위험물산업기사(2020. 8. 22.) 시험일자 : 2020년 8월 22일
1과목 : 일반화학
1. 액체 0.2g을 기화시켰더니 그 증기의 부피가 97℃, 740mmHg에서 80mL였다. 이 액체의 분자량에 가장 가까운 값은?
- ① 40
- ② 46
- ③ 78
- ④ 121
ㅇㅇ2025. 2. 12. 12:08삭제
M = dRT / P= (0.2/0.080) (0.08206) (273.15+97) / (740/760)
= 78 g/mol
콘칩2024. 4. 5. 10:25삭제
740/760 이네
해설2021. 8. 28. 14:23삭제
https://ywpop.tistory.com/17301
2. 원자량이 56인 금속 M 1.12g을 산화시켜 실험식이 MxOy인 산화물 1.60g을 얻었다. x, y는 각각 얼마인가?
- ① x = 1, y = 2
- ② x = 2, y = 3
- ③ x = 3, y = 2
- ④ x = 2, y = 1
ㅇㅇ2025. 2. 12. 13:00삭제
금속 M의 몰수
= 1.12 g / (56 g/mol) = 0.02 mol
산소 원자의 질량
= 1.60 – 1.12 = 0.48 g O
산소 원자의 몰수
= 0.48 g / (16 g/mol) = 0.03 mol
몰수의 가장 작은 정수비를 계산하면,
M : O = 0.02 : 0.03
= 2 : 3
해설2021. 12. 25. 22:11삭제
https://ywpop.tistory.com/16238
3. 백금 전극을 사용하여 물을 전기분해할 때 (+)극에서 5.6L의 기체가 발생하는 동안 (-)극에서 발생하는 기체의 부피는?
- ① 2.8L
- ② 5.6L
- ③ 11.2L
- ④ 22.4L
ㅇㅇ2025. 2. 12. 13:03삭제
▶ 환원전극(cathode): (–)극: 4H^+ + 4e^- → 2H2
▶ 산화전극(anode): (+)극: 2H2O → O2 + 4H^+ + 4e^-
▶ 전체 반응: 2H2O → 2H2 + O2
H2 : O2 = 2 : 1 계수비(= 몰수비) 이므로,
H2 : O2 = 2 : 1 = ? L : 5.6 L
? = 2 × 5.6 L = 11.2 L H2
해설2021. 8. 28. 14:24삭제
https://ywpop.tistory.com/17308
4. 방사성 원소인 U(우라늄)이 다음과 같이 변화되었을 때의 붕괴 유형은?

- ① α 붕괴
- ② β 붕괴
- ③ γ 붕괴
- ④ R 붕괴
해설2021. 8. 28. 14:25삭제
https://ywpop.tistory.com/17309
5. 다음 중 방향족 탄화수소가 아닌 것은?
- ① 에틸렌
- ② 톨루엔
- ③ 아닐린
- ④ 안트라센
해설2021. 8. 28. 14:26삭제
https://ywpop.tistory.com/17310
6. 전자배치가 1s22s22p63s23p5인 원자의 M껍질에는 몇 개의 전자가 들어 있는가?
- ① 2
- ② 4
- ③ 7
- ④ 17
위산기2026. 1. 16. 19:04삭제
K(1s2) L(2s2 2p6) M(3s2 3p5)
해설2021. 12. 25. 22:13삭제
https://ywpop.tistory.com/18658
7. 황산 수용액 400mL 속에 순황산이 98g 녹아 있다면 이 용액의 농도는 몇 N 인가?
- ① 3
- ② 4
- ③ 5
- ④ 6
해설2021. 8. 28. 14:27삭제
https://ywpop.tistory.com/17318
8. 다음 보기의 벤젠 유도체 가운데 벤젠의 치환반응으로부터 직접 유도할 수 없는 것은?

- ① ⓐ
- ② ⓑ
- ③ ⓒ
- ④ ⓐ, ⓑ, ⓒ
해설2021. 12. 25. 22:14삭제
https://ywpop.tistory.com/20267
9. 다음 각 화합물 1mol 이 완전연소할 때 3mol의 산소를 필요로 하는 것은?
- ① CH3 - CH3
- ② CH2 = CH2
- ③ C6H6
- ④ CH ≡ CH
위산기2026. 1. 17. 10:55삭제
CH2=CH2 + 3O2 → 2CO2 + 2H2O
ㅇㅇ2025. 5. 14. 16:37삭제
x+y/4 c2h4
2+1=3
답은2번 해설은 뭐라고설명하는건지 1도모르겠다
해설2021. 12. 25. 22:21삭제
https://ywpop.tistory.com/10558
10. 원자번호가 7인 질소와 같은 족에 해당되는 원소의 원자번호는?
- ① 15
- ② 16
- ③ 17
- ④ 18
해설2021. 12. 27. 11:40삭제
https://ywpop.tistory.com/20280
11. 1패러데이(Faraday)의 전기량으로 물을 전기분해 하였을 때 생성되는 기체 중 산소 기체는 0℃, 1기압에서 몇 L 인가?
- ① 5.6
- ② 11.2
- ③ 22.4
- ④ 44.8
ㅇㅇ2025. 5. 15. 13:15삭제
이새낀 이제보니까 정답만 끼워맞춰놓았네 검수안하냐?
TNT2023. 12. 26. 02:13삭제
답은 1번이 맞는데... 해설이 미흡하네요
해설2021. 8. 28. 14:31삭제
산소 기체는 5.6 L, 수소 기체는 11.2 L
https://ywpop.tistory.com/5655
ㄴㅇㄹ2021. 3. 9. 19:54삭제
답 2번입니다
12. 다음 화합물 중에서 가장 작은 결합각을 가지는 것은?
- ① BF3
- ② NH3
- ③ H2
- ④ BeCl2
ㅇㅇ2025. 5. 15. 13:30삭제
비공유전자쌍 유무문제
암모니아와 물만 기억하면됨 그이상은 투머치
해설2021. 8. 28. 14:33삭제
https://ywpop.tistory.com/18660
13. 지방이 글리세린과 지방산으로 되는 것과 관련이 깊은 반응은?
- ① 에스테르화
- ② 가수분해
- ③ 산화
- ④ 아미노화
해설2021. 12. 27. 11:29삭제
https://ywpop.tistory.com/20279
14. [OH-]=1×10-5mol/L 인 용액의 pH와 액성으로 옳은 것은?
- ① pH = 5, 산성
- ② pH = 5, 알칼리성
- ③ pH = 9, 산성
- ④ pH = 9, 알칼리성
해설2021. 12. 27. 11:32삭제
https://ywpop.tistory.com/18662
15. 다음에서 설명하는 법칙은 무엇인가?

- ① 헨리의 법칙
- ② 라울의 법칙
- ③ 아보가드로의 법칙
- ④ 보일-샤를의 법칙
해설2021. 8. 28. 14:34삭제
https://ywpop.tistory.com/18661
16. 질량수 52인 크롬의 중성자수와 전자수는 각각 몇 개인가? (단, 크롬의 원자번호는 24이다.)
- ① 중성자수 24, 전자수 24
- ② 중성자수 24, 전자수 52
- ③ 중성자수 28, 전자수 24
- ④ 중성자수 52, 전자수 24
해설2021. 12. 27. 11:31삭제
https://ywpop.tistory.com/17320
17. 다음 중 물이 산으로 작용하는 반응은?
- ① NH4+ + H2O → NH3 + H3O+
- ② HCOOH + H2O → HCOO- + H3O+
- ③ CH3COO- + H2O → CH3COOH + OH-
- ④ HCl + H2O → H3O+ + Cl-
응기잇2025. 2. 18. 17:00삭제
물은 "양쪽성 물질"=(acid,bass 가능) 음이온이면 수소를 받을 수 있는 물질이니 (수소 받개) 여기선 물이 산으로 작용
해설2021. 12. 27. 11:42삭제
https://ywpop.tistory.com/18664
18. 일정한 온도하에서 물질 A와 B가 반응을 할 때 A의 농도만 2배로 하면 반응속도가 2배가 되고 B의 농도만 2배로 하면 반응속도가 4배로 된다. 이 경우 반응속도식은? (단, 반응속도 상수는 k 이다.)
- ① v = k [A][B]2
- ② v = k [A]2[B]
- ③ v = k [A][B]0.5
- ④ v = k [A][B]
해설2021. 12. 27. 11:43삭제
https://ywpop.tistory.com/19990
19. 다음 물질 1g 당 1kg의 물에 녹였을 때 빙점강하가 가장 큰 것은? (단, 빙점강하 상수값(어느점 내림상수)은 동일하다고 가정한다.)
- ① CH3OH
- ② C2H5OH
- ③ C3H5(OH)3
- ④ C6H12O6
해설2021. 8. 28. 14:35삭제
https://ywpop.tistory.com/18663
20. 다음 밑줄 친 원소 중 산화수가 +5 인 것은?
- ① Na2Cr2O7
- ② K2SO4
- ③ KNO3
- ④ CrO3
해설2021. 8. 28. 14:36삭제
https://ywpop.tistory.com/18894
2과목 : 화재예방과 소화방법
21. 위험물안전관리법령상 이동탱크저장소에 의한 위험물의 운송 시 위험물운송자가 위험물안전카드를 휴대하지 않아도 되는 물질은?
- ① 휘발유
- ② 과산화수소
- ③ 경유
- ④ 벤조일퍼옥사이드
등록된 댓글이 없습니다.
22. 분말소화약제인 탄산수소나트륨 10kg이 1기압, 270℃에서 방사되었을 때 발생하는 이산화탄소의 양은 약 몇 m3 인가?
- ① 2.65
- ② 3.65
- ③ 18.22
- ④ 36.44
응기잇2025. 2. 18. 17:13삭제
1.PV=nRT 사용
1-1) NaHCO3 =84g/mol 임.
1-2) V=(nRT)/P => V=[(10000/84g)*0.0821*(273.15+270)]/1atm 의 결과값은 5308L => 5.31m^3
2. 반응식 확인
2-1) 2NaHCO3 -> Na2HCO3 + H2O + CO2
2-2) 2:1 반응이므로 2:1=5.3m^3 : CO2 ===> 2.65m^3(CO2)
해설2021. 12. 27. 11:52삭제
https://ywpop.tistory.com/11213
23. 주된 연소형태가 분해연소인 것은?
- ① 금속분
- ② 유황
- ③ 목재
- ④ 피크르산
등록된 댓글이 없습니다.
24. 포 소화약제의 종류에 해당되지 않는 것은?
- ① 단백포소화약제
- ② 합성계면활성제포소화약제
- ③ 수성막포소화약제
- ④ 액표면포소화약제
등록된 댓글이 없습니다.
25. 전역방출방식의 할로겐화물소화설비 중 하론 1301을 방사하는 분사헤드의 방사압력은 얼마 이상이어야 하는가?
- ① 0.1 MPa
- ② 0.2 MPa
- ③ 0.5 MPa
- ④ 0.9 MPa
등록된 댓글이 없습니다.
26. 드라이아이스 1kg 이 완전히 기화하면 약 몇 몰의 이산화탄소가 되겠는가?
- ① 22.7
- ② 51.3
- ③ 230.1
- ④ 515.0
해설2021. 12. 27. 11:49삭제
https://ywpop.tistory.com/20281
27. 위험물안전관리법령상 전역방출방식 또는 국소방출방식의 분말소화설비의 기준에서 가압식의 분말소화설비에는 얼마 이하의 압력으로 조정할 수 있는 압력조정기를 설치하여야 하는가?
- ① 2.0 MPa
- ② 2.5 MPa
- ③ 3.0 MPa
- ④ 5 MPa
등록된 댓글이 없습니다.
28. 다음 위험물의 저장창고에서 화재가 발생하였을 때 주수에 의한 냉각소화가 적절치 않은 위험물은?
- ① NaClO3
- ② Na2O2
- ③ NaNO3
- ④ NaBrO3
등록된 댓글이 없습니다.
29. 이산화탄소가 불연성이 이유를 옳게 설명한 것은?
- ① 산소와의 반응이 느리기 때문이다.
- ② 산소와 반응하지 않기 때문이다.
- ③ 착화되어도 곧 불이 꺼지기 때문이다.
- ④ 산화반응이 일어나도 열 발생이 없기 때문이다.
등록된 댓글이 없습니다.
30. 특수인화물이 소화설비 기준 적용상 1 소요단위가 되기 위한 용량은?
- ① 50L
- ② 100L
- ③ 250L
- ④ 500L
등록된 댓글이 없습니다.
31. 이산화탄소 소화기의 장·단점에 대한 설명으로 틀린 것은?
- ① 밀폐된 공간에서 사용 시 질식으로 인명피해가 발생할 수 있다.
- ② 전도성이어서 전류가 통하는 장소에서의 사용은 위험하다.
- ③ 자체의 압력으로 방출할 수가 있다.
- ④ 소화 후 소화약제에 의한 오손이 없다.
등록된 댓글이 없습니다.
32. 질산의 위험성에 대한 설명으로 옳은 것은?
- ① 화재에 대한 직·간접적인 위험성은 없으나 인체에 묻으면 화상을 입는다.
- ② 공기 중에서 스스로 자연발화 하므로 공기에 노출되지 않도록 한다.
- ③ 인화점 이상에서 가연성 증기를 발생하여 점화원이 있으면 폭발한다.
- ④ 유기물질과 혼합하면 발화의 위험성이 있다.
등록된 댓글이 없습니다.
33. 분말소화기에 사용되는 소화약제의 주성분이 아닌 것은?
- ① NH4H2PO4
- ② Na2SO4
- ③ NaHCO3
- ④ KHCO3
등록된 댓글이 없습니다.
34. 마그네슘 분말이 이산화탄소 소화약제와 반응하여 생성될 수 있는 유독기체의 분자량은?
- ① 26
- ② 28
- ③ 32
- ④ 44
해설2021. 12. 27. 12:04삭제
https://ywpop.tistory.com/20282
35. 위험물안전관리법령상 알칼리금속과산화물의 화재에 적응성이 없는 소화설비는?
- ① 건조사
- ② 물통
- ③ 탄산수소염류 분말소화설비
- ④ 팽창질석
등록된 댓글이 없습니다.
36. 위험물제조소의 환기설비 설치 기준으로 옳지 않은 것은?
- ① 환기구는 지붕위 또는 지상 2m 이상의 높이에 설치할 것
- ② 급기구는 바닥면적 150m2 마다 1개 이상으로 할 것
- ③ 환기는 자연배기방식으로 할 것
- ④ 급기구는 높은 곳에 설치하고 인화방지망을 설치할 것
등록된 댓글이 없습니다.
37. 위험물제조소등에 설치하는 옥외소화전설비에 있어서 옥외소화전함은 옥외소화전으로부터 보행거리 몇 m 이하의 장소에 설치하는가?
- ① 2
- ② 3
- ③ 5
- ④ 10
등록된 댓글이 없습니다.
38. 화재 종류가 옳게 연결된 것은?
- ① A급화재 - 유류화재
- ② B급화재 - 섬유화재
- ③ C급화재 - 전기화재
- ④ D급화재 – 플라스틱화재
등록된 댓글이 없습니다.
39. 수성막포소화약제에 대한 설명으로 옳은 것은?
- ① 물보다 비중이 작은 유류의 화재에는 사용할 수 없다.
- ② 계면활성제를 사용하지 않고 수성의 막을 이용한다.
- ③ 내열성이 뛰어나고 고온의 화재일수록 효과적이다.
- ④ 일반적으로 불소계 계면활성제를 사용한다.
등록된 댓글이 없습니다.
40. 다음 중 발화점에 대한 설명으로 가장 옳은 것은?
- ① 외부에서 점화했을 때 발화하는 최저온도
- ② 외부에서 점화했을 때 발화하는 최고온도
- ③ 외부에서 점화하지 않더라도 발화하는 최저온도
- ④ 외부에서 점화하지 않더라도 발화하는 최고온도
등록된 댓글이 없습니다.
3과목 : 위험물의 성질과 취급
41. 황린이 자연발화하기 쉬운 이유에 대한 설명으로 가장 타당한 것은?
- ① 끓는점이 낮고 증기압이 높기 때문에
- ② 인화점이 낮고 조연성 물질이기 때문에
- ③ 조해성이 강하고 공기 중의 수분에 의해 쉽게 분해되기 때문에
- ④ 산소와 친화력이 강하고 발화온도가 낮기 때문에
등록된 댓글이 없습니다.
42. 보기 중 칼륨가 트리에틸알루미늄과 공통 성질을 모두 나타낸 것은?

- ① ⓐ
- ② ⓑ
- ③ ⓒ
- ④ ⓑ, ⓒ
등록된 댓글이 없습니다.
43. 탄화칼슘은 물과 반응하면 어떤 기체가 발생하는가?
- ① 과산화수소
- ② 일산화탄소
- ③ 아세틸렌
- ④ 에틸렌
해설2021. 12. 27. 12:12삭제
https://ywpop.tistory.com/20283
44. 다음 중 물이 접촉되었을 때 위험성(반응성)이 가장 작은 것은?
- ① Na2O2
- ② Na
- ③ MgO2
- ④ S
등록된 댓글이 없습니다.
45. 위험물안전관리법령상 제6류 위험물에 해당하는 물질로서 햇빛에 의해 갈색의 연기를 내며 분해할 위험이 있으므로 갈색병에 보관해야 하는 것은?
- ① 질산
- ② 황산
- ③ 염산
- ④ 과산화수소
등록된 댓글이 없습니다.
46. 디에틸에테르를 저장, 취급할 때의 주의사항에 대한 설명으로 틀린 것은?
- ① 장시간 공기와 접촉하고 있으면 과산화물이 생성되어 폭발의 위험이 생긴다.
- ② 연소범위는 가솔린보다 좁지만 인화점과 착화온도가 낮으므로 주위하여야 한다.
- ③ 정전기 발생에 주의하여 취급해야 한다.
- ④ 화재 시 CO2 소화설비가 적응성이 있다.
등록된 댓글이 없습니다.
47. 다음 위험물 중 인화점이 약 –37℃ 인 물질로서 구리, 은, 마그네슘 등과 금속과 접촉하면 폭발성 물질인 아세틸라이드를 생성하는 것은?
- ① CH3CHOCH2
- ② C2H5OC2H5
- ③ CS2
- ④ C6H6
등록된 댓글이 없습니다.
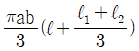
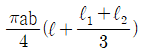
48. 그림과 같은 위험물 탱크에 대한 내용적 계산방법으로 옳은 것은?

- ①

- ②

- ③

- ④

등록된 댓글이 없습니다.
49. 온도 및 습도가 높은 장소에서 취급할 때 자연발화의 위험이 가장 큰 물질은?
- ① 아닐린
- ② 황화린
- ③ 질산나트륨
- ④ 셀룰로이드
등록된 댓글이 없습니다.
50. 위험물안전관리법령상 위험물의 취급기준 중 소비에 관한 기준으로 틀린 것은?
- ① 열처리 작업은 위험물이 위험한 온도에 이르지 아니하도록 하여 실시하여야 한다.
- ② 담금질 작업은 위험물이 위험한 온도에 이르지 아니하도록 하여 실시하여야 한다.
- ③ 분사도장 작업은 방화상 유효한 격벽 등으로 구획한 안전한 장소에서 하여야 한다.
- ④ 버너를 사용하는 경우에는 버너의 역화를 유지하고 위험물이 넘치지 아니하도록 하여야 한다.
등록된 댓글이 없습니다.
51. 저장·수송할 때 타격 및 마찰에 의한 폭발을 막기 위해 물이나 알코올로 습면시켜 취급하는 위험물은?
- ① 니트로셀룰로오스
- ② 과산화벤조일
- ③ 글리세린
- ④ 에틸렌글리콜
등록된 댓글이 없습니다.
52. 제4류 위험물을 저장하는 이동탱크저장소의 탱크 용량이 19000L 일 때 탱크의 칸막이는 최소 몇 개를 설치해야 하는가?
- ① 2
- ② 3
- ③ 4
- ④ 5
등록된 댓글이 없습니다.
53. 위험물안전관리법령상 제4류 위험물 옥외저장탱크의 대기밸브부착 통기관은 몇 kPa 이하의 압력차이로 작동할 수 있어야 하는가?
- ① 2
- ② 3
- ③ 4
- ④ 5
등록된 댓글이 없습니다.
54. 위험물안전관리법령상 위험물제조소의 위험물을 취급하는 건축물의 구성부분 중 반드시 내화구조로 하여야 하는 것은?
- ① 연소의 우려가 있는 기둥
- ② 바닥
- ③ 연소의 우려가 있는 외벽
- ④ 계단
등록된 댓글이 없습니다.
55. 물보다 무겁고, 물에 녹지 않아 저장 시 가연성 증기발생을 억제하기 위해 수조 속의 위험물탱크에 저장하는 물질은?
- ① 디에틸에테르
- ② 에탄올
- ③ 이황화탄소
- ④ 아세트알데히드
등록된 댓글이 없습니다.
56. 금속나트륨의 일반적인 성질로 옳지 않은 것은?
- ① 은백색의 연한 금속이다.
- ② 알코올 속에 저장한다.
- ③ 물과 반응하여 수소가스를 발생한다.
- ④ 물보다 비중이 작다.
해설2021. 12. 27. 14:50삭제
https://ywpop.tistory.com/20284
57. 다음 위험물 중에서 인화점이 가장 낮은 것은?
- ① C6H5CH3
- ② C6H5CHCH2
- ③ CH3OH
- ④ CH3CHO
위산기2026. 1. 17. 17:01삭제
CH3CHO 아세트알데하이드(아세트알데히드) 인화점 -38℃
58. 과염소산칼륨과 적린을 혼합하는 것이 위험한 이유로 가장 타당한 것은?
- ① 마찰열이 발생하여 과염소산칼륨이 자연발화할 수 있기 때문에
- ② 과염소산칼륨이 연소하면서 생성된 연소열이 적린을 연소시킬 수 있기 때문에
- ③ 산화제인 과염소산칼륨과 가연물인 적린이 혼합하면 가열, 충격 등에 의해 연소·폭발할 수 있기 때문에
- ④ 혼합하면 용해되어 액상 위험물이 되기 때문에
등록된 댓글이 없습니다.
59. 1기압 27℃에서 아세톤 58g을 완전히 기화시키면 부피는 약 몇 L가 되는가?
- ① 22.4
- ② 24.6
- ③ 27.4
- ④ 58.0
위산기2026. 1. 17. 17:04삭제
아세톤 분자량 CH3COCH3 = C3H6O = (12*3)+(1*6)+16 = 58
해설2021. 12. 27. 14:51삭제
https://ywpop.tistory.com/7541
60. 염소산칼륨에 대한 설명 중 틀린 것은?
- ① 촉매 없이 가열하면 약 400℃에서 분해한다.
- ② 열분해하여 산소를 방출한다.
- ③ 불연성물질이다.
- ④ 물, 알코올, 에테르에 잘 녹는다.
leeslee2026. 2. 13. 15:04삭제
정답이 3이네