교통기사(2003. 5. 25.) 시험일자 : 2003년 5월 25일
1과목 : 교통계획
1. 어느 도심지의 주차요금에 대한 수요탄력치가 –0.2이며, 이 지역의 피크 한시간당 주차요금이 3,000원인데 주차수요는 10,000대가 된다. 주차요금이 25% 인상될 때 수요의 감소량은 얼마인가?
- ① 250대
- ② 500대
- ③ 750대
- ④ 1000대
등록된 댓글이 없습니다.
2. 출발지, 목적지별 교통량조사(Origin and Destination Survey)방법에 해당되지 않는 사항은?
- ① 터미널조사(Terminal Survey)
- ② 폐쇄선조사(Cordon line Survey)
- ③ 시험차 주행에 의한 방법(Moving Survey)
- ④ 가구방문조사(Home interview Survey)
등록된 댓글이 없습니다.
3. 통행희망선도(Traffic Desire Lines)는 다음 중 어느 조사 결과에 의하여 작성될 수 있는가?
- ① 회전 교통량 조사
- ② 가로구간 교통량 조사
- ③ O - D 조사
- ④ 승하차 인원수 조사
등록된 댓글이 없습니다.
4. 다음 중 승용차 환산계수(pce)를 결정하는데 고려사항으로 볼수 없는 것은?
- ① 통행차량의 최고속도
- ② 도로의 경사도와 경사구간의 길이
- ③ 차량의 종류
- ④ 차종구성비
등록된 댓글이 없습니다.
5. 교통수요예측모형은 분석구조측면에서 집계형(Aggregate)과 비집계형(Disaggregate), 확률형(Probabilistic)과 결정형(Deterministic), 동시형(Simultaneous)과 연쇄형(Sequential)으로 구분할 수 있다. 종래의 전통적인 4단계 수요추정모형은 위의 어느형에 속한다고 볼 수 있는가?
- ① 집계형 - 확률형 - 동시형
- ② 집계형 - 결정형 - 연쇄형
- ③ 비집계형 - 확률형 - 연쇄형
- ④ 비집계형 - 결정형 - 동시형
등록된 댓글이 없습니다.
6. 집계 로짓모형을 이용하여 각존별 교통수단분담율을 추정하고자 할 때 적합하지 않는 설명변수는?
- ① 통행시간
- ② 승용차보유여부
- ③ 통행비용
- ④ 차외통행시간(접근시간 등)
등록된 댓글이 없습니다.
7. 교통량 배정의 목적으로 적합치 않는 것은?
- ① 현재와 장래의 교통망의 문제지점을 진단
- ② 교통망 대안의 평가
- ③ 교통시설의 건설 우선순위 결정
- ④ OD통행량 산출을 위한 기초 자료제공
등록된 댓글이 없습니다.
8. 교통혼잡을 감안한 주행시간함수를 이용하여 최단경로에 교통량을 배정하는 방법은?
- ① all or nothing법
- ② 전환율 곡선법
- ③ 카테고리 분석법
- ④ 용량제약 노선 배정법
등록된 댓글이 없습니다.
9. 다음 교통수요 추정모델중 개별행태 분석이 가능한 모형이 아닌 것은?
- ① 회귀분석법
- ② 로짓모형
- ③ 프로빗모형
- ④ 디트로이트모형
등록된 댓글이 없습니다.
10. 추정된 장래 존간 통행량을 기존교통망에 부하시킴으로서 기존교통체계의 문제를 진단하고 여러가지 교통체계 대안을 검증할 수 있는 과정은 다음 중 어느 추정단계인가?
- ① 희망노선(Desire Line)
- ② 통행발생(Trip generation)
- ③ 교통수단선택(modal split)
- ④ 통행배분(Trip assignment)
등록된 댓글이 없습니다.
11. 통행(Trips)은 목적을 가진 통행주체가 이동하기 시작하여 정지하기까지의 여행으로 정의하며, 수단통행(Unlinked trips)과 목적통행(Linked trips)으로 분류한다. 아래 그림은 한 사람이 집에서 회사로 출근할 때의 통행과정을 보여주고 있다. 다음 중 옳은 것은?

- ① 수단 통행수 = 5, 목적 통행수 = 1
- ② 수단 통행수 = 1, 목적 통행수 = 5
- ③ 수단 통행수 = 1, 목적 통행수 = 1
- ④ 수단 통행수 = 5, 목적 통행수 = 5
등록된 댓글이 없습니다.
12. 세부가로 교통량 추정에 앞서서 개략적 노선수요파악을 위한 네트워크로서 주로 교통존중심(Zone Centroid)간을 연결하는 많은 삼각형으로 구성하는 네트워크는 다음 중 어느 것인가?
- ① 거미줄망도(Spider Web)
- ② 검사선(screen line)
- ③ 교통지구도(Zone Map)
- ④ 가로망도(Highway Network)
등록된 댓글이 없습니다.
13. 새로운 교통수단의 도입에 따른 교통선호특성을 파악하기 위하여 설정된 가상적인 상황에 대하여 조사하는 방법을 무엇이라 하는가?
- ① RP(revealed preference)조사
- ② SP(stated preference)조사
- ③ 패널(panel)조사
- ④ 엑티비티다이어리(Activity daily)조사
등록된 댓글이 없습니다.
14. 도로구간의 속도를 허용오차 2km/h의 수준으로 조사하기 위한 표본수를 결정하고자 한다. 유사한 도로(모집단)의 속도 표준편차가 10km/h로 나타나 있으며, 95%의 신뢰도에 대응한 표준화 변수 1.96을 이용하면 최소한 몇대 이상의 차량속도를 조사해야 하는가?
- ① 64대
- ② 97대
- ③ 48대
- ④ 76대
등록된 댓글이 없습니다.
15. OD 조사를 전수화한 후 존간 통행량의 신뢰성을 검증 및 보완하기 위하여 필요한 조사는?
- ① 가구면접조사
- ② 스크린라인조사
- ③ 터미널조사
- ④ 노측면접조사
등록된 댓글이 없습니다.
16. 교통존에 대한 설명 중 틀린 것은?
- ① 다양한 토지이용이 한존에 포함 되도록 한다.
- ② 행정구역과 가급적 일치시킨다.
- ③ 간선도로는 존경계와 일치하도록 한다.
- ④ 강· 산· 철도와 같은 지형적 경계를 교통존 경계로 일반적으로 적용한다.
등록된 댓글이 없습니다.
17. 어느 주차장의 평균 주차시간은 2시간이다. 한대의 차량이 도착했을 때 이차량이 1시간미만 주차할 확률은? (단, 주차시간의 분포는 음지수분포를 따른다.)
- ① 33.3%
- ② 35.3%
- ③ 37.3%
- ④ 39.3%
등록된 댓글이 없습니다.
18. 평균운행속도가 30km/h로서 편도20km의 노선을 운행하는 버스가 60명을 최대로 수송할 수 있다. 배차간격이 5분이면 필요한 차량규모는 얼마인가?
- ① 12대
- ② 16대
- ③ 20대
- ④ 24대
등록된 댓글이 없습니다.
19. 최근 활발히 진행되는 ITS(Intelligent Transport Systems)의 목적이 아닌 것은?
- ① 도로이용의 효율성을 제고시키기 위하여
- ② 도로의 교통안전을 도모하기 위하여
- ③ 환경에 미치는 악영향을 감소시키기 위하여
- ④ 통행 발생량과 도착량을 정확히 예측하기 위하여
등록된 댓글이 없습니다.
20. 가구당 통행발생량과 같은 종속변수를 소득이나 자동차보유대수 등의 설명변수의 범주에 따라 교차시켜 도출해내는 교차분류법의 추정모형은?
- ① 회귀분석법
- ② 원단위법
- ③ 증감율법
- ④ 카테고리분석법
등록된 댓글이 없습니다.
2과목 : 교통공학
21. 교통량이 180(대/시)라고 한다. 한 시간내에 도착하는 자동차 대수가 poisson 분포를 따른다고 가정할때, 1분간에 4대의 자동차가 도착할 확률은 얼마인가?
- ① 0.101
- ② 0.147
- ③ 0.168
- ④ 0.202
등록된 댓글이 없습니다.
22. 어떤 차량이 시속 50KPH로 40km를 주행하고 60KPH로 20km를 40KPH로 50km를 주행하였다. 전체구간의 공간평균속도는?

- ① 50.00km/hr
- ② 47.27km/hr
- ③ 46.15km/hr
- ④ 43.25km/hr
등록된 댓글이 없습니다.
23. 도시 및 교외간선도로의 용량분석시 사용되는 주효과 척도는?
- ① 교통량 대 용량비
- ② 지체도
- ③ 평균통행속도
- ④ 지체시간 백분율
등록된 댓글이 없습니다.
24. 다음 그림 중 곡선은 도로상 어떤 지점에서의 차량누적도착교통량(Cumulative number of vehicles arrived)을 시간에 따라 표시한 그림이고 직선은 그 지점의 교통 용량을 보인다. 이 그림을 설명한 것 중에서 틀린 것은?

- ① 조사지점에서 시간 t2 까지는 용량상의 문제가 없다.
- ② t3에 대기행렬의 길이가 최대로 된다면 이때 그 길이는 Q(t3)로 나타 낼수 있다.
- ③ t3에 도착한 차량은 W(t3)만큼 기다려야 그 지점을 통과한다.
- ④ 이 지점에서 유입(流入)교통량이 용량을 초과 하는 시간대는 t2∼t4 이다.
등록된 댓글이 없습니다.
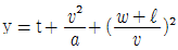
25. 신호시간 결정에 있어 현시(顯視)간 전이시간(황색시간) 산정공식으로 맞는 것은? (단, y = 황색시간, t = 운전자 반응시간, v = 접근 속도, a = 임계감속도, w = 교차로의 폭, ℓ = 차량의 길이)
- ①

- ②

- ③

- ④

등록된 댓글이 없습니다.
26. 신호 교차로의 용량에 영향을 주지 않는 요소는?
- ① 차로폭
- ② 종단구배
- ③ 주차형태
- ④ 마찰계수
등록된 댓글이 없습니다.
27. 독립적으로 운용되거나(독립교차로)또는 2~3개 신호기가 연동되어 교통량의 큰 변동에 적합한 신호기는?
- ① 고정시간 신호기
- ② 전자 신호기
- ③ 교통감응 신호기
- ④ 교통조정 신호기
등록된 댓글이 없습니다.
28. 교통류이론에서 교통류 특성을 설명할 수 있는 세가지 변수에 속하지 않는 것은?
- ① 속도
- ② 밀도
- ③ 교통량
- ④ 지체도
등록된 댓글이 없습니다.
29. 다음 그림은 교통량과 밀도와의 관계를 보여주고 있다. 여기서 용량상태를 의미하는 밀도는?

- ① A
- ② B
- ③ C
- ④ D
등록된 댓글이 없습니다.
30. 출발하는 차량의 속도가 55km/시간이고 차량의 자유속도가 70km/시간일 경우의 충격파의 속도는?
- ① -10 km/시간
- ② -15 km/시간
- ③ -20 km/시간
- ④ -25 km/시간
등록된 댓글이 없습니다.
31. 속도측정시의 필요한 표본수의 산출공식은? (단, N : 필요 표본수, K : 통계신뢰도 계수, S : 속도표준편차, E : 허용오차)
- ① N=(KS/E)2
- ② N=(K/SE)2
- ③ N=(KS/E)3
- ④ N=(E/KS)2
등록된 댓글이 없습니다.
32. 양방향 2차로 도로의 이상적인 조건에 해당되지 않는 것은?
- ① 교통류가 승용차만으로 구성되어야 한다.
- ② 평지부 도로이어야 한다.
- ③ 추월금지구간이 5% 이내이어야 한다.
- ④ 측방여유폭이 1.5m 이상이어야 한다.
등록된 댓글이 없습니다.
33. 신호주기가 75초인 정주신호 교차로에서 일정 시점에 정지한 차량의 수를 조사하여 차량의 정지지체를 계산하려한다. 정지 차량의 조사간격으로 부적당한 값은?
- ① 16초
- ② 15초
- ③ 14초
- ④ 13초
등록된 댓글이 없습니다.
34. 신호교차로에서 다음표와 같이 15분 간격으로 교통량조사를 실시하였다. 이 신호교차로의 첨두시간계수(PHF)는?

- ① 0.83
- ② 0.86
- ③ 0.92
- ④ 0.95
등록된 댓글이 없습니다.
35. 교통체계관리(TSM)기법의 특징이 아닌 것은?
- ① 저렴한 비용필요
- ② 빠른효과의 효과측정 용이
- ③ 기존시설의 최대이용
- ④ 장기교통계획의 일부분
등록된 댓글이 없습니다.
36. 평탄지 도로를 주행중인 차량이 돌발적인 장애물을 만나서 급제동하여 가까스로 그 직전에 멈추었다. 활주흔(skid mark)의 길이가 40m, 차량타이어와 도로면 사이의 마찰 계수가 0.6이면 이 차량은 장애물을 만나기 직전에 얼마의 속도로 주행하고 있었다고 추정되는가? (단, 운전자 반응시간은 무시하며 경사는 0% 이다.)
- ① 57 ㎞/시
- ② 66 ㎞/시
- ③ 78 ㎞/시
- ④ 99 ㎞/시
등록된 댓글이 없습니다.
37. PIEV 시간은 교통시설 설계에서 대단히 중요한 요소이다. 도로설계에 사용되는 기준으로서 PIEV 시간은 얼마인가?
- ① 2.5초
- ② 2.0초
- ③ 1.5초
- ④ 1.0초
등록된 댓글이 없습니다.
38. 도로를 기능적으로 분류할때 다음 도로시설 중 접근성이 뛰어난 도로는?
- ① 고속도로
- ② 국지도로
- ③ 집산도로
- ④ 간선도로
등록된 댓글이 없습니다.
39. 신호 교차로에서 녹색시간을 설계할때 고려되어야 할 사항이 아닌 것은?
- ① 접근로의 교통량
- ② 횡단보도 길이
- ③ 보행자의 속도
- ④ 차량의 속도
등록된 댓글이 없습니다.
40. 평면교차로의 도류화 기법(Channelization)의 원칙으로 틀린 것은?
- ① 교차로의 상충면적은 가능한 좁게 한다.
- ② 상충이 발생되는 지점은 가능한한 분리시킨다.
- ③ 교통류는 서로 직각으로 교차하고 비스듬히 합류해야 한다.
- ④ 직진차량은 가급적 속도를 줄이도록 유도한다.
등록된 댓글이 없습니다.
3과목 : 교통시설
41. 차량의 최소 회전반경의 정의로서 옳은 것은?
- ① 차량의 안쪽 앞바퀴의 타이어 외측선이 그리는 원의 반경
- ② 차량 바깥쪽 뒷바퀴의 타이어 중심선이 그리는 원의 반경
- ③ 차량의 안쪽 뒷바퀴의 타이어 외측선이 그리는 원의 반경
- ④ 차량의 바깥쪽 앞바퀴의 타이어 중심선이 그리는 원의 반경
등록된 댓글이 없습니다.
42. 우리나라에서 지방지역 주요도로에 적용할 설계시간계수(K)값은?
- ① 200번째
- ② 100번째
- ③ 50번째
- ④ 30번째
등록된 댓글이 없습니다.
43. 버스정류장의 제원(고속도로)중 설계속도가 100km/h일 때 가속차로의 길이는? (단, 직접식인 경우)
- ① 70m
- ② 115m
- ③ 160m
- ④ 190m
등록된 댓글이 없습니다.
44. 다이아몬드형 인터체인지의 장점으로 볼 수 없는 것은?
- ① 점유면적이 적다.
- ② 통과거리가 짧다.
- ③ 표지설치가 용이하다.
- ④ 좌회전 교통의 처리가 용이하다.
등록된 댓글이 없습니다.
45. 옥내 주차장을 차량의 이동방식에 따라 분류한 것으로 틀린 것은?
- ① 램프식
- ② 평행식
- ③ 경사바닥식
- ④ 기계식
등록된 댓글이 없습니다.
46. 편도 2차로 톨게이트 상류에서 조사한 첨두시간 교통수요는 6650대 이었다. 톨게이트를 지난후 도로의 용량이 5000대/시간이며 톨게이트의 요금징수시간이 차량당 평균 10초이다. 도로운영에서 톨게이트를 통과하는 시간당 차량댓수가 도로 용량과 일치하게 되는 것이 가장 좋을 때 톨게이트의 적정 요금 징수소의 수는 얼마인가?
- ① 14개소
- ② 10개소
- ③ 7개소
- ④ 5개소
등록된 댓글이 없습니다.
47. 완화곡선의 종류로 부적합한 것은?
- ① 클로소이드 곡선
- ② 렘니스케이트 곡선
- ③ 3차 포물선
- ④ 2차 포물선
등록된 댓글이 없습니다.
48. 어느 버스터미널의 시간당 버스 도착대수가 평균 100대일 때 5분 동안 8대의 버스가 도착할 확률은? (단, 버스의 도착분포는 포아송분포를 따른다고 가정한다.)
- ① 1.000
- ② 0.713
- ③ 0.426
- ④ 0.139
등록된 댓글이 없습니다.
49. 차종이 소형차인 주차장 설계시 중앙통로의 폭이 큰것부터 작은것 순으로 나열시 맞는 것은?

- ① ③-①-②-④
- ② ④-③-②-①
- ③ ②-①-③-④
- ④ ④-②-③-①
등록된 댓글이 없습니다.
50. 교차로 설계의 기본목표는 사람이나 차량이 교차로를 편리하고 쉽게 이용하면서 보행자 또는 교통수단간의 충돌가능성을 최소화시키는 것이다. 교차로 설계시 고려해야 할 기본원리에 관한 설명으로 틀린 것은?
- ① 상충지점수를 충분히 늘린다.
- ② 상대속도를 줄인다.
- ③ 회전교통경로를 마련한다.
- ④ 상충면적을 줄인다.
등록된 댓글이 없습니다.
51. 다음 인터체인지 중 가장 엇갈림(weaving)이 많이 생기는 것은 어느 것인가?
- ① 다이아몬드형
- ② 클로버잎형
- ③ 직결형
- ④ T형 평면교차
등록된 댓글이 없습니다.
52. 도로설계에 사용되는 최소정지시거는 다음 중 어느 것을 기준한 값인가?
- ① 평지의 건조한 노면
- ② 평지의 젖은 노면
- ③ 2% 하향경사의 건조 노면
- ④ 2% 하향경사의 젖은 노면
등록된 댓글이 없습니다.
53. 비상주차대에 대한 설명으로 틀린 것은?
- ① 고속도로에서 우측 길어깨의 폭원이 2.0m 미만일 경우에는 비상주차대를 설치하여야 한다.
- ② 고속도로에서의 비상주차대의 설치간격은 750m를 표준으로 한다.
- ③ 지방지역 일반도로에서의 비상주차대의 설치간격은 750m를 표준으로 한다.
- ④ 공사비의 절감을 위하여 길어깨를 축소하는 장대교, 터널에는 적당한 간격으로 비상주차대를 설치하여야 한다.
등록된 댓글이 없습니다.
54. 완화곡선을 설치하지 않는 평면곡선에 편경사를 설치하려고 한다. 이 경우 원곡선이 시작하기전 직선상에는 전체 편경사의 얼마가 설치되어야 하는가?
- ① 1/3
- ② 2/3
- ③ 2/5
- ④ 1/2
등록된 댓글이 없습니다.
55. 엇갈림구간(weaving)의 교통용량 산정방법에 관한 설명 중 옳지 않은 것은?
- ① 엇갈림구간의 형태는 엇갈림 차량의 최소차로 변경횟수와 진출입 차로의 위치에 의해 결정된다.
- ② 엇갈림구간 길이는 엇갈림구간 진입로와 본선이 만나는 지점에서 진출로 시작 부분까지의 거리로 한다.
- ③ 엇갈림구간의 길이가 감소할수록 길이당 차로변경횟수가 적어진다.
- ④ 엇갈림구간의 서비스 수준은 엇갈림하는 교통류와 엇갈림하지 않고 주행하는 교통류의 통행속도와 직접적으로 연결되어 있다.
등록된 댓글이 없습니다.
56. 앞지르기시거를 결정하기 위해 고려하여야 할 사항으로 틀린 것은?
- ① 고속 자동차가 앞지르기가 가능하다고 판단하고 가속하여 반대편 차로로 진입하기 직전까지 주행한 거리
- ② 고속 자동차가 반대편 차로로 진입하여 앞지르기할 때까지 주행하는 거리
- ③ 고속 자동차가 앞지르기를 완료한 후 반대편 차로의 자동차와의 여유거리
- ④ 고속 자동차가 앞지르기를 완료한 후 마주오는 자동차가 주행한 거리
등록된 댓글이 없습니다.
57. 평면교차로에서의 신호등 설치기준에 대한 사항으로 잘못된 것은?
- ① 어린이 보호구역내 초등학교 또는 유치원의 주 출입문과 가장 가까운 거리에 위치한 횡단보도에 신호기를 설치한다.
- ② 학교앞 300m이내에 신호등이 없고 통학시간에 차량통행시간 간격이 1분 이내인 경우에 신호등을 설치한다.
- ③ 신호등의 설치간격이 300m 이상으로 인접 신호등과의 연동효과를 기대할 수 없을 때 중간지점에 신호등을 설치한다.
- ④ 교통사고가 연간 7회 이상 발생한 장소로 신호등 설치 시 사고를 예방할 수 있다고 인정되는 경우 신호등을 설치한다.
등록된 댓글이 없습니다.
58. 다음 중 콘크리트 포장과 비교한 아스팔트 포장의 장점으로 옳은 것은?
- ① 유지·보수비가 적게 든다.
- ② 유지·보수가 쉽다.
- ③ 그늘에서 박리하지 않는다.
- ④ 지반이 약한 지역에 유리하다.
등록된 댓글이 없습니다.
59. 고속도로에서 우측 길어깨의 폭원이 얼마 미만일 경우 비상주차대를 설치해야 하는가?
- ① 3.0m
- ② 2.5m
- ③ 2.0m
- ④ 1.5m
등록된 댓글이 없습니다.
60. 도시지역 간선 도로 보도의 최소폭은?
- ① 1.5m
- ② 2.0m
- ③ 3.0m
- ④ 4.0m
등록된 댓글이 없습니다.
4과목 : 도시계획개론
61. 도시지역안에서 공공의 안녕질서와 도시기능의 증진을 위해서 필요하다고 인정할 때에는 지구의 지정을 도시관리계획으로 결정할 수 있는데 지구의 종류가 아닌 것은?
- ① 미관지구
- ② 고도지구
- ③ 보존지구
- ④ 재개발지구
등록된 댓글이 없습니다.
62. 상업 업무지구에서 비교적 적절한 구획도로망 형태는 어떠한 것인가?
- ① 루프형
- ② 쿨데삭(cul-de-sac)
- ③ 격자형
- ④ 선형
등록된 댓글이 없습니다.
63. 고대 그리이스 도시에서 교역과 정치활동의 중심지였던 시장광장을 무엇이라고 하는가?
- ① 포럼(Forum)
- ② 아고라(Agora)
- ③ 시데룽(Siedelung)
- ④ 휘닉스(Pnyx)
등록된 댓글이 없습니다.
64. 주거 단지내 도로 계획시 일반적 고려사항이 아닌 것은?
- ① 단지내 도로의 과속 방지턱 설치
- ② 곡선형 도로로 감속 유도
- ③ 원할한 통과를 위한 통과도로의 최대화
- ④ 도로패턴은 원활한 접근을 위한 조직적으로 계획
등록된 댓글이 없습니다.
65. 우리나라 도시 가로망 배치계획에서 일반적인 원칙과 가장 거리가 먼 것은?
- ① 간선도로의 경우 도심부와 도시 외곽부에서의 도로의 배치간격은 각각 1㎞, 1∼3㎞정도가 바람직하다.
- ② 보조간선도로는 도심에서 300∼500m 간격으로 배치하는 것이 적당하다.
- ③ 집분산 도로의 배치간격은 주거지역에서 250∼500m간격으로 배치하는 것이 적당하다.
- ④ 국지도로는 지구의 특성에 따라 배치간격이 정해지며 간선도로, 보조간선도로를 연결할 수 있도록 계획한다.
등록된 댓글이 없습니다.
66. 도시(지역)경제학의 주요이론으로 거리가 먼 것은?
- ① 경제기반이론
- ② 투입산출분석
- ③ 변이할당분석
- ④ 효용함수이론
등록된 댓글이 없습니다.
67. 다음 하워드(E.Howard)가 제시한 전원도시의 요건에 해당되지 않는 것은?
- ① 인구규모의 확대
- ② 토지의 공개념
- ③ 경제적 가족성
- ④ 개발이익의 사회환원
등록된 댓글이 없습니다.
68. 도시기본계획을 수립할때 공청회 개최는 언제 하는가?
- ① 도시계획 조사 이전
- ② 기본계획 승인 이후
- ③ 기본계획 수립시
- ④ 기본계획 공고 이후
등록된 댓글이 없습니다.
69. 많은 학자들에 의해 근린주구에 대한 기준들이 제안되어지고 있다. 다음 중에서 근린주구의 설정기준에 해당되지 않는 내용은?
- ① 밀도
- ② 거리
- ③ 이용빈도
- ④ 시설물
등록된 댓글이 없습니다.
70. 슈퍼블록(super block)의 개념을 설명한 것으로 가장 거리가 먼 것은?
- ① 통과 교통을 방지하고 가구내 편익시설을 갖추어 생활의 편리를 도모하는데 목적이 있다.
- ② 블록내 자동차 접근이 어렵기 때문에 인근 주차장이 필요하다.
- ③ 보통 소형블럭(50×100m)을 4∼5개를 합친 규모이다.
- ④ 블록 단위로 계획, 설계가 행해져 소형 블록의 단점인 공간의 이용에 효율성을 제고하고자 한다.
등록된 댓글이 없습니다.
71. 상업시설 용지의 배치유형을 집중형과 노선형으로 나눌 때 집중형의 장점이 아닌 것은?
- ① 시설의 다양성, 이용자 선택성이 커짐
- ② 시설상호간의 유기적 관계성이 높음
- ③ 상품, 서비스 유형에 따른 이용권이 명확한 위계를 가짐
- ④ 모든 주민에게 균등한 접근성을 부여
등록된 댓글이 없습니다.
72. 우리나라의 국토계획의 변경과정 중에서 거점개발방식이 채택되었던 시기는?
- ① 제1차국토계획
- ② 제2차국토계획
- ③ 제2차국토(수정)계획
- ④ 제3차국토계획
등록된 댓글이 없습니다.
73. 보행으로 중심부와 연결이 가능하며, 초등학교, 상가 등의 공동서비스 시설을 공유하는 규모로서 주민간의 동질성이 강조되는 계획적 공간범위는?
- ① 인보구
- ② 근린분구
- ③ 근린주구
- ④ 지역공동체
등록된 댓글이 없습니다.
74. 공간적으로 분리되어 있으나 기능적으로 서로 연결되어 있는 도시군을 지칭하는데 가장 적합한 명칭은?
- ① 도시지역(urban reion)
- ② 거대 도시(megalopolis)
- ③ 연담 도시(conurbation)
- ④ 위성 도시(satellite cities)
등록된 댓글이 없습니다.
75. 도시의 무질서한 확산을 방지하고 도시주변의 자연환경의 보전을 통한 도시민의 건전한 생활환경을 확보하기 위하여 도시개발을 제한하는 것을 목적으로 하는 것은 다음 중 어느 것인가?
- ① 특정시설제한구역
- ② 개발제한구역
- ③ 도시개발예정구역
- ④ 광역계획구역
등록된 댓글이 없습니다.
76. 도시재개발에 있어서 도시기능과 생활환경이 점차 악화되고 있는 대상지에서 건축물의 신축을 부분적으로 허용하며, 나머지 건축물을 수리, 개조함으로서 점진적으로 개조하는 재개발수법은?
- ① 철거재개발
- ② 수복재개발
- ③ 전면재개발
- ④ 보전재개발
등록된 댓글이 없습니다.
77. kevin Lynch의 도시공간(경관)의 형성요소에 포함되지 않는 것은?
- ① 통로(path)
- ② 경계(edge)
- ③ 상징물(landmark)
- ④ 자연(nature)
등록된 댓글이 없습니다.
78. 다음과 같은 가로망 형태는?

- ① 방사형
- ② 혼합형
- ③ 방사환상형
- ④ 격자형
등록된 댓글이 없습니다.
79. 도시관리계획결정의 고시가 있은 때에는 지적이 표시된 지형도에 도시관리계획사항을 명시한 도면을 작성하여야 하는데 이때 일반적인 도시지역의 경우 축척으로 옳은 것은?
- ① 축척 500분의 1 ∼ 1천 500분의 1
- ② 축척 1천500분의 1 ∼ 3천분의 1
- ③ 축척 3천분의 1 ∼ 4천 500분의 1
- ④ 축척 4천 500분의 1 ∼ 6천분의 1
등록된 댓글이 없습니다.
80. 우리나라에서 시행하고 있는 인구주택총조사에 대한 설명으로 부적절한 내용은?
- ① 지정통계조사
- ② 5년주기 조사
- ③ 전항목에 대한 전수조사
- ④ 11월 1일이 조사기준시점
등록된 댓글이 없습니다.
5과목 : 교통관계법규
81. 차마는 도로의 중앙으로부터 우측부분을 통행하여야 하는 것이 원칙이다. 하지만 도로의 중앙이나 좌측부분을 통행할 수 있는 경우가 아닌 것은?
- ① 도로가 일방통행일 때
- ② 도로의 파손으로 우측부분을 통행할 수 없는 때
- ③ 도로의 좌측부분의 폭이 통행에 충분하지 아니한 때
- ④ 도로의 우측부분의 폭이 6미터가 되지 아니한 도로에서 다른차를 앞지르기하고자 하는 때. 다만, 반대방향의 교통을 방해할 염려가 없고, 앞지르기가 제한되지 아니한 경우
등록된 댓글이 없습니다.
82. 다음 중 도로의 구분에 따른 도시지역의 설계속도가 잘못된 것은?
- ① 고속도로 : 100km
- ② 주간선도로 : 80km
- ③ 보조간선도로 : 60km
- ④ 국지도로 : 50km
등록된 댓글이 없습니다.
83. 주차장의 설치의무가 면제되는 경우는 다음중 어느 경우인가?
- ① 부설주차장의 규모로 주차대수 10대 이하
- ② 시설물의 용도 및 규모에 있어 연면적 2천 제곱미터 이상의 위락시설
- ③ 도로교통법에 의한 차량통행의 금지되는 장소
- ④ 연면적 5천 제곱미터 이상의 숙박시설
등록된 댓글이 없습니다.
84. 국토의계획및이용에관한법률상 지구의 지정에서 보존지구를 지정하는 목적으로 옳은 것은?
- ① 문화재 보존을 위하여
- ② 자연경관 보존을 위하여
- ③ 그린벨트 보존을 위하여
- ④ 도시미관 유지를 위하여
등록된 댓글이 없습니다.
85. 도로의 종단경사는 도로의 설계속도에 따라 차이가 있다. 도로의 구조 시설기준에 관한 규칙에 설계속도 60km/hr인 평지부 간선도로에서의 일반적인 경우의 최대 종단경사는 얼마 이하인가?
- ① 2%
- ② 3%
- ③ 5%
- ④ 7%
등록된 댓글이 없습니다.
86. 도로의 유형중 지방도에 대한 설명으로 옳지 못한 것은?
- ① 도청소재지로 부터 시청 또는 군청소재지에 이르는 도로
- ② 시청 또는 군청소재지 상호간을 연결하는 도로
- ③ 중요도시, 지정항만, 중요한 비행장 또는 관광지등을 연결하며 고속국도와 함께 국가기간 도로망을 이루는 도로
- ④ 도내의 비행장, 항만, 역에서 이와 밀접한 관계가 있는 고속국도, 국도 또는 지방도를 연결하는 도로
등록된 댓글이 없습니다.
87. 다음 중 평균운행속도에 대한 설명으로 맞는 것은?
- ① 구간거리를 평균주행시간으로 나누어 구한다.
- ② 도로상의 일정구간을 통과하는 관측차량의 조화평균속도
- ③ 구간거리를 지체시간을 포함한 차량운행시간으로 나누어 구한다.
- ④ 도로상의 일정지점을 통과하는 관측차량의 산술평균속도
등록된 댓글이 없습니다.
88. 도시지역 일반도로에 적용되는 차로의 최소 폭원으로 잘못된 것은?
- ① 설계속도 80km/h 이상 : 3.25m
- ② 설계속도 70km/h 이상 : 3.25m
- ③ 설계속도 60km/h 미만 : 3.0m
- ④ 회전차로 : 2.5m 이상
등록된 댓글이 없습니다.
89. 다음은 도시기본계획의 수립을 위한 공청회 및 의견청취에 대한 설명이다. 틀린 것은?
- ① 특별시장, 광역시장, 시장, 군수 등은 공청회를 열어 주민 및 관계 전문가로부터 의견을 들어야 한다.
- ② 공청회를 개최하고자 하는 때에는 개최예정일 1일 전까지 1회이상 공고하여야 한다.
- ③ 공청회에서 제시된 의견이 타당하다면 도시기본계획수립에 반영하여야 한다.
- ④ 특별시장, 광역시장, 시장, 또는 군수는 도시기본계획 수립시 미리 당해 특별시, 광역시, 시, 또는 군의 의회의 의견을 들어야 한다.
등록된 댓글이 없습니다.
90. 지하매설물을 공동 수용함으로써 도시의 미관, 도로구조의 보전과 원활한 교통의 소통을 위하여 지하에 설치하는 시설물을 무엇이라고 하는가?
- ① 공동구
- ② 지하 관리구
- ③ 지하 공동구
- ④ 매설구
등록된 댓글이 없습니다.
91. 도시교통정비지역을 선정하는 기준은 무엇인가?
- ① 주차장면수
- ② 자동차등록대수
- ③ 상주인구
- ④ 행정구역
등록된 댓글이 없습니다.
92. 신호등이 없는 교차로에서 설계속도에 따른 최소시거가 틀린 것은?
- ① 설계속도 20km/h 에서 최소시거 25m
- ② 설계속도 40km/h 에서 최소시거 60m
- ③ 설계속도 30km/h 에서 최소시거 40m
- ④ 설계속도 60km/h 에서 최소시거 120m
등록된 댓글이 없습니다.
93. 도로의 관리청은 도로정비기본계획수립과 타당성 여부를 각각 몇 년마다 수립· 검토하는가?
- ① 10년, 5년
- ② 20년, 10년
- ③ 10년, 10년
- ④ 20년, 20년
등록된 댓글이 없습니다.
94. 도로교통법상 앞지르기가 금지된 장소를 나열한 것이다. 옳은 것은?
- ① 횡단보도, 교차로, 터널 안, 다리 위
- ② 비탈길의 고개마루 부근, 가파른 비탈길의 내리막
- ③ 도로의 구부러진 곳, 버스정류장 부근, 학교 앞
- ④ 가파른 비탈길의 오르막, 안전지대가 설치된 곳
등록된 댓글이 없습니다.
95. 도시교통정비기본계획의 수립을 위하여 다음과 같은 기초 조사를 하여야 한다. 필요조사 사항이 아닌 것은?
- ① 사회경제 지표현황
- ② 자동차 보유현황
- ③ 토지 이용현황
- ④ 자동차 생산시설현황
등록된 댓글이 없습니다.
96. 교통안전법상 교통안전 기본계획은 몇년마다 수립하는가?
- ① 10년
- ② 5년
- ③ 3년
- ④ 1년
등록된 댓글이 없습니다.
97. 도로를 개축하는 공사계획을 확정한 때에는 건설교통부령이 정하는 바에 의하여 지체없이 공고해야 하는 사항과 관계가 먼 것은?
- ① 공사시설의 방법
- ② 노선명
- ③ 당해공사의 구간
- ④ 시행기간
등록된 댓글이 없습니다.
98. 다음 교통영향평가 재평가 사유중에서 재평가를 시행할 수 있는 경우는?
- ① 사업지와 가장 근접한 도로에서 자동차의 평균주행속도가 교통영향평가 예측보다 30%이상 감소한 경우
- ② 사업지와 가장 근접한 도로에서 자동차의 평균주행속도가 교통영향평가 예측보다 10%이상 감소한 경우
- ③ 사업지와 가장 근접한 교차로에서 자동차의 평균지체가 교통영향평가 예측보다 30%이상 증가한 경우
- ④ 사업지와 가장 근접한 교차로에서 자동차의 평균지체가 교통영향평가 예측보다 10%이상 증가한 경우
등록된 댓글이 없습니다.
99. ( ) 속에 들어갈 내용은?

- ① 3
- ② 5
- ③ 7
- ④ 10
등록된 댓글이 없습니다.
100. 주차장법에 의한 주차장의 종류로 볼 수 없는 것은?
- ① 노상주차장
- ② 노외주차장
- ③ 부설주차장
- ④ 지하주차장
등록된 댓글이 없습니다.
6과목 : 교통안전
101. 다음 중 교통안전과 가장 밀접한 관계가 있는 시력은?
- ① 광안성
- ② 정지시력
- ③ 동체시력
- ④ 정사시력
등록된 댓글이 없습니다.
102. 교통사고에 대한 일반적인 설명 중 옳지 않은 것은?
- ① 교통사고는 속도가 높을수록 치사율은 높다.
- ② ㎞당 평균사고율은 지방부도로 보다 고속도로가 낮다.
- ③ 커브지점의 사고는 정면 충돌사고가 많다.
- ④ 교차로내의 사고는 주로 직각충돌 사고가 많다.
등록된 댓글이 없습니다.
103. 차량이 노면에서 미끄러질 때 감속도가 6.9m/sec2이었다면 마찰계수는 얼마인가?
- ① 0.5
- ② 0.7
- ③ 0.8
- ④ 0.9
등록된 댓글이 없습니다.
104. 사고경험에 기초한 위험지점 선정을 위해 사용되는 기법이 아닌 것은?
- ① 사고율법
- ② 사고건수법
- ③ 율-품질관리법
- ④ 사고위험율법
등록된 댓글이 없습니다.
105. 약한 지주와 강한 레일로 구성되어 충격차량을 억제하는데 주로 레일요소의 작용에 의존하는 방호책은?
- ① 연성방호책
- ② 반강성방호책
- ③ 강성방호책
- ④ 콘크리트방호책
등록된 댓글이 없습니다.
106. 사고충돌도의 범례 중 다음 그림이 상징하는 것은?

- ① 전복한 차량
- ② 측면충돌
- ③ 통제상실
- ④ 추돌사고
등록된 댓글이 없습니다.
107. 고속도로와 기타도로를 비교할 때 고속도로 수준의 도로설계가 줄일 수 있는 사고는?
- ① 단독차량 충돌
- ② 통제상실
- ③ 정면충돌
- ④ 추돌
등록된 댓글이 없습니다.
108. 운전면허 소지자 50,000명의 지난 5년간 사고경력을 조사하였다. 전체교통사고는 10,000건이다. 지난 5년간 3회 이상 교통사고를 일으킨 사람을 교통사고 상습자로 관리하고자 한다. 교통사고 상습자는 몇 명으로 추정되는가?
- ① 80인
- ② 75인
- ③ 66인
- ④ 57인
등록된 댓글이 없습니다.
109. 자동차가 주행할때 타이어의 공기압이 적은 상태이면 타이어 접지면이 압축되어 변형하면서 회전하므로 타이어가 물결치는 모양이 되는데 이러한 현상을 무엇이라고 하는가?
- ① 하이드로 플래닝(hydro planing)현상
- ② 스탠딩 웨이브(standing wave)현상
- ③ 스키드(skid)현상
- ④ 드라이브(drive)현상
등록된 댓글이 없습니다.
110. 교통사고연구를 위한 도시지역 도로의 표준구간장은?
- ① 0.8km
- ② 0.6km
- ③ 0.4km
- ④ 0.2km
등록된 댓글이 없습니다.
111. 사고의 재구성에 대한 설명 중 옳지 않은 것은?
- ① 사고의 재구성은 속도, 도로상에서의 위치에 대한 추론을 포함한다.
- ② 교통통제장비의 지각과 이해에 대한 추론은 관련이 없다.
- ③ 측량의 자료가 부족할 때 사진의 이용이 가능하면 재구성을 위한 도면자료를 얻기 위하여 기초적인 사진측량술을 이용할 수도 있다.
- ④ 사고의 재구성에서 가장 기본적인 것은 정지 및 미끄럼흔적, 회전시의 편주흔적, 가속 및 충돌흔적 등 도로의 타이어 자국을 인식할 수 있는 능력이다.
등록된 댓글이 없습니다.
112. 운전자의 반응과정을 바르게 연결한 것은?
- ① 주의 - 의사결정 - 반응 - 인식
- ② 인식 - 주의 - 의사결정 - 반응
- ③ 인식 - 주의 - 반응 - 의사결정
- ④ 주의 - 인식 - 의사결정 - 반응
등록된 댓글이 없습니다.
113. 50km의 도로 구간에서 1년동안 60건의 교통사고가 발생하였다. 조사결과 일평균교통량(ADT)이 8,000이고, 총 사고 건수중 5%가 치명적인 사고였다면 1억차량 km당 치명적사고 발생율은 얼마인가?
- ① 1.80
- ② 2.00
- ③ 2.05
- ④ 2.30
등록된 댓글이 없습니다.
114. EPDO가 의미하는 것은?
- ① 등가사망사고
- ② 등가중상사고
- ③ 등가경상사고
- ④ 등가물피사고
등록된 댓글이 없습니다.
115. 교통사고 충돌도에 관한 다음의 설명중 옳지 않는 것은?
- ① 사고의 패턴을 파악할 수 있다.
- ② 사고다발지점의 물리적 현황을 나타낸다.
- ③ 개선책의 시행에 따른 결과를 분석할수 있다.
- ④ 축척을 무시하고 작도된다.
등록된 댓글이 없습니다.
116. 율-품질관리법에서 가정하는 교통사고 발생분포는?
- ① 포아송 분포
- ② 이항분포
- ③ 음지수분포
- ④ 지수분포
등록된 댓글이 없습니다.
117. 각각 2차로인 도로가 직각으로 교차하는 교차로에서는 상충지점이 32개소가 나타나게 되어 사고의 위험요소로 작용한다. 만약 이교차로에서 각 진입로마다 좌회전을 금지시키면 상충지점은 몇 개로 감소하는가?
- ① 4
- ② 6
- ③ 12
- ④ 24
등록된 댓글이 없습니다.
118. 다음 중 운전자가 나타내는 여러가지 반응 중 반응시간이 가장 긴 것은?
- ① 반사반응(Reflex reaction)
- ② 단순반응(Simple reaction)
- ③ 복합반응(Complex reaction)
- ④ 판별반응(Discriminative reaction)
등록된 댓글이 없습니다.
119. 다음의 교통안전조치중 이동성과 상충하지 않는 조치는?
- ① 안전벨트
- ② 접근을 제한하는 가로배치
- ③ 속도제한
- ④ 과속방지턱
등록된 댓글이 없습니다.
120. 교통사고의 유발인자를 크게 세가지로 나눌 때 이에 속하지 않는 것은?
- ① 도로 사용자
- ② 교통정책
- ③ 차량
- ④ 환경
등록된 댓글이 없습니다.