대기환경기사(2007. 5. 13.) 시험일자 : 2007년 5월 13일
1과목 : 대기오염 개론
1. 오존층에 관한 다음 설명 중 옳지 않은 것은?
- ① 오존층이란 성층권에서도 오존이 더욱 밀집해 분포하고 있는 지상 50-60km 구간을 말한다.
- ② 오존층의 두께를 표시하는 단위는 돕슨(Dobson)이며, 지구대기 중의 오존층량을 표준상태에서 두께로 환산했을때 1mm를 100돕슨으로 정하고 있다.
- ③ 오존층량은 적도상에서 약 200돕슨, 극 지방에서는 약 400돕슨 정도인 것으로 알려져있다.
- ④ 오존은 성층권에서는 대기중의 산소분자가 주로 240nm이하의 자외선에 의해 광분해 되어 생성된다
등록된 댓글이 없습니다.
2. 침강역전(subsidence inversion)에 관한 다음 설명 중 옳지 않은 것은?
- ① 고기압 중심부분에서 기층이 서서히 침강하면서 기온이 단열변화하여 승온 되어 발생하는 현상이다.
- ② 고기압이 정체하고 있는 넓은 범위에 걸쳐서 시간에 무관하게 장기적으로 지속된다.
- ③ 낮은 고도까지 하강하면 대기오염의 농도는 매우 낮아지는 경향이 있다
- ④ 로스엔젤레스 스모그 발생과 밀접한 관계가 있는 역전형태이다.
등록된 댓글이 없습니다.
3. 다음 중 대기오염물질의 분산을 예측하기 위한 바람장미(wind rose)에 관한 설명으로 가장 거리가 먼것은?
- ① 바람장미는 풍향별로 관측된 바람의 발생빈도와 풍속을 16방향인 막대기형으로 표시한 기상도형이다.
- ② 가장 빈번히 관측된 풍향을 주풍(prevailing wind)이라하고 , 막대의 굵기를 가장 굵게 표시한다.
- ③ 관측된 풍향별 발생빈도를 %로 표시한 것을 방향량(vector)이라 하며, 바람장미의 중앙에 숫자로 표시한 것은 무풍률이다.
- ④ 풍속이 0.2m/sec 이하일때를 정온(calm)상태로 본다.
등록된 댓글이 없습니다.
4. 최대혼합깊이(Maximum Mixing Depth , MMD)에 관한 설명으로 가장 거리가 먼것은?
- ① 열부상효과에 의하여 대류에 의한 혼합층의 깊이가 결정 되는데 이를 최대 혼합깊이라한다.
- ② 실제로 지표위 수 km까지의 실제 공기의 온도종단도를 작성함으로써 결정된다.
- ③ 계절적으로 보아 여름(6월경)이 최대가 된다.
- ④ 역전이 심할수록 큰 값을 가지며 대기오염의 심화를 나타낸다.
등록된 댓글이 없습니다.
5. 지구 온난화에 영향을 미치는 온실가스와 가장 거리가 먼것은?
- ① CO2
- ② CH4
- ③ CFC-11 & CFC-12
- ④ NO2
등록된 댓글이 없습니다.
6. 연돌에서 배출되는 연기의 형태가 아래 그림과 같은 fanning형일때 기상조건에 관한 다음 설명 중 옳지 않는 것은?

- ① 대기가 매우 안정한 상태일때 아침과 새벽에 잘 발생한다.
- ② 고기압 구역에서 하늘이 맑고 바람이 약하면 지표로부터 열방출이 커서 한밤으로부터 아침까지 복사역전층이 생길때에 발생되는 연기모양이다.
- ③ 굴뚝상단의 일정높이에 역전층이 존재하고, 그하층에도 역전층이 존재하는 때에 관찰되며, 이러한 현상은 하루 중 30분이상 지속되지 않는다.
- ④ 이 상태에서는 연기의 수직방향 분산은 최소가 되고, 풍향에 수직되는 수평방향의 분산도 매우 적다.
등록된 댓글이 없습니다.
7. 기온의 연직분포가 다음 그림과 같을 때, 굴뚝에서 발생되는 연기형태는?

- ① Looping
- ② Fanning
- ③ Fumigation
- ④ Trapping
등록된 댓글이 없습니다.
8. 다음 중 염화수소 또는 염소 발생 가능성이 가장 적은 업종은?
- ① 소오다 공업
- ② 플라스틱 공업
- ③ 활성탄 제조업
- ④ 시멘트 제조업
등록된 댓글이 없습니다.
9. 일반 실내공기오염(indoor air pollution)물질로서 가장 거리가 먼것은?
- ① 휘발성유기화합물(VOC)
- ② 석면(asbestos)
- ③ 포름알데이히드(HCHO)
- ④ 염화비닐(vinyl chloride)
등록된 댓글이 없습니다.
10. 현재 대기중 이산화탄소(CO2)의 농도는?
- ① 약 170ppm
- ② 약 370ppm
- ③ 약 570ppm
- ④ 약 770ppm
등록된 댓글이 없습니다.
11. 질소산화물(NOx)에 관한 다음 설명 중 옳지 않은 것은?
- ① 연소 시에 주로 배출되며 탄화수소와 함께 태양광선에 의한 광화학 스모 그를 생성한다.
- ② 혈 중 헤모글로빈과 결합하여 메트헤모글로빈을 형성함으로써 산소전달을 방해한다.
- ③ 직접적으로 눈에 대한 자극성이 강한 오염물질로 기관지염, 폐기종 및 폐렴 등을 일으키며 천식까지 진행된다.
- ④ NO의 혈중 헤모글로빈과의 결합력은 CO보다 더 강하다.
등록된 댓글이 없습니다.
12. 광화학 스모그를 설명하기 위한 반응식으로 NOx의 광화학반응이 다음과 같다고 할 대, 식 ④ 의 ( )에 들어갈 생성물질만으로 옳게 나열한 것은?

- ① PAN , NO2, Aldenhyde
- ② PBzN , HC , CO
- ③ Aldenhyde, CO ,Ketone
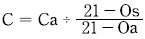
- ④ Oxidants, Paraffin , CO2
등록된 댓글이 없습니다.
13. 대기의 수직온도 분포에 따른 각 대기권의 특징으로 옳지 않은 것은?
- ① 대류권 - 대류권의 하부 1-2km 까지를 대기경계층이라 하고, 이 대기경계층의 상층은 지표면의 영향을 직접 받지 않으므로 자유대기라고도 한다.
- ② 성층권- 고도에 따라 온도가 상승하는 이유는 성층권의 오존이 태양광선중의 자외선을 흡수하기 때문이다.
- ③ 중간권 - 고도에 따라 온도가 낮아지며, 지구 대기층 중에서 가장 기온이 낮은 구역이 분포한다.
- ④ 열권 - 고도 80km 이상인 층이며, 파장 약 0.1㎛이상의 자외선을 방출하고, 또한 흡수하는 에너지도 많아 열용량이 크기 때문에 온도는 매우 높게 된다.
등록된 댓글이 없습니다.
14. 광화학반응에 관한 다음 설명 중 옳지 않은 것은?
- ① 대류권에서 광화학 대기오염에 영향을 미치는 대기오염상 중요한 물질은 900nm 이상의 빛을 흡수하는 물질이다.
- ② 오존은 200-320nm 의 파장에서 강한 흡수가, 450-700nm 에서는 약한 흡수가 있다.
- ③ 광화학 스모그는 맑은 날 자외선의 강도가 클수록 잘 발생된다.
- ④ NO2는 도시 대기오염물 중에서 가장 중요한 태양빛 흡수 기체라 할 수 있다.
등록된 댓글이 없습니다.
15. 유효굴뚝높이 100m 정도에서 확산계수가 Ky= Kz= 0.1이고, 풍속 U=5m/sec이다. 지표면에서의 대기오염농도가 최대가 되는 착지거리는 얼마인가? (단, 대기상태는 중립이며, 안정도계수(n)= 0.25이다.)
- ① 5.6m
- ② 1000m
- ③ 193.1m
- ④ 2682.7m
등록된 댓글이 없습니다.
16. 60m 높이의 연돌에서 배출되는 가스의 평균온도가 250℃이고, 대기의 온도가 25℃일대, 이 굴뚝의 통풍력은? (단, 표준상태의 가스와 공기의 비중량은 1.3kg/Nm3이고 굴뚝 안에서의 마찰손실은 무시함)
- ① 30.7mmH2O
- ② 20.5mmH2O
- ③ 15.8mmH2O
- ④ 12.4mmH2O
등록된 댓글이 없습니다.
17. 지표부근의 대기성분의 부피비율(농도)이 큰 것부터 순서대로 알맞게 나열 된 것은? (단, N2, O2 성분은 생략)
- ① Ar - CO2 - CH4 - H2
- ② Ar - CO2 -H2 - CH4
- ③ Ar - CO2 - He - Ne
- ④ Ar - CO2 - Ne - He
등록된 댓글이 없습니다.
18. 실내공기 오염물질인 “라돈” 에 관한 설명으로 옳지 않은 것은?
- ① 주기율표에서 원자번호가 238번으로 화학저으로 활성이 큰 물질이며, 흙속에서 방사선 붕괴를 일으킨다.
- ② 무색, 무취의 기체로 액화되어도 색을 띠지 않는 물질이다.
- ③ 반감기는 3.8일로 라듐이 핵분열할 때 생성되는 물질이다.
- ④ 자연계에 널리 존재하며, 주로 건축자재를 통하여 인체에 영향을 미치고 있다.
등록된 댓글이 없습니다.
19. 다음 중 황화수소의 발생과 가장 관련이 깊은 업종은?
- ① 석유정제 ,석탄건류, 가스공업
- ② 비로제조, 표백, 색소제조공업
- ③ 알루미늄, 요업, 인산비료공업
- ④ 피혁, 합성수지, 프로마린 제조공업
등록된 댓글이 없습니다.
20. 실제굴뚝높이가 50m, 굴뚝내경 5m, 배출가스의 분출속도가 12m/s, 굴뚝주위의 풍속이 4m/s라고 할때, 유효굴뚝의 높이는? (단, H = 1.5×D×( )이다.)
- ① 22.5m
- ② 52.5m
- ③ 72.5m
- ④ 82.5m
등록된 댓글이 없습니다.
2과목 : 연소공학
21. 매연 발생에 관한 다음 설명 중 옳지 않은 것은?
- ① -C-C- 의 탄소결합을 절단하기 보다는 탈수소가 쉬운 쪽이 매연이 생기기 쉽다.
- ② 연료의 C/H 의 비율이 작을 수록 매연이 생기기 쉽다.
- ③ 탈수소, 중합 및 고리화합물 등과 같이 반응이 일어나기 쉬운 탄화수소일수록 매연이 잘 생긴다.
- ④ 분해하기 쉽거나 산화하기 쉬운 탄화수소는 매연발생이 적다.
등록된 댓글이 없습니다.
22. 저위발열량이 3500kcal/Nm3인 가스 연료의 이론연소온도는 몇 ℃인가? (단, 이론연소가스량 10Nm3/Nm3,기준온도 15℃ 연료연소가스의 평균정압비열 : 0.35kcal/Nm3ㆍ℃ 공기는 예열되지 않으며, 연소가스는 해리되지 않는 것으로 한다.)
- ① 1015℃
- ② 1215℃
- ③ 1415℃
- ④ 1615℃
등록된 댓글이 없습니다.
23. Thermal NOx를 대상으로 한 저 NOx 연소법으로 가장 거리가 먼것은?
- ① 배기가스 재순환
- ② 연료대체
- ③ 희박예혼합연소
- ④ 수분사와 수중기분사
등록된 댓글이 없습니다.
24. 석유류의 비중이 커질때의 특성으로 거리가 먼 것은?
- ① 탄수소비(C/H)가 커진다
- ② 발열량은 감소한다.
- ③ 화염의 휘도가 작아진다
- ④ 착화점이 높아진다.
등록된 댓글이 없습니다.
25. 중유의 원소조성은 C: 88%, H: 12%이다. 이 중유를 완전연소 시킨 결과, 중유 1kg당 건조 배가가스량이 15.8Nm3이었다면, 건조 배기가스 중의 CO2농도(V/V%)?
- ① 10.4%
- ② 13.1%
- ③ 16.8%
- ④ 19.5%
등록된 댓글이 없습니다.
26. 기체연료에 관한 다음 설명으로 거리가 먼 것은?
- ① 연료 속의 유황함유량이 적어 연소 배기가스 중 SO2발생량이 매우 적다.
- ② 다른 연료에 비해 저장이 곤란하며, 공기와 혼합해서 점화하면 폭발 등의 위험도 있다.
- ③ 메탄을 주성분으로 하는 천연가스를 1기압하에서 -168℃ 정도로 냉각하여 액화시킨 연료를 LNG라 한다.
- ④ 발생로가스란 코크스나 석탄을 불완전 연소해서 얻는 가스로 주성분은 CH4와 H2이다.
등록된 댓글이 없습니다.
27. 메탄의 고위발열량이 9000kcal/Sm3이라면 저위발열량(kcal/Sm3)은?
- ① 8740
- ② 8340
- ③ 8040
- ④ 7740
등록된 댓글이 없습니다.
28. 프로판(C3H8)을 완전연소 하였을 때, 건연소가스 중의 CO2가 8%(V/V%)이었다. 공기 과잉계수 m은 얼마인가?
- ① 1.32
- ② 1.43
- ③ 1.52
- ④ 1.66
등록된 댓글이 없습니다.
29. 3000kg 의 석탄이 완전 연소하는데 소요되는 공기량은? (단, 석탄은 모두 탄소로 구성되어 있다고 가정한다)
- ① 약 25000kg
- ② 약 35000kg
- ③ 약 45000kg
- ④ 약 65000kg
등록된 댓글이 없습니다.
30. 다음 각 종 연료성분의 완전연소 시 단위 체적당 고위발열량(kcal/Sm3)의 크기 순서로 옳은 것은?
- ① 일산화탄소 > 메탄 > 프로판 > 부탄
- ② 메탄 > 일산화탄소 > 프로판 > 부탄
- ③ 부탄 > 프로판 > 메탄 > 일산화탄소
- ④ 부탄 > 일산화탄소 > 프로판 > 메탄
등록된 댓글이 없습니다.
31. 유동층연소 (fluidized bed combustion) 에 관한 설명으로 가장 거리가 먼 것은?
- ① 유동매체는 불활성이고, 열충격에 강하며, 융점은 높으며, 미세하여야 한다.
- ② 투입이나 유동화를 위해 파쇄가 필요없고 , 과잉공기가 커야 완전연소 된다.
- ③ 유동매체의 열용량이 커서 약상, 기상, 및 고형 폐기물의 전소 및 혼소가 가능하다.
- ④ 일반 소각로에서 소각이 어려운 난연성 폐기물의 소각에 적합하며, 특히 폐유, 폐윤활유 등의 소각에 탁월하다.
등록된 댓글이 없습니다.
32. 다음 중 저온부식의 원인과 대책에 관한 설명으로 가장 거리가 먼것은?
- ① 250℃ 이상의 전열면(傳熱面)에 응축하는 황산, 질산, 염산 등에 의하여 발생된다.
- ② 예열공기를 사용하거나 보온시공을 한다.
- ③ 저온부식이 일어날 수 있는 금속표면을 피복을 한다.
- ④ 연소가스 온도를 산노점 온도보다 높게 유지해야 한다.
등록된 댓글이 없습니다.
33. 연소가스 중의 수분을 측정하였더니 건조가스 1Sm3당 150g 이었다. 이 건조 가스에 대한 수증기의 용량비(V/V%)는?
- ① 12.4%
- ② 18.7%
- ③ 20.4%
- ④ 24.8%
등록된 댓글이 없습니다.
34. 기체연료 중 연소하여 수분을 생성하는 H2와 CxHy연소반응의 발열량 산출식에서 아래의 480이 의미하는 것은?

- ① H2O 1kg의 증발잠열
- ② H2 1kg의 증발잠열
- ③ H2O 1Sm3의 증발잠열
- ④ H2 1Sm3의 증발잠열
등록된 댓글이 없습니다.
35. 액체연료의 연소장치 중 회전식 버너에 관한 설명으로 가장 거리가 먼 것은?
- ① 유압식버너에 비하여 연료유의 분무화 입경이 비교적 크다.
- ② 연로유는 0.5kg/cm2정도 가압하며 공급한다.
- ③ 유량조절 범위가 1:5 정도 , 분무각도가 40-80℃이다.
- ④ 연료유 분사유량은 벨트식이 1000L/hr이하, 직결식이 2700L/hr이하이다.
등록된 댓글이 없습니다.
36. 화염이 길고, 그울음이 발생하기 쉬운 반면, 역화(back fire)의 위험이 없으며, 공기와 가스를 예열할 수 있는 연소방식은?
- ① 예혼합연소
- ② 확산연소
- ③ 플라즈마연소
- ④ 컴팩트연소
등록된 댓글이 없습니다.
37. CmHn의 분자식을 가진 탄화수소가스 1Nm3을 연소 할때 소요되는 이론산소량(Nm3)은?
- ①

- ②

- ③

- ④ `

등록된 댓글이 없습니다.
38. 단위 연료당 이론 공기량(부피비)이 가장 큰 것은?
- ① 에탄
- ② 메탄
- ③ 프로필렌
- ④ 아세틸렌
등록된 댓글이 없습니다.
39. 연료유를 미립화해서 공기와 혼합하여 단시간에 완전연소를 시키는 유류연소버너가 갖추어야 할 조건으로 가장 거리가 먼 것은?
- ① 넓은 부하범위에 걸쳐 기름의 미립화가 가능할 것
- ② 재를 제거하기 위한 장치가 있을 것
- ③ 소음 발생이 적을 것
- ④ 점도가 높은 기름도 적은 동력비로서 미립화가 가능할 것
등록된 댓글이 없습니다.
40. 착화온도에 관한 다음 설명 중 옳지 않은 것은?
- ① 반응활성도가 클수록 낮아진다.
- ② 분자구조가 간단할수록 높아진다
- ③ 산소농도가 클수록 낮아진다.
- ④ 발열량이 낮을수록 낮아진다.
등록된 댓글이 없습니다.
3과목 : 대기오염 방지기술
41. 유입구농도가 3g/Nm3,처리가스량이 2000Nm3/min인 집진장치의 처리효율이 95%라면 하루에 포집된 먼지의 양은?
- ① 8640 kg/day
- ② 8208 kg/day
- ③ 6840 kg/day
- ④ 5726 kg/day
등록된 댓글이 없습니다.
42. 사이클론에 관한 설명으로 가장 거리가 먼 것은?
- ① 접선유입식 사이클론의 유입가스속도는 3-6m/sec범위로, 이 범위 속도가 집진효율에 미치는 영향은 크다.
- ② 반전형은 입구유속이 10m/sec전후이며, 접선유입식에 비해 압력손실이 적다.
- ③ 멀티사이클론은 처리가스량이 많고 높은 집진효율을 필요로 하는 경우에 사용한다.
- ④ 반전형은 blow down은 필요없고, 함진가스 입구의 안내익(aerodynamic vane)에 따라 집진효울이 달라진다.
등록된 댓글이 없습니다.
43. 어떤 집진장치의 입구와 출구에서 함진가스 중 분진의 농도를 측정하였더니 각각 15g/Sm3, 0.3g/Sm3이었고, 또 입구와 출구에서 측정한 분진시료 중 0-5㎛의 중량백분율이 각각 10%, 60% 이었다면 이 집진장치의 0-5㎛ 입경범위의 시료분진에 대한 부분집진율(%)은?
- ① 84
- ② 86
- ③ 88
- ④ 90
등록된 댓글이 없습니다.
44. 흡착법에서 사용되는 흡착제에 관한 설명으로 옳지 않은 것은?
- ① 표면적이라 함은 흡착제 내부의 기공에서의 면적을 말한다.
- ② 비표면적과 친화력이 크면 클수록 흡착효과는 커진다.
- ③ 보오크사이트는 가성소다용액 중의 불순물 제거에 주로 사용된다.
- ④ 활성탄은 유기용제회수, 악취제거, 가스정화 등에 주로 사용된다.
등록된 댓글이 없습니다.
45. 분무탑(spray tower)에 관한 다음 설명 중 옳지 않은 것은?
- ① 유해가스 속도가 느릴 경우를 제외하고는 비말동반의 위험이 있다.
- ② 액분산형 흡수장치에 해당한다.
- ③ 충전탑에 비하여 설비비 및 유지비가 적게 된다.
- ④ 충전탑에 비해 압력손실이 큰다.
등록된 댓글이 없습니다.
46. 높이 7m, 폭 10m, 길이 15m의 중력집진장치를 이용하여 처리가스를 4m3/sec유량으로 비중이 1.5인 먼지를 처리하고 있다. 이 집진기가 포집할 수 있는 최소입자의 크기(dmin)는? ( 단, 온도는 25℃, 점성계수는 1.85×10-5kg/mㆍs이며 공기의 밀도는 무시한다)
- ① 약 32㎛
- ② 약 25㎛
- ③ 약 17㎛
- ④ 약 12㎛
등록된 댓글이 없습니다.
47. 후드의 제어속도(Control Velocity)에 관한 설명으로 옳은 것은?
- ① 확산조건 ,오염원의 주변기류에는 영향이 크지 않다.
- ② 유해물질의 발생조건이 조용한 대기 중 거의 속도가 없는 상태로 비산하는 경우(가스, 흄 등)의 제어속도 범위는 1.5-2.5m/sec정도이다.
- ③ 유해물질의 발생조건이 빠른 공기의 움직임이 있는 곳에서 활발히 비산하는 경우(분쇄기)의 제어속도 범위는 15-25m/sec정도이다.
- ④ 오염물질의 발생속도를 이겨내고 오염물질을 후드내로 흡인하는데 필요한 최소의 기류속도를 말한다.
등록된 댓글이 없습니다.
48. 450ppm의 NO를 함유하는 450000Nm3/h를 암모니아 선택적 접촉환원법으로 배연탈질 할때 요구되는 암모니아의 양(Nm3)은? (단, 산소가 공존되는 상태 기준임)
- ① 910.5
- ② 405.5
- ③ 202.5
- ④ 101.5
등록된 댓글이 없습니다.
49. 처리용량이 크며, 분진의 크기가 0.1-0.9㎛인 것에 대해서도 높은 집진 효율을 가지며, 습식또는 건식으로도 제진할 수 있고, 압력손실이 매우 적고, 유지비도 적게 소요될 뿐 아니라 고온의 가스도 처리 가능한 집진장치는?
- ① 전기집진장치
- ② 원심력집진장치
- ③ 세정집친장치
- ④ 여과집진장치
등록된 댓글이 없습니다.
50. 중력식 집진장치의 집진을 향상조건에 관한 다음 설명중 옳지 않은 것은?
- ① 침강실 처리가스의 속도가 작을 수록 미립자가 포집된다.
- ② 침강실 내의 배기가스 기류는 균일해야 한다.
- ③ 침강실의 높이가 높고, 중력장의 길이가 짧을수록 집진율은 높아진다.
- ④ 다단일 경우네는 단수가 증가할수록 집진률은 커지나, 압력손실도 증가한다.
등록된 댓글이 없습니다.
51. 벤츄리스크러버(venturi scrubber)에 관한 설명으로 가장 거리가 먼것은?
- ① 가압수식 중에서 집진율이 가장 높아 대단히 광범위하게 사용되며, 소형으로 대용량의 가스처리가 가능하다.
- ② 액가스비는 보통 0.3-1.5L/m3정도, 압력손실은 300-800mmH2O 전 후 이다
- ③ 물방울 입경과 먼지 입경의 비는 충돌효율 면에서 10:1전후가 좋다.
- ④ 목부의 처리가스 속도는 보통 60-90m/s이다.
등록된 댓글이 없습니다.
52. 충전탑에서 HF를 함유한 유해배출가스를 처리하고자한다. 이동단위높이 HOG=1.2m 인 탑에서 배기가스 중의 HF를 수산화나트륨 수용액에 흡수시켜 제거하는 데 유해가스제거율을 98%로 하기 위한 탑의 높이(m)는? ( 단, 이동단위수 NOG= ln 로 계산되고, y1, y2는 흡수탑입구와 출구에서의 유해가스의 몰분율이다.)
- ① 2.3
- ② 3.9
- ③ 4.7
- ④ 5.4
등록된 댓글이 없습니다.
53. 다음 전기집진장치 내의 입자에 작용하는 전기력 중 가장 지배적으로 작용하는 힘은?
- ① 전계강도에 의한 힘
- ② 대전입자의 하천에 의한 쿨롱의 힘
- ③ 입자간의 흡인력
- ④ 전기풍에 의한 힘
등록된 댓글이 없습니다.
54. 가스흡수에서는 기-액의 접촉면적을 크게 하는 것이 필요한데 실제 유효접촉면적 a(m2/m3)의 참값을 구하기가 쉽지 않으므로, 액상 총괄물질이동계수 KL과의 곱인 KLㆍa를 계수로 사용한다. 이 계수를 무엇이라 하는가?
- ① 액체용량계수
- ② 액체유효면적계수
- ③ 액체전달계수
- ④ 액체분배계수
등록된 댓글이 없습니다.
55. 유해가스를 제거하기 위한 “연소법”에 관한 설명중 옳지 않은 것은?
- ① 배기가스의 양이 비교적 많고 오염가스 농도가 적을때 주로 사용된다.
- ② 연소장치의 설계 및 조업을 적절히 함으로써 가연성 오염물질을 거의 완전히 제거할 수 있다.
- ③ 배기 가스 중 가연성 오염물질의 성분농도가 매우 낮아서 직접연소가 곤란할 때에는 가열연소 시킬 수 있다.
- ④ 촉매연소에서는 촉매의 노화를 방지하기 위해 촉매량을 감소시키고 , 예열 온도는 낮춘다.
ㅇ2024. 12. 6. 22:39삭제
보기 1번 오류
56. 헨리의 법칙에 관한 다음 설명 중 옳지 않은 것은?
- ① 비교적 용해도가 적은 기체에 적용된다.
- ② 헨리상수의 단위는 atm/m3ㆍkmol이다.
- ③ 일정온도에서 특정 유해가스 압력은 옹해가스의 액중농도에 비례한다는 법칙이다.
- ④ 헨리상수는 온도에 따라 변하며, 온도는 높을수록 용해도는 적을수록 커진다.
등록된 댓글이 없습니다.
57. 가스중의 불화수소를 수산화나트륨용액과 향류를 접톡시켜 90%흡수시키는 충전탑의 흡수율을 99.9%로 향상시키고자 한다. 이때 충전층의 높이는? (단, 흡수액상의 불화수소의 평형분압은 0으로 한다.)
- ① 81배 높아져야 한다.
- ② 27배 높아져야 한다.
- ③ 9배 높아져야 한다.
- ④ 3배 높아져야 한다.
등록된 댓글이 없습니다.
58. 유해가스 종류별 처리제 및 그 생성물과의 연결로 옳지 않은 것은?

- ① ①
- ② ②
- ③ ③
- ④ ④
등록된 댓글이 없습니다.
59. 염화수소의 함량이 0.85(V/V)인 배출가스 4500Sm3/hr를 수산화칼슘으로 처리하여 염화수소를 완전히 제거할 때 이론적으로 필요한 수산화칼슘의 양(kg/hr)?
- ① 약 63kg/hr
- ② 약 58kg/hr
- ③ 약 51kg/hr
- ④ 약 46kg/hr
등록된 댓글이 없습니다.
60. 유량이 150m3/min 인 배출가스를 직경 20cm 인 원통형 백필터(bag filter) 40개로 처리하려고 한다. 여과속도를 1.5cm/sec로 유지하려면 백필터의 유효높이(m)는?
- ① 4.63
- ② 5.63
- ③ 6.63
- ④ 7.63
등록된 댓글이 없습니다.
4과목 : 대기오염 공정시험기준(방법)
61. 환경기준시험을 위한 시료채취위치 선정기준을 설명한 것 중 옳지 않은 것은?
- ① 주위에 건물 등이 밀집되어 있을 때는 건물 바깥벽으로부터 적어도 1.5m 이상 떨어진 곳을 선정한다.
- ② 시료의 채취높이는 그 부근의 평균오염도를 나타낼 수 있는 곳으로서 가능한 1.5-10m 범위로 한다.
- ③ 주위에 장애물이 있을 경우에는 채취 위치로부터 장애물까지의 거리가 그 장애물 높이의 1.5배 이상이 되도록 한다.
- ④ 주위에 장애물들이 있을 경우에는 채취점과 장애물 상단을 연결하는 직선이 수평선과 이루는 각도가 30° 이하되는 곳을 선정한다.
등록된 댓글이 없습니다.
62. 환경 대기 중 석면농도 측정에 관한 설명으로 옳지 않은 것은?
- ① 석면포집에 사용하는 필터는 셀룰로오즈 에스테르계재질의 멤브레인 필터이다.
- ② 농도표시는 표준상태의 기체 1L 중에 함유된 석면섬유의 개수로 한다.
- ③ 시료채취는 원칙적으로 채취지점의 지상 1.5m 되는 위치에서 10L/min흡인량으로 4시간이상 채취한다.
- ④ 흡인펌프는 1L/min-20L/min로 공기를 흡인할 수 있는 로타리펌프 또는 다이어프램 펌프를 사용한다.
등록된 댓글이 없습니다.
63. 소각로, 소각시설 및 그 밖의 배출원에서 배출되는 입자상 및 가스상 수은 (Hg)의 측정 분석방법 중 환원기화 원자흡광광도법에 관한 설명으로 옳지 않은 것은?
- ① 배출원에서 등속으로 흡인된 입자상과 가스상 수은은 흡수액인 산성 과망간산칼륨 용액에 채취된다.
- ② 측정범위는 0.001 ~ 0.020㎍/mL이며, 감도는 원자흡광광도계에 따라 다르다.
- ③ Hg2+형태로 채취한 수은을 Hg0형태로 환원시켜서 측정한다.
- ④ 시료채취시 배출가스 중에 존재하는 산화 유기물질은 수은의 채취를 방해 할수 있다.
등록된 댓글이 없습니다.
64. 굴뚝 배출가스 중 수분측정을 위하여 흡습제에 10L의 시료를 흡인하여 유입시킨 결과 흡습제의 중량 증가가 0.8500g이었다. 이 배출가스 중의 수증기 부피백분율은? (단, 건식가스미터의 흡인가스온도 : 27℃ 가스미터에서의 가스게이지압 + 대기압: 760mmHg)
- ① 10.4%
- ② 9.5%
- ③ 7.3%
- ④ 5.5%
등록된 댓글이 없습니다.
65. 굴뚝에서 배출되는 가스 중의 일산화탄소를 분석하는 방법으로 옳지 않은 것은?
- ① 흡광광도법
- ② 정전위전해법
- ③ 비분산적외선분석법
- ④ 가스크로마토그래프법
등록된 댓글이 없습니다.
66. 굴뚝 배출가스 중 산소측정분석에 사용되는 화학분석법(오르자트분석법)에 관한 설명으로 옳지 않은 것은?
- ① 흡수의 순서는 CO2, O2 이다.
- ② CO2의 흡수액에는 수산화칼륨의 용액을 사용한다.
- ③ 산소흡수액을 만들 때에는 되도록 공기와의 접촉을 피한다.
- ④ 산소흡수액은 물과 수산화나트륨을 녹인 용액에 피로칼롤을 녹인 용액으로 한다.
등록된 댓글이 없습니다.
67. 화학반응 등에 수반하여 굴뚝 등에서 배출되는 가스중의 브롬화합물을 분석하는 방법 중 흡광광도법(티오시안 제2수은법)에 관한 설명으로 옳지 않은 것은?
- ① 흡수액은 수산화나트륨 0.4g을 물에 녹여 100ml로 한다.
- ② 브롬이온표준원액 1ml는 브롬이온 1mg을 포함한다.
- ③ 과망간산칼륨(0.32W/V%)용액은 과망간산칼륨 0.79g을 물에 녹여 250ml 메스플라스크에 넣고 물로 표선까지 채운다.
- ④ 황산 제2철 암모늄 용액은 황산 제2철 암모늄 3g을 물 100ml에 녹여 갈색병에 보관한다.
등록된 댓글이 없습니다.
68. 다음 중 아래와 같은 검량선을 가지면서 동일 조건하에 시료를 도입하여 크로마토그램을 기록하고 피크넓이(또는 피크의 높이)로부터 검량선에 따라 분석하며, 전체 측정조작을 엄밀하게 일정 조건하에서 할 필요가 있을 때 사용하는 크로마토그램 분석방법은?

- ① 넓이백분율법
- ② 피검성분추가법
- ③ 절대검량선법
- ④ 내부표준검량선법
등록된 댓글이 없습니다.
69. 굴뚝 배출가스 중의 먼지를 연속적으로 자동측정하는 광산란적분법의 장치 구성으로 가장 거리가 먼 것은?
- ① 앰프부
- ② 검출부
- ③ 기록부
- ④ 수신부
등록된 댓글이 없습니다.
70. 다음 굴뚝에서 배출되는 중금속 중 분석시료용액의 제조방법이 다른 하나는?
- ① Pb
- ② Cd
- ③ Cu
- ④ Cr
등록된 댓글이 없습니다.
71. 환경대기 중의 탄화수소 농도를 측정하기 위한 시험방법 중 주시험법인 것은?
- ① 총탄화수소 측정법
- ② 비메탄 탄화수소 측정법
- ③ 활성 탄화수소 측정법
- ④ 비활성 탄화수소 측정법
등록된 댓글이 없습니다.
72. 배출허용기준 중 표준산소농도를 적용받는 항목의 오염물질 농도량 보정식으로 옳은 것은? (단, C : 오염물질 농도(mg/Sm3 또는 ppm, Ca : 실측오염물질 농도(mg/Sm3 또는 ppm, Oa : 실측산소농도(%), Os : 표준산소농도(%))
- ①

- ②

- ③

- ④

등록된 댓글이 없습니다.
73. 환경대기 중에 있는 아황산가스 농도를 자동연속측정법으로 분석하고자 한다. 옳지 않은 것은?
- ① 흡광차분광법
- ② 용액 전도율법
- ③ 적외선형광법
- ④ 불꽃광도법
등록된 댓글이 없습니다.
74. 환경기준시험방법에 의해 대기중의 가스상 물질을 용매포집법으로 채취할 경우 채취장치의 배열 순서로 옳은 것은?
- ① 흡수관 - 흡입펌프 - 유량계 - 트랩
- ② 흡수관 - 트랩 - 흡입펌프 - 유량계
- ③ 흡수관 - 흡입펌프 - 트랩 - 유량계
- ④ 흡수관 - 유량계 - 트랩 - 흡입펌프
등록된 댓글이 없습니다.
75. 굴뚝 등에서 배출되는 배출가스 중의 무기 불소화합물을 불소 이온으로 분석하는 방법에 관한 설명으로 옳지 않은 것은?
- ① 시료채취시 시료중에 먼지가 혼입되는 것을 막기 위해 시료 채취관의 적당한 곳에 사불화에틸렌제 등 불소화합물의 영향을 받지 않는 여과재를 넣는다.
- ② 시료중의 무기 불소 화합물과 수분이 응축하는 것을 막기 위하여 시료 채취관 및 시료 채취간에서부터 흡수병까지 사이를 100℃ 이상으로 가열해준다.
- ③ 시료채취관은 배출가스중의 무기 불소화합물에 의해 부식되지 않는 불소수지관, 구리관 등을 사용한다.
- ④ 시료 채취관에서부터 흡수병까지의 가열부분에 있는 접속부는 갈아 맞춘 것으로 하고, 경질유리관이나 스텐레스관, 사불화에틸렌수지관, 불소고무관, 실리콘고무관 등으로 한다.
등록된 댓글이 없습니다.
76. 다이옥신류 측정시 시료채취용 내부표준 물질로 사용되는 물질은? (단, 가스크로마토그래프/질량분석계(GC/MS)에 의한 분석방법 기준)
- ① 37Cl4 - 2,3,7,8 - T4COD
- ② 13Cl12 - 2,3,7,8 - T4COD
- ③ 37Cl4 - 2,3,7,8 - T4COF
- ④ 37Cl12 - 2,3,7,8 - T4COF
등록된 댓글이 없습니다.
77. 다음 중 원자흡광광도법에 사용되는 분석장치인 것은?
- ① Packing Material
- ② Detector Oven
- ③ Nebulizer-Chamber
- ④ Electron Capture Detector
등록된 댓글이 없습니다.
78. 다음 그림은 원자흡광광도법에 의한 시료 중의 분석원소농도를 구하는 방법이다. 어떤 정량법인가?

- ① 검량선법
- ② 절대검량선법
- ③ 표준첨가법
- ④ 내부표준법
등록된 댓글이 없습니다.
79. 어느 보일러 굴뚝내의 배출가스의 밀도가 1.2kg/m3이고, 피토우관에서의 동압이0.2inH2O일때, 굴뚝 배출가스의 유속은? (단, 피토우관 계수 : 0.84)
- ① 5.60 m/sec
- ② 7.65m/sec
- ③ 8.38 m/sec
- ④ 9.10m/sec
등록된 댓글이 없습니다.
80. 다음 가스크로마토 그래프의 장치구성 중 가열장치가 피룡한 부분과 그 이유로 옳게 연결된 것은?

- ① A,B,C - 운반가스 및 시료의 응축을 방지하기 위해
- ② A,C,D - 운반가스 응축을 방지하고 시료를 기화하기 위해
- ③ C,D,E - 시료를 기화시키고, 기화된 시료의 응축 및 응결을 방지하기 위해
- ④ B,C,D - 운반가스 유량의 적절한 조절과 분리관내 충진제의 흡착 및 흡수능을 높이기 위해
등록된 댓글이 없습니다.
5과목 : 대기환경관계법규
81. 다음은 대기오염경보단계중 “주의보” 발령기준에 관한 사항이다. ( )안에 알맞은 것은?

- ① 0.12
- ② 0.15
- ③ 0.3
- ④ 0.5
등록된 댓글이 없습니다.
82. 대기환경보전법규상 대기오염 배출시설로부터 배출되는 오염물질을 배출허용기준 이하로 배출하기 위하여 설치하는 대기오염 방지시설로 가장 적합한 것은)?단, 방지시설에는 오염물질을 포집 및 이송을 위한 부대기계ㆍ기구류 등을 포함한다.)
- ① 증류시설
- ② 포기시설
- ③ 농축시설
- ④ 촉매반응을 이용하는 시설
등록된 댓글이 없습니다.
83. 대기환경보전법령에 의거, 환경기술인을 바꾸어 임명할 경우 그 사유가 발생한 날로 최대 며칠이내에 신고하여 하는가?
- ① 당일
- ② 3일
- ③ 5일
- ④ 10일
등록된 댓글이 없습니다.
84. 배출시설 가동시에 방지시설을 가동하지 아니하거나 오염도를 낮추기 위하여 배출시설에서 배출되는 오염물질에 공기를 섞어 배출하는 행위에 대한 1차 행정처분 기준은?
- ① 조업정지 30일
- ② 조업정지 20일
- ③ 조업정지 10일
- ④ 경고
등록된 댓글이 없습니다.
85. 대기환경규제지역을 관할하는 시ㆍ도지사는 당해 지역이 대기환경규제지역으로 지정ㆍ고시된 후 최대 몇 년 이내에 당해 지역의 환경기준을 달성ㆍ유지하기 위한 계획을 수립ㆍ시행 하여야 하는가?
- ① 5년
- ② 3년
- ③ 2년
- ④ 1년
등록된 댓글이 없습니다.
86. 자가방지시설을 설계시공하고자 하는 경우, 시ㆍ도지사에게 제출해야 되는 서류로 가장 거리가 먼 것은?
- ① 원료(연료포함)사용량, 제품생산량 및 오염물질 등의 배출량을 예측한 명세서
- ② 공정도
- ③ 기술능력현황을 기재한 서류
- ④ 배출시설 설치도면 및 종업원 수
등록된 댓글이 없습니다.
87. 대기환경보전법규에 명시된 환경기술인의 교육사항에 관한 규정 중 ( )안에 들어갈 말로 옳은 것은?

- ① ① 3월, ② 1년
- ② ① 6월, ② 1년
- ③ ① 1년, ② 3년
- ④ ① 1년, ② 5년
등록된 댓글이 없습니다.
88. 악취방지법규에 의거 악취배출시설의 변경신고를 하영야 하는 경우로 가장 거리가 먼 것은?
- ① 악취배출시설을 폐쇄하는 경우
- ② 사업장 명칭을 변경하는 경우
- ③ 대표자를 변경하는 경우
- ④ 악취배출시설 또는 악취방지시설을 동종ㆍ동일 규모의 시설로 대체하는 경우
등록된 댓글이 없습니다.
89. 대기환경보전법상 용어의 정의로 옳지 않은 것은?
- ① 대기오염물질이라 함은 대기오염의 원인이 되는 가스ㆍ입자상물질 및 악취물질로서 대통령령으로 정한 것을 말한다.
- ② 기후ㆍ생태계변화 유발물질이라 함은 지구온난화 등으로 생태계의 변화를 가져올 수 있는 기체상 물질로서 온실가스 및 환경부령이 정하는 것을 말한다.
- ③ 매연이라 함은 연소시에 발생하는 유리탄소를 주로 하는 미세한 입자상물질을 말한다.
- ④ 검댕이라 함은 연소시에 발생하는 유리탄소가 응결하여 입자의 지르이 1미크론 이상이 되는 입자상물질을 말한다.
등록된 댓글이 없습니다.
90. 악취방지법에 의거 환경부령이 정하는 악취를 발생시키는 물질을 불법 소각한 자에 대한 벌칙기준은?
- ① 50만원 이하의 벌금
- ② 100만원 이하의 벌금
- ③ 200만원 이하의 벌금
- ④ 300만원 이하의 벌금
등록된 댓글이 없습니다.
91. 대기환경보전법규에 의한 자가측정대상ㆍ항목 및 방법에 대한 기준으로 옳지 않은 것은?
- ① 먼지ㆍ황산화물 및 질소산화물의 연간 발생량 합계가 80톤 이상인 시설은 주 1회 이상 측정한다.
- ② 먼지ㆍ황산화물 및 질소산화물의 연간 발생량 합계가 20톤 이상 80톤 미만인 시설은 월 1회 이상 측정한다.
- ③ 먼지ㆍ황산화물 및 질소산화물의 연간 발생량 합계가 10톤 이상 20톤 미만인 시설은 매 2월 1회 이상 측정한다.
- ④ 매 2월 1회 이하 측정하여야 할 시설중 특정유해물질이 포함된 오염물질을 배출하는 경우에는 시설의 규모에 관계없이 월 2회 이상 측정하여야 한다.
등록된 댓글이 없습니다.
92. 환경정책기본법상 시ㆍ도지사가 지역환경의 특수성을 고려하여 규정에 의한 기준보다 확대ㆍ강화된 별도의 환경기준을 설정할 경우, 누구에게 보고하여야 하는가?
- ① 환경부장관
- ② 보건복지부장관
- ③ 건설교통부장관
- ④ 국무총리
등록된 댓글이 없습니다.
93. 대기배출시설 설치허가를 받은 A사업장에서 먼지 30톤/년, 질소산화물 40톤/년, 일산화탄소 20톤/년의 대기오염물질이 발생된다면, 사업장 분류기준으로는 몇 종에 해당하는가?
- ① 1종 사업장
- ② 2종 사업장
- ③ 3종 사업장
- ④ 4종 사업장
등록된 댓글이 없습니다.
94. 대기환경보전법상에 규정된 첨가제가 아닌 것은?
- ① 청정분산제
- ② 옥탄가 향상제
- ③ 매연 발생제
- ④ 세척제
등록된 댓글이 없습니다.
95. 다중이용시설 등의 실내공기질 관리법령상 대통령령이 정하는 규모의 다중이용시설에 해당되지 않는 것은?
- ① 여객자동차터미널의 연면적 2천2백 제곱미터인 대합실
- ② 공항시설중 연면적 1천 1백제곱미터인 여객터미널
- ③ 철도역사의 연면적 2천2백제곱미터인 대합실
- ④ 모든 지하역사
등록된 댓글이 없습니다.
96. 대기환경보전법령상 법규정에 의한 개선명령을 받지 아니한 사업자가환경부 장관에게 개선계획서를 제출하고 배출허용기준을 초과하여 오염물질을 배출할 수 있는 경우가 아닌것은?
- ① 배출시설 또는 방지시설을 개선ㆍ변경ㆍ점검 또는 보수하기 위하여 부득이한 경우
- ② 배출시설 또는 방지시설의 적정운영검사기간이 15일을 초과하는 경우
- ③ 배출시설 또는 방지시설의 주요기계장치 등의 돌발적 사고로 인하여 적정 운영을 할 수 없는 경우
- ④ 단전ㆍ단수로 배출시설 또는 방지시설을 적정운영 할 수 없는 경우
등록된 댓글이 없습니다.
97. 환경부장관이 사업자에게 배출시설 및 방지시설의 부적정 운영으로 인하여 조치명령을 하는 경우, 정하는개선기간의 최대 범위는? (단, 연장기간 제외)
- ① 3월 범위내
- ② 6월 범위내
- ③ 9월 범위내
- ④ 12월 범위내
등록된 댓글이 없습니다.
98. 대기환경보전법 시행령에 규정된 사업장별 환경기술인의 자격기준으로 옳지 않은 것은?
- ① 대기오염물질발생량의 합계가 연간 80톤 이상인 사업장은 1종 사업장에 해당하는 기술인을 둘 수 있다.
- ② 대기오염물질발생량의 합계가 연간 20톤 이상 80톤 미만인 사업장은 2종 사업장에 해당하는 기술인을 둘 수 있다.
- ③ 전체배출시설에 대하여 방지시설 설치면제를 받은 사업장과 배출시설에서 배출되는 오염물질들을 공동방지시설에서 처리하게 하는 사업장은 5종 사업장에 해당하는 기술인을 둘 수 있다.
- ④ 5종 사업장 중 특정대기유해물질이 포함된 오염물질을 배출하는 경우에는 4종 사업장에 해당하는 기술인을 두어야 한다.
등록된 댓글이 없습니다.
99. 환경정책기본법령상 대기환경기준으로 옳지 않은 것은?

- ① ①
- ② ②
- ③ ③
- ④ ④
등록된 댓글이 없습니다.
100. 다음은 대기환경보전법규에 규정된 현재 제작자동차의 배출가스 보증기간에 관한 사항이다. ( )안에 알맞은 것은?

- ① ① 기간 또는 주행거리 중 나중 도달하는 것. ② 1000 시간
- ② ① 기간 또는 주행거리 중 나중 도달하는 것. ② 2000 시간
- ③ ① 기간 또는 주행거리 중 먼저 도달하는 것. ② 1000 시간
- ④ ① 기간 또는 주행거리 중 먼저 도달하는 것. ② 2000 시간
등록된 댓글이 없습니다.