27-14)=16.08
아빠짱2023. 4. 15. 03:17삭제
코일출구온도= tm-(CF×(tm-코일의표면온도))
= 27-(0.84×(27-14))=16.08
CF: 콘택트 팩터
하밀뭉씌2020. 9. 14. 16:17삭제
혼합공기온도
tm=(G1t1+G2t2)/(G1+G2)=(1*31+2*25)/(1+2)=27
0.16(BF)=(tx-14)/(27-14)
tx=0.16*(27-14)+14=16.08
10. 습공기 5000 m3/h를 바이패스 팩터 0.2인 냉각코일에 의해 냉각시킬 때 냉각코일의 냉각열량(kW)은? (단, 코일 입구공기의 엔탈피는 64.5 kJ/kg, 밀도는 1.2 kg/m3, 냉각코일 표면온도는 10℃이며, 10℃의 포화습공기 엔탈피는 30 kJ/kg 이다.)
- ① 38
- ② 46
- ③ 138
- ④ 165
아빠짱2023. 4. 15. 04:48삭제
5000×(64.5-30)×1.2×(1-0.2)/3600=46KW
하밀뭉씌2020. 9. 14. 16:21삭제
(1) 코일 출구공기의 엔탈피
BF=h2-hs/h1-hs 에서
h2=BF(h1-hs)+hs=0.2*(64.5-30)+30=36.9
(2) 냉각열량
Q=Gdh=q*1.2*dh=5000/3600(h->s)*1.2*(64.5-36.9)=46
11. 냉방부하에 관한 설명으로 옳은 것은?
- ① 조명에서 발생하는 열량은 잠열로서 외기부하에 해당된다.
- ② 상당외기온도차는 방위, 시작 및 벽체 재료 등에 따라 값이 정해진다.
- ③ 유리창을 통해 들어오는 부하는 태양복사열만 계산한다.
- ④ 극간풍에 의한 부하는 실내외 온도차에 의한 현열만을 계산한다.
등록된 댓글이 없습니다.
12. 저속덕트와 고속덕트의 분류기준이 되는 풍속은?
- ① 10 m/s
- ② 15 m/s
- ③ 20 m/s
- ④ 30 m/s
등록된 댓글이 없습니다.
13. 20℃ 습공기의 대기압이 100 kPa 이고, 수증기의 분압이 1.5 kPa 이라면 주어진 습공기의 절대습도(kg/kg′)는?
- ① 0.0095
- ② 0.0112
- ③ 0.0129
- ④ 0.0133
하밀뭉씌2020. 9. 14. 16:25삭제
절대습도
x=0.622*Pw/(P-Pw)=0.622*1.5/(100-1.5)=0.00947
동농2020. 8. 20. 22:14삭제
대기압=수증기분압+건조공기분압
100=1.5+ x 건조공기분압 =98.5
절대습도=0.622*수증기분압/건조공기분압
=0.622*1.5/98.5 = 0.0095
14. 다음 송풍기 풍량제어법 중 축동력이 가장 많이 소요되는 것은? (단, 모든 조건은 동일하다.)
- ① 회전수제어
- ② 흡입베인제어
- ③ 흡입댐퍼제어
- ④ 토출댐퍼제어
하밀뭉씌2020. 9. 14. 16:26삭제
토출댐퍼>흡입댐퍼>흡입베인>회전수
15. 에어와셔(공기세정기) 속의 플러딩 노즐(flooding nozzle)의 역할은?
- ① 균일한 공기흐름 유지
- ② 분무수의 분무
- ③ 엘리미네이터 청소
- ④ 물방울의 기류에 혼입 방지
등록된 댓글이 없습니다.
16. 덕트 계통의 열손실(취득)과 직접적인 관계로 가장 거리가 먼 것은?
- ① 덕트 주위온도
- ② 덕트 가공정도
- ③ 덕트 주위 소음
- ④ 덕트 속 공기압력
등록된 댓글이 없습니다.
17. 지역난방의 특징에 관한 설명으로 틀린 것은?
- ① 연료비는 절감되나 열효율이 낮고 인건비가 증가한다.
- ② 개별건물의 보일러실 및 굴뚝이 불필요하므로 건물이용의 효용이 높다.
- ③ 설비의 합리화로 대기오염이 적다.
- ④ 대규모 열원기기를 이용하므로 에너지를 효율적으로 이용할 수 있다.
매군2023. 6. 27. 12:32삭제
연료비와 인건비 절감
18. 대향류의 냉수코일 설계 시 일반적인 조건으로 틀린 것은?
- ① 냉수 입출구 온도차는 일반적으로 5 ~ 10℃로 한다.
- ② 관내 물의 속도는 5 ~ 15 m/s로 한다.
- ③ 냉수 온도는 5 ~ 15℃로 한다.
- ④ 코일 통과 풍속은 2 ~ 3 m/s로 한다.
하밀뭉씌2020. 9. 14. 16:28삭제
관내 물의 속도 1m/s 전후
À2020. 6. 19. 03:03삭제
정답:2번. 유속이 너무 빠를경우 케비테이션(공동현상) 발생함.
19. 공기조화 시스템에서 난방을 할 때 보일러에 있는 온수를 목적지인 사용처로 보냈다가 다시 사용하기 위해 되돌아오는 관을 무엇이라고 하는가?
- ① 온수공급관
- ② 온수환수관
- ③ 냉수공급관
- ④ 냉수환수간
등록된 댓글이 없습니다.
20. 흡착식 감습장치의 흡착제로 적당하지 않은 것은?
- ① 실리카겔
- ② 염화리튬
- ③ 활성 알루미나
- ④ 합성 젱로라이트
멍멍이2020. 8. 23. 04:15삭제
염화리튬 -> 흡수식 감습
2과목 : 냉동공학
21. 흡입 관 내를 흐르는 냉매증기의 압력강하가 커지는 경우는?
- ① 관이 굵고 흡입관 길이가 짧은 경우
- ② 냉매증기의 비체적이 큰 경우
- ③ 냉매의 유량이 적은 경우
- ④ 냉매의 유속이 빠른 경우
02024. 2. 25. 13:23삭제
해설 X
22. 다음 중 냉동장치의 압축기와 관계가 없는 효율은?
- ① 소음효율
- ② 압축효율
- ③ 기계효율
- ④ 체적효율
등록된 댓글이 없습니다.
23. 냉동사이클 중 P-h 선도(압력-엔탈피 선도)로 구할 수 없는 것은?
- ① 냉동능력
- ② 성적계수
- ③ 냉매순환량
- ④ 마찰계수
등록된 댓글이 없습니다.
24. 이상기체의 압력이 0.5 MPa, 온도가 150℃, 비체적이 0.4 m3/kg 일 때, 가스상수(J/kg·K)는 얼마인가?
- ① 11.3
- ② 47.28
- ③ 113
- ④ 472.8
하밀뭉씌2020. 9. 20. 09:56삭제
PV=nRT
R=PV/nT=(0.5*10^6Pa *0.4m^3/kg) / 150+273.K = 472.81J/kg.K
25. 가용전에 대한 설명으로 옳은 것은?
- ① 저압차단 스위치를 의미한다.
- ② 압축기 토출 측에 설치한다.
- ③ 수냉응축기 냉각수 출구측에 설치한다.
- ④ 응축기 또는 고압수액기의 액배관에 설치한다.
하밀뭉씌2020. 9. 20. 09:59삭제
응축기나 수액기 상부에 설치하는 안전장치로 냉동설비의 화재 발생 시 가용전 내의 용융합금이 녹아 사고를 미연에 방지하기 위해 설치한다.
26. 냉매가 구비해야 할 조건으로 틀린 것은?
- ① 증발 잠열이 클 것
- ② 응고점이 낮을 것
- ③ 전기 저항이 클 것
- ④ 증기의 비열비가 클 것
02024. 2. 25. 13:29삭제
해설 X
하밀뭉씌2020. 9. 20. 10:01삭제
냉매 증기의 비열비가 클 경우 토출가스의 온도가 증가하고 이로 인해 냉동장치의 악영향이 발생된다.(NH3(암모니아)의 경우 비열비가 커서 워터재킷을 설치)
27. 몰리에르 선도에서 건도(x)에 관한 설명으로 옳은 것은?
- ① 몰리에르 선도의 포화액선상 건도는 1 이다.
- ② 액체 70%, 증기 30%인 냉매의 건도는 0.7 이다.
- ③ 건도는 습포화증기 구역 내에서만 존재한다.
- ④ 건도는 과열증기 중 증기에 대한 포화액체의 양을 말한다.
하밀뭉씌2020. 9. 20. 10:03삭제
1) 0
2) 0.3
4) 건도는 습포화증기중 증기에 대한 포화기체의 양
28. 몰리에르 선도에 대한 설명으로 틀린 것은?
- ① 과열구역에서 등엔탈피선으로 등온선과 거의 직교한다.
- ② 습증기 구역에서 등온선과 등압선은 평행하다.
- ③ 포화 액체와 포화 증기의 상태가 동일한 점을 임계점이라고 한다.
- ④ 등비체적선은 과열 증기구역에서도 존재한다.
하밀뭉씌2020. 9. 20. 10:04삭제
과열증기 구역에서 등엔탈피선은 수직으로 내려오며 등온선은 우측 하향으로 내려온다.
29. 팽창밸브 직후 냉매의 건도가 0.2이다. 이 냉매의 증발열이 1884 kJ/kg 이라 할 때, 냉동효과(kJ/kg)는 얼마인가?
- ① 376.8
- ② 1324.6
- ③ 1507.2
- ④ 1804.3
하밀뭉씌2020. 9. 20. 10:15삭제
건조도=플래시가스열량/증발잠열
플래시가스열량=0.2*1884=376.8
냉동효과=증발잠염-플래시가스 열량=1884-376.8=1507.2
30. 평판을 통해서 표면으로 확산에 의해서 전달되는 열유속(heat flux)이 0.4 kW/m2 이다. 이 표면과 20℃ 공기흐름가의 대류전열계수가 0.01 kW/m2·℃ 인 경우 평판의 표면온도(℃)는?
- ① 45
- ② 50
- ③ 55
- ④ 60
하밀뭉씌2020. 9. 20. 10:17삭제
Q=KFdT=KF(t1-t2)
t1=Q/KF+t2=0.4/0.01*1 +20 = 60
31. 이상적인 냉동사이클과 비교한 실제 냉동사이클에 대한 설명으로 틀린 것은?
- ① 냉매가 관내를 흐를 때 마찰에 의한 압력손실이 발생한다.
- ② 외부와 다소의 열 출입이 있다.
- ③ 냉매가 압축기의 밸브를 지날 때 약간의 교축작용이 이루어진다.
- ④ 압축기 입구에서의 냉매상태 값은 증발기 출구와 동일하다.
등록된 댓글이 없습니다.
32. 흡수식 냉동기의 특징에 대한 설명으로 틀린 것은?
- ① 용랑제어의 범위가 넓어 폭 넓은 용량제어가 가능하다.
- ② 터보 냉동기에 비하여 소음과 진동이 크다.
- ③ 부분 부하에 대하 대응성이 좋다.
- ④ 회전부가 적어 기계적인 마모가 적고 보수관리가 용이하다.
하밀뭉씌2020. 9. 20. 10:18삭제
압축기대신 버너를 사용하여 소음 및 진동이 적다.
33. 액분리기에 대한 설명으로 옳은 것은?
- ① 장치를 순환하고 남는 여분의 냉매를 저장하기 위해 설치하는 용기를 말한다.
- ② 액분리기는 흡입관 중의 가스와 액의 혼합물로부터 액을 분리하는 역할을 한다.
- ③ 액분리기는 암모니아 냉동장치에는 사용하지 않는다.
- ④ 팽창밸브와 증발기 사이에 설치하여 냉각효율을 상승시킨다.
등록된 댓글이 없습니다.
34. 암모니아의 증발잠열은 –15℃에서 1310.4 kJ/kg이지만, 실제로 냉동능력은 1126.2 kJ/kg 으로 작아진다. 차이가 생기는 이유로 가장 적절한 것은?
- ① 체적효율 때문이다.
- ② 전열면의 효율 때문이다.
- ③ 실제 값과 이론 값의 차이 때문이다.
- ④ 교축팽창시 발생하는 플래시 가스 때문이다.
등록된 댓글이 없습니다.
35. 냉동장치의 운전 중 저압이 낮아질 때 일어나는 현상이 아닌 것은?
- ① 흡입가스 과열 및 압축비 증대
- ② 증발온도 저하 및 냉동능력 증대
- ③ 흡입가스의 비체적 증가
- ④ 성적계수 저하 및 냉매순환량 감소
하밀뭉씌2020. 9. 20. 10:20삭제
증발온도 저하, 냉동효과 감소-->냉동능력 감소
36. 냉동장치 내에 불응축 가스가 혼입되었을 때 냉동장치의 운전에 미치는 영향으로 가장 거리가 먼 것은?
- ① 열교환 작용을 방해하므로 응축압력이 낮게 된다.
- ② 냉동능력이 감소한다.
- ③ 소비전력이 증가한다.
- ④ 실린더가 과열되고 윤활유가 열화 및 탄화된다.
등록된 댓글이 없습니다.
37. 냉동장치에서 플래시 가스가 발생하지 않돌고 하기 위한 방지대책으로 틀린 것은?
- ① 액관의 직경이 충분한 크기를 갖고 있도록 한다.
- ② 증발기의 위치를 응축기와 비교해서 너무 높게 설치하지 않는다.
- ③ 여과기나 필터의 점검 청소를 실시한다.
- ④ 액관 냉매액의 과냉도를 줄인다.
02024. 2. 25. 14:02삭제
과냉도를 늘리면 플래시 가스는 줄어든다.
À2022. 7. 12. 23:20삭제
액관 냉매액의 과열도를 줄인다.
하밀뭉씌2020. 9. 20. 10:21삭제
인위적으로 과냉각 시켜주기도 한다.
38. 다음 중 고압가스 안전관리법에 적용되지 않는 것은?
- ① 스크류 냉동기
- ② 고속다기통 냉동기
- ③ 회전용적형 냉동기
- ④ 열전모듈 냉각기
등록된 댓글이 없습니다.
39. -20℃의 암모니아 포화액의 엔탈피가 314 kJ/kg 이며, 동일 온도에서 건조포화증기의 엔탈피가 1687 kJ/kg 이다. 이 냉매액이 팽창밸브를 통과하여 증발기에 유입될 때의 냉매의 엔탈피가 670 kJ/kg 이었다면 중량비로 약 몇 %가 액체 상태인가?
- ① 16
- ② 26
- ③ 74
- ④ 84
하밀뭉씌2020. 9. 20. 10:25삭제
액체의 중량비(습도)
=1687-670 / 1687-314 *100%=74
멍멍이2020. 8. 23. 03:51삭제
16년 5월 38번에서도 74% 3번이었다.
40. 증발식 응축기에 관한 설명으로 옳은 것은?
- ① 증발식 응축기의 냉각수는 보충할 필요가 없다.
- ② 증발식 응축기는 물의 현열을 이용하여 냉각하는 것이다.
- ③ 내부에 냉매가 통하는 나관이 있고, 그 위에 노즐을 이용하여 물을 산포하는 형식이다.
- ④ 압력강하가 작으므로 고압측 배관에 적당하다.
매군2023. 6. 27. 12:51삭제
1. 증발식 응축기는 냉각수를 다른 응축기에 비해 극소량을 사용하긴 한다.
2. 물의 증발잠열
4. 압력 강하가 크다.
3과목 : 배관일반
41. 물은 가열하면 팽창하여 급탕탱크 등 밀폐가열장치 내의 압력이 상승한다. 이 압력을 도피시킬 목적으로 설치하는 관은?
- ① 배기관
- ② 팽창관
- ③ 오버플로관
- ④ 압축 공기관
등록된 댓글이 없습니다.
42. 도시가스를 공급하는 배관의 종류가 아닌 것은?
- ① 공급관
- ② 본관
- ③ 내관
- ④ 주관
등록된 댓글이 없습니다.
43. 가스배관에서 가스가 누설될 경우 중독 및 폭발사고를 미연에 방지하기 위하여 조금만 누설되어도 냄새로 충분히 감지할 수 있도록 설치하는 장치는?
- ① 부스터설비
- ② 정압기
- ③ 부취설비
- ④ 가스홀더
등록된 댓글이 없습니다.
44. 배관용 패킹 재료를 선택할 때 고려해야 할 사항으로 가장 거리가 먼 것은?
- ① 재료의 탄력성
- ② 진동의 유무
- ③ 유체의 압력
- ④ 재료의 부식성
등록된 댓글이 없습니다.
45. 급수방식 중 고가탱크방식의 특징에 대한 설명으로 틀린 것은?
- ① 다른 방식에 비해 오염가능성이 적다.
- ② 저수량을 확보하여 일정 시간동안 급수가 가능하다.
- ③ 사용자의 수도꼭지에서 항상 일정한 수압을 유지한다.
- ④ 대규모 급수 설비에 적하하다.
등록된 댓글이 없습니다.
46. 동관의 분류 중 가장 두꺼운 것은?
- ① K 형
- ② L 형
- ③ M 형
- ④ N 형
등록된 댓글이 없습니다.
47. 루프형 신축이음쇠의 특징에 대한 설명으로 틀린 것은?
- ① 설치공간을 많이 차지한다.
- ② 신축에 따른 자체 응력이 생긴다.
- ③ 고온, 고압의 옥외 배관에 많이 사용된다.
- ④ 장시간 사용 시 패킹의 마모로 누수의 원인이 된다.
등록된 댓글이 없습니다.
48. 고압배관과 저압배간의 사이에 설치하여 고압측 압력을 필요한 압력으로 낮추어 저압측 압력을 일정하게 유지시키는 밸브는?
- ① 체크밸브
- ② 게이트밸브
- ③ 안전밸브
- ④ 감압밸브
등록된 댓글이 없습니다.
49. 건물 1층의 바닥면을 기준으로 배관의 높이를 표시할대 사용하는 기호는?
- ① EL
- ② GL
- ③ FL
- ④ UL
등록된 댓글이 없습니다.
50. 냉매액관 시공 시 유의사항으로 틀린 것은?
- ① 긴 입상 액관의 경우 압력의 감소가 크므로 충분한 과냉각이 필요하다.
- ② 배관 도중에 다른 열웡느로부터 열을 받지 않도록 한다.
- ③ 액관 배관은 가능한 한 길게 한다.
- ④ 액 냉매가 관 내에서 증발하는 것을 방지하도록 한다.
등록된 댓글이 없습니다.
51. 다음 중 증기난방설비 시공 시 보온을 필요로 하는 배관은 어느 것인가?
- ① 관말 증기 트랩장치의 냉각관
- ② 방열기 주위배관
- ③ 증기공급관
- ④ 환수관
등록된 댓글이 없습니다.
52. 가스배관의 설치 방법에 관한 설명으로 틀린 것은?
- ① 최단거리로 할 것
- ② 구부러지거나 오르내림을 적게할 것
- ③ 가능한 한 은폐하거나 매설할 것
- ④ 가능한 한 옥외에 할 것
02024. 2. 25. 16:53삭제
가스배관:
최단거리로 할 것
구부러지거나 오르내림을 적게 할 것
은폐하거나 매설하지 말고, 옥외에 할 것
02024. 2. 25. 16:48삭제
해설 틀렸음
53. 다음 중 엘보를 용접이음으로 나타낸 기호는?
- ①

- ②

- ③

- ④

등록된 댓글이 없습니다.
54. 2가지 종류의 물질을 혼합하면 단독으로 사용할 때보다 더 낮은 융해온도를 얻을 수 있는 혼합제를 무엇이라고 하는가?
- ① 부취제
- ② 기한제
- ③ 브라인
- ④ 에멀션
02024. 2. 25. 14:26삭제
기한제는 2가지 종류의 물질을 혼합하여 더 낮은 융해온도를 얻을 수 있는 혼합제를 말한다.
부취제는 악취를 제거하는 물질,
브라인은 물과 기름을 섞는 물질,
에멀션은 불용성 물질을 분산시키는 물질을 말한다.
02024. 2. 25. 14:25삭제
해설 X
55. 배관의 호칭 중 스케쥴 번호는 무엇을 기준으로 하여 부여하는가?
- ① 관의 안지름
- ② 관의 바깥지름
- ③ 관의 두께
- ④ 관의 길이
등록된 댓글이 없습니다.
56. 온수난방에서 역귀환방식을 채택하는 주된 이유는?
- ① 순환펌프를 설치하기 위해
- ② 배관의 길이르 축소하기 위해
- ③ 열손실과 발생소옴을 줄이기 위해
- ④ 건물 내 각 실의 오도를 균일하게 하기 위해
등록된 댓글이 없습니다.
57. 냉·온수 헤더에 설치하는 부속품이 아닌 것은?
- ① 압력계
- ② 드레인관
- ③ 트랩장치
- ④ 급수관
등록된 댓글이 없습니다.
58. 냉각탑에서 냉각수는 수직 하향 방향이고 공기는 수평 방향인 형식은?
- ① 평행류형
- ② 직교류형
- ③ 혼합형
- ④ 대향류형
등록된 댓글이 없습니다.
59. 급수배관에서 수격작용 발생개소로 가장 거리가 먼 것은?
- ① 관내 유속이 빠른 곳
- ② 구배가 완만한 곳
- ③ 급격히 개폐되는 밸브
- ④ 굴곡개소가 있는 곳
등록된 댓글이 없습니다.
60. 다음 중 급수설비에 설치되어 물이 오염되기 쉬운 형태의 배관은?
- ① 상향식 배관
- ② 하향식 배관
- ③ 조닝 배관
- ④ 크로스커넥션 배관
등록된 댓글이 없습니다.
4과목 : 전기제어공학
61. 제어된 제어대상의 양 즉, 제어계의 출력을 무엇이라고 하는가?
- ① 목표값
- ② 조작량
- ③ 동작신호
- ④ 제어량
등록된 댓글이 없습니다.
62. 플로우차트를 작성할대 다음 기호의 의미는?

- ① 단자
- ② 처리
- ③ 입출력
- ④ 결합자
등록된 댓글이 없습니다.
63. 피드백제어계 중 물체의 위치, 방위, 자세 등의 기계적 변위를 제어량으로 하는 것은?
- ① 서보기구
- ② 프로세스제어
- ③ 자동조정
- ④ 프래그램제어
등록된 댓글이 없습니다.
64. 발전기의 유기기전력의 방향과 관계가 없는 법칙은?
- ① 플레밍의 왼손법칙
- ② 플레밍의 오른손법칙
- ③ 패러데이의 법칙
- ④ 암페어의 법칙
호날두2023. 5. 27. 05:38삭제
신출작작내라 출제자년 모가지따버릴까보다
시나브로2023. 5. 6. 01:54삭제
플레밍의 오른손 법칙
전자유도에 의해 생기는 유도기전력의 방향을 나타내는 법칙
발전기의 전류방향을 구하는 데 사용.
@ 우발좌전(오른손은 발전기, 왼손은 전동기)
김래영2022. 2. 21. 11:25삭제
완전오발 :왼쪽손목아지: 전동기 / 오른손목아지 : 발전기
개똥2021. 3. 12. 21:19삭제
오타 장난치나
멍멍이2020. 8. 23. 02:26삭제
오타: 관계가 있는 법칙은
65. 시퀀스제어에 관한 설명 중 틀린 것은?
- ① 조합논리회로로 사용된다.
- ② 미리 정해진 순서에 의해 제어된다.
- ③ 입력과 출력을 비교하는 장치가 필수적이다.
- ④ 일정한 논리에 의해 제어된다.
등록된 댓글이 없습니다.
66. 100 mH의 자기 인덕턴스를 가진 코일에 10A 의 전류가 통과할 때 축적되는 에너지는 몇 J 인가?
- ① 1
- ② 5
- ③ 50
- ④ 1000
시나브로2023. 5. 6. 01:59삭제
인덕턴스 저장에;너지(E) = 1/2 L I^2
0.5*0.1*10^2 = 5[J]
67. 평형 3상 Y결선에서 상전압 Vp와 선간전압 Vl과의 관계는?
- ① Vl = Vp
- ② Vl = √3 Vp
- ③

- ④ Vl = 3Vp
시나브로2023. 5. 6. 02:06삭제
평형 3상 Y결선인 경우
선간전압(Vl ) = 상전압 ( Vp ) x √3
선간전류( Il ) = 상전류 ( Ip)
68. 전원 전압을 일정 전압 이내로 유지하기 위해서 사용되는 소자는?
- ① 정전류 다이오드
- ② 브리지 다이오드
- ③ 제너 다이오드
- ④ 터널 다이오드
시나브로2023. 5. 6. 02:09삭제
제너 다이오드를 정전압 다이오드라고도 한다.
69. 목표값이 미리 정해진 변화를 할 때의 제어로서, 열처리 노의 온도제어, 무인 운전 열차 등이 속하는 제어는?
- ① 추종제어
- ② 프로그램제어
- ③ 비율제어
- ④ 정치제어
등록된 댓글이 없습니다.
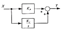
70. 그림과 같이 블록선도를 접속하였을 때, ⓐ에 해당하는 것은?

- ① G(s) + H(s)
- ② G(s) - H(s)
- ③

- ④

시나브로2023. 5. 6. 03:11삭제
A(s) = 패스경로 = G(s),
B(s) = 1 - 피드백경로 = 1+G(s)H(s)
A(s)/B(s) = G(s)/ 1+G(s)H(s)
71. 3상 유도전동기의 회전방향을 바꾸기 위한 방법으로 옳은 것은?
- ① △-Y 결선으로 변경한다.
- ② 회전자를 수동으로 역회전시켜 기동한다.
- ③ 3선을 차례대로 바꾸어 연결한다.
- ④ 3상 전원 중 2선의 접속을 바꾼다.
등록된 댓글이 없습니다.
72. 60Hz, 100V 의 교류전압이 200Ω의 전구에 인가될 때 소비되는 전력은 몇 W 인가?
- ① 50
- ② 100
- ③ 150
- ④ 200
시나브로2023. 5. 6. 03:05삭제
P(전력)= V(전압)x I(전류) = I^2(전류제곱) x R(저항) = V^2(전압제곱) / R(저항)
100^2 / 200 = 50 [W]
시험망함2021. 5. 9. 00:10삭제
W(전력)= V(전압)^2/R(저항)
73. 그림과 같은 계전기 접점회로의 논리식은?

- ① XY
- ②

- ③

- ④

등록된 댓글이 없습니다.
74. 특성방정식 s2 + 2s + 2 = 0을 갖는 2차계에서의 감쇠율 (damping ratio)은?
- ① √2
- ②

- ③

- ④ 2
동농2020. 8. 22. 04:22삭제
s^2 + 2*감쇄율*자연주파수*s + 자연주파수^2 = 0
2*감쇄율*자연주파수=2 자연주파수^2 = 2
자연주파수 = 루트2 , 감쇄율*루트2 = 1 그러므로 감쇄율=1/루트2
75. 일 때 f(t)의 최종치는?
- ① 0
- ② 1
- ③ 2
- ④ 8
멍멍이2020. 8. 23. 02:35삭제
오타: 3s+10 / s3+s2+5s 일때 최종치는?
76. 8Ω, 12Ω, 20Ω, 30Ω의 4개 저항을 병렬로 접속할 때 합성저항은 약 몇 Ω 인가?
- ① 2.0
- ② 2.35
- ③ 3.43
- ④ 3.8
등록된 댓글이 없습니다.
77. 그림과 같은 병렬공진회로에서 전류 I가 전압 E보다 앞서는 관계로 옳은 것은?

- ①

- ②

- ③

- ④

등록된 댓글이 없습니다.
78. 유도전동기의 역률을 개선하기 위하여 일반적으로 많이 사용되는 방법은?
- ① 조상기 병렬접속
- ② 콘덴서 병렬접속
- ③ 조상기 직렬접속
- ④ 콘덴서 직렬접속
등록된 댓글이 없습니다.
79. T1 > T2 > 0 일 때, 의 벡터궤적은?
- ①

- ②

- ③

- ④

멍멍이2020. 8. 23. 02:41삭제
오타: g(s)= 1+T2S / 1+ T1S 의 벡터궤적은?
80. 다음 블록선도 중에서 비례미분제어기는?
- ①

- ②

- ③

- ④

등록된 댓글이 없습니다.