기상기사(2016. 8. 21.) 시험일자 : 2016년 8월 21일
1과목 : 기상관측법
1. 강수량으로 취급되지 않는 것은?
- ① 연무
- ② 우박
- ③ 강설량
- ④ 이슬 및 서리
등록된 댓글이 없습니다.
2. 강수량계 주위에 설치하는 바람막이의 역할과 가장 거리가 먼 것은?
- ① 강수량계 주위에 기류를 수평으로 만든다.
- ② 바람에 따라 소리를 내게 해서 조류의 접근을 막는다.
- ③ 강수량계 측면으로 불어오는 풍속을 감소시킨다.
- ④ 강수량계 주위에 떨어진 물방울이 강수량계로 튀어 들어오는 것을 막는다.
등록된 댓글이 없습니다.
3. 풍향에 관한 설명으로 틀린 것은?
- ① 바람이 불어오는 방향을 풍향이라 한다.
- ② 풍속이 0.2m/s 이하일 때는 풍향은 없는 것으로 한다.
- ③ 평균풍향은 관측시간 내의 풍향을 각도로 나타내어 산술평균하여 나타낸다.
- ④ 국제적으로 일기도용 등에서는 풍향은 관측시각 전 10분간의 평균풍향을 말한다.
등록된 댓글이 없습니다.
4. 기상전보에서 일반적으로 풍향을 나타내는 방위는?
- ① 8방위
- ② 16방위
- ③ 32방위
- ④ 36방위
등록된 댓글이 없습니다.
5. 직달 일사량을 관측할 수 있는 일사계는?
- ① Pyranometer
- ② Pyrgeometer
- ③ Pyrheliometer
- ④ Pyrradiometer
등록된 댓글이 없습니다.
6. 습기흡수로 인한 물리적 차원(physical dimension)의 변화에 의존하여 습도를 측정하는 습도계가 아닌 것은?
- ① 건습구 온도계(psychrometer)
- ② 모발 습도계(hair hygrometer)
- ③ 토션 습도계(torsion hygrometer)
- ④ 골드비터 막 습도계(goldbeater's skin hygrometer)
등록된 댓글이 없습니다.
7. 항공기상 관측에서 일기상태가 양호하여 각 기상 요소를 모두 관측할 필요가 없을 때 운항실무자에게 신속히 전달하기 위해 마련된 용어는?
- ① IFR
- ② VFR
- ③ PIREP
- ④ CAVOK
등록된 댓글이 없습니다.
8. 야간 수평시정 관측용으로 일정거리에 시정 목표로서 광원이 있다. 야간시정에 미치는 영향이 가장 적은 것은?
- ① 광원의 밝기
- ② 대기의 습도
- ③ 안개의 유무
- ④ 대기의 투명도
등록된 댓글이 없습니다.
9. 대기수상(hydro meteors)이 아닌 것은?
- ① 박무(mist)
- ② 무빙(rime)
- ③ 무지개(rainbow)
- ④ 날린 눈(blowing snow)
등록된 댓글이 없습니다.
10. 로테이팅 빔 운고계(rotating beam celiometer)는 무엇을 측정하는 측기인가?
- ① 시정
- ② 대기 혼탁도
- ③ 최저 운저 고도
- ④ 구름의 형태(운형)
등록된 댓글이 없습니다.
11. 고정된 고도각에서 전체 360° 방위각으로 레이더를 스캐닝하여 표출하는 반사도 지시방법은?
- ① PPI
- ② RHI
- ③ VAD
- ④ VVP
등록된 댓글이 없습니다.
12. 기상관측요소와 관측단위의 관계가 틀린 것은?
- ① 일조 – watt
- ② 운량 – oktas
- ③ 토양수분 - %
- ④ 일사량 – cal/cm2•min
등록된 댓글이 없습니다.
13. 기상위성의 적외영상에 대한 설명으로 틀린 것은?
- ① 운정고도를 관측할 수 있다.
- ② 지표면온도를 측정할 수 있다.
- ③ 낮과 밤 구분없이 항시 관측할 수 있다.
- ④ 두터운 구름과 얇은 구름을 식별할 수 있다.
등록된 댓글이 없습니다.
14. 고층 관측 시 사용되는 라디오존데 부착용 기구(balloon)에 주로 사용되는 주입가스의 종류는?
- ① 오존
- ② 질소
- ③ 헬륨
- ④ 이산화탄소
등록된 댓글이 없습니다.
15. 수은기압계에 대한 보정 순서로 옳은 것은?
- ① 온도보정 – 기차보정 – 중력보정
- ② 온도보정 – 중력보정 – 기차보정
- ③ 기차보정 – 온도보정 – 중력보정
- ④ 중력보정 – 온도보정 – 기차보정
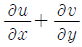
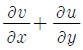
등록된 댓글이 없습니다.
16. 햇무리나 달무리는 어떤 운형의 구름이 있을 때 가장 잘 나타나는가?
- ① 권운(Ci)
- ② 고적운(Ac)
- ③ 고층운(As)
- ④ 권층운(Cs)
등록된 댓글이 없습니다.
17. 증발계에 관한 설명 중 틀린 것은?
- ① 대형 증발계의 구경은 150cm, 깊이는 50cm이다.
- ② 대형 증발계의 검정공차는 기차 ±0.02mm 이내로 되어있다.
- ③ 증발계의 물빝에 먼지와 불순물이 가라앉아 있을 때에는 물을 교환해야 한다.
- ④ 소형 증발계의 조피망은 야간 또는 강수현상이 있을 때에는 반드시 제거해야 한다.
등록된 댓글이 없습니다.
18. 황사현상이 나타났을 때 가장 현저하게 변화하는 기상 요소는?
- ① 기온
- ② 습도
- ③ 시정
- ④ 일조시간
등록된 댓글이 없습니다.
19. 다음 설명 중 틀린 것은?
- ① 이슬점온도는 증기압과 반비례한다.
- ② 절대습도는 대기 중에 실제로 포함되어 있는 수증기의 절대량이다.
- ③ 혼합비는 단위질량(1kg)의 건조공기와 공존하고 있는 수증기의 질량이다.
- ④ 비습은 단위질량(1kg)의 보통대기(습윤대기) 중에 포함되어 있는 수증기의 질량이다.
등록된 댓글이 없습니다.
20. 기상위성 관측에 사용되는 파장대에 대한 설명으로 틀린 것은?
- ① 적외채널은 지표면과 해수면의 온도 등의 관측에 유용하다.
- ② 마이크로파는 대기의 입자, 수증기, 구름에서 감쇄를 많이 받는다.
- ③ 수증기채널은 6.5~7.0 ㎛ 파장대로서 중간적외영역에 해당한다.
- ④ 가시채널은 하층운, 안개, 적설, 해빙 등의 기상현상을 식별하는데 유용하다.
등록된 댓글이 없습니다.
2과목 : 대기열역학
21. 대기압이 1000hPa인 지표면 부근에서 1hPa의 층후가 A m라고 한다면, 밀도가 그 1/2정도인 500hPa고도에서 1hPa의 층후는 대략 얼마정도인가?
- ① 0.5A m
- ② A m
- ③ 2A m
- ④ 4A m
등록된 댓글이 없습니다.
22. 조건부 불안정에 해당하는 대기의 상태는? (단, γ는 대기의 기온감률이며, Γd, Γs는 각각 건조공기와 습윤공기에 대한 기온감률이다.)
- ① Γd<γ<Γs
- ② Γs<γ<Γd
- ③ Γs<Γd<γ
- ④ Γd<Γs<γ
등록된 댓글이 없습니다.
23. 건조대기의 불안정을 표시한 것은? (단, Γ는 주위대기의 기온감률, N은 부력진동수, Γd는 건조단열감률, θ는 온위, z는 연직좌표)
- ① N2<0
- ② Γ<Γd
- ③

- ④

등록된 댓글이 없습니다.
24. 밀도가 1kg/m3인 균질대기에서 1000hPa-500hPa 간의 평균 두께는? (단, 여기서 중력은 10m/s2로 일정하다고 가정한다.)
- ① 5 km
- ② 5.5 km
- ③ 6 km
- ④ 10 km
등록된 댓글이 없습니다.
25. 1000hPa면의 공기가 500hPa면의 고도까지 단열적으로 상승하였다. 다음 중 옳은 것은?
- ① 이 공기의 위치에너지와 엔트로피는 모두 감소했다.
- ② 이 공기의 위치에너지와 엔트로피는 모두 증가했다.
- ③ 이 공기의 위치에너지는 증가했으나 엔트로피는 감소했다.
- ④ 이 공기의 위치에너지는 증가했으나 엔트로피는 일정하다.
등록된 댓글이 없습니다.
26. 건조단열기온감률을 옳게 나타낸 식은? (단, g는 중력가속도, CP는 정압비열이다.)
- ①

- ②

- ③ CP×g
- ④ CP+g
등록된 댓글이 없습니다.
27. 열역학선도(혹은 대기선도)가 갖추어야 할 조건으로 적합하지 않은 것은?
- ① 등치선은 곡선보다 직선이어야 판별하기 쉽다.
- ② 성층권 내의 고도에 대한 고층 관측치가 기입될 수 있어야 좋다.
- ③ 대기의 수직분포와 선도상의 수직분포가 일대일 대응하는 것이 좋다.
- ④ 단열선(adiabats)과 등온선이 이루는 각은 매우 작아야 안정도 결정에 용이하다.
등록된 댓글이 없습니다.
28. 불포화 상태의 두 공기를 등압 상태에서 혼합할 때, 다음 중 어떠한 결과가 가능한가?
- ① 두 공기의 온도차가 크면 과포화가 가능하다.
- ② 과포화는 불가능하지만 포화 상태는 가능하다.
- ③ 두 공기의 온도차가 작을수록 과포화가 가능하다.
- ④ 불포화인 두 공기를 혼합했으므로 과포화는 절대 불가능하다.
등록된 댓글이 없습니다.
29. Clausius-Clapeyron 방정식이 의미하는 것은?
- ① 고도변화에 대한 기압의 변화
- ② 기압변화에 대한 기온의 변화
- ③ 기온변화에 대한 체적의 변화
- ④ 기온변화에 대한 포화증기압의 변화
등록된 댓글이 없습니다.
30. 이상기체의 상태 방정식에 관한 설명으로 가장 적절한 것은?
- ① 기체의 밀도, 부피, 온도 사이의 관계식이다.
- ② 기체의 압력, 부피, 온도 사이의 관계식이다.
- ③ 기체의 압력, 점성, 온도 사이의 관계식이다.
- ④ 기체의 질량, 부피, 온도 사이의 관계식이다.
등록된 댓글이 없습니다.
31. 기체의 정압비열의 크기에 대한 설명으로 옳은 것은?
- ① 풍속에 따라 다르다.
- ② 풍향에 따라 다르다.
- ③ 절대온도에 따라 다르다.
- ④ 기체의 종류에 따라 다르다.
등록된 댓글이 없습니다.
32. 액체의 물이 증발하여 수증기가 될 때, 필요한 잠열(潛熱, latent heat)은?
- ① 빙결열
- ② 승화열
- ③ 융해열
- ④ 증발열
등록된 댓글이 없습니다.
33. 기온이 20℃일 때 포화수증기압은 23.373hPa 이다. 이 때 상대습도가 60%라면 현재 수증기압은 몇 hPa인가?
- ① 14.023
- ② 23.373
- ③ 46.746
- ④ 70.119
등록된 댓글이 없습니다.
34. 상승한 공기덩이가 LCL에 도달한 후 원래의 기압면 고도까지 포화혼합비선을 따라 내려왔을 때의 온도는?
- ① 상당온도
- ② 습구온도
- ③ 습구온위
- ④ 이슬점온도
등록된 댓글이 없습니다.
35. 다음 중 온도(기상학적 온도)의 단위를 가지지 않은 것은?
- ① 온위
- ② 가온도
- ③ 혼합비
- ④ 습구온도
등록된 댓글이 없습니다.
36. 대기 중에서 내부에너지의 변화는 어떻게 표현되는가? (단, CV: 정적비열, CP: 정압비열, T : 온도, p: 압력, V: 체적, α: 비적)
- ① pㆍdα
- ② pㆍdV
- ③ CPㆍdT
- ④ CVㆍdT
등록된 댓글이 없습니다.
37. 1 Joule은 약 몇 cal의 열량에 해당되는가?
- ① 0.04
- ② 0.24
- ③ 2.45
- ④ 4.20
등록된 댓글이 없습니다.
38. 다음 중 비기체상수가 가장 큰 기체는?
- ① 수증기
- ② 건조 공기
- ③ 습윤 공기
- ④ 이산화탄소
등록된 댓글이 없습니다.
39. 단열선도에 포함되지 않는 선은?
- ① 등온선
- ② 건조단열선
- ③ 상대습도선
- ④ 포화혼합비선
등록된 댓글이 없습니다.
40. 아래 식은 기압과 고도의 관계를 나타내는 식이다. 어떤 상태를 가정하고 유도한 것인가? (단, P는 기압, z는 고도, P0는 지상기압, T는 절대온도, R은 공기의 기체상수, g는 중력가속도)

- ① 등밀대기
- ② 등온대기
- ③ 표준대기
- ④ 건조단열대기
등록된 댓글이 없습니다.
3과목 : 대기운동학
41. 다음 그림은 200hPa 고도에서 제트류의 모습이다. 그림의 지점 중에서 음의 와도가 가장 클 것으로 판단되는 곳은?

- ① A
- ② B
- ③ C
- ④ D
등록된 댓글이 없습니다.
42. 지표면 근처에서의 수평순환 면적을 A, 이 면적에 대한 적도면 투영 면적을 Ae, 지구자전각속도를 Ω라 할 때, 절대순환과 상대순환의 차는?
- ① ΩA
- ② ΩAe
- ③ 2ΩA
- ④ 2ΩAe
등록된 댓글이 없습니다.
43. 북위 30도에 위치한 어떤 공기덩이가 5.0×10-5/s의 절대 소용돌이도를 가지고 있다. 공기덩이가 절대소용돌이도를 보존하면서 북위 90도로 이동하였을 때 갖게 되는 상대소용돌이도는? (단, 북극에서 지구자전에 의한 행성소용돌이도는 1.4×10-4/s)
- ① -9.0×10-5/s
- ② -7.2×10-5/s
- ③ 3.6×10-5/s
- ④ 19.0×10-5/s
등록된 댓글이 없습니다.
44. 지균풍(geostrophic wind)의 발산(divergence)은? (단, Ug, Vg는 각각 동서 및 남북방향의 지균풍 성분, a는 지구반경, ø는 위도이다.)
- ①

- ②

- ③

- ④

등록된 댓글이 없습니다.
45. 공기덩이를 수직방향으로 δz만큼 이동시켰을 때 이 공기덩이가 받는 가속도는 아래와 같이 표시된다. 이 때 N이 나타내는 것은?

- ① Rossby number
- ② Reynolds number
- ③ Richardson number
- ④ Brunt Vaisala frequency
등록된 댓글이 없습니다.
46. 대기 순환에서 각운동량은 적도에서 중위도와 극으로 수송된다. 이 때 적도에서 고위도로 수송되는 각운동량은 어떻게 생성되는가?
- ① 적도 상공에서의 생성
- ② 지구자전으로 인한 생성
- ③ 편서풍지역으로부터의 수송
- ④ 편동풍지역에서 마찰에 의한 생성
등록된 댓글이 없습니다.
47. 연직속도를 추정하는 방법에 운동학적 방법이 있다. 이 방법은 무슨 방정식을 사용하는가?
- ① 상태 방정식
- ② 연속 방정식
- ③ 운동량 방정식
- ④ 열역학에너지 방정식
등록된 댓글이 없습니다.
48. 그림과 같이 유체의 흐름방향으로의 단위벡터를 , 이 벡터의 왼쪽으로 직교하는 단위벡터를 , 연직방향의 단위벡터를 , 그리고 곡률반경을 R이라 한다면, 다음 중 수평가속도를 옳게 표시한 것은? (단, V는 유체의 속력을 나타낸다.)

- ①

- ②

- ③

- ④

등록된 댓글이 없습니다.
49. 북반구의 상이한 두 등압면 고도를 나타낸 다음 그림 중, 온도풍의 방향은?

- ① A
- ② B
- ③ C
- ④ D
등록된 댓글이 없습니다.
50. 아열대성 고기압대에 사막이 생기는 가장 큰 이유는?
- ① 고온의 영향
- ② 해류의 영향
- ③ 현열의 이동
- ④ 하강기류의 지속
등록된 댓글이 없습니다.
51. 기압경도력에 대하여 옳게 설명한 것은?
- ① 두 등압선 간격이 넓은 곳에서 더 강하다.
- ② 두 지점 사이에서는 기압차가 클수록 강하다.
- ③ 지상일기도에서는 공기의 밀도와 관련이 없다.
- ④ 등압선 간격이 같을 때 고위도보다 저위도에서 더 강하다.
등록된 댓글이 없습니다.
52. 북반구 중위도 상공에서 그림처럼 기류가 흐르고 있다. A와 C에서의 상대소용돌이도는?

- ① A에서는 감소하고 C에서는 일정하다.
- ② A에서는 감소하고 C에서는 증가한다.
- ③ A에서는 증가하고 C에서는 일정하다.
- ④ A에서는 증가하고 C에서는 감소한다.
등록된 댓글이 없습니다.
53. 연직운동방정식의 다음 항 중에서 종관규모 운동의 경우에 가장 적은 것은?
- ① 중력항
- ② 가속도항
- ③ 지구곡률항
- ④ 기압경도력항
등록된 댓글이 없습니다.
54. 그림으로부터 지균풍속을 구하는 공식은? (단, ρ는 대기밀도, Ω는 지구의 각속도, ø는 위도)

- ①

- ②

- ③

- ④

등록된 댓글이 없습니다.
55. 가장 지속적인 방향을 가진 바람은?
- ① 무역풍
- ② 편서풍
- ③ 해양풍
- ④ 제트기류
등록된 댓글이 없습니다.
56. 편서풍대의 제트기류는 보통 어느 정도의 높이에 있는가?
- ① 5 km
- ② 12 km
- ③ 20 km
- ④ 25 km
등록된 댓글이 없습니다.
57. 열대성 저기압 시스템의 주된 발달 기구(mechanism)는?
- ① 에디 운동 에너지
- ② 동서 평균 운동 에너지
- ③ 수증기 응결에 의한 잠열 방출
- ④ 비균질 가열에 의한 에디 위치 에너지
등록된 댓글이 없습니다.
58. 관성류(inertial flow)의 설명 중 틀린 것은?
- ① 주기는 반진자일과 같다.
- ② 기압경도력과 원심력이 평형을 이룬다.
- ③ 북반구에서 항상 고기압성 운동을 한다.
- ④ 원운동을 하며 이 원의 반경을 관성반경이라 한다.
등록된 댓글이 없습니다.
59. 일반적으로 마찰층의 상부는 어느 고도에 위치하는가?
- ① 300 ~ 500 m
- ② 1000 ~ 1500 m
- ③ 2000 ~ 3000 m
- ④ 4000 ~ 5000 m
등록된 댓글이 없습니다.
60. 지구규모운동에서 에디 위치에너지는 어떠한 메카니즘에 의하여 증가되는가?
- ① 잠열의 방출
- ② 현열의 증가
- ③ 각운동량의 증가
- ④ 현열 flux의 수렴
등록된 댓글이 없습니다.
4과목 : 기후학
61. 대기의 창(atmospheric window)의 복사에너지의 파장 범위로 가장 적합한 것은?
- ① 0.2 ~ 0.4 ㎛
- ② 0.4 ~ 0.74 ㎛
- ③ 1 ~ 5 ㎛
- ④ 8 ~ 13 ㎛
등록된 댓글이 없습니다.
62. 북반구에서 잠열 생성이 가장 활발한 지역은?
- ① 적도
- ② 극 고압대
- ③ 중위도 저압대
- ④ 아열대 고압대
등록된 댓글이 없습니다.
63. 일반적으로 태풍이 나타나지 않는 곳은?
- ① 동아시아 지방
- ② 호주 동해안 지방
- ③ 아프리카 남서해안 지방
- ④ 멕시코 동부 카리브해 지방
등록된 댓글이 없습니다.
64. 고위도에서 태양으로부터 지표면에 도달하는 태양 복사에너지의 양은 지구표면에서 방출하고 있는 지구 복사보다 그 양이 어떠한가?
- ① 같다.
- ② 많다.
- ③ 적다.
- ④ 계산할 수 없다.
등록된 댓글이 없습니다.
65. 대기 중의 이산화탄소량의 분포 및 변화에 대한설명 중 틀린 것은?
- ① 북반구 중위도지역 지면 부근 연중 최젓값은 8~10월경임
- ② 지면 부근 이산화탄소량은 높은 고도에서보다 연 변동 폭이 큼
- ③ 북반구에서 고도별 평균값은 하층에서 크고, 대기상층에서 적음
- ④ 산업혁명 시기와 대비하여 20세기말 대기 중 농도는 약 2배 증가함
등록된 댓글이 없습니다.
66. 월별 체감기후를 나타내는 클라이모 그래프의 세로축과 가로축에 주어지는 기후 요소는?
- ① 세로축에 강수량, 가로축에 기온
- ② 세로축에 기온, 가로축에 강수량
- ③ 세로축에 기온, 가로축에 상대습도
- ④ 세로축에 상대습도, 가로축에 기온
등록된 댓글이 없습니다.
67. 기후학(climatology) 및 기후에 대한 설명으로 적합하지 않은 것은?
- ① 대기의 장기간 평균된 전 지구적 운동을 다룬다.
- ② 극지방에서 강수량이 적은 것은 발산에 대응된다.
- ③ 기후를 날씨 현상이 누적된 것이라고 생각한다.
- ④ 대기의 발산구역은 건조지역, 수렴구역은 습윤지역이 되는 경향이 있다.
등록된 댓글이 없습니다.
68. 오호츠크해 기단에 대한 설명으로 가장 거리가 먼것은?
- ① 한랭 다습하다.
- ② 장마전선과 관련이 있다.
- ③ 동계에 불안정하고, 하계에 안정하다.
- ④ 북태평양 오호츠크해가 발원지이다.
등록된 댓글이 없습니다.
69. 해양성 기후(oceanic climate)가 나타나는 지역의 특징에 대한 설명 중 틀린 것은?
- ① 구름이 많고 강수량이 많다
- ② 일사량이 많고 증발이 심하다.
- ③ 기온의 변화가 적고 습도가 연중 높다.
- ④ 바람이 보통 강하고 공기의 순환이 활발하다.
등록된 댓글이 없습니다.
70. 다음 중 소빙하기(little ice age)로 분류되는 기간으로 가장 적절한 것은?
- ① B.C. 8,000 ~ 6,000 년대
- ② B.C. 1,800 ~ 1,400 년대
- ③ A.D. 1,000 ~ 1,300 년대
- ④ A.D. 1,400 ~ 1,800 년대
등록된 댓글이 없습니다.
71. 몬순(monsoon)에 대한 설명 중 틀린 것은?
- ① 몬순에 의한 계절풍의 방향은 겨울철에 대륙쪽으로 향한다.
- ② 몬순에 의한 계절풍은 탁월풍(prevailing wind)의 일종이다.
- ③ 몬순에 의한 계절풍이 가장 뚜렷한 지역은 인도와 동아시아 지역이다.
- ④ 몬순에 의한 계절풍의 풍향은 여름철과 겨울철에서 대략 반대 방향이다.
등록된 댓글이 없습니다.
72. 수륙분포가 기후인자로서의 역할을 하는 이유로 가장 거리가 먼 것은?
- ① 비열차
- ② 전도율차
- ③ 일사량차
- ④ 열흡수율차
등록된 댓글이 없습니다.
73. 다음의 대기 순환 중 수명이 가장 짧은 것은?
- ① 계절풍
- ② 해륙풍
- ③ 이동성 고기압
- ④ 온대성 고기압
등록된 댓글이 없습니다.
74. Köppen의 기후 분류 기호에 대한 내용 중 틀린 것은?
- ① Af: 열대우림기후
- ② BS: 사막기후
- ③ Df: 냉대습윤기후
- ④ ET: 툰드라기후
등록된 댓글이 없습니다.
75. 무상기간(無霜期間, 서리가 없는 기간)에 가장 관계가 깊은 기상 요소는?
- ① 일최고 기온
- ② 일최저 기온
- ③ 일평균 기온
- ④ 월평균 기온
등록된 댓글이 없습니다.
76. Köppen의 기후구를 기준으로 할 때 다음 중 그림 Ⓐ역에 해당하는 기후구는?

- ① Aw
- ② B
- ③ Cf
- ④ Dw
등록된 댓글이 없습니다.
77. 산맥이 국지기후에 주는 영향에 대한 설명 중 틀린 것은?
- ① 산맥과 해안선 사이의 지역은 지형적인 구름과 지형적 강수가 유발된다.
- ② 내륙에 동서로 놓인 산맥의 경우 극 쪽의 여름철 강수량이 증가하고 적도 쪽의 겨울철 강수량은 감소한다.
- ③ 중위도에서 남북으로 놓여있는 해안선에 나란한 산맥의 경우 국지풍이 더 커지고 구름과 강수량이 증가한다.
- ④ 내륙에 동서로 놓인 산맥의 경우 여름에는 남과 북이 모두 따뜻하나 겨울에는 극 쪽이 적도 쪽보다 더 추워져 기온차가 커진다.
등록된 댓글이 없습니다.
78. 세계적으로 연평균 강수량이 가장 많은 곳은?
- ① 중국 상해 지방
- ② 아르헨티나 지방
- ③ 알프스(Alps)산맥 지방
- ④ 인도 아삼의 체라푼지(Cherra-punji) 지방
등록된 댓글이 없습니다.
79. 열대 습윤 기후의 특징으로서 틀린 것은?
- ① 연중 고온이다.
- ② 대류성 강우현상이 거의 없다.
- ③ 기온의 일교차가 연교차보다 크다.
- ④ 주요 식생분포는 활엽 상록수림이다.
등록된 댓글이 없습니다.
80. Köppen의 기후대 구분 중 무수목기후(無樹木氣候)가 속하는 것은?
- ① A, B
- ② B, C
- ③ B, E
- ④ B, D
등록된 댓글이 없습니다.
5과목 : 기후학
81. 북반구에서 다음 그림과 같은 대기 수직 구조에서 O로 표시된 지점에서의 풍향은 어느 방향인가? (단, P, P-1, P-2는 등압면을 의미한다.)

- ① A에서 B로
- ② B에서 A로
- ③ 앞면에서 뒷면(⨂)
- ④ 뒷면에서 앞면(⨀)
등록된 댓글이 없습니다.
82. 저기압 발생, 발달을 예측하는 데 사용되는 보조자료로 적합하지 않은 것은?
- ① 층후도
- ② 단열선도
- ③ 온도이류도
- ④ 와도분포도
등록된 댓글이 없습니다.
83. 평지에서 기온이 15℃일 때 주위에 높이 1000m인 산이 있다면 정상에서의 기온은 대략 얼마로 예상되는가? (단, 기온감률은 높이 100m당 0.65℃이다.)
- ① 5.5℃
- ② 6.5℃
- ③ 7.5℃
- ④ 8.5℃
등록된 댓글이 없습니다.
84. 여름철 장마전선과 관련성이 큰 오호츠크해 고기압의 특징이 아닌 것은?
- ① 주로 장마초기에 영향을 미친다.
- ② 한랭하고 다습한 성질을 가진다.
- ③ 북태평양 고기압처럼 키가 큰 고기압이다.
- ④ 북태평양 고기압과의 사이에서 장마전선을 형성한다.
등록된 댓글이 없습니다.
85. 상당온도와 기온과의 차는 무엇으로 주어지는가? (단, f: 전향력, CP: 건조공기의 정압비열, γ: 혼합비, R: 로스비 변형반경, L: 증발의 잠열)
- ①

- ②

- ③

- ④

등록된 댓글이 없습니다.
86. 다음 수치예보모형 중 측면 경계조건이 불필요한 것은?
- ① 국지모형
- ② 지역모형
- ③ 전구(全球)모형
- ④ 북반구(北半球)모형
등록된 댓글이 없습니다.
87. 한대 제트(polar jet)와 관련된 특징으로 가장 적합한 것은?
- ① 300hPa 최대풍속이 50kts 미만이다.
- ② 남과 북의 기온경도가 클수록 제트기류의 풍속은 감소한다.
- ③ 상층 기압골과 관계된 제트의 파동 전면(동쪽)에서 고기압이 발달한다.
- ④ 200hPa 일기도에서 사행하는 제트축(jet streak)의 북쪽에 위치한 저기압 중심의 기온이 따뜻하다.
등록된 댓글이 없습니다.
88. 두 등압면 사이의 두께 즉 층후(thickness)는 그 기층의 어느 요소의 크기와 정비례하는가?
- ① 평균 풍속
- ② 평균 가온도
- ③ 평균 일사투과율
- ④ 평균 한기유입도
등록된 댓글이 없습니다.
89. 다음 중 날씨변화에 앞서 나타나는 현상으로 가장 거리가 먼 것은?
- ① 동풍은 일기 악화의 전조이다.
- ② 햇무리가 나타나면 맑을 징조이다.
- ③ 렌즈 구름은 바람이 강해질 전조이다.
- ④ 종소리가 크게 들리면 비가 올 확률이 높다.
등록된 댓글이 없습니다.
90. 뇌우 예보 시 사용하는 지수가 아닌 것은?
- ① 케이 지수(K-Index)
- ② 층후 지수(Thickness Index)
- ③ 토탈 토탈 지수(Total Total Index)
- ④ 쇼월터 안정 지수(Showalter Stability Index)
등록된 댓글이 없습니다.
91. 직각 좌표계에서 수평발산(lateral divergence)은 다음 중 어느 식으로 표시되는가? (단, u와 υ는 각각 x와 y방향의 풍속이다.)
- ①

- ②

- ③

- ④

등록된 댓글이 없습니다.
92. 제트류 분석은 주로 어떤 일기도에서 하는가?
- ① 200hPa 일기도
- ② 500hPa 일기도
- ③ 700hPa 일기도
- ④ 850hPa 일기도
등록된 댓글이 없습니다.
93. 일기의 해석 내용이 틀린 것은?
- ① 1120-1230 : 11시 20분에 싸락우박이 시작되어 12시 30분에 싸락우박이 끝남

- ② )∙( (NW)1450-1515 : 14시 50분부터 15시 15분까지 북서쪽 5km 밖에 강수현상이 목측됨
- ③ 0610- 0720- 0745-0755 : 6시 10분에 눈이 시작하여 7시 20분에는 진눈깨비로 되고 7시 45분에는 어는 비로 변해서 7시 55분에 끝남

- ④ (SW 2)1530- (S 1)1536-1541 : 15시 30분에 회오리바람이 남서쪽 2km에서 발생하여 15시 36분에 남쪽 1km 지점으로 이동하였고 15시 41분에 회오리바람 끝남

등록된 댓글이 없습니다.
94. 북태평양 고기압의 특징으로 적절하지 않은 것은?
- ① 여름철 발달하여 우리나라에 무더위를 가져온다.
- ② 지구대기 대순환에 의해 나타나는 고기압이다.
- ③ 지상부터 상층까지 고기압의 특징이 나타나는 키가 큰 고기압이다.
- ④ 중심의 기온이 따뜻한 상층의 티벳고기압과 역학적 구조가 비슷하다.
등록된 댓글이 없습니다.
95. 전선의 형성과 가장 관련이 높은 운동은?
- ① 변형운동
- ② 전이운동
- ③ 팽창운동
- ④ 회전운동
등록된 댓글이 없습니다.
96. 다음 중 풍속이 일정할 때 전향력이 가장 큰 곳은?
- ① 적도 지방
- ② 위도 30° 부근
- ③ 위도 45° 부근
- ④ 위도 60° 부근
등록된 댓글이 없습니다.
97. 국제기상전보식에서 Nddff군의 ff는?
- ① 운형
- ② 풍속
- ③ 풍향
- ④ 전운량
등록된 댓글이 없습니다.
98. 전선 위치 결정의 일반사항에 대한 설명으로 틀린 것은?
- ① 기온, 노점온도, 기압이 불연속을 이루어 그 등치선이 밀집 또는 급변하는 지역이지만, 풍향은 연속을 이루어 급변하지 않는 지역에 해당된다.
- ② 단열선도 또는 수직단면도 상에서 기온역전층이 있고 이 역전층에서 고도에 따른 풍향 변화가 반전인 경우는 한랭전선, 순전인 경우는 온난전선이다.
- ③ 한랭전선의 경우 풍향의 수직변화는 하층에서 북서풍이고, 상층에서 남서풍이 보통이며, 온난전선에서는 하층에서 보통 남동풍이고, 상층에서는 남서풍이 되는 경우가 많다.
- ④ 온난전선은 그 전방에서는 넓게 악천을 보이지만 후방에서는 비교적 호전을 이루고, 한랭전선에서는 전방과 후방의 구별없이 전선상에서 비교적 좁게 악천이 나타난다.
등록된 댓글이 없습니다.
99. 한 일기도 상에서 두 가지 이상의 등치선을 그려야 할 경우의 순서로 바르게 나타낸 것은?
- ① 등압선(등고선)-등온선-유선-등풍속선
- ② 등압선(등고선)-등온선-등풍속선-유선
- ③ 등압선(등고선)-유선-등풍속선-등온선
- ④ 등온선-등압선(등고선)-등풍속선-유선
등록된 댓글이 없습니다.
100. 다음 중 대기의 내부 요인이 가장 큰 역할을 하는 현상은?
- ① 태풍
- ② 산곡풍
- ③ 초장파
- ④ 해륙풍
등록된 댓글이 없습니다.