에너지관리산업기사(2013. 3. 10.) 시험일자 : 2013년 3월 10일
1과목 : 열역학 및 연소관리
1. 부하 변동에 따른 연료량의 조절범위가 가장 큰 버너의 형식은?
- ① 유압식 버너
- ② 회전식 버너
- ③ 고압공기 분무식 버너
- ④ 저압증기 분무식 버너
등록된 댓글이 없습니다.
2. 수소 31.9%, 일산화탄소 6.3%, 메탄 22.3%, 에틸렌 3.9%, 이산화탄소 3.8%, 질소 31.8%의 조성을 갖는 가스 연료의 고위발열량은 약 몇 MJ/Sm3인가?
- ① 10.5
- ② 11.3
- ③ 14.2
- ④ 16.3
등록된 댓글이 없습니다.
3. 거리의 제한이 없고 주위 환경오차가 적으나 연돌 상부의 지름 크기에 따라 측정오차가 큰 매연 측정 방법은?
- ① 바카락 스모크 테스터
- ② 망원경식 매연 농도계
- ③ 광전관식 매연 농도계
- ④ 링겔만 매연 농도계
등록된 댓글이 없습니다.
4. 연소의 3요소에 해당하지 않는 것은?
- ① 가연물
- ② 인화점
- ③ 산소공급원
- ④ 점화원
등록된 댓글이 없습니다.
5. 기체연료의 일반적인 특징에 대한 설명으로 가장 거리가 먼 것은?
- ① 저장하기 쉽다.
- ② 열효율이 높다.
- ③ 점화 및 소화가 간단하다.
- ④ 연소용 공기 예열에 의해 저발열량이라도 전열효율을 높일 수 있다.
등록된 댓글이 없습니다.
6. 기체연료의 연소에는 층류확산연소, 난류확산연소 및 예혼합연소가 있다. 이 중 가장 고부하 연소가 가능한 연소방식은?
- ① 층류확산연소
- ② 난류확산연소
- ③ 예혼합연소
- ④ 모두 가능하다.
등록된 댓글이 없습니다.
7. 질량조성비가 탄소 0.87, 수소 0.1, 황 0.03인 연료가 있다. 이론공기량(Sm3/kg)은?
- ① 7.2
- ② 8.3
- ③ 9.4
- ④ 10.5
등록된 댓글이 없습니다.
8. 다음 기체연료 중 고위발열량(MJ/Sm3)이 가장 큰 것은?
- ① 고로가스
- ② 천연가스
- ③ 석탄가스
- ④ 수성가스
등록된 댓글이 없습니다.
9. 입경이 작아질수록 석탄의 착화온도의 변화를 나타내는 것으로 옳은 것은?
- ① 착화온도가 높아진다.
- ② 착화온도가 낮아진다.
- ③ 입경의 크기와 무관하다.
- ④ 착화온도의 차이가 없다.
등록된 댓글이 없습니다.
10. 일반적인 중유의 인화점 범위로서 가장 옳은 것은?
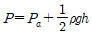
- ① 60~150℃
- ② 300~350℃
- ③ 520~580℃
- ④ 730~780℃
등록된 댓글이 없습니다.
11. 석탄을 공업분석하였더니 수분이 3.35%, 휘발분이 2.65%, 회분이 25.50%이었다. 고정탄소분은 몇 %인가?
- ① 37.69
- ② 49.48
- ③ 59.87
- ④ 68.50
등록된 댓글이 없습니다.
12. 다음 조성의 수성가스 연소 시 필요한 공기량은 약 몇 Sm3/Sm3인가? (단, 공기비는 1.25, 사용 공기는 건조공기이다.)

- ① 0.97
- ② 1.22
- ③ 2.42
- ④ 3.07
등록된 댓글이 없습니다.
13. 다음 중 풍화의 영향이 크지 않은 것은?
- ① 석탄의 휘발분
- ② 석탄의 고정탄소
- ③ 석탄의 회분
- ④ 석탄의 수분
등록된 댓글이 없습니다.
14. 다음 중 매연의 방지조치로서 옳지 않은 것은?
- ① 공기비를 최소화하여 연소한다.
- ② 보일러에 적합한 연료를 선택한다.
- ③ 연료가 연소하는 데 충분한 시간을 준다.
- ④ 연소실 내의 온도가 내려가지 않도록 공기를 적정하게 보낸다.
등록된 댓글이 없습니다.
15. 고체연료인 석탄, 장작 등이 불꽃을 내면서 타는 형태의 연소로서 가장 옳은 것은?
- ① 확산연소
- ② 증발연소
- ③ 분해연소
- ④ 표면연소
등록된 댓글이 없습니다.
16. 회분이 연소에 미치는 영향에 대한 설명으로 옳지 않은 것은?
- ① 연소실의 온도를 높인다.
- ② 통풍에 지장을 주어 연소효율을 저하시킨다.
- ③ 보일러 벽이나 내화벽돌에 부착되어 장치를 손상시킨다.
- ④ 용융 온도가 낮은 회분은 클링커를 작용시켜 통풍을 방해한다.
등록된 댓글이 없습니다.
17. 탄소 84.0%, 수소 13.0%, 황 2.0%, 질소 1.0%인 중유 1kg을 15Sm3의 공기로 완전연소시켰을 때의 습연소 배기가스 중의 SO2는 약 몇 ppm인가? (단, 황은 연소하여 모두 SO2로 되었다.)
- ① 700
- ② 740
- ③ 890
- ④ 1,000
등록된 댓글이 없습니다.
18. 다음 중 이론공기량에 대하여 가장 올바르게 나타낸 것은?
- ① 완전 연소에 필요한 1차 공기량
- ② 완전 연소에 필요한 2차 공기량
- ③ 완전 연소에 필요한 최소 공기량
- ④ 완전 연소에 필요한 최대 공기량
등록된 댓글이 없습니다.
19. 다음 중 보염장치(保炎裝置)가 아닌 것은?
- ① 에어레지스터
- ② 버너타일
- ③ 컴버스터
- ④ 크레이머
등록된 댓글이 없습니다.
20. 프로판 1Sm3을 이론공기량으로 완전 연소시 건연소가스량은?
- ① 3.81Sm3
- ② 18.81Sm3
- ③ 21.81Sm3
- ④ 25.81Sm3
등록된 댓글이 없습니다.
2과목 : 계측 및 에너지진단
21. 공기 냉동 cycle은 어느 cycle의 역 cycle인가?
- ① Otto
- ② Diesel
- ③ Sabathe
- ④ Brayton
등록된 댓글이 없습니다.
22. 오토사이클에 대한 설명으로 틀린 것은?
- ① 등엔트로피 압축과정이 있다.
- ② 일정한 압력에서 열방출을 한다.
- ③ 압축비가 클수록 이론적인 열효율은 증가한다.
- ④ 효율은 압축비의 함수이다.
등록된 댓글이 없습니다.
23. 냉동 사이클의 작업 유체(Working Fluid)인 냉매(Refrigerant)의 구비조건으로 가장 거리가 먼 것은?
- ① 증발잠열이 클 것
- ② 임계 온도가 낮을 것
- ③ 응축 압력이 낮을 것
- ④ 열전달 특성이 좋을 것
등록된 댓글이 없습니다.
24. 체적 20m3의 용기 내에 공기가 채워져 있으며, 이때 온도는 25m3이고, 압력은 200kPa이다. 용기 내의 공기온도를 65℃까지 가열시키는 경우에 소요 열량은 약 몇 kJ인가? (단, R=0.27kJ/kg·K, Cv=0.71kJ/kg·K이다.)
- ① 240
- ② 330
- ③ 1,330
- ④ 2,840
등록된 댓글이 없습니다.
25. 엔트로피에 대한 설명 중 틀린 것은?
- ① 엔트로피는 열역학적 상태량이다.
- ② 계의 엔트로피 변화는 가역 및 비가역 과정에서 경로와 무관하다.
- ③ 엔트로피는 모든 과정에 대하여 전달 열량을 온도로 나눈 것으로 정의된다.
- ④ 몰리에선도는 엔탈피와 엔트로피 관계를 나타내는 선도이다.
등록된 댓글이 없습니다.
26. 압력 0.2MPa, 온도 200℃의 어떤 기체(이상기체) 2kg이 가역단열과정으로 팽창하여 압력이 0.1MPa로 변한다. 이 기체의 최종온도는 약 몇 ℃인가? (단, 이 기체의 비열비는 1.4이다.)
- ① 92
- ② 115
- ③ 365
- ④ 388
등록된 댓글이 없습니다.
27. 다음은 물의 압력-온도 선도를 나타낸 것이다. 임계점은 어디를 말하는가?

- ① 점 0
- ② 점 4
- ③ 점 5
- ④ 점 6
등록된 댓글이 없습니다.
28. 압력 2.5MPa일 때 포화수 엔탈피는 960kJ/kg, 포화수증기의 엔탈피는 2,800kJ/kg이다. 이때 동일 압력하에서 습증기 5kg의 엔탈피는 10,000kJ이다. 이 습증기의 건도는?
- ① 0.27
- ② 0.37
- ③ 0.47
- ④ 0.57
등록된 댓글이 없습니다.
29. 다음 중 같은 액체에 대한 표현이 아닌 것은?
- ① 밀도가 800kg/m3이다.
- ② 0.2m3의 질량이 160kg이다.
- ③ 비중량이 800N/m3이다.
- ④ 비체적이 0.00125m3/kg이다.
등록된 댓글이 없습니다.
30. 고열원의 온도 800K, 저열원의 온도 300K인 두 열원 사이에서 작동하는 이상적인 카르노 사이클이 있다. 고열원에서 사이클에 가해지는 열량이 120kJ이면 사이클 일은 몇 kJ인가?
- ① 60
- ② 75
- ③ 85
- ④ 120
등록된 댓글이 없습니다.
31. 발열량이 47,300kJ/kg인 휘발유를 시간당 40kg씩 연소시키는 기관의 열효율이 30%라면, 이 관의 발생동력은 몇 kW인가?
- ① 158
- ② 527
- ③ 1,548
- ④ 1,752
등록된 댓글이 없습니다.
32. 그림은 초기 체적이 V1상태에 있는 피스톤이 외부로 일을 하여 최종적으로 체적이 Vf인 상태로 된것을 나타낸다. 외부로 가장 많은 일을 한 과정은?

- ① 0-1 과정
- ② 0-2 과정
- ③ 0-3 과정
- ④ 0-4 과정
등록된 댓글이 없습니다.
33. 보일러에서 포화증기의 압력을 올리면 증기의 잠열은 어떻게 변하는가?
- ① 증가한다.
- ② 변하지 않는다.
- ③ 감소한다.
- ④ 상황에 따라 다르다.
등록된 댓글이 없습니다.
34. 압력이 300kPa, 체적이 0.5m3인 공기가 일정한 압력에서 체적이 0.7m3으로 팽창했다. 이 팽창 중에 내부에너지가 50kJ 증가하였다면 팽창에 필요한 열량은 몇 kJ인가?
- ① 50
- ② 60
- ③ 100
- ④ 110
등록된 댓글이 없습니다.
35. 관로에서 외부에 대한 열의 출입이 없고 욉에 대한 일과 유압속도를 무시할 때, 유출속도 W2에 대한 식으로 옳은 것은? (단, i는 단위질량당 엔탈피이며, 1,2는 각각 입구와 출구를 의미한다.)
- ①

- ②

- ③

- ④

등록된 댓글이 없습니다.
36. 이상기체에 대한 설명으로 가장 거리가 먼 것은?
- ① 기체분자 간의 인력을 무시할 수 있고 이상기체의 상태방정식을 만족하는 기체
- ② Boyle-Charles의 법칙(Pv/T=Const)을 만족하는 기체
- ③ 분자 간에 완전 탄성충돌을 하는 기체
- ④ 일상생활에서 실제로 존재하는 기체
등록된 댓글이 없습니다.
37. 습증기의 건도를 잘 설명한 것은?
- ① 습증기 1kg중에 포함되어 있는 액체의 양을 습증기 1kg중에 호함된 건포화증기 양으로 나눈 값
- ② 습증기 1kg중에 포함되어 있는 건포화증기의 양을 습증기 1kg 중에 포함된 액체 양으로 나눈 값
- ③ 습증기 1kg 중에 포함되어 있는 액체의 양을 습증기 1kg으로 나눈 값
- ④ 습증기 1kg 중에 포함되어 있는 건포화증기의 양을 습증기 1kg으로 나눈 값
등록된 댓글이 없습니다.
38. 물에 대한 임계점에서의 온도와 압력을 옳게 표현한 것은?
- ① 273.16℃, 0.61kPa
- ② 273.16℃, 221bar
- ③ 374.15℃, 0.61kPa
- ④ 374.15℃, 221bar
등록된 댓글이 없습니다.
39. 폴리트로픽(Polytropic) 과정에서 폴리트로픽 지수가 무한히 큰 수(n=∞)인 경우는 다음 중 어느 과정에 가장 가까운가?
- ① 정압(Constant Pressure) 과정
- ② 정적(Constant Volume) 과정
- ③ 등온(Constant Temperature) 과정
- ④ 단열(Adiabatic) 과정
등록된 댓글이 없습니다.
40. 물의 기화열은 1기압에서 2,257kJ/kg이다. 1기압하에서 포화수 1kg을 포화수증기로 만들 때 물의 엔트로피의 변화는 몇 kJ/K인가?
- ① 0
- ② 6.05
- ③ 539
- ④ 2,257
등록된 댓글이 없습니다.
3과목 : 열설비구조 및 시공
41. 피토관을 사용하여 해수의 유속을 측정하였떠니 마노메타의 차가 10cm 이었다. 이때 유속은 약 몇 m/s인가?
- ① 1.4
- ② 1.96
- ③ 14
- ④ 18.6
등록된 댓글이 없습니다.
42. 프로세스 제어의 난이 정도를 표시하는 낭비시간(Dead Time:L)과 시정수(T)와의 비()는 어떤 성질을 갖는가?
- ① 작을수록 제어가 용이하다.
- ② 클수록 제어가 용이하다.
- ③ 조작정도에 따라 다르다.
- ④ 비에 관계없이 일정하다.
등록된 댓글이 없습니다.
43. 휘도를 표준온도의 고온 물체와 비교하여 온도를 측정하는 온도계는?
- ① 액주온도계
- ② 광고온계
- ③ 열전대온도계
- ④ 기체팽창온도계
등록된 댓글이 없습니다.
44. 지름이 200mm인 관에 비중이 0.9인 기름이 평균속도 5m/s로 흐를 때 유량은 약 몇 kg/s인가?
- ① 14
- ② 15.7
- ③ 141.3
- ④ 157
등록된 댓글이 없습니다.
45. 다음 중 화학적 가스분석계가 아닌 것은?
- ① 오르자트식
- ② 연소식
- ③ 자동화학식 CO2계
- ④ 밀도식
등록된 댓글이 없습니다.
46. 자동제어에 대한 설명으로 틀린 것은?
- ① 블록선도(Block Diagram)란 자동제어계의 각 요소의 명칭이나 특성을 각 블록 내에 기입하고, 신호의 흐름을 표시한 계통도이다.
- ② 제어량은 출력이라고도 하며, 제어하고자 하는 양으로서 목표치와 같은 종류의 양이다.
- ③ 비교부란 검출한 제어량과 조작량을 비교하는 부분으로 그 오차를 제어편차라 한다.
- ④ 외란이란 제어계의 상태를 혼란케 하는 외적 작용이다.
등록된 댓글이 없습니다.
47. “CO+H2” 분석계란 어떤 가스를 분석하는 계기인가?
- ① 과잉공기계
- ② CO2계
- ③ 미연가스계
- ④ N2계
등록된 댓글이 없습니다.
48. 밀폐 고압탱크나 부식성 탱크의 액면 측정에 가장 적절한 액면계는?
- ① 차압식
- ② 플로트(Float)식
- ③ 노즐식
- ④ 감마(γ)선식
등록된 댓글이 없습니다.
49. 전기저항 온도계에서 측온저항체의 구비조건으로 틀린 것은?
- ① 물리·화학적으로 안정하고 동일 특성을 갖는 재료이어야 한다.
- ② 일정 온도에서 일정한 저항을 가져야 한다.
- ③ 저항온도계수가 적고 규칙적이어야 한다.
- ④ 내열성이 있어야 한다.
등록된 댓글이 없습니다.
50. 액주식 압력계에 사용하는 액체에 필요한 특성이 아닌 것은?
- ① 점성이 클 것
- ② 열팽창계수가 작을 것
- ③ 모세관 현상이 작을 것
- ④ 일정한 화학성분을 가질 것
등록된 댓글이 없습니다.
51. 차압식 유량계의 압력손실의 크기를 바르게 표기한 것은?
- ① Flow-Nozzle > Venturi >Orifice
- ② Venturi > Flow-Nozzle > Orifice
- ③ Orifice > Venturi > Flow-Nozzle
- ④ Orifice > Flow-Nozzle > Venturi
등록된 댓글이 없습니다.
52. 0℃에서 수은주의 높이가 760mm에 상당하는 압력을 1표준 기압 또는 대기압이라 할 때 다음 중 1atm과 다른 것은?
- ① 1,013mbar
- ② 101.3Pa
- ③ 1.033kg/cm2
- ④ 10.332mH2O
등록된 댓글이 없습니다.
53. 다음 중 온도를 높여주면 산소 이온만을 통과시키는 성질을 이용한 가스분석계는?
- ① 세라믹 O2계
- ② 갈바닉 전자식 O2계
- ③ 자기식 O2계
- ④ 적외선 가스분석계
등록된 댓글이 없습니다.
54. 통풍력의 단위로 사용하기에 가장 적합한 것은?
- ① 수은주(mmHg)
- ② 수주(mmH2O)
- ③ 수주(mH2O)
- ④ kg/cm2
등록된 댓글이 없습니다.
55. 다음 중 보일러의 화염온도를 측정하는 데 가장 적합한 온도계는?
- ① 알코올온도계
- ② 광고온계
- ③ 수은유리온도계
- ④ 표면온도계
등록된 댓글이 없습니다.
56. 다음 중 구조상 보상도선을 반드시 사용하여야 하는 온도계는?
- ① 열전대식 온도계
- ② 광고온계
- ③ 방사온도계
- ④ 전기식 온도계
등록된 댓글이 없습니다.
57. 다음과 같은 압력측정장치에서 용기압력은 어떻게 표시되는가? (단, 유체의 밀도 ρ, 중력가속도 g로 표시한다.)

- ① P=Pa
- ② P=ρgh
- ③

- ④ P=Pa+ρgh
등록된 댓글이 없습니다.
58. 방사온도계로 금속의 온도를 측정하였더니 970℃이었다. 전방사율이 0.84일 때의 진온도는 약 몇 ℃인가?
- ① 815
- ② 970
- ③ 1,025
- ④ 1,298
등록된 댓글이 없습니다.
59. 보일러 출구의 배기가스를 측정하는 세라믹 O2계의 특징이 아닌 것은?
- ① 응답이 신속하다.
- ② 연속측정이 가능하다.
- ③ 측정부의 온도유지를 위하여 온도조절용 히터가 필요하다.
- ④ 분석하고자 하는 가스를 흡수 용액에 흡수시켜, 전극으로 그 용액에서의 굴절률 변화를 이용하여 O2농도를 측정한다.
등록된 댓글이 없습니다.
60. 다음 중 서보(Servo)기구의 제어량은?
- ① 압력
- ② 유량
- ③ 온도
- ④ 물체의 방향
등록된 댓글이 없습니다.
4과목 : 열설비취급 및 안전관리
61. 다음 중 큐폴라의 구성품이 아닌 것은?
- ① 코크스 배드(Cokes Bad)
- ② 트라이언(Trunnion)
- ③ 우구(Tuyere)
- ④ 윈드박스(Wind Box)
등록된 댓글이 없습니다.
62. 전형적으로 흑운모의 변질작용으로 생성되는 광물로서 급열처리에 의하여 겉보기 비중과 열전도율이 낮아 단열재로 주로 사용되는 광물은?
- ① 질석(Vermiculite)
- ② 펄라이트(Perlite)
- ③ 팽창열함(Expanded Shale)
- ④ 팽창점토(Expanded Clay)
등록된 댓글이 없습니다.
63. 어떤 내화벽돌의 열전도율이 0.8kca/m·h·℃인 재질의 평면벽 양쪽 온도가 800℃와 200℃이며 이 벽을 통한 열전달률이 1,500kcal/m℃·h·℃일 때 벽의 두께는 약 몇 cm인가?
- ① 25
- ② 32
- ③ 43
- ④ 49
등록된 댓글이 없습니다.
64. 2개 이상의 엘보(Elbow)로 나사의 회전을 이용하여 온수 또는 저압증기용 배관에 사용하는 신축이음방식은?
- ① 루프형(Loop Type)
- ② 벨로즈형(Bellows Type)
- ③ 슬리브형(Sleeve Type)
- ④ 스위블형(Swivel Type)
등록된 댓글이 없습니다.
65. 단열벽돌을 요로에 사용할 때의 특징에 대한 설명으로 틀린 것은?
- ① 축열 손실이 적어진다.
- ② 전열 손실이 적어진다.
- ③ 노내 온도가 균일해지고, 내화물의 배면에 사용하면 내화물의 내구력이 커진다.
- ④ 효과적인 면도 적지 않으나 가격이 비싸므로 경제적인 이익은 없다.
등록된 댓글이 없습니다.
66. 내화 몰탈의 종류가 아닌 것은?
- ① 열경성 몰탈
- ② 기경성 몰탈
- ③ 압경성 몰탈
- ④ 수경성 몰탈
등록된 댓글이 없습니다.
67. 열전도에 대한 설명 중 옳지 않은 것은?
- ① 전도에 의한 열전달 속도는 전열면적에 비례한다.
- ② 열전도율은 온도의 함수이다.
- ③ 열전도율은 물질 특유의 상수로 코사인 법칙이라고 한다.
- ④ 전도에 의한 열전달 속도는 온도구배에 비례한다.
등록된 댓글이 없습니다.
68. 열유체의 물성을 표시하는 무차원인 Prandtl수는? (단, ρ는 유체의 밀도, c는 유체의 비열, μ는 점성계수, λ는 열전도율이다.)
- ①

- ②

- ③

- ④

등록된 댓글이 없습니다.
69. 탄화규소질 내화물에 대한 설명으로 옳은 것은?
- ① 알칼리 조건에서 사용이 제한된다.
- ② 소결성이다.
- ③ 고온에서 부피 변화가 적다.
- ④ 하중연화온도가 낮다.
등록된 댓글이 없습니다.
70. 다음 중 보온재의 보온효과에 가장 큰 영향을 미치는 것은?
- ① 보온재의 화학성분
- ② 보온재의 조직
- ③ 보온재의 광물조성
- ④ 보온재의 내화도
등록된 댓글이 없습니다.
71. 도시가스 연소식 노통연관보일러에 설치하는 증기압력계의 적정한 눈금은 어느 범위에 있어야 하는가?
- ① 사용압력의 1.5~3배
- ② 최고사용압력의 1.5~3배
- ③ 사용압력의 2~3배
- ④ 최고사용압력의 2~3배
등록된 댓글이 없습니다.
72. 공기예열기의 효과에 대한 설명 중 틀린 것은?
- ① 수분이 많은 저질탄의 연소에 유효하다.
- ② 폐열을 이용하므로 열손실이 적게 된다.
- ③ 노내온도를 높이고, 노내의 열전도를 좋게 한다.
- ④ 공기의 온도가 높게 되므로 통풍저항이 감소한다.
등록된 댓글이 없습니다.
73. 가마 내의 온도를 비교적 균일하게 할 수 있어 도자기, 내화벽돌의 소성에 적합한 가마는?
- ① 직염식 가마
- ② 승염식 가마
- ③ 횡염식 가마
- ④ 도염식 가마
등록된 댓글이 없습니다.
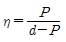
74. 길이 방향으로 배치된 관 구멍부의 효율(η)은 피치가 같을 경우, 어떤 식으로 나타낼 수 있는가? (단, P는 관 구멍의 피치[mm], d는 관 구멍의 지름[mm]이다.)
- ①

- ②

- ③

- ④

등록된 댓글이 없습니다.
75. 다음 중 주철관의 접합방법으로 사용되지 않는 것은?
- ① 소켓접합
- ② 플랜지접합
- ③ 기계식 접합
- ④ 용접접합
등록된 댓글이 없습니다.
76. 유리를 연속적으로 대량 용융하여 규모가 큰 판유리 등의 대량생산용에 가장 적당한 가마는?
- ① 회전 가마
- ② 탱크 가마
- ③ 터널 가마
- ④ 도가니 가마
등록된 댓글이 없습니다.
77. 재생식 공기예열기로서 일반 대형보일러에 주로 사용되는 것은?
- ① 엘레멘트 조립식 공기예열기
- ② 융그스트롬식 공기예열기
- ③ 판형 공기예열기
- ④ 관형 공기예열기
등록된 댓글이 없습니다.
78. 돌로마이트질 내화물의 주요 화학 성분은?
- ① SiO2
- ② SiO2, Al2O3
- ③ Al2O3
- ④ CaO, MgO
등록된 댓글이 없습니다.
79. 크롬질 벽돌의 특징에 대한 설명으로 옳지 않은 것은?
- ① 내화도가 높고 하중연화점이 낮다.
- ② 마모에 대한 저항성이 크다.
- ③ 온도 급변에 잘 견딘다.
- ④ 고온에서 산화철을 흡수하여 팽창한다.
등록된 댓글이 없습니다.
80. 노벽이 두께 24cm의 내화벽돌, 두께 10cm의 절연벽돌 및 두께 15cm의 적색벽돌로 만들어질 때 벽 안쪽과 바깥쪽 표면 온도가 각각 900℃, 90℃라면 열손실은 약 몇 kcal/h·m2인가? (단, 내화벽돌, 절연벽돌 및 적색벽돌의 열전도율은 각각 1.2, 0.15, 1.0kcal/h·m·℃이다.)
- ① 351
- ② 797
- ③ 1,501
- ④ 4,057
등록된 댓글이 없습니다.