교통기사(2019. 3. 3.) 시험일자 : 2019년 3월 3일
1과목 : 교통계획
1. 교통정보체계 구축방향에 대한 설명으로 옳지 않은 것은?
- ① 정보내용의 코드체계를 표준화한다.
- ② 모집되어야 하는 자료목록을 작성한다.
- ③ 국토정보체계의 sub-system이 되도록 한다.
- ④ 교통정보가 공유되지 않도록 특수체계를 사용한다.
ㅀ2023. 2. 12. 16:14삭제
④ 교통정보가 "공유"를 기초적인 목적
2. 주어진 도로 조건에서 15분 동안 무리 없이 최대로 통과할 수 있는 승용차를 교통량을 1시간 단위로 환산한 값은?
- ① 도로 용량
- ② 1시간 환산 교통량
- ③ 승용차 환산 교통량
- ④ 최대 서비스 교통량
프라즈나832025. 11. 30. 13:28삭제
도로용량
3. 교통정보체계 구축방향에 대한 설명으로 옳지 않은 것은?
- ① 교통을 크게 공간과 수단으로 구분할 때, 공간적 분류는 교통이 일어나는 지역적 규모에 따라 분류한다.
- ② 공간적 분류에 의한 지역교통은 도시 내 교통의 효율성 증진을 목표로 도시 경제활동을 위한 교통 서비스로서 단거리 이동이 많은 특성을 갖는다.
- ③ 지구교통은 안전하고 쾌적한 보행자 공간의 확보와 대중교통체계의 접근성 확보를 목표로 하여 보행 교통지구 내의 교통을 처리하는 특성을 갖는다.
- ④ 교통 수단에 의한 분류는 승객이나 화물이 이용하는 교통수단을 유형별로 분류하는 방법으로 개인교통수단, 대중교통수단, 화물교통수단, 보행교통수단 등 다양한 분류가 가능하다.
프라즈나832025. 11. 30. 13:29삭제
단거 ㄽ리x
ㅇㄹ2023. 2. 12. 16:18삭제
"지역 교통 " = 장거리 이동이 많은 특성
rt2023. 2. 3. 10:50삭제
공간적 분류 = "장거리 이동"
4. 다음 중 차량 번호판 조사의 내용으로 옳지 않은 것은?
- ① 차량의 차종
- ② 차량의 번호
- ③ 차량의 통행목적
- ④ 차량의 통과시각
sd2023. 2. 3. 10:51삭제
차량 번호판 조사로 "차량의 통행 목적" 알 수 없음
5. 교통사업의 경제성 평가방법인 초기연도수익률법의 장점으로 옳은 것은?
- ① 계산이 간편하다.
- ② 사업규모의 고려가 가능하다.
- ③ 할인율을 고려하므로 오차가 발생하지 않는다.
- ④ 비용과 편익이 발생하는 시간의 고려가 가능하다.
프라즈나832025. 11. 30. 13:30삭제
경제성 계산복잡하다
ㅇㄹ2023. 2. 12. 16:22삭제
초기연도수익률법 (FYRR)
② 사업규모의 고려 불가능
③ 할인율을 고려안해서 오차도 발생 안함
④ 비용과 편익이 발생하는 시간의 고려 불가능
6. 평형배정모형에 있어 운전자가 이기적으로 자신의 통행 시간만을 단축시키려는 의도가 결과적으로 모든 운전자에게 피해를 초래하는 현상은?
- ① 브라에의 역설(Braess's Paradox)
- ② llA(lndependence of lrrelevant Altemative)
- ③ 다운스-톰슨의 역설(Downs-Thomson Paradox)
- ④ 루이스-모그리지의 명제(Lewis-Mogridge Position)
프라즈나832025. 11. 30. 13:32삭제
이기적 브라
ㅇㄹ2023. 2. 12. 16:23삭제
자신의 통행 시간만을 단축시키려는 의도 =>① 브라에의 역설(Braess's Paradox)
새로만든 도로 네트워크가 좋아질 것이다 라는 가정 -> 벗 . 나빠짐 (쏠림현상으로)
7. 교통수요관리방안(TDM)으로 적합하지 않은 것은?
- ① 근무스케줄 단 축
- ② 도심통행료 부과
- ③ 출ㆍ퇴근 시간 조정
- ④ 주차공간 공급 확대
ㅇㄹ2023. 2. 12. 16:25삭제
교통수요관리방안(TDM) => 수요 감소
④ 주차공간 공급 확대 -> 승용차 이용수요 증가 ->. " 수요 관리 어렵게 됨"
8. 교통정책 대안의 평가과정으로 옳은 것은?
- ① 대안작성→경제성 평가→영향분석→종합평가→최적대안 선정
- ② 대안작성→영향분석→경제성 평가→종합평가→최적대안 선정
- ③ 영향분석→대안작성→경제성 평가→종합평가→최적대안 선정
- ④ 대안작성→영향분석→종합평가→경제성 평가→최적대안 선정
프라즈나832025. 11. 30. 13:33삭제
대영경
ㅎ2022. 3. 19. 18:32삭제
대영경종최
역순으로 외우면 : 최종 경영 대주(주는 나다)
9. 총 노선거리 30km를 25km/h의 평균 운행속도로 운행하며 배차간격이 5분인 버스가 있다. 이 때 필요한 최소 차량규모는?
- ① 15대
- ② 17대
- ③ 19대
- ④ 21대
프라즈나832025. 11. 30. 13:33삭제
십오대
ㅇㄹ2023. 2. 12. 16:26삭제
120NL / hv
편도거리 -> 총노선거리 /2
10. 교통조사방법에서 조사결과의 보완 및 검증, 통행배정을 위해 실시하는 것은?
- ① 교통존 조사
- ② 터미널 조사
- ③ 스크린라인 조사
- ④ 대중교통이용객 조사
ㅇㄹ2023. 2. 12. 16:28삭제
"수정. 보완" =스크린 라인
ㄳ2023. 2. 12. 16:28삭제
조사결과의 보완 및 검증 => "③ 스크린라인 조사"
11. 지하철과 버스에 대한 효용함수 및 통행특성 자료가 아래와 같을 때, 로짓모형을 이용한 교통수단별 선택확률이 모두 옳은 것은? (단, 효용함수 V=0.06(0.5X1+0.002X1))

- ① 버스:42.1%, 지하철:57.9%
- ② 버스:47.9%, 지하철:52.1%
- ③ 버스:52.1%, 지하철:47.9%
- ④ 버스:57.9%, 지하철:42.1%
프라즈나832025. 11. 30. 13:35삭제
버스오칠구
ㄱㅁ2021. 3. 1. 21:43삭제
-0.06(0.5X1+0.002X2)
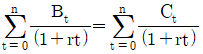
12. 다음 공식 중 내부 수익률(IRR)을 나타낸 것은? (단, Bt=t년도의 편익, Ct=t년도의 비용)
- ①

- ②

- ③

- ④

등록된 댓글이 없습니다.
13. 현재의 상태가 아닌 가상의 상태에서 이용자의 행동, 태도의 변화 등을 조사ㆍ분석하는 기법은?
- ① 패널(Panel)조사
- ② SP(Stated Preference)조사
- ③ RP(Renealed Preference)조사
- ④ 엑티비티다이어리(Activity Diay)조사
프라즈나832025. 11. 30. 13:36삭제
가상에스피
df2023. 2. 12. 16:31삭제
③ RP(Renealed Preference)조사 : 실제 있는 것을 분석하는 것
14. 통행분포 단계에서 사용하는 교통존 저항관계를 반영한 모형은?
- ① 프라타 모형
- ② 디트로이트 모형
- ③ 균일성장인자 모형
- ④ 엔트로피극대화 모형
프라즈나832025. 11. 30. 13:36삭제
저항엔트로피
cv2023. 2. 12. 16:31삭제
저항관계 = > ④ 엔트로피극대화 모형
15. P요소법에 대한 설명으로 옳지 않은 것은?
- ① 차량의 평균승차인원을 고려하여 주차수요를 추정한다.
- ② 지구나 도심지와 같은 특정한 장소의 주차수요 예측에 적합하다.
- ③ 주차수요결정에 필요한 각종 요소를 얻을 수 있는 경우 적합한 방법이다.
- ④ 원단위법에 비하여 여러 가지 지역 특성을 포괄적으로 고려하지 못하는 단점이 있다.
프라즈나832025. 11. 30. 13:37삭제
P 원단위
ㅇㄹ2023. 2. 12. 16:32삭제
p = dsc /oe * (t*r*p*pr)
④ 원단위법에 비하여 여러 가지 지역 특성을 포괄적으로 고려O
16. 버스 노선계획에 사용하는 지표를 운행관련지표와 서비스관련지표로 나눌 때, 서비스관련지표로 옳은 것은?
- ① 운행거리
- ② 운행시간
- ③ 배차간격
- ④ 지하철 연계역수
프라즈나832025. 11. 30. 13:37삭제
배채비스 배차서비스
d2023. 2. 12. 16:33삭제
① 운행거리
② 운행시간
④ 지하철 연계역수
=> "운행자"에게
③ 배차간격 => "서비스 이용하는 사람들에게 중요 " 즉, 서비스관련지표
17. 통행단 모형의 적용순서를 올바르게 나열한 것은?
- ① 통행발생-노선배정-수단분담-통행배분
- ② 통행발생-수단분담-노선배정-통행배분
- ③ 통행발생-수단분담-통행배분-노선배정
- ④ 통행발생-통행배분-수단분담-노선배정
ㅇㄹ2023. 2. 12. 16:34삭제
③ 통행발생-수단분담-통행배분-노선배정
18. 아래 표의 ()안에 해당하는 조사는?

- ① O-D 조사
- ② 회전 교통량 조사
- ③ 승하차 인원수 조사
- ④ 가로구간 교통량 조사
df2023. 2. 12. 16:35삭제
① O-D 조사 : "평일", "표본적인 양상" , => 패턴, 대표성
19. 대중교통 네트워크의 구성요소에 대한 설명으로 옳지 않은 것은?
- ① 노선은 노선에 포함된 링크를 연결하고 모든 링크를 포함한다.
- ② 대중교통 네트워크의 링크는 노선을 구성하는 기본 요소가 된다.
- ③ 대중교통수단은 일반적으로 버스, 철도, 보조교통수단(도보 등)을 의미한다.
- ④ 버스정류장, 철도역 등은 노드로 표현되고 노선을 구성하는 필수요소이다.
프라즈나832025. 11. 30. 13:39삭제
모든링크포함 X
ㅇㄹ2023. 2. 12. 16:36삭제
① 노선은 노선에 포함된 "노드"를 연결하고 모든 링크를 포함한다.
20. 각 도로의 등급별 목표연도가 장기적인 순으로 나열된 것은?
- ① 간선도로>국지도로>집산도로>고속도로
- ② 고속도로>간선도로>집산도로>국지도로
- ③ 국지도로>집산도로>간선도로>고속도로
- ④ 집산도로>국지도로>고속도로>간선도로
등록된 댓글이 없습니다.
2과목 : 교통공학
21. 교통량이 13대/분, 차량의 평균공간속도가 1.25km/분일 때, 차량밀도는?
- ① 0.9대/km
- ② 5.2대/km
- ③ 10.4대/km
- ④ 16.2대/km
프라즈나832025. 11. 30. 13:40삭제
밀도십싸
df2023. 2. 12. 14:10삭제
k= 13/1.25
ㅇㄹ2023. 2. 12. 14:10삭제
q=uk
22. 신호교차로에서 혼합교통량으로 800대/시인 좌회전 이동류의 중차량 구성비가 15%이고 중차량 승용차환산계수가 1.8일 때 좌회전 보정 교통량은?
- ① 약 687pcph
- ② 약 896pcph
- ③ 약 920pcph
- ④ 약 1016pcph
프라즈나832025. 11. 30. 13:40삭제
팔구웃 피씨피에이치
df2023. 2. 12. 14:11삭제
800* 15/100 *1.8 + 800* 85/100
23. 한 지점에서의 평균차량 도착률이 4대/분인 푸아송(Poisson) 분포를 따른다고 가정할 때 도착차량을 조사하기 시작하여 1분 후에 최초의 차량이 도착할 확률은?
- ① 0.073
- ② 0.092
- ③ 0.137
- ④ 0.195
프라즈나832025. 11. 30. 13:41삭제
푸아송영철삼
ㄹ2023. 2. 12. 14:13삭제
4^1 * e^-4 / 1!
m^x * e ^-m / x!
24. 교통 용량에 관한 설명으로 옳지 않은 것은?
- ① 용량을 분석하는 목적은 도로를 효율적으로 이용하고, 도로투자를 적절히 하도록 하는데 있다.
- ② 용량 분석이 대상이 되는 도로의 경우에는 이동기능보다 접근기능이 더 중요하다고 할 수 있다.
- ③ 용량을 분석하는 데는 해당 도로의 통행 속도, 통행 시간, 통행 자유도, 안락감 등 서비스수준 개념을 이용한다.
- ④ 용량 분석은 크게 두 가지 연속되는 절차를 통해 수행하는데, 그 첫 번째 절차는 주어진 도로가 수용할 수 있는 최대 교통량을 추정하는 것이다.
d2023. 2. 12. 14:16삭제
② 용량 분석이 대상이 되는 도로의 경우에는 "이동의 기능이 더 크다는 것"
이동 > 접근
최대교통량 = > 용량분석이 되는 관리 = 용량이 중요한 => 속도 빠르고 이동성이 중요
25. 어느 도로의 개선사업을 시행하기 전ㆍ후의 현장관측자료가 아래와 같을 때, 속도 감소효과 여부를 검정한 결과로 옳은 것은? (단, α=0.05)

- ① 속도감소 효과가 있다.
- ② 속도증가 효과가 있다.
- ③ 속도감소 효과가 없다.
- ④ 속도감소 효과를 판단할 수 없다.
프라즈나832025. 11. 30. 13:41삭제
감소효화
ㅇㄹ2023. 2. 12. 14:18삭제
|u2 - u1| / z > sd
=>① 속도감소 효과가 있다
ㅇㄹ2023. 2. 12. 14:17삭제
|u2 - u1| / z (95%신뢰수준 = 1.96)
26. 교통통제시설의 설치 및 운영 시 고려해야 할 사항으로 옳지 않은 것은?
- ① 판독성과 시인성을 유지하도록 규칙적인 유지보수가 필요하다.
- ② 동일한 상황일지라도 경우에 따라 통제설비를 다양하게 사용할 필요가 있다.
- ③ 시야에 들어오고, 충분히 반응할 수 있는 시간이 확보되는 곳에 위치해야 한다.
- ④ 운전자들의 주의가 집중되고 운전자들이 빨리 순응할 수 있도록 설계되어야 한다.
프라즈나832025. 11. 30. 13:44삭제
동일상황 다양아니고 다양사용
df2023. 2. 12. 14:18삭제
② 동일한 상황일지라도 경우에 따라 통제설비를 "동일하게" 사용할 필요가 있다.
27. 충격파 해석 시 충격파가 발생하는 교통류 간 충격파가 아닌 것은?
- ① 정지에 인한 충격파
- ② 추월에 인한 충격파
- ③ 출발에 인한 충격파
- ④ 저속차량에 인한 충격파
프라즈나832025. 11. 30. 13:44삭제
추월아님
ㅇㄹ2023. 2. 12. 14:19삭제
3가지
28. 차량운전 시 외부 자극에 대한 운전자의 신체적 반응과정인 PIEV 과정의 요소가 아닌 것은?
- ① 반응(volition)
- ② 지각(perception)
- ③ 경험(experience)
- ④ 식별(intellection)
지식행반ㅇ2023. 2. 12. 14:19삭제
df
29. 속도-밀도 모형에 관한 설명으로 옳지 않은 것은?
- ① Greenshields의 직선모형은 연속교통류의 형태를 잘 파악할 수 있다.
- ② Greenshields의 직선모형은 직선성의 가정이 관측자료와 일치하지 않는다.
- ③ Underwood의 지수모형은 고속에서의 속도 추정값이 현장 측정값과 잘 맞는다.
- ④ Greenberg의 지수모형은 밀도가 낮은 교통류에서의 속도값이 관측치와 잘 맞지 않는다.
프라즈나832025. 11. 30. 13:45삭제
언더우드지수
df2023. 2. 12. 14:20삭제
② Greenshields의 직선모형은 직선성의 가정이 관측자료와 일치하지 않는다. = 단점 벗 계산 쉬워서 사용함
③ Underwood의 지수모형은 고속에서의 속도 추정값이 현장 측정값과 "차이가 있음"
30. 한 차량이 곡선반경 R=300m인 평면곡선을 주행하고 있다. 이 평면곡선의 편경사가 0.05, 마찰계수가 0.26이라고 할 때 이 차량이 미끄러지지 않기 위한 속도는?
- ① 90.5km/h
- ② 98.7km/h
- ③ 103.1km/h
- ④ 108.7km/h
프라즈나832025. 11. 30. 14:09삭제
미끄백팔
ㅇㄹ2023. 2. 12. 14:20삭제
r 최소 곡선 반경
31. 감응식 신호교차로에서 검지기가 정지선 후방 30m 지점에 설치되고 차량 1대가 차지하는 길이를 5m, 단위 연장시간을 3초로 가정하였을 때, 최소 녹색시간은? (단, Greenshields의 의 소요녹색시간 산정식 (1.6n+2.6)을 이용한다.)
- ① 12.2초
- ② 15.2초
- ③ 18.4초
- ④ 20.5초
프라즈나832025. 11. 30. 14:10삭제
녹샛 일오 15
ㅇㄹ2023. 2. 12. 14:21삭제
최소녹색시간 = 초기녹색시간 + 한 단위 연장시간
최소녹색시간 = (1.6n +2.6)+3
최소 녹색시간 = 1.6* 6 +2.6 +3
32. 설계시간계수(K계수)에 대한 설명으로 옳지 않은 것은?
- ① K계수가 클수록 교통량의 변화가 적다.
- ② 개발밀도가 증가하면 K계수는 감소한다.
- ③ 일반적으로 AADT가 큰 도로에서는 비교적 낮다.
- ④ 일반적으로 지방부도로가 도시내도로보다 높은 값을 가진다.
프라즈나832025. 11. 30. 14:11삭제
K계수 K계수
ㅇㄹ2023. 2. 12. 14:22삭제
① K계수가 클수록 교통량의 변화가 "크다"
33. 다음의 설명 중 옳지 않은 것은?
- ① AADT는 통상 ADT보다 작은 값은 갖는다.
- ② AADT는 연간 총 교통량을 365로 나눈 값이다.
- ③ AADT와 ADT는 도로계획, 개선 등에 관한 분석에서 다양하게 쓰인다.
- ④ ADT는 365일보다 적은 일 수 동안 조사된 총 교통량을 조사일 수로 나눈 값이다.
프라즈나832025. 11. 30. 14:12삭제
A가 두개니 더 크다 더블에이
34. 차량추종이론(car-following)에 관한 설명으로 옳지 않은 것은?
- ① 반응시간은 운전자의 민감도에 의해 결정된다.
- ② 민감도가 지나치게 크면 교통류의 불안요소가 커지는 것이 일반적이다.
- ③ 추종이론은 거시적 관점에서 차량의 움직임을 설명하는 교통류 이론이다.
- ④ 고속도로에서 후미차량이 앞 차량과 유사한 움직임을 보이는 것을 설명하는 데 활용될 수 있다.
프라즈나832025. 11. 30. 14:12삭제
추종미시
35. 지방부도로의 교통량 측정에 관한 설명으로 옳지 않은 것은?
- ① 상시조사에서는 AADT와 월 변동계수를 구한다.
- ② 보정조사에서는 ADT를 구하며 통상 7일을 연속 측정 한다.
- ③ 전역조사는 1년에 12회 실시하며 통상 24~48시간 연속 측정 한다.
- ④ 모든 도로구간이 교통량 변동 패턴별로 분류되면 상시조사 지점과 보정조사 지점을 없애도 좋다.
프라즈나832025. 11. 30. 14:13삭제
24-48
36. 아래 그림과 같이 교통류에 Bottle neck이 형성될 경우 그에 의한 충격파의 속도는?

- ①

- ②

- ③

- ④

등록된 댓글이 없습니다.
37. 일정기간 연속해서 교통량 조사를 수행할 때 조사기간에 따른 조사방법으로 옳지 않은 것은?
- ① 2시간조사의 경우는 첨두 2시간을 조사하는 경우가 바람직하다.
- ② 12시간조사의 경우는 12시부터 24시까지 조사하는 것이 바람직하다.
- ③ 4시간조사의 경우는 오전과 오후 첨두 각각 2시간을 조사하는 것이 바람직하다.
- ④ 6시간조사의 경우는 오전과 오후 첨두 각각 2시간과 그사이 2시간을 조사하는 것이 바람직하다.
프라즈나832025. 11. 30. 14:13삭제
24시까지 조사하면 힘들어
fg2023. 2. 12. 14:26삭제
② 12시간조사의 경우는 "오전7시부터 오후7시까지" 조사하는 것이 바람직하다. (아침 + 점심+ 저녁 첨두)
38. 다음 중 간선도로 연동신호의 운영방법에 해당하지 않는 것은?
- ① 교호시스템(alternate system)
- ② 대응시스템(responsive system)
- ③ 동시시스템(simultaneous system)
- ④ 연속진행시스템(progression system)
프라즈나832025. 11. 30. 14:23삭제
다대응 연동 연동대응
ㅇㄹ2023. 2. 12. 14:26삭제
동연이 학교
ㅇㄹ2023. 2. 12. 14:26삭제
동교연
39. 고속도로 기본구간의 이상적인 도로 조건으로 옳지 않은 것은?
- ① 차로폭 3.5m 이상
- ② 도로경사 5% 이하
- ③ 측방여유폭 1.5m 이상
- ④ 승용차로만 구성된 교통류
프라즈나832025. 11. 30. 14:24삭제
도로 5 경45
df2023. 2. 12. 14:26삭제
② 도로경사 5% 이하 ==경사가 없는 평지
40. 다음 중 신호연동을 산정하기 위한 시공도의 작성에서 반드시 필요한 요소가 아닌 것은?
- ① 신호기간
- ② 차량길이
- ③ 차량속도
- ④ 교차로간격
df2023. 2. 12. 14:27삭제
② 차량길이(X)
3과목 : 교통시설
41. 다음 그림에서 도로의 완화곡선부에 해당하는 것은?

- ① A 부분
- ② B 부분
- ③ C 부분
- ④ A와 B 부분
프라즈나832025. 11. 30. 14:25삭제
중간
42. 버스터미널의 버스주차대를 설계하고자 한다. 설계차량의 폭을 2.5m로 가정하여 직각주차방식으로 설계할 때 30m당 주차가능대수로 옳은 것은? (단, 차간폭은 0.4m로 가정한다.)
- ① 2대
- ② 5대
- ③ 10대
- ④ 20대
프라즈나832025. 11. 30. 14:25삭제
반씹 버십 버스열대
43. 다음의 교통정온화 기법 중 도로의 선현을 구분구불하게 하여 차량의 주행속도를 저감시키는 것을 무엇이라 하는가?
- ① 폴트(fort)
- ② 초커(chocker)
- ③ 시케인(chicane)
- ④ 과속방지턱(hump)
프라즈나832025. 11. 30. 14:26삭제
구 불구 불시케인
44. 고속도로 엇갈림(weaving) 구간에 관한 설명으로 옳지 않은 것은?
- ① 엇갈림 구간의 길이는 엇갈림 구간 진입로와 본선이 만나는 지점에서 진출로 시작 부분까지의 거리로 한다.
- ② 엇갈림 구간의 길이는 본선-연결로 엇갈림 구간의 경우 최소 150m를 넘게 하는 것이 통행 안전상 바람직하다.
- ③ 엇갈림 구간의 형태는 엇갈림을 하는 차량이 차로를 변경해야 하는 최소 횟수와 출입지점의 위치에 따라 여러 가지 형태가 생긴다.
- ④ 본선-연결로 엇갈림 형태는 각각의 엇갈림 차량들이 원하는 방향으로 주행하기 ㅜ이하여 반드시 한 번의 차로 변경을 해야 하는 구간을 말한다.
오답해설2026. 3. 7. 11:40삭제
본선 연결로200
연결로 연결로 150
프라즈나832025. 11. 30. 14:26삭제
엇갈림 150
45. 평면교차에서 평면교차로 설계의 기본 원칙으로 옳지 않은 것은?
- ① 교차하는 도로의 선형은 직선을 유지하도록 한다.
- ② 교차로의 면적은 안정된 궤적을 위하여 가능한 한 최대가 되도록 한다.
- ③ 두 교통류의 상대속도 차를 최소화하고 넓은 시야를 위하여 교차각은 직각에 가깝도록 한다.
- ④ 교차로에 진입한 운전자나 보행자들이 최소한의 시간으로 신속하고 안전하게 통과할 수 있도록 한다.
프라즈나832025. 11. 30. 14:27삭제
궤척최대
46. 아래 내용 중 ()에 들어갈 적절한 장소는?

- ① 보도
- ② 교차로
- ③ 길어깨
- ④ 주정차대
프라즈나832025. 11. 30. 14:28삭제
길어깨 제설
47. 평균 차두간격이 2.4초인 교통류의 교통량은?
- ① 1500대/시
- ② 2400대/시
- ③ 8640대/시
- ④ 10000대/시
오답2026. 3. 7. 11:46삭제
.
프라즈나832025. 11. 30. 14:28삭제
차두일오 차두천오백
48. 인터체인지의 형식에 대한 설명으로 옳은 것은?
- ① 불완전 입체교차령은 평면 교차하는 교통동선을 2개소 이상 포함한 형식이다.
- ② 트럼펫형 입체교차로와 클러버형 입체교차로는 불완전 입체교차형이다.
- ③ 완전 입체교차형은 평면교차를 포함하지 않고 각 연결로가 독립하고 있는 인터체인지이다.
- ④ 로터리 입체교차는 연결로를 2개 이상 차도를 부분적으로 겹쳐서 엇갈림을 수반하지 않는 형식이다.
등록된 댓글이 없습니다.
49. 우회전 차로의 설치 효과로 옳지 않은 것은?
- ① 정지선을 전진시킬 수 있다.
- ② 도로교통용량을 감소시킨다.
- ③ 직진 교통의 혼란이 감소된다.
- ④ 예각의 우회전을 용이하게 한다.
오답2026. 3. 7. 11:47삭제
.
프라즈나832025. 11. 30. 14:31삭제
용량감소와 무관
50. 옥내 주차장을 각 층의 연결 방식에 따라 분류한 것으로 옳지 않은 것은?
- ① 기계식
- ② 램프식
- ③ 평행식
- ④ 경사 바닥식
프라즈나832025. 11. 30. 14:31삭제
평행주차 없을
51. 평지구간의 고속도로를 100km/h로 주행하던 자동차가 장애물을 보고 정지할 수 있는 최소정지거리는? (단, 마찰계수 0.30, 인지반응시간 2.5초다.)
- ① 약 120.8m
- ② 약 160.5m
- ③ 약 200.7m
- ④ 약 240.2m
프라즈나832025. 11. 30. 14:34삭제
평지 200 이백
52. 다음 중 ()에 들어갈 말로 옳은 것은?

- ① 0.8
- ② 1.0
- ③ 1.2
- ④ 1.5
프라즈나832025. 11. 30. 14:34삭제
중실선위 1-0m
53. 양보차로의 설치와 통행방법에 대한 설명으로 옳지 않은 것은?
- ① 양보차로를 설치하면 교통사고의 위험을 감소시킬 수 있다.
- ② 양보차로에서는 고속자동차가 다른 자동차에게 통행을 양보해야 한다.
- ③ 운전자가 양보차로에 진입하기 전에 충분히 인식할 수 있도록 노면표시 및 표지판을 설치한다.
- ④ 양보차로는 양방향 2차로 도로에서 앞지르기시거가 확보되지 아니하는 구간에 교통용량과 안전성을 검토하여 설치한다.
등록된 댓글이 없습니다.
54. 평면교차로에서의 도류화설계를 위한 기본원칙으로 옳지 않은 것은?
- ① 곡선부는 적절한 곡선반지름과 폭을 가져야 한다.
- ② 교통제어시설은 교통섬과 분리하여 설계하여야 한다.
- ③ 운전자가 한 번에 한 가지 이상의 의사결정을 하지 않도록 해야 한다.
- ④ 속도와 경로를 점진적으로 변화시킬 수 있도록 접근로의 단부를 처리해야 한다.
프라즈나832025. 11. 30. 14:36삭제
교통심
55. 설계속도가 60km/h 이상인 지방지역 일반도로 차로의 최소 폭 기준으로 옳은 것은?
- ① 2.75m
- ② 3.00m
- ③ 3.25m
- ④ 3.50m
프라즈나832025. 11. 30. 14:36삭제
2.15 3.00 3.50
56. 설계속도가 100km/h인 고속도로의 최대종단경사 기준은? (단, 지형은 평지이며 소형차도로인 경우는 고려하지 않는다.)
- ① 3%
- ② 4%
- ③ 5%
- ④ 6%
등록된 댓글이 없습니다.
57. 설계속도가 다른 구간의 연결에 관한 설명으로 옳은 것은?
- ① 설계구간의 변경점을 교통량이 변화하는 교차로로 하는 것은 옳지 않다.
- ② 인접한 설계구간과의 설계속도의 차이는 30km/h 이하가 되도록 하여야 한다.
- ③ 설계속도를 20km 감속하는 경우 10km씩 두 번에 감속하는 것보다 한번에 20km를 감속하는 것이 좋다.
- ④ 설계구간의 변경점은 해당구간의 기하구조 변화에 대한 정보를 제공하여 충분한 거리를 두고 운전자의 사전인지가 가능하도록 주의를 기울여야 한다.
프라즈나832025. 11. 30. 14:38삭제
사전주의필요
58. 주차장법규상 자주식주차장으로서 지하식 또는 건축물식 노외주차장의 벽면에서부터 50cm 이내를 제외한 주차장 출구 바닥면의 최소 조도(照度)는?
- ① 10럭스
- ② 50럭스
- ③ 100럭스
- ④ 300럭스
프라즈나832025. 11. 30. 14:39삭제
조또삼백
59. 노면의 종류에 따른 횡단경사 기준으로 옳지 않은 것은? (단, 편경사가 설치되는 구간은 고려하지 않는다.)
- ① 비포장도로 : 3.0% 이상 6.0% 이하
- ② 사이포장도로 : 2.0% 이상 4.0% 이하
- ③ 시멘트 포장도로 : 1.0% 이상 1.5% 이하
- ④ 아스팔트 포장도로 : 1.5% 이상 2.0% 이하
프라즈나832025. 11. 30. 14:39삭제
시멘트 1015
60. 다음 중 중앙분리대의 기능으로 가장 거리가 먼 것은?
- ① 보행자에 대한 안전섬이 됨으로써 안전한 횡단에 도움이 된다.
- ② 광폭 분리대일 경우 사고 및 고장차량이 정지할 수 있는 여유 공간이 제공한다.
- ③ 필요에 따라 유턴 등을 방지하여 교통류의 혼잡이 발생되지 않도록 하여 안전성을 높인다.
- ④ 제설 작업 시 작업 공간으로 활용되며, 차도의 배수 측면에서 양호한 도로 환경을 유지시켜준다.
프라즈나832025. 11. 30. 14:40삭제
중분대 제설F X
4과목 : 도시계획개론
61. 보행자전용도로에 대한 설명으로 옳지 않은 것은?
- ① 보행자전용도로는 일반 도로를 통하여 인식되는 도시의 구조와 질서를 약화시킨다.
- ② 보행자전용도로를 통하여 보행자를 자동차의 소음과 배기가스 등에서 보호할 수 있다.
- ③ 보행자전용도로는 주거단지 내에서 발생하는 각종 생활동선의 수요를 충족시킨다.
- ④ 보행자의 안전과 자동차의 원활한 주행을 도모하기 위해서 보행자만의 교통에 제공되는 도로를 말한다.
등록된 댓글이 없습니다.
62. 도시구성의 양단부가 개방적이며 산간지대의 도시구성에 적합하고 특히 공업도시에 적합한 도시구성 형태는?
- ① 격자형
- ② 방사형
- ③ 방사환상형
- ④ 대상형(선형)
프라즈나832025. 11. 30. 14:42삭제
공업대상
63. 토지이용계획을 수립함에 있어 정량적(定量的)인 예측변수가 아닌 것은?
- ① 종업원 수
- ② 매장의 연면적
- ③ 생활양식의 변화
- ④ 인구규모와 구성
등록된 댓글이 없습니다.
64. 공간계획 수립을 위한 장래 인구추정 과정에서 고려하여야 할 요소로 가장 거리가 먼 것은?
- ① 인구의 구성
- ② 인구의 규모
- ③ 인구의 분포
- ④ 인구의 출생지
등록된 댓글이 없습니다.
65. 토지와 시설에 대한 물리적 요소에 해당하지 않는 것은?
- ① 동선
- ② 밀도
- ③ 배치
- ④ 활동
프라즈나832025. 11. 30. 14:42삭제
활용
66. 도시 및 주거환경정비법에서 규정하고 있는 정비사업의 종류에 해당하지 않는 것은?
- ① 재개발사업
- ② 재건축사업
- ③ 주택건설사업
- ④ 주거환경개선사업
등록된 댓글이 없습니다.
67. 도시공원 및 녹지 등에 관한 법률에서 규정된 도시공원의 종류에 해당하지 않는 것은?
- ① 근린공원
- ② 묘지공원
- ③ 옥외공원
- ④ 어린이공원
프라즈나832025. 11. 30. 14:43삭제
옥외공원이면 우승이냐 위순이
68. 하워드(E.Howard)가 제시한 전원도시의 계획 내용에 해당하지 않는 것은?
- ① 계획인구의 제한
- ② 개발이익의 사회 환수
- ③ 마천루를 중심으로 하는 도시
- ④ 전원도시 주변에 중분한 농업디재가 존재
등록된 댓글이 없습니다.
69. 도시공간구조이론에서 제3차 산업의 입지이론이라고도 불리는 것은?
- ① 다핵이론
- ② 선형이론
- ③ 동심원이론
- ④ 중심지이론
프라즈나832025. 11. 30. 14:44삭제
3차 중실지
70. 1위 도시의 인구가 600만 명, 2위 도시의 인구가 200만 명, 3위 도시의 인구가 50만 명, 4위 도시의 인구가 10만 명일 경우 데이비드의 종주화지수는?
- ① 0.27
- ② 0.43
- ③ 2.31
- ④ 3.00
프라즈나832025. 11. 30. 14:44삭제
데이비드 H01삼일 찌 이삼일
ㅈㅈ2024. 2. 15. 16:02삭제
600 / (200+50+10 )
71. 생태도시에 대한 설명으로 옳은 것은?
- ① 압축도시의 구조만으로 생태도시의 구축이 가능하다.
- ② 생태도시는 자연생태계가 기능하는 원리에 따라 작동하는 도시이다.
- ③ 도로, 공원, 녹지와 같은 기존의 도시기반시설에 의하여 작동된다.
- ④ 생태도시는 환경오염이 적어 깨끗하고 쾌적한 자연의 목가적인 풍경만으로 작동된다.
등록된 댓글이 없습니다.
72. 도시에서 녹지공간의 역할과 관계가 없는 것은?
- ① 도시개발 형태 유도
- ② 자연의 보호 및 보존
- ③ 동ㆍ식물의 생태적 균형유지
- ④ 공공시설을 위한 토지의 사전확보
등록된 댓글이 없습니다.
73. 도시의 경제, 사회, 문화적인 특성을 살려 개성있고 지속 가능한 발전을 촉진하기 위하여 경관, 생태, 정보통신, 과학, 문화, 관광 등의 분야별로 지정하는 도시계획 관련 사항은?
- ① 시범도시지정
- ② 지구단위계획
- ③ 도시계획시설계획
- ④ 행정중심복합도시지정
등록된 댓글이 없습니다.
74. 도시계획 수립과정의 단계로 옳은 것은?
- ① 목표의 설정→상황의 분석 및 미래의 예측→대안의 설정 및 평가→집행
- ② 목표의 설정→대안의 설정 및 평가→집행→상황의 분석 및 미래의 예측
- ③ 목표의 설정→집행→대안의 설정 및 평가→상황의 분석 및 미래의 예측
- ④ 목표의 설정→대안의 설정 및 평가→상황의 분석 및 미래의 예측→집행
등록된 댓글이 없습니다.
75. 다음 중 도시ㆍ군관리계획의 내용에 해당하지 않는 것은?
- ① 용도지역ㆍ용도지구의 지정에 관한 계획
- ② 도시개발사업이나 정비사업에 관한 계획
- ③ 국토의 현황 및 여건 변화 전망에 관한 계획
- ④ 기반시설의 설치ㆍ정비 또는 개량에 관한 계획
등록된 댓글이 없습니다.
76. 도시 및 지역경제 분석 방법 중 경제기반모형(economic base model)에 대한 설명으로 옳지 않은 것은?
- ① 분석에 필요한 자료의 구득이 매우 어렵다.
- ② 단순하고 이해하기 쉬워 모형의 적용이 용이한 편이다.
- ③ 모형을 이용한 지역분석에서 가정하는 내용들에 한계가 있다.
- ④ 지역의 성장이 지역에서 생산되는 재화의 외부 수요에 의해 결정된다는 것에 기초한다.
프라즈나832025. 11. 30. 14:54삭제
구득이 매우 어렵지는 X
77. 1620년대 E.Burgess가 생태학적 개념에서 제창한 도시패턴은?
- ① 선형(linear form)
- ② 부채꼴형(neucli form)
- ③ 동심원형(concentric form)
- ④ 다핵형(multi-neuclei form)
프라즈나832025. 11. 30. 14:56삭제
버지동심 원
78. 소득분배 상태를 나타내는 지표로서의 지니계수(Gini coefficient) 중 가장 완전한 균등분배상황을 나타내는 수치는?
- ① 0.5
- ② 0
- ③ 1
- ④ -1
프라즈나832025. 11. 30. 14:57삭제
균등 0
79. 참여형 도시계획으로서 주민참여 도시만들기의 우리나라 최근 동향이라고 볼 수 없는 것은?
- ① 특정한 주제를 깊이 다룬다.
- ② 주민참여를 의무화하고 있다.
- ③ 주민의 참여시가가 빨라지고 있다.
- ④ 주민의 참여방법이 다양화되고 있다.
등록된 댓글이 없습니다.
80. 가로망의 구성형태 중 인구 100만 이상의 대도시계획에 적합하고 횡적인 연결은 환상선으로, 도심부와 교외 및 외곽은 방사선으로 연결하며 도쿄, 파리에 이용한 방법은?
- ① 방사형
- ② 혼합형
- ③ 방사환상형
- ④ 대각삽입형
등록된 댓글이 없습니다.
5과목 : 교통관계법규
81. 도로법령에 따른 도로원표에 관한 설명으로 옳지 않은 것은?
- ① 군의 도로원표의 위치는 군수가 정한다.
- ② 도로원표의 크기ㆍ표기방법 및 설치기준 등은 국토교통부령으로 정한다.
- ③ 서울특별시 도로원표의 위치는 광화문광장의 중앙으로 한다.
- ④ 도로원표는 특별시ㆍ광역시ㆍ특별자치시ㆍ시 및 군에 각 1개를 설치하여야 한다.
프라즈나832025. 11. 30. 15:01삭제
군은 시장이
ㅀ2023. 2. 9. 04:57삭제
① 군의 도로원표의 위치는 '군수(x)'가 정한다.
- 군의 도로원표 위치 : '광역시장,특별자치시장,도지사 또는 특별자치도지사"
82. 최초로 수립하는 도시교통정비기본계획 및 증기계획은 해당 지역이 도시교통정비지역으로 포함된 날부터 최대 얼마 이내에 확정ㆍ고시하여야 하는가?
- ① 1년
- ② 2년
- ③ 3년
- ④ 4년
프라즈나832025. 11. 30. 15:14삭제
최초2년.
ㅇㄹ2023. 2. 9. 04:58삭제
도시교통정비지역으로 포함된 날부터 "2년"이내
83. 주차장법령상 주차전용건축물이라 함은 건축물의 연면적 중 주차장으로 사용되는 부분의 비율이 몇 % 이상인 것인가?
- ① 85%
- ② 90%
- ③ 95%
- ④ 100%
프라즈나832025. 11. 30. 15:14삭제
주차전용 95.
84. 국가통합교통체계효율화법에서 정의하는 환승센터의 종류로 옳지 않은 것은?
- ① 주차장형 환승센터
- ② 터미널형 환승센터
- ③ 물류수송형 환승센터
- ④ 대중교통 연계수송형 환승센터
프라즈나832025. 11. 30. 15:14삭제
뭍릇수송x
ㅇㄹ 2023. 2. 9. 04:59삭제
환승센터의 종류 : 3가지 외우기
- '주차장형' 환승센터
- '대중교통 연계 수송형' 환승센터
- '터미널형' 환승센터
85. 국토교통부장관이 도시교통의 원활한 소통과 교통편의의 증진을 위하여 도시교통정비지역으로 지정ㆍ고시할 수 있는 도시의 인구 기준은? (단, 노동복합형태의 시의 경우는 고려하지 않는다.)
- ① 8만명 이상
- ② 10만명 이상
- ③ 15만명 이상
- ④ 20만명 이상
등록된 댓글이 없습니다.
86. 도로교통법상 차마의 운전자가 도로의 중앙이나 좌측부분을 통행할 수 있는 경우는?
- ① 편도교통이 혼잡한 경우
- ② 도로가 일방통행인 경우
- ③ 대형차가 진로를 방해할 경우
- ④ 중앙선이 있는 도로에서 진로를 변경하는 경우
프라즈나832025. 11. 30. 15:16삭제
온니일방
ㄹ좌측부분을 통행2023. 2. 9. 05:00삭제
좌측부분을 통행
- 일방통행
87. 교통안전법상 국가교통안전기본계획에 포함되어야 할 사항이 아닌 것은?
- ① 교통안전 전문인력의 양성
- ② 교통안전에 관한 종합정책방향
- ③ 교통수단ㆍ교통시설별 교통사고 감소목표
- ④ 육상교통ㆍ해상교통ㆍ항공교통 등 부문별 교통사고의 발생현황과 원인의 분석
프라즈나832025. 11. 30. 15:17삭제
종합정적 t X 정책
ㅇㄹ2023. 2. 9. 05:02삭제
② 교통안전에 관한 "단기(x) "종합정책방향
1.교통안전에 관한 '중장기' 종합정책 방향
2. 육상,해상,항공 교통등 부문별 교통사고의 발생현황과 원인의 분석
3. 교통수단,교통시설별 교통사고 감소 목표
4. 교통안전 전문인력 양성
88. 주차장법령상 주차전용건축물에 기계장치를 이용할 경우 주차장의 연면적 산정에서 제외되는 부분은?
- ① 기계실
- ② 부속실
- ③ 관리사무소
- ④ 자동차를 주차할 수 있는 면적
프라즈나832025. 11. 30. 15:19삭제
부속제외
ㅇㄹ2023. 2. 9. 05:03삭제
기계장치를 이용할 경우 ,주차장의 연면적 제외 = '부속실'
기계실, 관리사무소, 자동차 주차할 수 있는 면적
89. 도로교통법상 모든 차의 운전자가 다른 차를 앞지르지 못하는 장소에 해당하지 않는 것은?
- ① 교차로
- ② 도로의 구부러진 곳
- ③ 완만한 경사의 오르막
- ④ 비탈길의 고갯마루 부근
프라즈나832025. 11. 30. 15:22삭제
오르막
FG2023. 2. 9. 05:04삭제
완만한 경사의 오르막(O) -> 비탈길 고갯마루(x)
90. 도시교통정비 촉진법령상 도시교통정비 기본계획의 수립을 위한 기초조사 내용에 포함되어야 하는 사항이 아닌 것은?
- ① 토지이용 계획 및 지가추세
- ② 교통시설의 이용 현황 및 변화 추이
- ③ 인구 등 사회ㆍ경제지표 현황 및 전망
- ④ 교차로에서의 교통량 현황과 그 변화 추이
ㅇㄹDF2023. 2. 9. 05:05삭제
도시교통정비 기본계획의 수립을 위한 기초조사
① 토지이용 계획 및 지가추세 -> "땅값 알필요가 ..없ㅈ죠"
91. 국가교통기술개발계획에 포함되어야 할 사항이 아닌 것은?
- ① 기술의 홍보 및 교육
- ② 교통기술의 개발 방향과 목표
- ③ 교통기술의 국내외 환경 분석
- ④ 교통기술의 중장기 중점 기술개발 전략
프라즈나832025. 11. 30. 15:36삭제
홍보는기술 X
ㅀ2023. 2. 9. 05:05삭제
국가교통'기술'개발계획
-홍보 및 교육 은 '기술' 아니지
92. 교통안전관리자 자격의 종류에 해당하지 않는 자는?
- ① 궤도교통안전관리자
- ② 도로교통안전관리자
- ③ 삭도교통안전관리자
- ④ 항만교통안전관리자
ㅇㅇㄹ2023. 2. 9. 05:06삭제
교통안전관리자
- 도로, 철도, 항만, 항공, 삭도
=> 철도 항항 삭
93. 도로교통법상의 길가장자리구역에 대한 설명으로 옳지 않은 것은?
- ① 안전표지 등으로 경계를 표시한다.
- ② 보행자 통행의 안전을 위하여 설치한다.
- ③ 보도로부터 2.5m의 지점에서 설치한다.
- ④ 보도와 타도가 구분되지 아니한 도로에 있다.
ㅀ2023. 2. 9. 05:07삭제
길가장자리 구역 : 보도와 차도가 구분되지 아니한 도로에서 보행자의 안전 확보를 위해 안전표지 등 경계를 표시한 도로의 가장자리부분
- 보도로 부터 구체적인 수치는 x
94. 국가통합교통체계효율화법령상 규정하고 있는 국가교통조사의 정기조사는 몇 년마다 실시하는가?
- ① 1년
- ② 3년
- ③ 5년
- ④ 10년
프라즈나832025. 11. 30. 15:37삭제
정기오.
DF2023. 2. 9. 05:08삭제
국가교통조사의 정기조사 = 5
95. 국가통합교통체계효율화법령상 국가기간교통시설 중 대통령령으로 정하는 교통시설이 아닌 것은?
- ① 국가기간복합환승센터
- ② 「도시개발법」에 따른 시가지도로
- ③ 「도로법」에 따른 국가지원지방도
- ④ 「도로법」에 따른 일반국도대체우회도로
프라즈나832025. 11. 30. 15:38삭제
시가거 시가지는 시장이
DF2023. 2. 9. 05:09삭제
국가기간교통시설 = 큰규모
② 「도시개발법」에 따른 '시가지도로' => 시장이 관리해도 가능
96. 도로법에 따른 “도로의 부속물”에 해당하지 않는 것은?
- ① 도로표지
- ② 중앙분리대
- ③ 버스정류시설
- ④ 도로용 엘리베이터
프라즈나832025. 11. 30. 15:38삭제
Ev
ㄴㅇㄹㄴ2023. 2. 9. 05:10삭제
CF.교량, 엘리베이터(x)
97. 주차장법상 도로의 노면 및 교통광장 외의 장소에 설치된 주차장으로서 일반의 이용에 제공되는 것은?
- ① 노상주차장
- ② 노외주차장
- ③ 부설주차장
- ④ 전용주차장
프라즈나832025. 11. 30. 16:00삭제
노외
98. 도로교통법규상 횡단보도표지는 횡단보도 전 몇 미터의 도로우측에 설치하여야 하는가?
- ① 30m 내지 100m
- ② 50m 내지 120m
- ③ 80m 내지 150m
- ④ 80m 내지 200m
프라즈나832025. 11. 30. 16:01삭제
횡단오십
DF2023. 2. 9. 05:11삭제
도로교통법규상 횡단보도표지는 횡단보도 전 몇 미터의 도로우측에 설치 : 50-120
99. 아래 설명 중 ()안에 들어갈 알맞은 말은?

- ① ㉠:복합환승센터의 개발에 관한 계획, ㉡:국가교통위원회
- ② ㉠:복합환승센터의 관리에 관한 계획, ㉡:국가교통체계위원회
- ③ ㉠:복합환승센터의 개발에 관한 계획, ㉡:국가교통체계위원회
- ④ ㉠:복합환승센터의 건설에 관한 계획, ㉡:국가통합교통체계위원회
프라즈나832025. 11. 30. 16:02삭제
체계없어
VC2023. 2. 9. 05:13삭제
① ㉠:복합환승센터의 "개발"에 관한 계획, ㉡:"국가 교통 위원회"
- '지정'하는 것이니까 : 관리(x)
100. 도로법상 국토교통부장관이 도로건설ㆍ관리계획을 수립하는 도로로 옳지 않은 것은?
- ① 지방도
- ② 고속국도
- ③ 일반국도
- ④ 국가지원지방도
DF2023. 2. 9. 05:15삭제
'국가'지원지방도(큰스케일)
6과목 : 교통안전
101. 주행 중이던 차량이 장애물을 보고 급제동하여 생긴 모든 바퀴들의 직선 미끄럼 흔적의 길이가 아래와 같다면, 이 차량의 미끄럼거리는?

- ① 6.0m
- ② 6.5m
- ③ 7.0m
- ④ 7.5m
프라즈나832025. 11. 30. 16:03삭제
제일쾌 큰거
102. 운전자들에게 필요한 정보를 올바른 방법으로 제공하여 운전자들이 충돌을 치할 수 있게 해야 한다는 개념의 ‘Positive Guidance’의 주요 고려 개념 중 하나인 운전자의 기대심리에 대한 설명으로 옳지 않은 것은?
- ① 어떠한 상황에서든 과거로 회귀한다는 기대
- ② 차가 계속 일정한 속도로 움직일 것이라는 계속성의 기대
- ③ 일시적 또는 간헐적으로 어떤 사건이 일어날 것이라는 기대
- ④ 과거에 일어나지 않은 일은 계속 일어나지 않을 것이라는 기대
프라즈나832025. 11. 30. 16:03삭제
회귀
103. 다음 중 충격흡수시설의 주된 설치장소로 볼 수 없는 것은?
- ① 요금소 전면
- ② 교통섬 주변
- ③ 연결로 출구 분기점
- ④ 터널 및 지하차도 입구
프라즈나832025. 11. 30. 16:08삭제
교통성 X
104. 교통안전을 위한 사고유발인자 개선조치를 도로사용자/차량/도로 측면으로 구분하고 이를 다시 충돌전/충돌중/충돌후 개선조치로 제시한 Haddon Matrix에 대한 설명으로 옳지 않은 것은?
- ① 차량 측면의 충돌 후 관련 개선조치로는 충격보호장치 등이 해당된다.
- ② 도로사용자 측면의 충돌 전 관련 개선조치로는 운전자 교육 등이 해당된다.
- ③ 도로사용자 측면의 충돌 후 관련 개선조치로는 비상의료시비스 등이 해당된다.
- ④ 도로 측면의 충돌 중 관련 개선조치로는 부러지는 지주 설치 등의 노변안전조치가 해당된다.
프라즈나832025. 11. 30. 16:12삭제
3번이답이래
105. 도로교통조건과 사고에 대한 설명으로 옳지 않은 것은?
- ① 차량 간의 속도 분포가 크면 사고율이 높다.
- ② 평균 일교통량과 사고율과는 밀접한 관계가 있다.
- ③ 일방통행도로의 사고율은 양방통행도로보다 높다.
- ④ 교통류 내 차종 구성에서 대형 차량이 많으면 사고율이 높다.
등록된 댓글이 없습니다.
106. 일반적인 교통사고의 분석목적으로 옳지 않은 것은?
- ① 사고 많은 지점 및 구간을 선정
- ② 원인분석을 통해 사고의 책임을 규명
- ③ 국가 교통안전대책 수립의 기초자료 활용
- ④ 교통사고 정보를 돌발정도로써 운전자에게 실시간으로 제공
프라즈나832025. 11. 30. 16:13삭제
쇄만x 쐐간 실시간 아님
ㅀ2023. 2. 11. 15:32삭제
교통사고의 분석목적 => 정보제공 안해주지
107. 원호형 과속방지턱의 표준 설치 제원으로 옳은 것은?
- ① 높이 0.1m, 길이 3.6m
- ② 높이 0.15m, 길이 3.6m
- ③ 높이 0.2m, 길이 1.5m
- ④ 높이 0.3m, 길이 1.5m
프라즈나832025. 11. 30. 16:13삭제
0.1 3-6
108. 유사한 특성을 가진 지점들에 대해 미리 정해진 평균 사고율과 관련하여 특정사고율이 비정상적인지를 결정하기 위하여 통계적 검정을 적용함으로써 분석의 질적 통제가 가능한 위험지점 선정기법은?
- ① 사고율법
- ② 사고건수법
- ③ 율-품질관리법
- ④ 사고건수-율법
프라즈나832025. 11. 30. 16:14삭제
통계적 검정 율품질
ㅇㄹ2023. 2. 11. 15:33삭제
위험지점 선정기법 => 율- 품질관리 : 포아송, 통계적 검정을 적용
109. 교통사고에 영향을 주는 운전자의 능력을 육체적 능력과 후천적 능력으로 구분할 때, 후천적 능력에 해당하지 않는 것은?
- ① 성격
- ② 주의력
- ③ 차량조작능력
- ④ 색맹 또는 색약
등록된 댓글이 없습니다.
110. 교통사고의 예방 또는 그로 인한 피해를 경감시키기 위한 대책인 ‘3E’에 해당하지 않는 것은?
- ① Education
- ② Environment
- ③ Engineering
- ④ Enforcement
등록된 댓글이 없습니다.
111. 운전자의 정보처리과정에 대한 설명으로 옳지 않은 것은?
- ① 지각-식별-행동판단 과정을 합하여 인지(cognition) 과정이라고도 한다.
- ② 위해요소에 대하여 취해야할 적절한 행동을 결정하는 과정은 ‘행동판단’이다.
- ③ 주의표지에 운전자가 취해야 할 행동을 구체적으로 명시하면 행동판단시간을 감소시킬 수 있다.
- ④ 식별은 자극을 식별하여 이해하는 과정으로써 식별대상은 물체뿐만 아니라 속도까지를 포함한다.
프라즈나832025. 11. 30. 16:15삭제
인지 잿행
ㅀ2023. 2. 11. 15:34삭제
지각-식별-행동판단 과정을 합하여 "반사"과정
112. 지도상에 일정 기간 동안 발생한 사고지점에 사고의 종류와 피해 정도에 따라 핀, 색종이를 붙이거나 표시를 하여 사고가 집중적으로 발생하는 지점을 나타내는 것은?
- ① 대상도
- ② 사고지점도
- ③ 사고충돌도
- ④ 사고현황도
ㄹㅇ2023. 2. 11. 15:34삭제
핀, 색종이 ="지점도
113. 어느 자동차가 경사가 3%인 도로에서 급제동하였더니 제동거리로 36m로 정차하였다. 이 차량의 제동 직전의 속도는? (단, 노면과 타이어 간의 마찰계수는 0.7이다.)
- ① 약 61kg/h
- ② 약 73kg/h
- ③ 약 82kg/h
- ④ 약 98kg/h
프라즈나832025. 11. 30. 16:16삭제
아키로 82
ㅇㄹ2023. 2. 11. 15:35삭제
v= 루트 254(f+i)l
114. 사고충돌도의 범례 중 다음 그림이 상징하는 것은?

- ① 측면 충돌
- ② 전복 차량
- ③ 통제 불능
- ④ 좌회전 충돌
등록된 댓글이 없습니다.
115. 어느 사고다발지점에 대해 개선사업을 실시한 경우 운전자가 변화된 도로환경에 따라 과거보다 주의력을 감소시킴으로써 당초 의도한 개선대책의 효과를 상쇄시키는 경향은?
- ① 주관적위험(Subjective Risk)
- ② 위험보정(Risk Compensation)
- ③ 사고이동(Accident Migration)
- ④ 평균으로의 회귀효과(Regression to Mean Effect)
fg2023. 2. 11. 15:36삭제
과거보다 주의력을 감소 => "위험보정"해줘서 조심하게
116. 다음 중 교통안전진단의 목표로 가장 거리가 먼 것은?
- ① 그 사업의 건설비를 최소화한다.
- ② 교통사고의 위험 및 정도를 최소화한다.
- ③ 건설 후의 치료적 작업의 필요성을 최소화한다.
- ④ 그 사업의 전공용기간의 관련 비용을 최소화한다.
등록된 댓글이 없습니다.
117. 어떤 장소에서 짧은 시간 동안 수시로 충돌에 근접하는 교통현상을 관측하여 그 장소의 교통사고위험성을 평가하는 것은?
- ① 실험계획조사
- ② 교통상충조사
- ③ 회귀분석모형
- ④ 안전접근속도분석
등록된 댓글이 없습니다.
118. 교통안전계획의 내용 중 옳지 않은 것은?
- ① 국가교통안전기본계획은 국토교통부장관이 5년 단위로 수립한다.
- ② 국가교통안전기분계획을 심의하는 주체는 국가교통위원회이다.
- ③ 지역교통안전시행계획은 2년 단위 계획으로 각급 자치단체에서 수립한다.
- ④ 지역교통안전기본계획은 시ㆍ도교통안전기본계획과 시ㆍ군ㆍ구교통안전기본계획으로 구분된다.
프라즈나832025. 11. 30. 16:20삭제
2년단위 아님
ㅇㄹ2023. 2. 11. 15:37삭제
지역교통안전시행계획은"매년" 수립한다.
119. 중량이 2000kg인 차량이 30km/h로 달리다가 정차 중인 1000kg 중량의 차량과 충돌하여 얼마의 거리를 밀고 나가 정차하였다면 충돌 직후의 속도는?
- ① 5kg/h
- ② 10kg/h
- ③ 15kg/h
- ④ 20kg/h
프라즈나832025. 11. 30. 16:20삭제
2 천 이 이십
ㅇㄹ2023. 2. 11. 15:38삭제
m1 *v1 + m2*v2 = (m1+m2)v
v= m1 *v1 + m2*v2 / (m1+m2)
120. 차량 A가 25m를 활주한(skidding) 후 12m 높이의 언덕에서 추락하였다. 추락 후 노면에 떨어진 지점까지의 수평거리가 15m일 경우 차량 A의 초기속도는? (단, 중력가속도는 9.8m/sec2, 마찰계수는 0.7이다.)
- ① 약 75.1km/h
- ② 약 78.5km/h
- ③ 약 80.1km/h
- ④ 약 83.5km/h
프라즈나832025. 11. 30. 16:20삭제
활주칠오
d2023. 2. 11. 15:40삭제
t = 루트 2h/g
u2 = d / t
254fd