도시계획기사(2019. 4. 27.) 시험일자 : 2019년 4월 27일
1과목 : 도시계획론
1. 1967년 도시 내의 상업 · 업무지역을 중심형 상업지구(nucleation), 가로변 상업지구(ribbon), 특화지구(specialized area)로 구분한 학자는?
- ① 프라우푸트(Proudfoot)
 - ② 사핀과 카이저(Chapin & Kaiser)
 - ③ 베리(Berry)
 - ④ 무쓰(Muth)
 
등록된 댓글이 없습니다.
2. 토지이용에서 도시문제를 야기하는 대표적인 요인으로 보기 어려운 것은?
- ① 이용주체간의 경합
 - ② 외부효과
 - ③ 토지의 난개발
 - ④ 계획성 있는 토지이용계획
 
등록된 댓글이 없습니다.
3. 재해관리정보시스템 구축을 위한 기본조사 항목과 가장 관계가 없는 것은?
- ① 방재관련 업무 분석
 - ② 표준안 및 시스템 구축 지침 작성
 - ③ 데이터베이스 개념설계 및 기술 수요 분석
 - ④ 재해관련 부서 간 네트워킹 체계 및 업무 협조 체계 구축
 
sio1004402025. 8. 8. 19:30삭제
부서 간 네트워킹?.. 이건 시스템 구축에 필요한 '기본조사' 가 아냐.
4. 기반시설로서 광장의 구분에 해당하지 않는 것은?
- ① 공중광장
 - ② 일반광장
 - ③ 경관광장
 - ④ 건축물부설광장
 
csk919222024. 6. 11. 10:42삭제
광장의 종류 : 교통, 일반, 경관, 지하, 건축물부설
5. 학자와 계획안의 연결이 틀린 것은?
- ① Ebenezer Howard - 전원도시
 - ② Tony Garnier - 공업도시
 - ③ P. Abercrombie - 대런던계획
 - ④ Frank Lloyd Wright - 빛나는 도시
 
도시해설2020. 9. 25. 16:06삭제
르꼬르뷔지에 빛나는도시
6. 상업지역 이용인구 40000명, 1인당 평균상면적 15m2, 건폐율 50%, 공공용지율 40%, 평균층수가 10층인 경우 상업지역의 소요면적은?
- ① 20.0ha
 - ② 15.8ha
 - ③ 12.5ha
 - ④ 10.0ha
 
sio1004402025. 8. 8. 19:37삭제
총 상면적 / 건폐율 = 건폐면적
건폐울을 분모에 쓰는군
7. 지리정보시스템(GIS)에서 활용하는 자료에 대한 설명으로 옳은 것은?
- ① GIS의 자료는 크게 도형자료와 속성자료로 구분된다.
 - ② 래스터 자료는 자료 저장과 표현의 기본 단위로 점(point)을 이용한다.
 - ③ 래스터 자료는 저장의 기본 단위 크기를 크게 할수록 정밀도가 향상된다.
 - ④ 자료 구조 측면에서 GIS자료는 그리드(grid)와 래스터(raster) 자료로 구분된다.
 
csk919222024. 6. 11. 10:48삭제
2번: 레스터의 기본단위는 셀(sell)을 이용한다.
3번: 기본단위를 크게 할수록 정밀도가 떨어진다.
4번: GIS자료는 벡터와 래스터자료로 구분된다
8. 국토계획의 개념으로 틀린 것은?
- ① 국토계획은 전 국토를 대상으로 하는 계획이다.
 - ② 국토계획은 국토에서 일어나는 여러 가지 인간 활동의 공간적 배분 문제를 다루는 공간계획이다.
 - ③ 국토계획은 국토의 공간구성과 관련되는 모든 분야가 망라되는 종합계획이다.
 - ④ 국토계획은 지방자치단체가 주체가 되어 수립한 계획을 종합한 계획이다.
 
등록된 댓글이 없습니다.
9. 도시계획이론에 대한 설명으로 틀린 것은?
- ① 합리적 계획 모형은 합리성과 의사 결정을 위한 일련의 선택 과정을 강조한다.
 - ② 정치 경제 계획 모형(Political Economy Planning)은 자본주의 사회 계층 간의 갈등은 도시 계획의 집행 결과에 따른 현상으로 조명되야 한다고 주장한다.
 - ③ 점진적 계획(Incremental Planning)은 인간 합리성의 한계를 인정하고 지속적인 조정과 적용을 통해 계획의 목표를 추구하는 접근방법을 제시한다.
 - ④ 옹호적 계획(Advocacy Planning)은 공공정책 결정을 위한 기준을 제시하는 기술관료적 역할을 중시한다.
 
등록된 댓글이 없습니다.
10. 독시아디스(C.A. Doxiadis)가 주장하는 3차원의 공간에 대한 4차원의 시간에 초점을 맞춘 미래 도시 개념은?
- ① 연담도시
 - ② 다이나폴리스
 - ③ 메트로폴리스
 - ④ 메갈로폴리스
 
하이2021. 9. 12. 00:35삭제
독시아디시 3차원 4차원은 다이나폴리스임
11. 도시계획이론으로서 옹호적 계획(Advocacy Planning)을 주창한 학자는?
- ① C. Lindblom
 - ② E. Etizioni
 - ③ P. Davidoff
 - ④ H. Simon
 
청솔2023. 2. 11. 09:23삭제
다비도프의 옹호적 계획.
12. 주택지의 말단부에서는 자동차와 사람이 공존하는 것이 더 바람직하며, 주택지 내 도로는 단순한 교통시설이 아니라 시민생활의 터전이 되어야 한다는 생각으로 네덜란드의 델프트에서 처음 등장한 보차공존도로 방식은?
- ① 본엘프(woonerf)
 - ② 커뮤니티몰(community mall)
 - ③ 거주환경지역(environmental area)
 - ④ 보행자데크(pedestrian deck)
 
등록된 댓글이 없습니다.
13. 머디(R. A. Muride, 1997)가 미국의 여러 도시들을 대상으로 한 사회공간구조의 분석 결과 밝혀낸 다핵 패턴을 이루게 되는 유형에 해당하지 않는 것은?
- ① 사회·경제적 지위
 - ② 가족구조
 - ③ 인종그룹
 - ④ 사회제도구조
 
sio1004402025. 8. 8. 19:45삭제
"사회제도구조"는 머디가 분석 대상으로 다룬 인구사회 통계 변수(소득·가구·인종) 범위를 벗어남.
sio1004402025. 8. 8. 19:45삭제
사회·경제적 지위, 가족구조, 인종그룹 모두 "인구 특성" 중심으로 다핵 구조가 나타남.
14. 토지이용의 밀도 유형과 측정지표가 잘못 연결된 것은?
- ① 1인당주거면적 = 주거건물면적 / 가구수
 - ② 용적률 = 건물연면적 / 대지면적
 - ③ 건폐율 = 건축면적 / 대지면적
 - ④ 호수밀도 = 주택수 / 대지면적
 
룰루2024. 2. 25. 12:58삭제
주거건물면적/가구수 = 가구당 주거면적
15. 도시조사에 이용되는 지적도에 대한 설명이 틀린 것은?
- ① 토지대장에 등록된 토지의 경계를 밝혀주는 공부다.
 - ② 필지별 토지의 소재, 지번, 지목, 경계 등 소유권의 범위를 표시하고 있다.
 - ③ 필지 경계 외에도 지형 및 건물의 배치가 표기되어 있어 도시계획에 있어 필수적인 자료다.
 - ④ 도면상의 지적과 공부상의 면적이 일치하지 않는 지적불부합의 문제가 있다.
 
sio1004402025. 8. 8. 19:51삭제
따라서 도시계획에 있어 필수적인.. 지형, 건물 배치 데이터는 지형도 ㅎ
sio1004402025. 8. 8. 19:51삭제
지형도 (Topographic Map) : 	등고선, 하천, 도로, 건물, 경계표지, 식생, 지명… 등 내가 설계할때 쓰는거. 비교적 소축적 사용
지적도 (Cadastral Map) : 필지 경계선, 지번, 지목, 면적, 소유권, 경계점(좌표)… 등 토지 "행정"의 근거 도면. 대축적 사용 (1:500~1000)
csk919222024. 6. 11. 10:51삭제
지형및 건물의 배치는 지적도에는 없다. 지형도에 있다.
16. 비용편익분석에서 경제성을 평가하는 지표가 아닌 것은?
- ① B/C Ratio
 - ② Multiplier
 - ③ NPV
 - ④ IRR
 
등록된 댓글이 없습니다.
17. 현재 시행되고 있는 토지 관련 부담금의 종류가 아닌 것은?
- ① 「개발이익 환수에 관한 법률」에 따른 개발부담금
 - ② 「개발제한구역의 지정 및 관리에 관한 특별조치법」에 따른 개발제한구역 보전부담금
 - ③ 「기반시설 부담금에 관한 법률」에 따른 기반시설부담금
 - ④ 「대도시권 광역교통 관리에 관한 특별법」에 따른 광역교통시설부담금
 
sio1004402025. 8. 8. 19:52삭제
이미 개발부담금·광역교통시설부담금 등 유사 부과금이 존재해 중복 부과 논란으로 기반시설부담금은 10년 전에 사라짐
'ㄹㅇ2021. 9. 12. 00:37삭제
'기반시설 부담금 사라짐
18. 도시계획에서의 아래의 설명에 해당하는 GIS 활용분야는?

- ① 토지적성평가
 - ② 토지이용계획
 - ③ 토지보전가치평가
 - ④ 국토관리평가
 
sio1004402025. 8. 8. 19:54삭제
질문에서 물어보는 것은 '국토관리체계', '토지이용계획' 등을 위해 평가할 항목이니까 토지적성평가임.
sio1004402025. 8. 8. 19:54삭제
토지적성평가 : " 이 땅을 개발해도 되는가? " -> 각 등급별로 허용·억제·관리 개발행위를 결정함
토지보전가치평가 : " 이 땅을 반드시 지켜야 하는가? " -> 보전가치 항목을 가중합산해 개발제한·완충·복원 대상 구역을 도출함
ㅏ2021. 9. 12. 00:38삭제
토지적성평가
19. 우리나라 최초의 도시계획법이라고도 볼 수 있으며, 지역지구의 법적 근거를 최초로 마련한 법규는?
- ① 조선시가지계획령
 - ② 토지구획정리사업법
 - ③ 도시계획법
 - ④ 건축법
 
청솔2023. 2. 11. 09:25삭제
우리나라 최초의 도시계획법은 조선시가지계획령(일제강점기)
20. 지속가능한 도시가 추구하여야 할 기본 목표가 아닌 것은?
- ① 환경부하가 높은 첨단도시
 - ② 도시경관의 개선 및 보전
 - ③ 환경친화적 교통·물류체계의 정비
 - ④ 쾌적한 도시공간의 정비 및 확보
 
등록된 댓글이 없습니다.
2과목 : 도시설계 및 단지계획
21. 케빈 린치가 도시환경의 이미지를 분석할 때 정의한 3가지 구성 요소가 아닌 것은?
- ① 정체성(Identity)
 - ② 구조(Structure)
 - ③ 의미(Meaning)
 - ④ 행동장면(Behavior Setting)
 
csk919222024. 6. 11. 10:55삭제
환경 이미지 구성요소 
: 정체성(Identity), 구조(Structure), 의미(Meaning)
도시를 이미지화하는 도시의 물리적 구조 요소
: 통로(Path), 랜드마크(Landmark), 경계(Edge), 결절점(Node), 지구(District)
22. 단지 조사 시 등고선도의 활용만으로 가능한 분석내용은?
- ① 토양토심
 - ② 국지기후
 - ③ 지면경사
 - ④ 지하수망
 
등록된 댓글이 없습니다.
23. 어린이공원의 규모 및 유치거리 기준이 옳은 것은?
- ① 1500m2 이상, 250m 이하
 - ② 2000m2 이상, 250m 이하
 - ③ 2500m2 이상, 300m 이하
 - ④ 3000m2 이상, 300m 이하
 
등록된 댓글이 없습니다.
24. 지구단위계획 수립 시 환경관리계획의 목표로 가장 거리가 먼 것은?
- ① 개발로 인한 자연환경의 피해 최소화
 - ② 자연생태계 보존 및 순환체계의 유지
 - ③ 자연에너지의 활용 및 에너지 절감
 - ④ 불투수포장 확대로 인한 물순환체계의 유지
 
등록된 댓글이 없습니다.
25. 생활편익시설의 배치 시 노선형에 비해 집중형으로 배치하였을 때의 특징으로 옳지 않은 것은?
- ① 시설 상호간의 유기적 관련성이 높다.
 - ② 활력있는 가로 분휘기를 조성할 수 있다.
 - ③ 상점의 입장에서는 충분한 주차공간의 확보가 어렵다.
 - ④ 공공공간의 공동 이용으로 용지의 면적이 절약된다.
 
csk919222024. 6. 11. 11:07삭제
- 집중형: 단지 중앙 또는 특정지점에 배치하고 주변으로 주거지역을 배치함으로써 중심성 강화
- 분산형 : 단지 외곽에 분산배치함으로써 당해 주민과 주변지역에 서비스 (페리의 근린주구 이론)
- 노선형 : 일반도로, 보행자전용도로 주변으로 생활편익시설 입지, 식별성 접근성 양호
- 혼합형(집중형+분산형) : 집적의 이익을 얻을 수 있는 시설(문화시설)은 집중시키고 분산 시킬수록 편익이 증대되는 시설(어린이 놀이터, 공원)은 분산시킴
26. 범죄예방환경설계(CPTED)와 관련성이 가장 적은 것은?
- ① 자연적 접근 통제
 - ② 교통 편의성
 - ③ 영역성 강화
 - ④ 자연적 감시
 
등록된 댓글이 없습니다.
27. 다음 중 경관분석 방법에 해당하지 않는 것은?
- ① 기호화 방법
 - ② 군락측도방법
 - ③ 사진에 의한 방법
 - ④ 메쉬(mesh)에 의한 방법
 
sio1004402025. 8. 8. 19:56삭제
도시계획에서는 특정 지역 생태적 특성을 파악할 때 쓰는 지표지만, 경관분석과는 관계없음
sio1004402025. 8. 8. 19:55삭제
군락측도 -> 생태학에서 식생 분석에 사용되는 방법ㅎ
28. 계획 인구 5만명, 주택용지율 75%의 단지계획에서 1인당 택지 점유율이 30m2일 때, 계획대상 단지의 면적은 얼마인가?
- ① 11.25 ha
 - ② 66.66 ha
 - ③ 150 ha
 - ④ 200 ha
 
등록된 댓글이 없습니다.
29. 등고선과 단면의 관계가 틀린 것은?
- ① 

 - ② 

 - ③ 

 - ④ 

 
청솔2023. 2. 11. 09:40삭제
등고선과 단면의 관계는 w자형이 아니라 m자형이다.
30. 근린생활권의 위계 중에서 주민 간에 면식이 가능한 최소단위의 생활권으로, 유치원·어린이 공원 등을 공유하는 반경 약 250m가 설정기준이 되는 것은?
- ① 인보구
 - ② 근린기초구
 - ③ 근린분구
 - ④ 근린주구
 
sio1004402025. 8. 8. 19:58삭제
어린이공원, 250m -> 근린분구
어린이놀이터, 100m -> 인보구
csk919222024. 6. 11. 11:14삭제
근린주구 
- 보행으로 중심부와 연결 / 반경 500m 정도 / 초등학교, 중학교, 근린상가, 근린공원 공유
근린분구
- 주민간 면식이 가능한 생활권 / 반경 250m 정도/ 어린이공원, 유치원 등공유
인보구
- 이웃 간 친분관계 유지 / 반경 100m 정도 / 어린이 놀이터, 구멍가게 등
31. 사업부지와 공공시설로 제공되는 부지의 용적률이 다를 경우에는 공공시설 부지의 용적률과 사업부지의 용적률 비율(“가중치”라 한다)을 감안하여 용적률 완화 범위를 정할 수 있게 되는데 다음 조건에서 가중치는? 「용적률 800% 상업지역에서 공공시설인 공개공지 제공부지 200m2와 용적율 200% 주거지역에서 도로시설제공부지 100m2인 경우」
- ① 0.7
 - ② 0.75
 - ③ 0.8
 - ④ 0.85
 
등록된 댓글이 없습니다.
32. 다음 중 저밀도 개발 대상지로서 가장 바람직한 지역은?
- ① 평탄하고 도심지로의 접근로상에 위치한 고지가지역
 - ② 주위에 상업시설이 밀집되어 있고 재개발이 추진되고 있는 지역
 - ③ 구릉지로서 자연경관과 지형이 어우러진 지역
 - ④ 역세권에서 위치하여 대중교통의 연계성이 우수한 소규모 지역
 
등록된 댓글이 없습니다.
33. 아래 설명에 적합한 가로망 형태는?

- ① cul-de-sac
 - ② U자형(loop형)
 - ③ 방사형
 - ④ 격자형
 
등록된 댓글이 없습니다.
34. 학자가 주장한 주요 개념의 연결이 틀린 것은?
- ① 고든 쿨렌(Gordon Cullen) : 연속장면(Serial Vision)
 - ② 케빈 린치(Kevin Lynch) : 가독성(Legibility)
 - ③ 카밀로 지테 : 연속경관(Choregraphic Sequence)
 - ④ 필립 티엘(Philip Thiel) : 스마트 스페이스(Smart Space)
 
sio1004402025. 8. 8. 20:00삭제
1) Path (길) 2) Edge (경계) 3) District (지구) 4) Node (결절) 5) Landmark (주요 표지)
케빈린치가 이렇게 구성요소를 뽑은 배경에는 : 보행자가 머릿속에 명확한 도시 이미지를 그릴 수 있을 정도로 길과 구역·랜드마크 등의 구조가 분명한 상태에 대한 '인지성 편의성'을 다루고 있기 때문이다.
csk919222024. 6. 11. 11:17삭제
필립 티엘은 Object, Suface, Screen의 3가지 공간 구성요소를 주장
35. 도시지역 내 지구단위계획구역을 지정할 수 있는 용도지구가 아닌 것은?
- ① 경관지구
 - ② 보호지구
 - ③ 개발진흥지구
 - ④ 리모델링지구
 
등록된 댓글이 없습니다.
36. 교차점광장의 결정 기준이 아닌 것은?
- ① 차량과 보행자를 원활히 소통시키기 위하여 필요한 곳에 설치한다.
 - ② 다수인의 집회·행사·사교 등을 위하여 필요한 경우에 설치한다.
 - ③ 혼잡한 주요도로의 교차지점 중 필요한 곳에 설치한다.
 - ④ 자동차전용도로의 교차지점인 경우에는 입체교차방식으로 설치한다.
 
등록된 댓글이 없습니다.
37. 하수배제 방식 분류식(Separate System)에 관한 설명으로 옳은 것은?
- ① 합류식에 비해 우천시 다량의 토사가 유입된다.
 - ② 수로를 통폐합하고 우수배제 계통을 종합적으로 관리할 수 있다.
 - ③ 기존 측구를 유지할 경우 관리 및 미관상 문제가 발생할 수 있다.
 - ④ 오수, 오수관거의 2계통을 건설하는 것에 비해 저렴하나 오수관거만을 건설하는 것에 비해 고가이다.
 
csk919222024. 6. 11. 11:19삭제
1번, 2번, 4번은 합류식
38. 지구단위계획 중 건축물의 용도에 관한 계획에서 공공적 성격이 강하여 특별히 확보해야 하는 시설의 경우에 적용하는 용도제한의 종류는?
- ① 지정
 - ② 권장
 - ③ 불허
 - ④ 지하층
 
sio1004402025. 8. 8. 20:04삭제
 공공적 성격이 강하여 특별히 "확보해야 하는" 시설 -> 의무 배치 필요한 시설 이므로, "지정"
sio1004402025. 8. 8. 20:03삭제
지정 : 의무 배치 (공공적 성격이 강하고 반드시 확보해야 하는 시설에 대해)
권장 : 인센티브 부여 (있으면 바람직한 시설에 대해 ㅎ)
불허 : 금지 (주변 환경·경관을 저해하거나 과밀·혼잡 유발하는 시설에 대해)
csk919222024. 6. 11. 11:19삭제
불허 : 구역의 지정목적과 계획목표에 부합하지 않는 것.
지정 : 공공적 성격이 강함
권장 : 구역 위상에 부합하여 기능 강화가 필요한 경우
39. 지구단위계획이 다른 도시계획행위와 구별되는 특징에 대한 설명이 틀린 것은?
- ① 도시 전체를 대상으로 하지 않고 도시 내부의 특정 지구로 한정된다.
 - ② 공공의 일상적 공간을 특정지구의 여건에 비추어 바람직한 장소로 만들어가는 것을 목표로 한다.
 - ③ 지구단위계획은 3차원적 요소에도 관여한다.
 - ④ 지구단위계획은 장소를 구성하는 물리적 요소가 갖고 있는 개체적 특성을 중시하지만 다른 공간계획은 그것들이 이루는 집합된 형태에 중점을 둔다.
 
csk919222024. 6. 11. 11:20삭제
지구단위계획은 개체들이 이루는 이루는 집합적 형태에 중점을 두는 공간계획방식
40. 일반적으로 도시공간에서 건물의 높이와 수평거리의 비율이 얼마일 때부터 폐쇄감을 느끼기 시작하는가?
- ① 4:1
 - ② 2:1
 - ③ 1:2
 - ④ 1:4
 
조팝나무2023. 7. 31. 01:11삭제
1대2
3과목 : 도시개발론
41. 부채에 의한 재원조달 방식이 아닌 것은?
- ① 회사채
 - ② 자산담보부증권
 - ③ 투자조합
 - ④ 대출
 
sio1004402025. 8. 8. 20:09삭제
보기	‘돈을 빌리는’ 부채(debt) 인가?	핵심 이유
*사채 : 공인된 금융 기관이 아닌, 개인이 채주(債主)가 되는 빚 ㅡ회사가 채무를 지게 되면 회사채
 
① 회사채(Corporate Bond) : 채권 발행에 대한 원금과 이자를 갚아야 함.
② 자산담보부증권(ABS) : "자산을 담보로 발행하는 채권". 역시 채권에 대한 원금이자 갚아야 함.
③ 투자조합 : 펀드, LLP등. 조합언이 돈을 출자한 것으로, 이익과 손실을 지분대로 배분하면 되는 것이지 상환 의무는 없음. 
④ 대출 : 금융기관에서 차입. 갚아야지.
42. 토지상환채권의 발행 규모는 그 토지상환채권으로 상환할 토지·건축물이 해당 도시개발사업으로 조성되는 분양토지 또는 분양건축물 면적의 얼마를 초과하지 아니하도록 하여야 하는가?
- ① 2분의 1
 - ② 3분의 1
 - ③ 4분의 1
 - ④ 5분의 1
 
sio1004402025. 8. 8. 20:06삭제
<토지상환채권의 발행규모>
그 채권으로 상환할 토지, 건축물이
해당 도시개발사업으로 조성되는 분양토지 또는 분양건축물 면적의 < 1/2 > 을 초과하지 아니하도록 하여야 한다.
43. 개발권양도제(TDR)의 목적으로 가장 거리가 먼 것은?
- ① 납세자 보호
 - ② 역사적 건축물 보호
 - ③ 과밀지역의 개발 제한
 - ④ 사업 인프라비용 절감
 
등록된 댓글이 없습니다.
44. 기업도시의 기능별 유형에 해당하지 않는 것은?
- ① 산업교역형
 - ② 지식기반형
 - ③ 관광레저형
 - ④ 특성화형
 
sio1004402025. 8. 8. 20:10삭제
특성화고는 들어봤어도 특성화기업도시는 못들었습니다.
csk919222024. 6. 11. 11:22삭제
기업도시의 기능별 유형
1. 산업교역형
2. 지식기반형
3. 관광레저형
45. 민관합동 부동산 개발금융방식인 프로젝트파이낸싱(project financing)의 자금조달 형태에 관한 설명이 틀린 것은?
- ① 자기 자본투자는 투자 회수 순위에서 가장 높은 순위를 지니므로 위험도가 가장 낮다고 할 수 있다.
 - ② 자기 자본투자자는 전략적 투자자와 재무적 투자자로 분류되면 재무적 투자자는 사업에 의한 배당 수익에 투자목적이 있다.
 - ③ 선순위 채권(senior debt)은 프로젝트파이낸싱에서 가장 큰 비중을 차지하는 자금이다.
 - ④ 선순위 채권(senior debt)은 대부분 상업은행으로부터의 차입금이 이에 해당되며 이자수익을 목적으로 투자한다.
 
sio1004402025. 8. 8. 20:28삭제
③ 맞음. 통상 총사업비의 50~70 % 이상이 선순위 채권이 담당.
④ 맞음. 은행에서 담보·약정을 두고 고정된 이자를 수취해감. 
sio1004402025. 8. 8. 20:27삭제
PF의 자본 상환 순서 : 선순위 채권 → 중·후순위(메자닌) 채권 → 자기자본(Equity)
때문에 자기자본이 회수 순위에서 가장 마지막이고, 그렇기에 손실 위험이 가장 큼 !!!!
46. 도시 및 주거환경정비법에서 정의하고 있는 정비사업이 아닌 것은?
- ① 주건환경개선사업
 - ② 재개발사업
 - ③ 도시환경정비사업
 - ④ 재건축사업
 
등록된 댓글이 없습니다.
47. 재개발방식에 따른 재개발 유형에 해당하지 않는 것은?
- ① 공공시설정비재개발
 - ② 수복재개발
 - ③ 전면재개발
 - ④ 보존재개발
 
등록된 댓글이 없습니다.
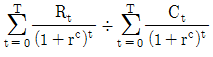
48. 도시개발사업의 평가를 위한 지표인 수익성지수(PI)를 산정하는 식으로 옳은 것은?

- ① 

 - ② 

 - ③ 

 - ④ 

 
sio1004402025. 8. 8. 20:30삭제
수익성 지수 식 -> 나누기 있어야 함
49. 지역지구제에 대한 설명이 틀린 것은?
- ① 용도지역에 따라 건축물의 용도 이외에 건축물의 형태, 규모의 규제가 가능하다.
 - ② 지역지구제는 공고의 건강과 복리 증진을 위해 경찰권을 사용하여 개인의 토지이용에 제한을 가하는 법적 배경을 가진다.
 - ③ 용도지역지구제에서 지역과 지역, 지역과 지구, 지구와 지구간은 상호 모순되지 않는 한 중복 지정이 가능하다.
 - ④ 용도구역은 도시집중과 그에 따른 무질서한 시가화를 방지하고 계획적·단계적으로 시가지를 조성하기 위해 지정한다.
 
sio1004402025. 8. 8. 20:32삭제
물론 용도 지구는 서로 충돌하지 않는다면 중복지정이 가능하다 (ex. 경관지구이면서 고도지구)
sio1004402025. 8. 8. 20:32삭제
한 필지에는 단 하나의 '용도지역' 만 지정 가능.
주거, 상업, 공업, 녹지 지역 2개 이상에 포함될 순 없음.
csk919222024. 6. 11. 11:28삭제
지역과 지역은 중복지정이 불가능
50. 도시재정비 촉진을 위한 특별법에 따른 재정비촉진지구 지정 면적을 기준 면적의 2분의 1까지 완화하여 적용하는 기준이 옳은 것은?
- ① 인구가 100만 이상이고 150만 미만인 광역시 또는 시의 주거지형 : 30만 제곱미터 이상
 - ② 인구가 100만 미만인 광역시 또는 시의 주거지형 : 20만 제곱미터 이상
 - ③ 기반시설이 열악한 지역으로서 정비구역이 4 이상 연접한 지역의 주거지형 : 10만 제곱미터 이상
 - ④ 산지로 주거여건이 열악하면서 경관을 보호할 필요가 있는 지역의 주거지형 : 15만 제곱미터 이상
 
sio1004402025. 8. 8. 20:48삭제
산지로 주거여건이 열악하면서 경관을 보호할 필요가 있는 지역
주거지형은 15만 제곱미터 이상, 중심지형은 10만 제곱미터 이상이 기준 :)
csk919222024. 6. 11. 11:29삭제
재정지촉진지구 지정의 요건 기준
1. 인구가 100만 이상이고 150만 미만인 광역시 또는 시의 주거지형 : 40만 제곱미터 이상
2. 인구가 100만 미만인 광역시 또는 시의 주거지형 : 30만제곱미터 이상
3. 기반시설이 열악한 지역으로서 정비구역이 4 이상 연접한 지역의 주거지형 : 15만 제곱미터 이상
4. 산지로 주거여건이 열악하면서 경관을 보호할 필요가 있는 지역의 주거지형 : 15만 제곱미터 이상
51. 마케팅전략의 3단계인 STP전략 중 새로운 제품에 대해 다양한 욕구, 행동, 특성을 가진 소비자들을 동질적인 집단으로 나누는 것은?
- ① 시장 세분화
 - ② 표적시장 선정
 - ③ 전략적 판촉
 - ④ 제품 포지셔닝
 
등록된 댓글이 없습니다.
52. 미국의 샌프란시스코(1981년)를 필두로 하여 도심재개발에 적용된 연계정책(Linkage Policy)에 대한 설명으로 가장 거리가 먼 것은?
- ① A. Keating, G. McMahon 등이 링키지(Linkage)란 용어를 사용하였다.
 - ② 링키지에 대한 정의의 폭이 각기 다른 것은 연계프로그램의 정책적 내용이 차츰 확대되어 나가고 있음을 반영하는 것으로 볼 수 있다.
 - ③ 시당국이 신규로 상업적 개발을 허가해 주는 대신 개발업자에게 일정한 주택, 고용기회, 보육시설, 교통시설 등의 건설을 촉구하는 다양한 프로그램으로 정의하기도 한다.
 - ④ 업무, 상업시설 등을 고려하여 고소득 주택과의 연계만을 추구하는 것이 일반적이다.
 
등록된 댓글이 없습니다.
53. 도시개발수요를 분석하기 위한 정성적 예측모형 중 조사하고자 하는 특정사항에 대하여 전문가 집단을 대상으로 반복 앙케이트를 수행하여 의견을 수집하는 방법은?
- ① 델파이법
 - ② 지수평화활법
 - ③ 박스젠킨스법
 - ④ 의사결정나무기법
 
등록된 댓글이 없습니다.
54. 자산담보부증권(ABS)에 대한 설명으로 옳지 않은 것은?
- ① 자산을 기초로 발행하는 경우 대차대조표에는 영향을 미치지 않는 부외금융이라는 이점이 있다.
 - ② 사업주의 신용이 낮은 경우에도 자금을 조달 할 수 있다.
 - ③ 대출과 달리 유가증권의 형태로 유동화 한다.
 - ④ 다른 수단에 비하여 간편하지만 운용보수가 높다.
 
등록된 댓글이 없습니다.
55. Jenson과 Meckling(1976)이 대리인 문제로부터 발생하는 금전적·비금전적 비용을 분류한 내용에 해당하지 않는 것은?
- ① 감시비용
 - ② 거래비용
 - ③ 잔여손실
 - ④ 확증비용
 
sio1004402025. 8. 8. 20:51삭제
금전적 비용의 세부 내용
감시비용 : 주주(위임한 자)가 대리인(경영진)의 행동을 감시, 통제하기 위해 지출하는 비용 (내부 감사, 성과 평가 시스템 구축 비용 등)
확증비용 : 대리인이 주인의 이해에 상반되는 행동을 하고 있지 않음을 증명하는 과정에서 발생하는 비용 (=결속비용)
잔여손실 : residual cost. 확증비용과 감시비용이 지출되었음에도, 그럼에도불구하고 대리인 때문에 발생한 비용
sio1004402025. 8. 8. 20:41삭제
<Jenson 과 Meckling - 대리인 문제로 금전적/비금전적 비용이 발생한다>
금전적 비용: 감시비용, 결속비용, 잔여손실
비금전적 비용: 사적이익 추구로 인한 비효율성, 위험회피로 인한 비효율성
56. 개발사업 시행주체에 따른 도시개발방식에 대한 설명으로 가장 거리가 먼 것은?
- ① 공공개발은 국가나 지방자치단체가 직접 시행하는 도시개발이며, 공사 또는 지방공기업이 시행하는 경우는 공공개발에서 제외된다.
 - ② 합동개발이란 공공이 사업주체가 되고 민간이 자본과 기술을 투입하여 택지를 조성하는 공영개발방식으로 이해되기도 한다.
 - ③ 민간개발이란 토지소유자 또는 토지소유자로 구성된 조합, 순수 민간기업 등이 사업시행자가 되는 경우를 말한다.
 - ④ 제3섹터개발은 관·민 양 부문이 공동출자하여 설립된 반관반민의 법인조직이 개발하는 것을 말한다.
 
등록된 댓글이 없습니다.
57. 도시개발사업에서의 인·허가에 대한 설명이 틀린 것은?
- ① 허가(許可)란 법령에 의하여 금지되어 있는 행위를 해제하여 적법하게 하는 것을 말한다.
 - ② 인가(認可)란 제3자의 행위를 보충하여 그 법률상의 효력을 완성시키는ㄴ 행위를 의미한다.
 - ③ 승인(承認)은 국가 또는 지방자치단체가 특정 행위에 대하여 부여하는 동의·승낙 등을 의미한다.
 - ④ 허가를 요하는 행위를 허가없이 행하거나, 인가를 받지 않고 한 행위는 처벌의 대상이 된다.
 
sio1004402025. 8. 8. 20:53삭제
인가 없이 한 행위는 무효일 뿐 형사처벌까지 하지는 않음.
그래도 받아야 사업시행이 가능함.
인가 전 상태면 법률 효력이 없어서 .. 무효처리가 되니깐 
csk919222024. 6. 11. 17:25삭제
"허가"를 요하는 행위를 허가 없이 행하면 처벌의 대상이 되지만
"인가"의 대상이 되는 행위를 인가 없이 행한다 해도 처벌이나 강제를 받지는 않는다.
58. 도시재정비 촉진을 위한 특별법이 규정하는 재정비촉진계획의 내용이 아닌 것은?
- ① 경관계획
 - ② 인구·주택 수용계획
 - ③ 교육시설, 문화시설, 복지시설 등 기반시설 설치계획
 - ④ 분양계획
 
등록된 댓글이 없습니다.
59. 국토의 계획 및 이용에 관한 법률에서 개발로 인하여 기반시설이 부족할 것으로 예상되나 기반시설을 설치하기 곤란한 지역을 대상으로 건폐율이나 용적률을 강화하여 지정하는 구역은?
- ① 용도구역
 - ② 기반시설부담구역
 - ③ 개발밀도관리구역
 - ④ 입지규제최소구역
 
등록된 댓글이 없습니다.
60. 버그가 구분한 도시화의 단계 중 아래 설명에 해당하는 것은?

- ① 도시화 단계(stage of urbanization)
 - ② 교외화 단계(stage of suburbanization)
 - ③ 반도시화 단계(stage of durbanization)
 - ④ 재도시화 단계(stage of reurbanization)
 
등록된 댓글이 없습니다.
4과목 : 국토 및 지역계획
61. 총 고용이 50만 명인 어느 지역의 경제기반승수가 2라면, 기반활동 고용이 1만 명 증가할 때 총 고용은 어떻게 변하는가?
- ① 51만 명으로 증가
 - ② 52만 명으로 증가
 - ③ 53만 명으로 증가
 - ④ 54만 명으로 증가
 
sio1004402025. 8. 8. 21:00삭제
경제기반승수 : 기반활동 고용의 변화가 총 고용에 미치는 영향을 나타내는 지표입니다.
경제기반승수가 2 이므로, 기반활동 1만명 증가 시 그만큼의 2배가 총고용에서 증가 (=비기반에서도 1만 증가)
-> 52만
csk919222024. 6. 11. 17:34삭제
경제기반승수가 2는 기반활동 고용인구:총 고용인구=1:2
62. 로렌츠 곡선(Loranz curve)을 통해서 파악할 수 있는 것은?
- ① 지역고용구조
 - ② 지역생산구조
 - ③ 지역소득분배
 - ④ 지역소득수준
 
sio1004402025. 8. 8. 20:57삭제
로렌츠가 분배해주는 지역 소득~
csk919222024. 6. 11. 17:37삭제
하위 x%의 가구가 y%의 소득이 분배될 때의 확률 분포를 그래프로 나타낸 것. 소득 분배 정도를 나타낼 때 주로 이용됨.
63. 도시순위규모법칙에 따른 q값이 과거 1.0에서 현제 2.0으로 증가한 어는 나라의 도시체계에 관한 설명으로 가장 옳은 것은?
- ① 과거보다 도시화의 속도가 2배로 증가하였다.
 - ② 과거보다 수위 도시 또는 소수의 몇몇 대도시에 더욱 많은 인구가 집중하였다.
 - ③ 과거에는 도시 인구의 분포가 균등하지 못하였으나 현재는 균등한 분포에 근접하고 있다.
 - ④ 과거에는 인구분포가 균형을 이루었으나 현재는 주요 도시의 인구가 농촌 인구의 2배가 되었다.
 
csk919222024. 6. 11. 17:39삭제
- 지프(Zipf)의 순위규모모형에서 q값이 커질 수록 대도시의 종주화가 심화하고 있음을 나타낸다.
- q값이 무한대로 갈 경우는 한 개 도시에 모든 인구가 거주하고 있단 걸 의미
64. 성장거점이론의 기본개념과 가장 거리가 먼 것은?
- ① 파급효과(Spread effect)
 - ② 선도산업(Leading industry)
 - ③ 극화효과(Polarization effect)
 - ④ 경쟁효과(Competition effect)
 
등록된 댓글이 없습니다.
65. 과밀억제권역으로부터 이전하는 인구와 산업을 계획적으로 유치하고 산업의 입지와 도시의 개발을 적정하게 관리할 필요가 있는 지역에 해당하는 권역은?
- ① 개발제한권역
 - ② 개발유도권역
 - ③ 자연보전권역
 - ④ 성장관리권역
 
sio1004402025. 8. 8. 21:04삭제
개발유도권역은 2006년 개정으로 폐지되어 현행 법엔 존재안함.
sio1004402025. 8. 8. 21:02삭제
도시의 개발을 적정하게 "관리할 필요가 있는 지역"에 해당하는 권역..
66. 다음 중 최소비용이론에 입각하여 공업입지이론을 제안한 학자는?
- ① 웨버(A. Weber)
 - ② 로쉬(A. Loesch)
 - ③ 튀넨(Von Thuenen)
 - ④ 크리스탈러(W. Christaller)
 
등록된 댓글이 없습니다.
67. 다음 중 지역문제의 발생 원인으로 가장 거리가 먼 것은?
- ① 지역주민들의 요구 수준의 차이
 - ② 지역 내 특정 자연자원의 부존여부와 입지조건의 차이
 - ③ 정부가 추진하는 선(先)성장, 후(後)분배의 경제개발 정책방향
 - ④ 해당 지역 지배 산업의 전 세계 또는 다른 지역의 산업들과의 경쟁력 수준
 
sio1004402025. 8. 8. 21:06삭제
지역주민들의 (시설, 서비스에 대한) 요구 정도 차이는
지역 격차나 성장 편차 등을 일으키는, 문제의 근본적인 원인이라고 보기에는 결과적이다.
sio1004402025. 8. 8. 21:05삭제
‘선성장 후분배’ 개발 정책은 수도권과 중추 거점에다가 자원 집중해 낙후 지역 배제하므로.. 지역 격차 심화시킬 수 있다.
푸른소나무2023. 2. 15. 20:09삭제
지역주민들의 요구수준의 차이
68. 국토 및 지역계획수립을 위한 자료조사방법 중 1차 자료가 아닌 것은?
- ① 면접조사
 - ② 설문조사
 - ③ 현지조사
 - ④ 통계자료조사
 
청솔2023. 2. 11. 09:50삭제
통계자료조사는 2차자료이다.
69. 다음 중 가장 큰 규모의 공간단위는?
- ① 메갈로폴리스
 - ② 메트로폴리스
 - ③ 인구밀집지역(DID)
 - ④ 표준대도시통계지역
 
청솔2023. 2. 11. 09:52삭제
메갈로폴리스가 가장 큰 규모의 공간단위이다.
70. 제4차 국토종합계획 수정계획(2011~2020)의 주요 내용으로 가장 거리가 먼 것은?
- ① 점적 개방(3개축)을 중심으로 국토 골격 형성
 - ② 해외 자원 확보 및 공동개발 추진
 - ③ 행정구역을 초월한 5+2 광역경제권
 - ④ 수도권의 경쟁력 강화 및 계획적 성장관리
 
sio1004402025. 8. 8. 21:14삭제
5 + 2 : 2006년 4차 계획 1차 수정 때 본격 도입되고
7 + 1 : 2009년 균형발전 정책에서 확대·세분화된 개념 → 2011년 4차 2차 수정 ~ 5차 계획까지 이어져 사용되는중 ㅎ
sio1004402025. 8. 8. 21:11삭제
점적 개방 3개축 (환황해 · 환동해 · 남해안) -> 3차 국토종합개발계획
푸른소나무2023. 2. 15. 20:08삭제
3개축 중심은 제3차 국토종합계획
71. 다음 중 국토기본법상 국토관리의 기념이념으로 옳지 않은 것은?
- ① 환경친화적 국토관리
 - ② 국토의 균형있는 발전
 - ③ 경쟁력 있는 국토 여건의 조성
 - ④ 거점개발에 의한 집적이익의 추구
 
등록된 댓글이 없습니다.
72. 지속가능한 개발(Sustainable Development)의 개념에 대한 설명으로 옳지 않은 것은?
- ① 환경오염 규제만을 강화하는 개발 방법
 - ② 지구의 환경용량 내에서 삶의 질을 향상시키는 개발
 - ③ 미래세대 수요충족을 저해하지 않으면서 현세대의 수요충족을 보장하는 개발
 - ④ 자연과 사회체계의 생명력을 보호하면서 기초적인 모든 서비스를 모든 공동체 주민에게 제공하는 것
 
등록된 댓글이 없습니다.
73. 지역 간 균형과 사회계층 간 형평성을 중시하는 개발 방식을 주요 전략으로 하며 지역생활권개발의 이론적 근거가 되는 것은?
- ① 중심지이론
 - ② 경제기반이론
 - ③ 기본수요이론
 - ④ 성장거점이론
 
등록된 댓글이 없습니다.
74. 국토의 계획 및 이용에 관한 법률에서 명시하고 있는 구역에 해당하지 않는 것은?
- ① 개발제한구역
 - ② 국토자연구역
 - ③ 수산자원보호구역
 - ④ 입지규제최소구역
 
sio1004402025. 8. 8. 21:23삭제
국토의 계획 및 이용에 관한 법률에서는 :: 용도지역, 용도지구, 용도구역을 지정하고 있다.
- 용도지역 : 도시지역 / 관리지역 / 농림지역 / 자연환경보전지역
- 용도지구 : 개발진흥지구 / 경관지구 / 방재지구 / 보호지구 / 취락지구 / 특정용도제한지구
- 용도구역 : 개발제한구역 / 도시자연공원구역 / 시가화조정구역 / 수산자원보호구역 / 입지규제최소구역(2024년에 폐지됨) 옛날문제라 답은 2번
csk919222024. 6. 11. 17:44삭제
<국토의 계획 및 이용에 관한 법률에서 지정한 용도구역>
개발제한구역
도시자연공원구역
시가화조정구역
수산물자원보호구역
입지규제최소구역
75. 다음 중 부드빌(Boudeville)에 의한 지역 분류로 옳은 것은?
- ① 과밀지역 - 중간지역 - 후진지역
 - ② 동질지역 - 결절지역 - 계획권역
 - ③ 보완지역 - 대체지역 - 발전지역
 - ④ 성장지역 - 침체지역 - 쇠퇴지역
 
등록된 댓글이 없습니다.
76. 합리적 계획모형을 비판하는데서 출발하여 계획은 자본주의 생산양식의 관점에서 분석되어야 하며 특정 이념에만 기능하는 대신 역사적 관계와 정치·사회·경제적 맥락을 전반적으로 조명하여야 한다고 강조하는 지역계획모형은?
- ① 옹호적 계획(advocacy planning) 모형
 - ② 혼합주사적 계획 (mixed planning) 모형
 - ③ 교류적 계획(transactive planning) 모형
 - ④ 정치경제 계획 (political economy planning) 모형
 
등록된 댓글이 없습니다.
77. 매년 1천 2백만 원의 임대료수익(R)을 영구히 주는 토지의 현재가치(PV)는? (단, 연간이자율(i)은 10%이다.)
- ① 4천 8백만 원
 - ② 9천 6백만 원
 - ③ 1억 2천만 원
 - ④ 무한대
 
sio1004402025. 8. 8. 21:28삭제
1200만원 / 0.1
sio1004402025. 8. 8. 21:28삭제
PV = 매년 받는 수익 / 연간 이자율
헐 이게 다야 간단하당
78. 국토계획평가를 실시한 후 그 결과를 심의하는 위원회는?
- ① 국토계획위원회
 - ② 국토정책위원회
 - ③ 국토평가위원회
 - ④ 중앙도시계획위원회
 
등록된 댓글이 없습니다.
79. 지역생활권이론의 기본적인 개념으로서 도농통합전략에 대한 설명으로 옳은 것은?
- ① 성장거점이론의 실천적 개념이다.
 - ② J.Friedmann과 K.Popper가 주장하였다.
 - ③ 기본 아이디어는 도농지구(Agropolitan)이다.
 - ④ 도농 간 차이를 인정하면서 보완적이지만 기능적으로 통합되지 않는다.
 
sio1004402025. 8. 8. 21:25삭제
도농지구로부터 나온 ------>>>> 도농통합전략!!! 
청솔2023. 2. 11. 09:55삭제
도농 통합전략의 기본 아이디어는 도농지구이다.
80. 프로젝트 A의 실행에 따라 다음과 같이 비용과 편익이 발생한다면 순현재가치(Net Present Value)는? (단, 당해연도부터 편익이 발생하였으며, 할인율은 8%, 단위는 백만 원이다,)

- ① 30.45백만 원
 - ② 40.45백만 원
 - ③ 50.45백만 원
 - ④ 60.45백만 원
 
sio1004402025. 8. 8. 21:36삭제
NPV = 편익과 비용의 차이값에 할인계수를 반영하면 됨.
할인율 8%를 무시하고 계산했을 때 5+10+5+15 = 35인데
여기에 할인계수 1+0.08 을 반영하면 값이 더 작아지니까 답은 1번뿐임
푸른소나무2023. 2. 15. 20:10삭제
NPV=편익-비용
5과목 : 도시계획관계법규
81. 도시공원 및 녹지 등에 관한 법률상 공원시설에 관한 설명으로 옳지 않은 것은?
- ① 점용허가의 대상이다.
 - ② 도시공원 조성계획에 포함된다.
 - ③ 민간인도 허가를 받아 관리할 수 있다.
 - ④ 도시공원의 효용을 다하기 위하여 설치되는 시설이다.
 
sio1004402025. 8. 8. 21:55삭제
공원조성계획에 저촉되지 않고, 점용이 불가피하며, 공중 이용에 지장을 주지 않고, 경관 및 안전상 문제가 없어야 점용허가가 나오는 것이지
공원 자체가 점용허가의 대상이 아님
청솔2023. 2. 10. 19:18삭제
공원시설은 점용허가의 대상이 아니다.
82. 도시공원의 구분에 따른 규모 기준으로 옳은 것은?
- ① 묘지공원 - 10000m2 이상
 - ② 체육공원 - 30000m2 이상
 - ③ 어린이공원 - 1500m2 이상
 - ④ 도보권 근린공원 - 20000m2
 
sio1004402025. 8. 8. 21:32삭제
묘지공원 10만, 체육공원 1만
csk919222024. 6. 12. 12:21삭제
1. 묘지공원 - 10만m2 이상
2. 도보권 근린공원 - 3만m2 이상
3. 체육공원 - 1만m2 이상
청솔2023. 2. 10. 19:20삭제
1)묘지공원-10만
2)체육공원-만
3)근린공원-3만
83. 중앙도시계획위원회에 관한 설명으로 옳은 것은?
- ① 공무원이 아닌 위원의 수는 10명 이상으로 하고, 그 임기는 3년으로 한다.
 - ② 위원장·부위원장 각 1명을 포함한 30명 이상 40명 이하의 위원으로 구성한다.
 - ③ 광역도시계획·도시·군계획·토지거래계획허가구역 등 국토교통부장관의 권한에 속하는 사항의 심의 업무를 수행한다.
 - ④ 위원은 관계 중앙행정기관의 공무원과 도시·군계획과 관련된 분야에 관한 학식과 경험이 풍부한 자 중에서 위원장이 임명하거나 위촉한다.
 
청솔2023. 2. 10. 19:24삭제
① 공무원이 아닌 위원의 수는 10명 이상으로 하고, 그 임기는 (2년)으로 한다.
② 위원장·부위원장 각 1명을 포함한 (25명) 이상 (30명) 이하의 위원으로 구성한다.
④ 위원은 관계 중앙행정기관의 공무원과 도시·군계획과 관련된 분야에 관한 학식과 경험이 풍부한 자 중에서 (국토부장관)이 임명하거나 위촉한다.
84. 수도정비계획법령상 과밀부담금의 감면에 관한 내용으로 옳지 않은 것은?
- ① 국가나 지방자치단체가 건축하는 건축물에는 부담금을 부과하지 아니한다.
 - ② 「과학기술기본법」에 따른 과학연구단지에는 부담금을 부과하지 아니한다.
 - ③ 건축물 중 수도권만을 관할하는 공공법인(지점을 포함한다)의 사무소에 대하여는 부담금을 부과하지 아니한다.
 - ④ 「도시 및 주거환경정비법」에 따른 재개발사업으로 건축하는 건축물에는 부담금의 100분의 50을 감면한다.
 
csk919222024. 6. 12. 12:23삭제
국가, 지자체, 수도권공공법인인 경우에 부담금을 부과하지 아니한다.
청솔2023. 2. 10. 19:28삭제
② 「과학기술기본법」에 따른 과학연구단지에는 부담금을 부과하고, 일부를 감면한다.
85. 국토교통부장관이 개발제한구역의 지정 및 해제를 도시·군관리계획으로 결정할 수 있는 경우로 가장 거리가 먼 것은?
- ① 도시의 무질서한 확산을 방지할 필요가 있는 경우
 - ② 올림픽 등 국제행사에 대비하여 대규모 자연공간을 확보할 필요가 있는 경우
 - ③ 국방부장관의 요청으로 보안상 도시의 개발을 제한할 필요가 있다고 인정되는 경우
 - ④ 도시민의 건전한 생활환경을 확보하기 위하여 도시의 개발을 제한할 필요가 있는 경우
 
sio1004402025. 8. 8. 21:58삭제
올림픽을 위해 대규모 자연공간을 확보하는 경우는 개발제한구역 지정 사유에 포함 XXX!!!
86. 도시개발법상 도시개발구역을 지정할 수 없는 자는?
- ① 구청장
 - ② 도지사
 - ③ 광역시장
 - ④ 특별시장
 
등록된 댓글이 없습니다.
87. 도시 및 주거환경정비법상 분양신청 현황을 기초로 한 관리처분계획 수립 시 포함되어야 하는 사항이 아닌 것은?
- ① 분양설계
 - ② 분양대상자의 주소 및 성명
 - ③ 관리처분계획의 인가 연월일
 - ④ 분양대상자별 종전의 토지 또는 건축물 명세
 
sio1004402025. 8. 8. 22:01삭제
분양신청 현황을 기초로 한 “관리처분계획“은 조합이 인가를 받기도 전에 내는 계획서라서, 내용에 인가 연월일 같은 건 들어갈 수 없다
88. 주택법상 사업주체가 대통령령으로 정하는 호수 이상의 주택건설사업을 시행하는 경우 지방자치단체가 설치하는 도로 및 상하수도시설에 대하여 국가가 보조할 수 있는 설치비용의 범위는?
- ① 그 비용의 전부
 - ② 그 비용의 30%
 - ③ 그 비용의 50%
 - ④ 그 비용의 75%
 
청솔2023. 2. 10. 19:39삭제
국가보조금은 1/2
89. 국토의 계획 및 이용에 관한 법령에 따른 용도지구 중 문화재·전통사찰 등 역사·문회적으로 보존가치가 큰 시설 및 지역의 보호와 보존을 위하여 필요한 지구는?
- ① 복합개발진흥지구
 - ② 특정개발진흥지구
 - ③ 중요시설물보호지구
 - ④ 역사문화환경보호지구
 
등록된 댓글이 없습니다.
90. 하나의 도시지역 안에 있어서의 도시공원의 확보기준은 해당도시지역 안에 거주하는 주민 1인당 얼마 이상으로 하는가?
- ① 6m2
 - ② 7m2
 - ③ 8m2
 - ④ 9m2
 
등록된 댓글이 없습니다.
91. 관광진흥법령상 관광객 이용시설업의 종류에 해당하지 않는 것은?
- ① 전문휴양업
 - ② 종합휴양업
 - ③ 관광유람선업
 - ④ 일반유원시설업
 
csk919222024. 6. 12. 12:26삭제
관광객 이용시설업의 종류
1. 전문휴양업
2. 종합휴양업
3. 야영장업
4. 관광유람선업
5. 관광공연장업
6. 외국인관광 도시민박업
92. 택지개발촉진법령상 수의계약으로 공급할 수 있는 택지로 부적합한 것은?
- ① 「주택법」에 따른 사업주체 중 국가. 지방자치단체 또는 국토교통부령으로 정하는 공공기관에 공급할 경우
 - ② 면적이 100만m2 이상인예정지구안에서 지형조건 및 다양한 시설용도 등을 고려하여 복합적이고 입체적인 개발이 필요한 경우
 - ③ 도로, 학교, 공원, 공용의 청사 등 일반인에게 분양할 수 없는 공공시설용지를 국가, 지방자치단체, 그 밖에 법령에 따라 해당 공공시설을 설치할 수 있는 자에게 공급할 경우
 - ④ 주택조합의 조합원에게 공급하여야 할 주택을 건설하는 데 필요한 토지 면적의 2분의 1이상을 취득한 주택조합이 그 토지의 전부를 관련 법률에 따른 협의에 응하여 시행자에게 양도하였을 때 해당 주택조합에 국토교부령으로 정하는 면적의 범위에서 택지를 공급하는 경우
 
청솔2023. 2. 10. 19:44삭제
② 면적이 100만m2 이상인예정지구는 수의계약이 아니라 추첨방식으로 한다.
93. 택지개발촉진법령상 택지개발지구 안에서의 관할 특별자치도지사·시장·군수 또는 자치구의 구청장의 허가를 받아야 하는 행위가 아닌 것은?
- ① 토지의 형질변경
 - ② 죽목의 벌채 및 식재
 - ③ 건축물의 건축 또는 공작물의 설치
 - ④ 재해 복구 또는 재난 수습에 필요한 응급조치를 위하여 하는 행위
 
sio1004402025. 8. 8. 22:11삭제
1,2번의 경우 개발행위허가대상이긴 한데
택지개발지구 안일 경우에는 시장,군수,자치구청장 허락 받아야함
94. 수도권정비계획법의 정의에 부합되지 않는 것은?
- ① “수도권”이란 서울특별시와 대통령령으로 정하는 그 주변 지역을 말한다.
 - ② “공업지역”이란 「국토기본법」에 따라 지정된 공업지역을 말한다.
 - ③ “수도권정비계획”이란 「국토기본법」에 따른 국토종합계획을 기본으로 하여 관련 조항에 따라 수립되는 계획을 말한다.
 - ④ “인구집중유발시설”이란 학교, 공장, 공공청사, 업무용 건축물, 판매용 건축물, 연수시설, 그 밖에 인구 집중을 유발하는 시설로서 대통령령으로 정하는 종류 및 규모 이상의 시설을 말한다.
 
sio1004402025. 8. 8. 22:09삭제
국토기본법이 아니라 국토계획법 ^^
csk919222024. 6. 12. 12:28삭제
공업지역은 국계법에 따른 용도지역의 종류
청솔2023. 2. 10. 19:47삭제
공업지역은 국토의 계획 및 이용에 관한법률에 따라 지정된 공업지역을 말한다.
95. 택지개발촉진법상 환매권에 관한 설명으로 옳지 않은 것은?
- ① 환매권자는 환매로써 제3자에게 대항할 수 있다.
 - ② 보상금에 가산하는 환매가액은 보상금 산정일부터 환매일까지의 법정이자이다.
 - ③ 수용한 토지 등의 전부 또는 일부가 필요 없게 되었을 때에 환매권자는 필요 없게 된 날부터 1년 이내에 환매할 수 있다.
 - ④ 환매권자는 토지 등의 수용 당시 받은 보상금에 대통령령으로 정한 금액을 가산하여 시행자에게 지금하고 이를 환매할 수 있다.
 
sio1004402025. 8. 8. 22:17삭제
보상금 “지급일로부터 환매일까지“의 법정이자
sio1004402025. 8. 8. 22:15삭제
환매권 )  공급 받은 택지를 제대로 쓰지 않으면 시행자가 다시 사들일 수 있는 권리
csk919222024. 6. 12. 12:29삭제
보상금에 가산하는 환매가액은 보상금 "산정일"부터 환매일까지의 법정이자가 아니라 보상금 "지급일" 부터 환매일까지의 법정이자를 말한다.
96. 국토의 계획 및 이용에 관한 법률에 따른 기반시설에 속하지 않는 것은?
- ① 광장·공원·녹지 등 공간시설
 - ② 도로·철도·항만·공항·주차장 등 교통시설
 - ③ 아파트·연립주택·다세대주택 등 주거시설
 - ④ 하수도, 폐기물처리 및 재활용시설, 빗물저장 및 이용시설 등 환경기초시설
 
등록된 댓글이 없습니다.
97. 산업입지 및 개발에 관한 법률에 따른 산업단지에 해당하는 것으로만 나열된 것은?
- ① 국가산업단지, 일반산업단지, 농공단지
 - ② 국가산업단지, 지역산업단지, 농공단지
 - ③ 국가산업단지, 도시산업단지, 농공산업단지
 - ④ 국가산업단지, 일반산업단지, 특수산업단지
 
sio1004402025. 8. 8. 22:13삭제
국가 첨단 일반 농공
꼰 신 - 융
csk919222024. 6. 12. 12:30삭제
국가산업단지.도시첨단산업단지.일반산업단지.농공단지
98. 주차장 법령상 단지조성사업등으로 설치되는 노외주차장에 경형자동차 및 환경친화적 자동차를 위한 전용주차구획을 노외주차장 총 주차대수의 얼마 이상이 되도록 설치하여야 하는가?
- ① 100분의 3
 - ② 100분의 5
 - ③ 100분의 10
 - ④ 100분의 15
 
등록된 댓글이 없습니다.
99. 시가화조정구역에서 특별시장·광역시장·특별자치시장·특별자치도지사·시장 또는 군수의 허가를 받아 할 수 있는 행위에 대한 내용으로 옳지 않은 것은?
- ① 입목의 벌채, 조림, 육림, 토석의 채취, 그 밖에 대통령령으로 정하는 경미한 행위
 - ② 건축물의 건축 및 공작물 중 대통령령으로 정하는 종류의 공작물을 설치하는 행위
 - ③ 농업·임업 또는 어업용의 건축물 중 대통령령으로 정하는 종류와 규모의 건축물이나 그 밖의 시설을 건축하는 행위
 - ④ 마을공동시설, 공익시설·공공시설, 광공업 등 주민의 생활을 영위하는 데에 필요한 행위로서 대통령령으로 정하는 행위
 
sio1004402025. 8. 8. 22:20삭제
건축물의 건축은 시가화조정구역에서 
허가받지 않고 할 수 없는 (대통령령도 없는) 행위
100. 관광진흥법상 관광개발기본계획에 따라 구분된 권역을 대상으로 수립하는 권역별 관광개발계획에 포함하는 사항으로 옳지 않은 것은?
- ① 환경보전에 관한 사항
 - ② 관광지 연계에 관한 사항
 - ③ 관광권역별 관광개발의 기본방향에 관한 사항
 - ④ 관광자원의 보호·개발·이용·관리 등에 관한 사항
 
sio1004402025. 8. 8. 22:21삭제
“관광개발기본계획“(10년주기)
와 “권역별 관광개발계획“(5년주기)
잘 구분하기
sio1004402025. 8. 8. 22:20삭제
아 
csk919222024. 6. 12. 12:31삭제
3번은 관광개발기본계획의 내용