건설기계설비기사(2020. 8. 22.) 시험일자 : 2020년 8월 22일
1과목 : 재료역학
1. 길이 10m, 단면적 2cm2인 철봉을 100℃에서 그림과 같이 양단을 고정했다. 이 봉의 온도가 20℃로 되었을 때 인장력은 약 몇 kN인가? (단, 세로탄성계수는 200GPa, 선팽창계수 a = 0.000012/℃ 이다.)

- ① 19.2
- ② 25.5
- ③ 38.4
- ④ 48.5
등록된 댓글이 없습니다.
2. 다음 외팔보가 균일분포 하중을 받을 때, 굽힘에 의한 탄성 변형에너지는? (단, 굽힘강성 EI는 일정하다.)

- ①

- ②

- ③

- ④

등록된 댓글이 없습니다.
3. 그림과 같은 단순 지지보에 모멘트(M)와 균일분포하중(w)이 작용할 때, A점의 반력은?

- ①

- ②

- ③

- ④

등록된 댓글이 없습니다.
4. 다음 그림과 같은 부채꼴의 도심(centroid)의 위치 는?

- ①

- ②

- ③

- ④

등록된 댓글이 없습니다.
5. 비틀림모멘트 2kN·m가 지름 50mm인 축에 작용하고 있다. 축의 길이가 2m 일 때 축의 비틀림각은 약 몇 rad 인가? (단, 축의 전단탄성계수는 85GPa 이다.)
- ① 0.019
- ② 0.028
- ③ 0.054
- ④ 0.077
등록된 댓글이 없습니다.
6. 그림과 같이 원형단면을 가진 보가 인장하중 P = 90kN을 받는다. 이 보는 강(steel)으로 이루어져 있고, 세로탄성계수는 210GPa이며 포와송비 μ = 1/3이다. 이 보의 체적변화 △V는 약 몇 mm3인가? (단, 보의 직경 d = 30mm, 길이 L = 5m 이다.)

- ① 114.28
- ② 314.28
- ③ 514.28
- ④ 714.28
등록된 댓글이 없습니다.
7. 판 두께 3mm를 사용하여 내압 20kN/cm2을 받을 수 있는 구형(spherical) 내압용기를 만들려고 할 때, 이 용기의 최대 안전내경 d를 구하면 몇 cm 인가? (단, 이 재료의 허용 인장응력을 σw = 800kN/cm2 으로 한다.)
- ① 24
- ② 48
- ③ 72
- ④ 96
등록된 댓글이 없습니다.
8. 그림과 같이 800N의 힘이 브래킷의 A에 작용하고 있다. 이 힘의 점 B에 대한 모멘트는 약 몇 N·m 인가?

- ① 160.6
- ② 202.6
- ③ 238.6
- ④ 253.6
등록된 댓글이 없습니다.
9. 그림과 같이 균일단면을 가진 단순보에 균일하중 ω kN/m이 작용할 때, 이 보의 탄성 곡선식은? (단, 보의 굽힘 강성 EI는 일정하고, 자중은 무시한다.)

- ①

- ②

- ③

- ④

등록된 댓글이 없습니다.
10. 다음과 같이 스팬(span) 중앙에 힌지(hinge)를 가진 보의 최대 굽힘모멘트는 얼마인가?

- ①

- ②

- ③

- ④

등록된 댓글이 없습니다.
11. 길이 3m, 단면의 지름이 3cm인 균일 단면의 알루미늄 봉이 있다. 이 봉에 인장하중 20kN이 걸리면 봉은 약 몇 cm 늘어나는가? (단, 세로탄성계수는 72GPa 이다.)
- ① 0.118
- ② 0.239
- ③ 1.18
- ④ 2.39
등록된 댓글이 없습니다.
12. 길이가 5m 이고 직경이 0.1m인 양단고정보 중앙에 200N의 집중하중이 작용할 경우 보의 중앙에서의 처짐은 약 몇 m 인가? (단, 보의 세로탄성계수는 200GPa 이다.)
- ① 2.36 × 10-5
- ② 1.33 × 10-4
- ③ 4.58 × 10-4
- ④ 1.06 × 10-3
등록된 댓글이 없습니다.
13. 다음 구조물에 하중 P = 1kN이 작용할 때 연결핀에 걸리는 전단응력은 약 얼마인가? (단, 연결핀의 지름은 5mm 이다.)

- ① 25.46 kPa
- ② 50.92 kPa
- ③ 25.46 MPa
- ④ 50.92 MPa
등록된 댓글이 없습니다.
14. 100rpm으로 30kW를 전달시키는 길이 1m, 지름 7cm인 둥근 축단의 비틀림각은 약 몇 rad인가? (단, 전단탄성계수는 83GPa 이다.)
- ① 0.26
- ② 0.30
- ③ 0.015
- ④ 0.009
등록된 댓글이 없습니다.
15. 그림과 같은 돌출보에서 ω = 120 kN/m 의 등분포 하중이 작용할 때, 중앙 부분에서의 최대 굽힘응력은 약 몇 MPa인가? (단, 단면은 표준 I형 보로 높이 h = 60cm이고, 단면 2차 모멘트 I = 98200 cm4 이다.)

- ① 125
- ② 165
- ③ 185
- ④ 195
등록된 댓글이 없습니다.
16. 다음과 같은 평면응력 상태에서 최대 주응력 σ1은?

- ① 1.414τ
- ② 1.80τ
- ③ 1.618τ
- ④ 2.828τ
등록된 댓글이 없습니다.
17. 그림과 같이 외팔보의 끝에 집중하중 P가 작용할 때 자유단에서의 처짐각 θ는? (단, 보의 굽힘강성 EI는 일정하다.)

- ①

- ②

- ③

- ④

등록된 댓글이 없습니다.
18. 그림과 같은 단주에서 편심거리 e에 압축하중 P = 80kN이 작용할 때 단면에 인장응력이 생기지 않기 위한 e의 한계는 몇 cm 인가? (단, G는 편심 하중이 작용하는 단주 끝단의 평면상 위치를 의미한다.)

- ① 8
- ② 10
- ③ 12
- ④ 14
등록된 댓글이 없습니다.
19. 지름 70mm인 환봉에 20MPa 의 최대전단응력이 생겼을 때 비틀림모멘트는 약 몇 kN·m인가?
- ① 4.50
- ② 3.60
- ③ 2.70
- ④ 1.35
등록된 댓글이 없습니다.
20. 0.4m × 0.4m인 정사각형 ABCD를 아래 그림에 나타내었다. 하중을 가한 후의 변형상태는 점선으로 나타내었다. 이때 A지점에서 전단 변형률 성분의 평균값(γxy)는?

- ① 0.001
- ② 0.000625
- ③ -0.005
- ④ -0.000625
등록된 댓글이 없습니다.
2과목 : 기계열역학
21. 다음 중 강도성 상태량(itensive property)이 아닌 것은?
- ① 온도
- ② 내부에너지
- ③ 밀도
- ④ 압력
등록된 댓글이 없습니다.
22. 클라우지우스(Clausius)의 부등식을 옳게 나타낸 것은? (단, T는 절대온도, Q는 시스템으로 공급된 전체 열량을 나타낸다.)
- ①

- ②

- ③

- ④

등록된 댓글이 없습니다.
23. 이상기체 2kg이 압력 98kPa, 온도 25℃ 상태에서 체적이 0.5m3였다면 이 이상기체의 기체상수는 약 몇 J/(kg·K)인가?
- ① 79
- ② 82
- ③ 97
- ④ 102
등록된 댓글이 없습니다.
24. 이상적인 랭킨사이클에서 터빈 입구 온도가 350℃이고, 75kPa과 3MPa의 압력범위에서 작동한다. 펌프 입구와 출구, 터빈 입구와 출구에서 엔탈피는 각각 384.4 kJ/kg, 387.5 kJ/kg, 3116 kJ/kg, 2403 kJ/kg이다. 펌프일을 고려한 사이클의 열효율과 펌프일을 무시한 사이클의 열효율 차이는 약 몇 % 인가?
- ① 0.0011
- ② 0.092
- ③ 0.11
- ④ 0.18
등록된 댓글이 없습니다.
25. 단열된 노즐에 유체가 10m/s의 속도로 들어와서 200m/s의 속도로 가속되어 나간다. 출구에서의 엔탈피가 2770 kJ/kg 일 때 입구에서의 엔탈피는 약 몇 kJ/kg 인가?
- ① 4370
- ② 4210
- ③ 2850
- ④ 2790
등록된 댓글이 없습니다.
26. 고온열원(T1)과 저온열원(T2) 사이에서 작동하는 역카르노 사이클에 의한 열펌프(heat pump)의 성능계수는?
- ①

- ②

- ③

- ④

등록된 댓글이 없습니다.
27. 카르노사이클로 작동하는 열기관이 1000℃의 열원과 300K의 대기 사이에서 작동한다. 이 열기관이 사이클 당 100kJ의 일을 할 경우 사이클 당 1000℃의 열원으로부터 받은 열량은 약 몇 kJ인가?
- ① 70.0
- ② 76.4
- ③ 130.8
- ④ 142.9
등록된 댓글이 없습니다.
28. 이상기체로 작동하는 어떤 기관의 압축비가 17이다. 압축 전의 압력 및 온도는 112kPa, 25℃이고 압축 후의 압력은 4350 kPa 이었다. 압축 후의 온도는 약 몇 ℃ 인가?
- ① 53.7
- ② 180.2
- ③ 236.4
- ④ 407.8
등록된 댓글이 없습니다.
29. 어떤 유체의 밀도가 741 kg/m3이다. 이 유체의 비체적은 약 몇 m3/kg인가?
- ① 0.78 × 10-3
- ② 1.35 × 10-3
- ③ 2.35 × 10-3
- ④ 2.98 × 10-3
등록된 댓글이 없습니다.
30. 다음 중 스테판-볼츠만의 법칙과 관련이 있는 열전달은?
- ① 대류
- ② 복사
- ③ 전도
- ④ 응축
등록된 댓글이 없습니다.
31. 기체가 0.3MPa로 일정한 압력 하에 8m3에서 4m3까지 마찰 없이 압축되면서 동시에 500kJ의 열을 외부로 방출하였다면, 내부에너지의 변화는 약 몇 kJ인가?
- ① 700
- ② 1700
- ③ 1200
- ④ 1400
등록된 댓글이 없습니다.
32. 어떤 물질에서 기체상수(R)가 0.189 kJ/(kg·K), 임계온도가 305K, 임계압력이 7380kPa이다. 이 기체의 압축성 인자(compressibility factor, Z)가 다음가 같은 관계식을 나타낸다고 할 때 이 물질의 20℃, 1000kPa 상태에서의 비체적(v)은 약 몇 m3/kg 인가? (단, P는 압력, T는 절대온도, Pr은 환산압력, Tr은 환산온도를 나타낸다.)

- ① 0.0111
- ② 0.0303
- ③ 0.0491
- ④ 0.0554
등록된 댓글이 없습니다.
33. 전류 25A, 전압 13V를 가하여 축전지를 충전하고 있다. 충전하는 동안 축전지로부터 15W의 열손실이 있다. 축전지의 내부에너지 변화율은 약 몇 W인가?
- ① 310
- ② 340
- ③ 370
- ④ 420
등록된 댓글이 없습니다.
34. 냉매가 갖추어야 할 요건으로 틀린 것은?
- ① 증발온도에서 높은 잠열을 가져야 한다.
- ② 열전도율이 커야 한다.
- ③ 표면장력이 커야 한다.
- ④ 불활성이고 안전하며 비가연성이어야 한다.
등록된 댓글이 없습니다.
35. 100℃의 구리 10kg을 20℃의 물 2kg이 들어있는 단열 용기에 넣었다. 물과 구리 사이의 열전달을 통한 평형 온도는 약 몇 ℃ 인가? (단, 구리 비열은 0.45 kJ/(kg·K), 물 비열은 4.2 kJ/(kg·K) 이다.)
- ① 48
- ② 54
- ③ 60
- ④ 68
등록된 댓글이 없습니다.
36. 압력이 0.2MPa, 온도가 20℃의 공기를 압력이 2MPa로 될 때까지 가역단열 압축했을 때 온도는 약 몇 ℃ 인가? (단, 공기는 비열비가 1.4인 이상기체로 간주한다.)
- ① 225.7
- ② 273.7
- ③ 292.7
- ④ 358.7
등록된 댓글이 없습니다.
37. 이상적인 교축과정(throttling process)을 해석하는데 있어서 다음 설명 중 옳지 않은 것은?
- ① 엔트로피는 증가한다.
- ② 엔탈피의 변화가 없다고 본다.
- ③ 정압과정으로 간주한다.
- ④ 냉동기의 팽창밸브의 이론적인 해석에 적용될 수 있다.
등록된 댓글이 없습니다.
38. 다음은 오토(Otto) 사이클의 온도-엔트로피(T-S) 선도이다. 이 사이클의 열효율을 온도를 이용하여 나타낼 때 옳은 것은? (단, 공기의 비열은 일정한 것으로 본다.)

- ①

- ②

- ③

- ④

등록된 댓글이 없습니다.
39. 어떤 습증기의 엔트로피가 6.78 kJ/(kg·K)라고 할 때 이 습증기의 엔탈피는 약 몇 kJ/kg인가? (단, 이 기체의 포화액 및 포화증기의 엔탈피와 엔트로피는 다음과 같다.)

- ① 2365
- ② 2402
- ③ 2473
- ④ 2511
등록된 댓글이 없습니다.
40. 압력(P) - 부피(V) 선도에서 이상기체가 그림과 같은 사이클로 작동한다고 할 때 한 사이클 동안 행한 일은 어떻게 나타내는가?

- ①

- ②

- ③

- ④

등록된 댓글이 없습니다.
3과목 : 기계유체역학
41. 어떤 물리적인 계(syystem)에서 물리량 F가 물리량 A, B, C, D의 함수 관계가 있다고할 때, 차원해석을 한 결과 두 개의 무차원수, 와 를 구할 수 있었다. 그리고 모형실험을 하여 A = 1, B = 1, C = 1, D = 1일 때 F = F1을 구할 수 있었다. 여기서 A = 2, B = 4, C = 1, D = 2 인 원형의 F는 어떤 값을 가지는가? (단, 모든 값들은 SI단위를 가진다.)
- ① F1
- ② 16F1
- ③ 32F1
- ④ 위의 자료만으로는 예측할 수 없다.
등록된 댓글이 없습니다.
42. 그림곽 같은 노즐을 통하여 유량 Q만큼의 유체가 대기로 분출될 때, 노즐에 미치는 유체의 힘 F는? (단, A1, A2는 노즐의 단면 1, 2에서의 단면적이고 ρ는 유체의 밀도이다.)

- ①

- ②

- ③

- ④

등록된 댓글이 없습니다.
43. 직경 1cm인 원형관 내의 물의 유동에 대한 천이 레이놀즈수는 2300이다. 천이가 일어날 때 물의 평균유속(m/s)은 얼마인가? (단, 물의 동점성계수는 10-6 m2/s이다.)
- ① 0.23
- ② 0.46
- ③ 2.3
- ④ 4.6
등록된 댓글이 없습니다.
44. 낙차가 100m인 수력발전소에서 유량이 5m3/s 이면 수력터빈에서 발생하는 동력(MW)은 얼마인가? (단, 유도관의 마찰손실은 10m이고, 터빈의 효율은 80% 이다.)
- ① 3.53
- ② 3.92
- ③ 4.41
- ④ 5.52
등록된 댓글이 없습니다.
45. 어떤 물리량 사이의 함수관계가 다음과 같이 주어졌을 때, 독립 무차원수 Pi항은 몇 개인가? (단, a는 가속도, V는 속도, t는 시간, ν는 동점성계수, L은 길이이다.)

- ① 1
- ② 2
- ③ 3
- ④ 4
등록된 댓글이 없습니다.
46. 공기의 속도 24m/s인 풍동 내에서 익현길이 1m, 익의 폭 5m인 날개에 작용하는 양력(N)은 얼마인가? (단, 공기의 밀도는 1.2 kg/m3, 양력계수는 0.455 이다.)
- ① 1572
- ② 786
- ③ 393
- ④ 91
등록된 댓글이 없습니다.
47. 수면의 차이가 H인 두 저수지 사이에 지름 d, 길이 ℓ인 관로가 연결되어 있을 때 관로에서의 평균 유속(V)을 나타내는 식은? (단, f는 관마찰계수이고, g는 중력가속도이며, K1, K2는 관입구와 출구에서의 부차적 손실계수이다.)

- ①

- ②

- ③

- ④

등록된 댓글이 없습니다.
48. 수평원관 속에 정상류의 층류흐름이 있을 때 전단응력에 대한 설명으로 옳은 것은?
- ① 단면 전체에서 일정하다.
- ② 벽면에서 0이고 관 중심까지 선형적으로 증가한다.
- ③ 관 중심에서 0이고 반지름 방향으로 선형적으로 증가한다.
- ④ 관 중심에서 0이고 반지름 방향으로 중심으로부터 거리의 제곱에 비례하여 증가한다.
등록된 댓글이 없습니다.
49. 프란틀의 혼합거리(mixing length)에 대한 설명으로 옳은 것은?
- ① 전단응력과 무관하다.
- ② 벽에서 0이다.
- ③ 항상 일정하다.
- ④ 층류 유동문제를 계산하는데 유용하다.
등록된 댓글이 없습니다.
50. (x, y)평면에서의 유동함수(정상, 비압축성 유동)가 다음과 같이 정의된다면 x = 4m, y = 6m의 위치에서의 속도(m/s)는 얼마인ㄱ?

- ① 156
- ② 92
- ③ 52
- ④ 38
등록된 댓글이 없습니다.
51. 체적이 30m3인 어느 기름의 무게가 247kN이었다면 비중은 얼마인가? (단, 물의 밀도는 1000kg/m3 이다.)
- ① 0.80
- ② 0.82
- ③ 0.84
- ④ 0.86
등록된 댓글이 없습니다.
52. 3.6m3/min을 양수하는 펌프의 송출구의 안지름이 23cm일 때 평균 유속(m/s)은 얼마인가?
- ① 0.96
- ② 1.20
- ③ 1.32
- ④ 1.44
등록된 댓글이 없습니다.
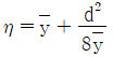
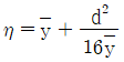
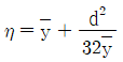
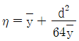
53. 그림과 같이 원판 수문이 물속에 설치되어 있다. 그림 중 C는 압력의 중심이고, G는 원판의 도심이다. 원판의 지름을 d라 하면 작용점의 위치 η는?

- ①

- ②

- ③

- ④

등록된 댓글이 없습니다.
54. 국소 대기압이 1atm이라고 할 때, 다음 중 가장 높은 압력은?
- ① 0.13 atm(gage pressure)
- ② 115 kPa(absolute pressure)
- ③ 1.1 atm(absolute pressure)
- ④ 11 mH2O(absolute pressure)
등록된 댓글이 없습니다.
55. 그림과 같이 유리간 A, B 부분의 안지름은 각각 30cm, 10cm 이다. 이 관에 물을 흐르게 하였더니 A에 세운 관에는 물이 60cm, B에 세운 관에는 물이 30cm 올라갔다. A와 B 각 부분에서 물의 속도(m/s)는?

- ① VA = 2.73, VB = 24.5
- ② VA = 2.44, VB = 22.0
- ③ VA = 0.542, VB = 4.88
- ④ VA = 0.271, VB = 2.44
등록된 댓글이 없습니다.
56. 유체의 정의를 가장 올바르게 나타낸 것은?
- ① 아무리 작은 전단응력에도 저항할 수 없어 연속적으로 변형하는 물질
- ② 탄성계수가 0을 초과하는 물질
- ③ 수직응력을 가해도 물체가 변하지 않는 물질
- ④ 전단응력이 가해질 때 일정한 양의 변형이 유지되는 물질
등록된 댓글이 없습니다.
57. 해수의 비중은 1.025이다. 바닷물 속 10m 깊이에서 작업하는 해녀가 받는 계기압력(kPa)은 약 얼마인가?
- ① 94.5
- ② 100.5
- ③ 105.6
- ④ 112.7
등록된 댓글이 없습니다.
58. 밀도 1.6 kg/m3인 기체가 흐르는 관에 설치한 피토 정압관(Pitot-static tube)의 두 단자 간 압력차가 4cmH2O 이었다면 기체의 속도(m/s)는 얼마인가?
- ① 7
- ② 14
- ③ 22
- ④ 28
등록된 댓글이 없습니다.
59. 비압축성 유체가 그림과 같이 단면적 A(x) = 1 – 0.04x[m2]로 변화하는 통로 내를 정상상태로 흐를 때 P점(x=0)에서의 가속도(m/s2)는 얼마인가? (단, P점에서의 속도는 2m/s, 단면적은 1m2이며, 각 단면에서 유속은 균일하다고 가정한다.)

- ① -0.08
- ② 0
- ③ 0.08
- ④ 0.16
등록된 댓글이 없습니다.
60. 그림과 같은 두 개의 고정된 평판 사이에 얇은 관이 있다. 얇은 판 상부에는 점성계수가 0.05 N·s/m2인 유체가 있고 하부에는 점성계수가 0.1 N·s/m2인 유체가 있다. 이 판을 일정속도 0.5m/s로 끌 때, 끄는 힘이 최소가 되는 거리 y는? (단, 고정 평판사이의 폭은 h(m), 평판들 사이의 속도분포는 선형이라고 가정한다.)

- ① 0.293h
- ② 0.482h
- ③ 0.586h
- ④ 0.879h
등록된 댓글이 없습니다.
4과목 : 유체기계 및 유압기기
61. 다음 수력기기 중 반동 수차에 해당하는 것은?
- ① 펠톤 수차, 프란시스 수차
- ② 프란시스 수차, 프로펠러 수차
- ③ 카플란 수차, 펠톤 수차
- ④ 펠톤 수차, 프로펠러 수차
yec12352024. 11. 5. 11:12삭제
프프
62. 프란시스 수차에서 사용하는 흡출관에 관한 설명으로 틀린 것은?
- ① 흡출관은 회전차에서 나온 물이 가진 속도수두와 방수면 사이의 낙차를 유효하게 이용하기 위해 사용한다.
- ② 커비테이션을 일으키지 않기 위해서 흡출관의 높이는 일반적으로 7m 이하로 한다.
- ③ 흡출관 입구의 속도가 빠를수록 흡출관의 효율은 커진다.
- ④ 흡출관은 일반적으로 원심형, 무디형, 엘보형이 있고, 이 중 엘보형이 효율이 제일 높다.
엄준식2023. 5. 28. 13:30삭제
엘보가 제일 낮음
엄준상2022. 3. 4. 12:12삭제
틀림
63. 수차 중 물의 송충 방향이 축방향이 아닌 것은?
- ① 펠톤 수차
- ② 프란시스 수차
- ③ 사류 수차
- ④ 프로펠러 수차
엄준식2023. 5. 28. 14:53삭제
펠톤 :접선
64. 송풍기를 특성곡선의 꼭짓점 이하 닫힘 상태점 근방에서 풍량을 조정할 때 풍압이 진동하고 풍량에 맥동이 일어나며, 격렬한 소음과 운전불능에 빠질 수 있게 되는 현상은?
- ① 서징 현상
- ② 선회 실속 현상
- ③ 수격 현상
- ④ 쵸킹 현상
엄준식2023. 5. 28. 13:32삭제
맥동=>서징
65. 수차의 에너지 변화과정으로 옳은 것은?
- ① 위치 에너지 → 기계 에너지
- ② 기계 에너지 → 위치 에너지
- ③ 열 에너지 → 기계 에너지
- ④ 기계 에너지 → 열 에너지
등록된 댓글이 없습니다.
66. 다음 중 기어펌프는 어느 형식의 펌프에 해당하는가?
- ① 축류펌프
- ② 원심펌프
- ③ 왕복식펌프
- ④ 회전펌프
등록된 댓글이 없습니다.
67. 토크컨버터에서 임펠러가 작동유에 준 토크를 Tp, 스테이터가 작동유에 준 토크를 Ts, 런너가 받는 토크를 Tt라고 할 때 이들의 관계를 바르게 표현한 것은?
- ① Tp = Ts + Tt
- ② Ts = Tp + Tt
- ③ Tt = Tp + Ts
- ④ Tt = Tp – Ts
등록된 댓글이 없습니다.
68. 원심펌프 회전차 출구의 직경 450mm, 회전수 1200rpm, 유체의 유입각도(α1) 90°, 유체의 유출각도(β2) 25°, 유속은 12m/s일 때, 이론양정(m)은 얼마인가?
- ① 32.5
- ② 41.7
- ③ 48.6
- ④ 50.3
엄준식2023. 5. 28. 14:13삭제
원주속도(원주속도-유속cosb2)/9.81
69. 진공펌프의 설치 목적에 대한 설명으로 옳은 것은?
- ① 용기에 있는 공기 분자를 펌프를 통해 배기시키는 것. 즉, 용기내의 기체 밀도를 감소시키는 것이 펌프의 목적이다.
- ② 용기에 있는 물을 펌프를 통해 배기시키는 것. 즉, 용기내 유체의 체적을 감소시키는 것이 펌프의 목적이다.
- ③ 용기에 있는 공기 분자를 펌프를 통해 흡입시키는 것. 즉, 용기내의 기체 밀도를 증가시키는 것이 펌프의 목적이고, 기체 밀도가 클수록 좋은 진공이라 할 수 있다.
- ④ 용기에 있는 물을 펌프를 통해 배기시키는 것. 즉, 용기내 유체의 체적을 증가시키는 것이 펌프의 목적이다.
등록된 댓글이 없습니다.
70. 원심펌프의 원리와 구조에 관한 설명으로 틀린 것은?
- ① 변곡된 다수의 깃(blade)이 달린 회전차가 밀폐된 케이싱 내에서 회전함으로써 발생하는 원심력의 작용에 따라 송수된다.
- ② 액체(주로 물)는 회전차의 중심에서 흡입되어 반지름 방향으로 흐른다.
- ③ 와류실은와실에서 나온 물을 모아서 송출관쪽으로 보내는 스파이럴형의 동체이다.
- ④ 와실은 송출되는 물의 압력에너지를 되도록 손실을 적게 하여 속도에너지를 변화하는 역할을 한다.
김철새2022. 3. 4. 16:23삭제
안내깃의 역할이네융
71. 일반적인 베인 펌프의 특징으로 적절하지 않은 것은?
- ① 부품수가 많다.
- ② 비교적 고장이 적고 보수가 용이하다.
- ③ 펌프의 구동 동력에 비해 형상이 소형이다.
- ④ 기어 펌프나 피스톤 펌프에 비해 토출 압력의 맥동이 크다.
엄준식2023. 5. 28. 14:23삭제
베인펌프가 가장 토출압 맥동 적음
72. 어큐뮬레이터의 용도와 취급에 대한 설명으로 틀린 것은?
- ① 누설유량을 보충해 주는 펌프 대용 역할을 한다.
- ② 어큐뮬레이터에 부속쇠 등을 용접하거나 가공, 구멍 뚫기 등을 해서는 안된다.
- ③ 어큐뮬레이터를 운반, 결합, 분리 등을 할 때는 봉입가스를 유지하여야 한다.
- ④ 유압 펌프에 발생하는 맥동을 흡수하여 이상 압력을 억제하여 진동이나 소음을 방지한다.
엄준식2023. 5. 28. 14:24삭제
봉입가스 필요X
73. 상시 개방형 밸브로 옳은 것은?
- ① 감압 밸브
- ② 무부하 밸브
- ③ 릴리프 밸브
- ④ 카운터 밸런스 밸브
엄준식2023. 5. 28. 14:57삭제
감압=상시개방
74. 유압유의 점도가 낮을 때 유압 장치에 미치는 영향으로 적절하지 않은 것은?
- ① 배관 저항 증대
- ② 유압유의 누설 증가
- ③ 펌프의 용적 효율 저하
- ④ 정확한 작동과 정밀한 제어의 곤란
등록된 댓글이 없습니다.
75. 그림과 같은 유압기호가 나타내는 것은? (단, 그림의 기호는 간략 기호이며, 간략 기호에서 유로의 화살표는 압력의 보상을 나타낸다.)

- ① 가변 교축 밸브
- ② 무부하 릴리프 밸브
- ③ 직렬형 유량조정 밸브
- ④ 바이패스형 유량조정 밸브
등록된 댓글이 없습니다.
76. 실린더 입구의 분기 회로에 유량 제어 밸브를 설치하여 실린더 입구측의 불필요한 압유를 배출시켜 작동 효율을 증진시키는 회로는?
- ① 로킹 회로
- ② 증강 회로
- ③ 동조 회로
- ④ 블리드 오프 회로
등록된 댓글이 없습니다.
77. 유압 회로에서 속도 제어 회로의 종류가 아닌 것은?
- ① 미터 인 회로
- ② 미터 아웃 회로
- ③ 블리드 오프 회로
- ④ 최대 압력 제한 회로
등록된 댓글이 없습니다.
78. 기어펌프의 폐입 현상에 관한 설명으로 적절하지 않은 것은?
- ① 진동, 소음의 원인이 된다.
- ② 한 쌍의 이가 맞물려 회전할 경우 발생한다.
- ③ 폐입 부분에서 팽창 시 고압이, 압축 시 진공이 형성된다.
- ④ 방지책으로 릴리프 홈에 의한 방법이 있다.
등록된 댓글이 없습니다.
79. 감압 밸브, 체크 밸브, 릴리프 밸브 등에서 밸브시트를 두드려 비교적 높은 음을 내는 일종의 자려진동 현상은?
- ① 컷인
- ② 점핑
- ③ 채터링
- ④ 디컴프레션
등록된 댓글이 없습니다.
80. 그림과 같은 단동실린더에서 피스톤에 F = 500N의 힘이 발생하면, 압력 P는 약 몇 kPa이 필요한가? (단, 실린더의 직경은 40mm이다.)

- ① 39.8
- ② 398
- ③ 79.6
- ④ 796
등록된 댓글이 없습니다.
5과목 : 건설기계일반 및 플랜트배관
81. 타이어식 기중기에서 전후, 좌우 방향에 안전성을 주어 기중 작업 시 전도되는 것을 방지해 주는 안전장치는?
- ① 아우트리거
- ② 종감속 장치
- ③ 과권 경보장치
- ④ 과부하 방지장치
등록된 댓글이 없습니다.
82. 일반적으로 지게차에서 사용하는 조향방식은?
- ① 전륜 조향방식
- ② 포크 조향방식
- ③ 후륜 조향방식
- ④ 마스트 조향방식
등록된 댓글이 없습니다.
83. 스크레이퍼의 흙 운반량(m3/h)에 대한 설명으로 틀린 것은?
- ① 볼의 용량에 비례한다.
- ② 사이클 시간에 반비례한다.
- ③ 흙(토량) 환산계수에 반비례한다.
- ④ 스크레이퍼 작업 효율에 비례한다.
등록된 댓글이 없습니다.
84. 도로포장을 위한 다짐작업에 사용되는 건설기계는?
- ① 롤러
- ② 로더
- ③ 지게차
- ④ 덤프트럭
등록된 댓글이 없습니다.
85. 아스팔트 피니셔에 대한 설명으로 적절하지 않은 것은?
- ① 혼합재료를 균일한 두께로 포장폭만큼 노면 위에 깔고 다듬는 건설기계이다.
- ② 주행방식에 따라 타이어식과 무한궤도식으로 분류할 수 있다.
- ③ 피더는 혼합재료를 이동시키는 역할을 한다.
- ④ 스크리드는 운반된 혼합재료(아스팔트)를 저장하는 용기이다.
등록된 댓글이 없습니다.
86. 트랙터의 앞에 블레이드(배토판)을 설치한 것으로 송토, 굴토, 확토 작업을 하는 건설기계는?
- ① 굴삭기
- ② 지게차
- ③ 도저
- ④ 컨베이어
등록된 댓글이 없습니다.
87. 굴삭기를 주행 장치에 따라 구분하여 설명한 내용으로 적절하지 않은 것은?
- ① 주행 장치에 따라 무한궤도식과 타이어식으로 분류할 수 있다.
- ② 타이어식은 이동거리가 긴 작업장에서 작업능률이 좋다.
- ③ 타이어식은 주행저항이 적으며 기동성이 좋다.
- ④ 무한궤도식은 습지나 경사지에서의 작업이 곤란하다.
등록된 댓글이 없습니다.
88. 강재의 크기에 따라 담금질 효고가 달라지는 현상을 의미하는 용어는?
- ① 단류선
- ② 질량효과
- ③ 잔류응력
- ④ 노치효과
등록된 댓글이 없습니다.
89. 모터 그레이더에서 사용하는 리닝 장치에 대한 설명으로 옳은 것은?
- ① 블레이드를 올리고 내리는 장치이다.
- ② 앞바퀴를 좌우로 경사시키는 장치이다.
- ③ 기관의 가동시간을 기록하는 장치이다.
- ④ 큰 견인력을 얻기 위해 저압 타이어를 사용하는 장치이다.
김철새2022. 3. 4. 21:59삭제
lean : 기울이다
90. 열팽창에 의한 배관의 이동을 제한하는 레스트레인트의 종류가 아닌 것은?
- ① 앵커
- ② 스토퍼
- ③ 가이드
- ④ 파이프슈
엄준식2023. 5. 28. 14:34삭제
레스트레인트 : 앵스가
91. 동력을 이용하여 나사를 절삭하는 동력나사 절삭기의 종류가 아닌 것은?
- ① 호브식
- ② 램식
- ③ 오스터식
- ④ 다이헤드식
엄준식2023. 5. 28. 14:34삭제
오다리오호
92. 15℃인 강관 25m가 있다. 이 강관에 온수 60℃의 온수를 공급할 때 강관의 신축량은 몇 mm인가? (단, 강관의 열팽창 계수는 0.012 mm/m·℃ 이다.)
- ① 5.5
- ② 8.5
- ③ 13.5
- ④ 16.5
등록된 댓글이 없습니다.
93. 관 공작용 기계가 아닌 것은?
- ① 로터리식 파이프 벤딩기
- ② 동력 나사 절삭기
- ③ 파이프 렌치
- ④ 기계톱
엄준상2022. 3. 4. 12:21삭제
틀림
94. 주철관의 인장강도가 낮기 때문에 피해야 하는 관 이음방법은?
- ① 용접 이음
- ② 소켓 이음
- ③ 플랜지 이음
- ④ 기계식 이음
등록된 댓글이 없습니다.
95. 배수배관의 구배에 대한 설명으로 틀린 것은?
- ① 물 포켓이나 에어포켓이 만들어지는 요철배관의 시공은 하지 않도록 한다.
- ② 배수배관과 중력식 증기배관의 환수관은 일정한 구배로 관 말단까지 상향구배로 한다.
- ③ 배수배관은 구배의 경사가 완만하면 유속이 떨어져 밀어내는 힘이 감소하여 고형물이 남게 된다.
- ④ 배수배관은 구배를 급경사지게하면 물이 관 바닥을 급속히 흐르게 되므로 고형물을 부유시키지 않는다.
등록된 댓글이 없습니다.
96. 부식의 외관상 분류 중 국부부식의 종류가 아닌 것은?
- ① 전면부식
- ② 입계부식
- ③ 선택부식
- ④ 극간부식
엄준상2022. 3. 4. 12:23삭제
선입극국
97. 밸브를 나사봉에 의하여 파이프의 횡단면과 평행하게 개폐하는 것으로 슬루스 밸브라고 불리는 밸브는?
- ① 게이트 밸브
- ② 앵글 밸브
- ③ 체크 밸브
- ④ 콕
엄준식2023. 5. 28. 14:39삭제
쓰루스 입구(게이트)
98. 배수관 시공완료 후 각 기구의 접속부 기타 개구부를 밀폐하고, 배관의 최고부에서 물을 가득 넣어 누수 유무를 판정하는 시험은?
- ① 응력시험
- ② 통수시험
- ③ 연기시험
- ④ 만수시험
등록된 댓글이 없습니다.
99. 탄소강관의 내면 또는 외면을 폴리에틸렌이나 경질 염화비닐로 피복하여 내구성과 내식성이 우수한 관은?
- ① 주철관
- ② 탄소강관
- ③ 라이닝 강관
- ④ 스테인리스강관
엄준식2023. 5. 28. 14:40삭제
경질염화비닐 - 라이닝
100. 배관용 탄소강관의 설명으로 틀린 것은?
- ① 종류에는 흑관과 백관이 있다.
- ② 고압 배관용으로 주로 사용된다.
- ③ 호칭지름은 6~600A까지가 있다.
- ④ KS 규격 기호는 SPP이다.
엄준식2023. 5. 28. 14:40삭제
저압