화약류관리기사(2020. 9. 26.) 시험일자 : 2020년 9월 26일
1과목 : 일반화약학
1. 다음 중 기폭약으로만 나열된 것은?
- ① 뇌홍, 다이너마이트
- ② 질화납, 카알릿
- ③ DDNP, 테트라센
- ④ PETN, 트리시네이트
낄끼리2024. 6. 23. 20:23삭제
뇌홍,아지화연,디디엔피,테트라센,트리시네이트,아그로믹스
위력 순서) D뇌아트
열감도 ) 테트라센 D 뇌 질(아지화연,질화납)
2. 산업용 화약의 배합성분에 관한 설명으로 옳은 것은?
- ① 감열소염제란 폭발온도를 낮추고, 화염을 없애기 위한 것으로 규소철이나 초석을 말한다.
- ② 산소공급제란 폭발로 인해 생성되는 가스를 인체에 해가 없는 물질로 전환하기 위한 것으로 나프탈렌이나 KCl을 말한다.
- ③ 가연제란 폭발의 경우 산소공급제에서 산소를 얻어 연소하고 그 폭발온도를 높이는 작용을 하는 것을 말하며, KCl이나 전분을 말한다.
- ④ 예감제란 폭약의 감도를 보강하여 위력을 증대시키기 위하여 배합하는 것으로 DNNP이나 TNT를 말한다.
낄끼리2024. 6. 23. 20:26삭제
규소철-가연제, 초석-산소공급제
KCL-감열소염제, 나프탈렌-예감제로 사용되는 디니트로나프탈렌의 주원료
전분-가연제
3. 다음 중 질산에스테르에 해당하는 것은?
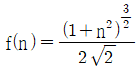
- ① PETN
- ② TNT
- ③ Tetryl
- ④ RDX
등록된 댓글이 없습니다.
4. 다음 화약류 중 자연분해의 경향이 작은 것만으로 나열된 것은?
- ① 다이너마이트, 테트릴, ANFO
- ② 면약, DDNP, PETN
- ③ 흑색화약, 무연화약, TNT
- ④ 컴포지션 B, 아지화납, 헥소겐
등록된 댓글이 없습니다.
5. 화약류 시험법에 대한 설명으로 옳은 것은?
- ① 폭약의 안정도를 조사하기 위하여 낙추시험을 하였다.
- ② 전기뇌관의 위력을 알기 위하여 납판시험을 하였다.
- ③ 탄광폭약의 감도를 조사하기 위하여 유리산시험을 하였다.
- ④ 폭속을 알기위해 둔성폭약시험을 하였다.
화약2021. 7. 19. 13:38삭제
안정도-> 유리산시험 내열시험 가열시험
전기뇌관 성능시험-> 납판시험, 둔성폭약시험, 점화전류시험, 내수시험, 단계별 발화시험, 내정전기시험
6. 뇌관 1개의 저항이 1.4Ω인 전기뇌관 20발을 직렬로 결선하여 제발하려면 몇 V의 전압이 필요한가? (단, 각선 1m의 한 가닥의 저항은 0.02Ω, 발파모선의 길이는 50m, 발파기의 내부저항은 0, 소요전류는 2A 이다.)
- ① 30
- ② 60
- ③ 70
- ④ 100
화약2021. 7. 19. 13:40삭제
2×(1.4×20+0.02×100+0)=60V
7. 뇌관에서 아지화납을 기폭약으로 사용할 때 구리재질의 내관이나 관체로 사용할 수 없는 이유는?
- ① 예민한 화합물인 아지화구리가 만들어져 위험하기 때문이다.
- ② 둔감한 화합물인 아지화구리가 만들어져 뇌관이 불폭되기 때문이다.
- ③ 아지화납은 구리를 녹이는 성질이 있기 때문이다.
- ④ 아지화납의 위력에 비해 구리의 강도가 약하기 때문이다.
등록된 댓글이 없습니다.
8. 다음 중 아마톨(Amatol)의 조성으로 옳은 것은?
- ① TNT 20% : 질산암모늄 80%
- ② HMX 75% : TNT 25%
- ③ RDX 59.5% : TNT 39.5% : 왁스 1%
- ④ RDX 91% : 고무 2.1% : 기름 1.6% : 가소제 5.3%
화약2021. 7. 19. 13:41삭제
펜톨라이트 :PETN+TNT
옥톨 :HMX+TNT
9. 도트리쉬법으로 폭속시험을 하고자 할 때 필요하지 않은 것은?
- ① 강관
- ② 기준 도폭선
- ③ 초시계
- ④ 연판
등록된 댓글이 없습니다.
10. 흑색화약에 대한 설명으로 옳은 것은?
- ① 마찰에 둔감하나 화염에 예민하여 염화나트륨을 혼입시킨다.
- ② 목탄은 회분이 많은 것을 사용한다.
- ③ 장기저장이 불가능하다.
- ④ 질산칼륨은 산소공급제로서의 역할을 한다.
낄끼리2024. 6. 23. 20:31삭제
화염 및 마찰에 예민하고 염화물을 함유하면 흡습되어 혼입하지않는다.
목탄은 회분이 적은 것을 사용한다.
화학적으로 안정하면 습기를 피하면 장기저장이 가능하다
11. 다음 중 수중발파에 가장 적합한 폭약은?
- ① 흑색화약
- ② 초안폭약
- ③ 초유폭약
- ④ 에멀젼폭약
등록된 댓글이 없습니다.
12. 다음 중 파괴약이 아닌 것은?
- ① 발파약
- ② 작약
- ③ 전폭약
- ④ 점폭약
낄끼리2024. 6. 23. 20:32삭제
발파약-산업용으로 암석을 발파하는데 사용하는 화약(다이너마이트,초안,카알릿,함수,안포)
작약-폭탄,포탄,지뢰 등에 장전하여 이들을 폭발시키기 위한 화약(TNT,콤포지션B)
전폭약-폭약을 확실하게 폭굉시키기 위한 화약(PENT,테트릴, 헥소겐)
13. ANFO 폭약에 대한 설명 중 틀린 것은?
- ① 비교적 저렴하고 안전한 폭약으로 알려져 있다.
- ② 질산암모늄과 경유를 혼합하여 제조한다.
- ③ 흡습성이 없어 장기저장에 좋다.
- ④ 전폭약을 붙여 기포고해야 폭발한다.
화약2021. 7. 19. 13:45삭제
습도 높은 곳에서 사용X
14. 1g당 산소 과부족량이 +0.035g인 화약은?
- ① 질산칼륨
- ② 질산암모늄
- ③ 니트로글리세린
- ④ 니트로글리콜
등록된 댓글이 없습니다.
15. 다이너마이트(지름 32mm, 무게 112.5g)의 사상순폭 시험을 한 결과 최대순폭거리가 160mm 였을 때, 순폭도는?
- ① 6
- ② 5
- ③ 4
- ④ 3
직스2021. 8. 8. 18:19삭제
160/32 = 5
16. 건조 상태에서의 니트로화합물과 질산에스테르의 자연분해 안정성에 대한 설명으로 옳은 것은?
- ① 니트로화합물이 더 안정하다.
- ② 질산에스테르가 더 안정하다.
- ③ 모두 안정하다.
- ④ 모두 불안정하다.
등록된 댓글이 없습니다.
17. 니트로글리세린(NG)에 대한 설명으로 틀린 것은?
- ① 무색투명하고 단맛이 있다.
- ② 약 8℃에서 동결하므로 마찰, 충격에 민감하다.
- ③ 물에 잘 녹지 않는다.
- ④ 에멀젼폭약의 원료이다.
낄끼리2024. 6. 23. 20:42삭제
에멀젼 폭약의 주원료=질산암모늄
18. 니트로셀룰로오스가 외부 환경변화 등에 의하여 일부분이 자연분해될 때 생성되는 가스는?
- ① SO2
- ② HCl
- ③ H2S
- ④ NO
등록된 댓글이 없습니다.
19. 디메틸아닐린을 진한 황산으로 술폰화한 후 질산을 넣어 니트로화시킨 것은?
- ① 피크린산
- ② TNT
- ③ 테트릴
- ④ 니트로글리콜
화약2021. 7. 19. 13:51삭제
테트릴 C6H2(NO2)3CH3NNO2
(=페트리트 피레나이트 CE 테트라니트로메틸아닐린)
20. 순폭도에 대한 설명으로 옳은 것은?
- ① 순폭도가 클수록 불완전 폭발한다.
- ② 분상계 폭약은 비중이 커지면 순폭되기 쉽다.
- ③ 약포사이에 암분이나 탄진이 있는 경우 순폭도가 저하한다.
- ④ 사상순폭도에 비하여 천공내(밀폐)의 순폭도가 작다.
등록된 댓글이 없습니다.
2과목 : 발파공학
21. 누두지수의 함수 중 Brallion의 제안식으로 옳은 것은?
- ①  
- ②  
- ③  
- ④  
등록된 댓글이 없습니다.
22. 생활진동 규제기준의 진동 레벨이 75dB(V)인 건설현장에서 발파작업을 실시하고자 한다. 작업시간이나 진동노출시간을 고려하지 않을 경우 허용진동속도는? (단, 발파진동의 주파수는 8Hz 이상이며, 연속 정형진동으로 간주한다.)
- ① 1.85 mm/s
- ② 2.85 mm/s
- ③ 3.21 mm/s
- ④ 4.21 mm/s
등록된 댓글이 없습니다.
23. 직교하는 2자유면 발파에서 공경 30mm, 최소저항선 1.2m, 장약량을 750g로 하였더니 표준발파가 되었다. 실제발파에서 최소 저항선을 3배로 증가시켰다면 장약량은?
- ① 1.50 kg
- ② 2.25 kg
- ③ 6.00 kg
- ④ 20.25 kg
화약2021. 8. 16. 10:32삭제
L = CW³ ⇒ 0.75kg = C × (1.2m)³ ⇒ C=0.434
L' = 0.434 × (1.2m × 3)³ = 20.25kg
24. Trim Blasting에 관한 설명으로 틀린 것은?
- ① 주 발파부분을 점화한 후에 점화하는 것이다.
- ② 일반적으로 서브드릴링을 실시하지 않는다.
- ③ 저항선은 천공간격보다 작게 하여 발파 시 후방파괴를 발지한다.
- ④ 공저장약은 주상장약밀도보다 높게 장약한다.
화약2021. 8. 16. 10:35삭제
천공간격(S)를 저항선(B)보다 작게하여 후방파괴를 방지한다.
25. 아래와 같은 조건으로 시험발파를 하려고 할 때 표준장약량은? (단, Lares의 공식을 이용한다.)

- ① 9.3 kg
- ② 10.3 kg
- ③ 11.3 kg
- ④ 12.3 kg
등록된 댓글이 없습니다.
26. 전기발파 시 뇌관의 병렬 결선법에 대한 설명으로 틀린 것은?
- ① 인접되어 있는 전기뇌관의 각선을 연결하고 처음과 끝의 각선을 모선에 연결하는 방법이다.
- ② 전원에 전등선 및 동력선을 이용할 수 있다.
- ③ 전기뇌관의 저항이 조금씩 다르더라도 상관없다.
- ④ 주로 대형발파에 이용된다.
등록된 댓글이 없습니다.
27. 다단식 발파기를 사용하여 기폭을 실시하려고 한다. 다음 설명 중 틀린 것은?
- ① 발파 장소 확인 후 파쇄암의 이동, 발파 공수에 의거하여 발파 패턴을 결정한 후 뇌관을 배열한다.
- ② 결선은 각 회로별 저항을 고려하여 직별령 결선법을 시행하며, 결선 누락 확인 및 단선여부를 확인한다.
- ③ 단자판에 회로 연결시 순번대로 연결이 이루어져야 하며, 중간에 단자가 연결되어 있지 않을 경우 후열의 발파는 이루어지지 않는다.
- ④ 다단식 발파의 회로 발파 초시 결정요소로는 뇌관초시, 다단식 발파기내에 입력된 초시, 전기뇌관을 이용한 회로 구성 및 배열 등이다.
등록된 댓글이 없습니다.
28. 동절기에 사용하기 용이한 내한성 폭약에서 다른 폭약에 비해 함유량이 높은 물질은?
- ① 니트로글리세린
- ② 니트로글리콜
- ③ 질산암모늄
- ④ 과산화수소
등록된 댓글이 없습니다.
29. 다음은 MS 지발 전기뇌관의 시차를 나타낸 것이다. 이들을 각각 발파에 사용한 결과 암석을 가장 작게 파쇄 시키는 것은?
- ① 25 ms
- ② 50 ms
- ③ 100 ms
- ④ 250 ms
등록된 댓글이 없습니다.
30. 수중발파의 장약방법이 아닌 것은?
- ① 수중현수발파
- ② 수중부유발파
- ③ 수중부착발파
- ④ 수중천공발파
등록된 댓글이 없습니다.
31. 발파진동 측정방법 중 배경진동 보정에 대한 설명으로 틀린 것은? (단, 소음·진동 공정시험기준에 의한다.)
- ① 배경진동레벨은 대상진동(발파진동)이 없을 때 측정하여야 한다.
- ② 측정진동레벨에 배경진동레벨을 보정하여 대상진동레벨로 한다.
- ③ 측정진동레벨이 배경진동레벨보다 10dB 이상 크면 배경진동의 영향이 극히 작기 때문에 측정진동레벨을 대상진동레벨로 한다.
- ④ 측정진동레벨이 배경진동레벨보다 5dB 미만으로 크면 배경진동이 대상진동레벨 보다 크므로 재측정하여 대상진동레벨을 구하여야 한다.
등록된 댓글이 없습니다.
32. 백브레이크(Back break)와 오버행(Over hang)에 대한 설명으로 틀린 것은?
- ① 계단발파에서 벤치높이가 최소저항선보다 극히 작을 때 백브레이크가 발생한다.
- ② 계단발파에서 벤치높이가 최소저항선보다 극히 클 때 오버행이 발생한다.
- ③ 계단발파에서 전열 발파시 발파 충격으로 내부 암석에 균열이 생기는 현상을 백브레이크라고 한다.
- ④ 계단발파에서 상부를 발파하여 하부의 암석을 암석의 중량으로 파괴시킬 때 하부의 암석이 파괴되지 않고 수직 이상의 급각도로 남는 상태를 오버행이라고 한다.
등록된 댓글이 없습니다.
33. 공경(d)이 25mm인 발파공 2개를 7.5cm의 간격으로 조합(집중)발파 하였을 때 저항선의 비(q)는 얼마인가? (단, 장약장(m) = 2d)(문제 오류로 가답안 발표시 2번으로 발표되었지만 확정답안 발표시 모두 정답처리 되었습니다. 여기서는 가답안인 2번을 누르면 정답 처리 됩니다.)
- ① 0.53
- ② 1.53
- ③ 2.53
- ④ 3.53
ㅇㅇ2023. 2. 14. 21:49삭제
단, 장약장(m) = 12d
34. 터널발파의 특징에 관한 설명으로 틀린 것은?
- ① 심빼기 발파에 의해 2차 자유면을 형성한다.
- ② 터널 단면적이 넓어질수록 천공수는 증가하며 비장약량(kg/m3)은 감소한다.
- ③ 굴진율은 공공의 직경이 클수록, 천공장이 짧을수록 감소한다.
- ④ 평행공 심빼기의 경우 공공의 직경이 클수록 장약공의 약량은 대체로 감소하나 공공과 장약공간의 거리가 커지면 약량은 증가한다.
등록된 댓글이 없습니다.
35. 계단식 노철발파 시 비산의 발생을 적게 하기 위하여 고려해야 할 사항이 아닌 것은?
- ① 전체발파면의 전방비산
- ② 장약공의 장약폭발에 의한 비산
- ③ 점화순서의 영향에 의한 비산
- ④ 작업자 움직임에 의한 비산
등록된 댓글이 없습니다.
36. 발파작업표준안전작업지침(고용노동부고시 제2020-6호)에 의하면 주택·아파트와 상가(금이 없는 상태)에 대한 각각의 건물 기초에서의 허용 진동치(cm/s)는?
- ① 주택·아파트 : 0.2, 상가(금이 없는 상태) : 0.5
- ② 주택·아파트 : 0.3, 상가(금이 없는 상태) : 0.5
- ③ 주택·아파트 : 0.5, 상가(금이 없는 상태) : 1.0
- ④ 주택·아파트 : 0.5, 상가(금이 없는 상태) : 2.0
등록된 댓글이 없습니다.
37. 수중천공발파 설계 중 옳지 않은 것은?
- ① 장약작업의 불확실성을 고려하여 경사공의 경우 수직공보다 0.1kg/m3의 비장약량을 증가시킨다.
- ② 수압을 보정하기 위해서 수심 m당 0.01kg/m3의 비장약량을 증가시킨다.
- ③ 진흙으로 암반이 덮여있는 경우, 진흙층의 두께 m당 0.02kg/m3의 비장약량을 증가시킨다.
- ④ 암석층을 보정하기 위해서 계단높이 m당 0.03kg/m3의 비장약량을 증가시킨다.
등록된 댓글이 없습니다.
38. 계단식 발파에서 수직천공과 비교하여 경사천공에 대한 설명으로 옳은 것은?
- ① 장약작업이 용이해진다.
- ② 절리와 같은 불연속면의 영향을 적게 받는다.
- ③ 자유면 반대방향의 후면 파괴가 증가한다.
- ④ 느슨한 암석의 자유면 보호에 유리하다.
등록된 댓글이 없습니다.
39. 암반의 지질학적 특성을 고려하여 비장약량을 선정하여 발파패턴을 설계하는데 이용되는 Lilly의 발파지수(BI)와 관계된 요소가 아닌 것은?
- ① 경도(HD)
- ② 비중지수(SGI)
- ③ 암질지수(RQD)
- ④ 암반형태(RMD)
화약2021. 8. 16. 10:53삭제
BI = 0.5(RMD+JPS+JPO+SGI+HD)
40. 암반 발파현장에서 지발당 장약량 0.25kg을 사용하여 시험발파를 실시하여 폭원으로부터 10m 거리에서15mm/s, 50m 거리에서 1mm/s 의 지반진동속도가 계측 되었을 때 자숭근 환산거리에 의한 발파진동식으로 옳은 것은? (단, 신뢰도 50% 추정식 도출)
- ① V = 2318.5(D/W1/2)-1.6826
- ② V = 2752.6(D/W1/2)-1.6826
- ③ V = 3212.8(D/W1/2)-1.7826
- ④ V = 3321.4(D/W1/2)-1.7826
등록된 댓글이 없습니다.
3과목 : 암석역학
41. 정수압 P가 작용하는 암반 내에 원형공동을 굴착하였을 때 공동벽면에 집중되는 접선방향응력(σθ)의 크기는? (단, 암반은 균질, 등방성이며 탄성적이다.)
- ① P
- ② 2P
- ③ 3P
- ④ 4P
등록된 댓글이 없습니다.
42. 단면적 A, 길이 L인 원주형 시험편으로 일축압축시험을 하였더니 파괴하중이 10P였다. 동일한 시험편으로 직접인장시험을 하였더니 파괴하중이 P/2였다면 이 시험편의 취성도는?
- ① 5
- ② 10
- ③ 20
- ④ 30
등록된 댓글이 없습니다.
43. 암석의 탄성파속도에 대한 설명으로 틀린 것은?
- ① 암석의 온도상승과 함께 P파 속도는 감소한다.
- ② 공극률이 큰 암석에서 S파 속도는 함수상태에 따라 크게 변화한다.
- ③ 암석에 작용하는 구속응력이 증가할수록 탄성파속도는 증가한다.
- ④ 층상을 나타내는 암석에서는 층에 평행한 방향의 속도는 수직방향의 속도보다 크게 나타난다.
등록된 댓글이 없습니다.
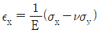
44. 평면응력(Plane Stress)상태의 탄성요소에 σx, σy, τxy의 세 응력이 작용할 때 응력과 변형률의 관계식으로 틀린 것은?
- ①  
- ②  
- ③  
- ④  
등록된 댓글이 없습니다.
45. 직접전단시험을 통해 구할 수 있는 절리면의 특성이 아닌 것은?
- ① 점착력
- ② 마찰각
- ③ 전단강성
- ④ 탄성계수
등록된 댓글이 없습니다.
46. 정수압 상태의 응력을 받고 있는 어느 암석의 영률이 2.0×105 MPa이고, 푸아송 수가 4이면 이 암석의 체적탄성계수(bulk modulus)는?
- ① 1.33×105 MPa
- ② 1.50×105 MPa
- ③ 1.75×105 MPa
- ④ 2.50×105 MPa
등록된 댓글이 없습니다.
47. 총 130cm의 시추코어에 대한 RQD가 60%였다. 시추코어 중 길이가 10cm 이상인 코어들의 길이의 합은?
- ① 52cm
- ② 60cm
- ③ 70cm
- ④ 78cm
등록된 댓글이 없습니다.
48. 심도 1000m에서 갱도를 굴착하려 한다. 상부층의 암석 밀도가 평균 2.5 t/m3이고 이 암반의 푸아송 비가 0.2이면 이론 수평응력은 얼마인가?
- ① 625 t/m2
- ② 825 t/m2
- ③ 2500 t/m2
- ④ 8250 t/m2
등록된 댓글이 없습니다.
49. 일정수직하중 조건하에서 실시된 직접전단시험에 의한 거친 절리면의 거동 특성으로 틀린 것은?
- ① 수직응력이 증가함에 따라 수직변위도 증가한다.
- ② 수직응력이 증가함에 따라 전단강도도 증가한다.
- ③ 수직응력과 전단강도 간의 관계가 일반적으로 비선형을 나타낸다.
- ④ 최대전단응력에 도달한 이후 전단변위의 증가와 함께 전단응력이 감소한다.
등록된 댓글이 없습니다.
50. 록볼트의 암반에 대한 정착효과를 확인하기 위한 시험법은?
- ① 인발시험
- ② 축력시험
- ③ 전단시험
- ④ 토크-인장시험
등록된 댓글이 없습니다.
51. 일축압축시험에서 지름(D)이 2.5cm, 길이(H)가 5cm인 원주형 시험편의 강도가 90MPa 이었다면 이 시험편이 H/D=1 일 때의 일축압축강도는 얼마인가?
- ① 73.6 MPa
- ② 101.2 MPa
- ③ 147.2 MPa
- ④ 171.4 MPa
등록된 댓글이 없습니다.
52. 무결암(intact rock)의 역학적 특성이 아래와 같을 때 무결암을 Deere & Miller 분류법으로 분류한 결과로 옳은 것은?

- ① AM
- ② BH
- ③ CM
- ④ DL
등록된 댓글이 없습니다.
53. 다음 파괴이론 중 중간 주응력을 고려한 것은?
- ① Mohy-Coulomb 이론
- ② Griffith 이론
- ③ Tresca 이론
- ④ Nadai 이론
등록된 댓글이 없습니다.
54. 암석의 마모경도를 측정하는 시험장비는?
- ① Shore 경도기
- ② Brinell 시험기
- ③ Rockwell 시험기
- ④ Los Angeles 시험기
등록된 댓글이 없습니다.
55. 다음 그림과 같은 형상의 완전 건조된 사면에 지진이 발생하여 0.05g의 지진 가속도(α)가 사면에 가해졌다. 암괴의 중량(W) 0.1MN, 불연속면의 점착력 0, 불연속면의 경사각 30°, 불연속면의 마찰각 30°인 경우 사면의 안전율은? (단, 지진에 의한 가속도는 등가의 정적인 힘 αW로 대체한다.)

- ① 0.9
- ② 1.2
- ③ 1.5
- ④ 1.8
등록된 댓글이 없습니다.
56. 암석의 파괴인성에 대한 설명으로 옳은 것은?
- ① 평면변형조건에서의 응력확대계수의 극한값이다.
- ② 균열을 포함한 물체 크기에 영향을 받는다.
- ③ 균열의 길이가 길수록 파괴인성이 커진다.
- ④ 균열성장에 필요한 에너지를 표시한다.
등록된 댓글이 없습니다.
57. 탄성계수가 5×104MPa인 암석시료가 압축하중을 받는 동안 변형률이 0.0025까지 증가하였다. 단위체적 내 축적된 탄성변형률 에너지는 얼마인가?
- ① 0.10 MPa
- ② 0.13 MPa
- ③ 0.16 MPa
- ④ 0.19 MPa
등록된 댓글이 없습니다.
58. 역학적 모형 중 Maxwell 물체의 경우 하중을 매우 빠르게 증가시킬 때 어떤 거동을 보이는가?
- ① 탄성거동
- ② 점성거동
- ③ 소성거동
- ④ 점탄성거동
등록된 댓글이 없습니다.
59. 풍화작용에 대한 암석의 저항성을 측정하는 시험으로 옳은 것은?
- ① 투수시험
- ② 흡수팽창시험
- ③ 압력터널시험
- ④ 슬레이크내구성시험
등록된 댓글이 없습니다.
60. 현지암반의 응력을 측정하기 위한 방법 중 암반의 탄성정수를 필요로 하지 않는 방법으로만 나열된 것은?
- ① 수압파쇄법, 공경변형법
- ② 응력보상법, 공벽변형법
- ③ 응력보상법, 수압파쇄법
- ④ 공경변형법, 공벽변형법
등록된 댓글이 없습니다.
4과목 : 화약류 안전관리 관계 법규
61. 화약류 운반 신고필증에 대한 설명 중 틀린 것은?
- ① 화약류를 운반하지 아니하게 된 때 신고필증을 반납해야 한다.
- ② 운반기간이 경과한 때에는 신고필증을 반납해야 한다.
- ③ 운반을 완료한 때에는 신고필증을 반납해야 한다.
- ④ 운반을 완료 한 때에는 발송지를 관할하는 경찰서장에게 신고필증을 반납하여야 한다.
등록된 댓글이 없습니다.
62. 화약류관리보안책임자가 화약류의 취급 전반에 관한 안전상의 감독업무를 위반하여 게을리 하였을 때의 벌칙은?
- ① 5년 이하의 징역 또는 1천만원 이하의 벌금
- ② 3년 이하의 징역 또는 700만원 이하의 벌금
- ③ 2년 이하의 징역 또는 500만원 이하의 벌금
- ④ 1년 이하의 징역 또는 300만원 이하의 벌금
황산철2021. 7. 24. 00:27삭제
법률 제 71조(벌칙)
63. 화약류 폐기시 기준으로 옳지 않은 것은?
- ① 폭발하여도 위해가 생기지 않도록 폐기장소 주위에 높이 2m 이상의 간이흙둑을 설치하고, 주위의 적당한 곳에 청색 기를 달고 감시원을 배치하여야 한다.
- ② 연소시키고자 하는 때에는 바람이 적은 날을 택하여 바람이 불어오는 쪽을 향하여 점화하여야 한다.
- ③ 전기뇌관을 사용하여 폭발시키고자 하는 때에는 폭발장소로부터 따로 떨어진 곳에서 미리 도통시험을 하여야 한다.
- ④ 화약류를 폐기하고자 하는 사람은 그 폐기하고자 하는 곳을 관할하는 경찰서장에게 신고하여야 한다.
등록된 댓글이 없습니다.
64. 2급 저장소의 화약류별 최대저장량으로 옳은 것은?
- ① 폭약 : 10톤
- ② 도폭선 : 1500km
- ③ 실탄 및 공포탄 : 8000만개
- ④ 미진동파쇄기 : 500만개
등록된 댓글이 없습니다.
65. 초유폭약에 의한 발파의 기술상의 기준으로 틀린 것은?
- ① 기폭량에 적합한 전폭약을 같이 사용할 것
- ② 발파장소에서는 발파가 끝난 후 발생하는 가스에 주의할 것
- ③ 불발된 천공된 구멍으로부터 초유폭약 또는 메지등을 제거하는 때에는 폭약에 안전한 압축공기를 사용할 것
- ④ 장전 후에는 가급적 신속하게 점화할 것
등록된 댓글이 없습니다.
66. 화약류 제조시설의 기준 중 불이 날 위험이 있는 일광건조장과 다른 시설간의 거리가 얼마 미만부터 일 때에는 그 시설과의 사이에 간이흙둑 또는 방폭벽을 설치해야 하는가?
- ① 5m
- ② 10m
- ③ 20m
- ④ 30m
황산철2021. 7. 24. 00:26삭제
시행령 제 8조(제조시설의 기준) 30호
67. 다음 중 화공품에 속하지 않는 것은?
- ① 테트라센 등의 기폭제
- ② 자동차 긴급신호용 불꽃신호기
- ③ 도폭선
- ④ 시동약
등록된 댓글이 없습니다.
68. 다음 중 화약류취급소에 대한 설명으로 옳지 않은 것은?
- ① 화약류를 사용하는 사람은 예외없이 화약류를 사용하는 장소 부근에 화약류의 관리 및 발파의 준비를 위한 화약류취급소를 반드시 설치해야 한다.
- ② 화약류취급소 문짝 외면은 두께 2mm 이상의 철판을 씌우고, 2중 자물쇠장치를 해야 한다.
- ③ 화약류취급소의 정체량은 1일 사용예정량 이하로 하되, 화약 또는 폭약(초유폭약 제외)은 300kg을 초과해서는 아니된다.
- ④ 화약류취급소에는 장부를 비치하고 화약류의 수불 및 사용하고 남은 양을 명확히 기록해야 한다.
등록된 댓글이 없습니다.
69. 화약류를 수입한 자는 수입한 날부터 30일 이내에 그 화약류에 대하여 안정도시험을 실시하여야 한다. 다음 중 질산에스텔 및 그 성분이 들어 있는 화약 또는 폭약에 대해 실시하여야 하는 안정도시험은?
- ① 발사시험 또는 내정전기시험
- ② 연소시험 또는 사용시험
- ③ 내수시험 또는 마칠시험
- ④ 유리산시험 또는 내열시험
등록된 댓글이 없습니다.
70. 화약류관리보안책임자의 면허를 받을 수 없는 사람은?
- ① 20세 이상인 사람
- ② 면허를 다른 사람에게 빌려준 결과 면허가 취소된 날부터 6개월이 지나지 아니한 사람
- ③ 총포·도검·화약류 등의 안전관리에 관한 법률을 위반하여 기소유예처분을 받은 사람
- ④ 총포·도검·화약류 등의 안전관리에 간한 법률을 위반하여 금고이상의 형의 집행유예를 선고받고 그 유예기간이 끝난날부터 4년이 지난 사람
등록된 댓글이 없습니다.
71. 화약류 폐기의 기술상의 기준으로 옳지 않은 것은?
- ① 얼어 굳어진 다이나마이트는 완전히 녹여서 연소처리하거나 500g 이하의 적은 양으로 나누어 순차로 폭발처리한다.
- ② 화공품(도화선을 포함한다)은 적은 양으로 포장하여 땅속에 묻고 공업용 뇌관 또는 전기뇌관으로 폭발처리한다.
- ③ 화약 또는 폭약은 조금씩 폭발 또는 연소시킨다.
- ④ 도폭선은 공업용 또는 전기뇌관으로 폭발처리한다.
등록된 댓글이 없습니다.
72. 화약류를 도난·분실하였을 때 경찰관서에 신고하지 아니한 경우의 벌칙은?
- ① 5년 이하의 징역 또는 1천만원 이하의 벌금형
- ② 3년 이하의 징역 또는 700만원 이하의 벌금형
- ③ 2년 이하의 징역 또는 500만원 이하의 벌금형
- ④ 300만원 이하의 과태료
등록된 댓글이 없습니다.
73. 함수폭약의 주성분을 옳게 나타낸 것은?
- ① 산화제 + 물 + 예감제 및 발열제
- ② 예감제 + 물 + 감열소염제 및 발열제
- ③ 환원제 + 물 + 감열소염제 및 발열제
- ④ 예감제 + 물 + 교결제 및 발열제
등록된 댓글이 없습니다.
74. 화약류 운반방법의 기술상의 기준으로 맞는 것은?
- ① 화약류는 주로 주변이 한가한 야간에 적재할 것
- ② 차량으로 운반하는 때에는 그 차량의 폭에 2.5m를 더한 너비 이하의 도로를 통행하지 아니할 것
- ③ 야간이나 앞을 분간하기 힘든 경우에 주차하고자 하는 때에는 차량의 전방과 후방 20m 지점에 적색등불을 달 것
- ④ 니트로셀룰로오스는 수분 또는 알코올분이 23% 정도 머금은 상태로 운반할 것
등록된 댓글이 없습니다.
75. 화약류관리보안책임자의 감독업무중 틀린 설명은?
- ① 저장소의 위치, 구조 및 설비가 규정에 의한 허가를 받지 않고 변경되는 일이 없도록 할 것
- ② 화약류저장소 설치자 외에 누구든지 화약류관리보안책임자의 감독업무 수행을 방해하지 말 것
- ③ 저장소 인근에 화재 그 밖의 사정으로 위험상태에 있거나 화약류의 안전도에 이상이 있을 때 응급조치를 지휘할 것
- ④ 화약류 취급 및 저장량이 법규정에 적합하게 지켜지도록 지도·감독할 것
등록된 댓글이 없습니다.
76. 화약류의 사용허가를 받은 사람이 허가없이 용도를 변경하여 화약류를 사용하였을 경우 벌칙은?
- ① 10년 이하의 징역 또는 2000만원 이하의 벌금형
- ② 5년 이하의 징역 또는 1000만원 이하의 벌금형
- ③ 3년 이하의 징역 또는 700만원 이하의 벌금형
- ④ 2년 이하의 징역 또는 500만원 이하의 벌금형
등록된 댓글이 없습니다.
77. 동일차량에 함께 실을 수 있는 화약류 중 “폭약”과 함께 실을 수 없는 것은?
- ① 실탄·공포탄
- ② 도폭선
- ③ 포경용 신관
- ④ 특별용기에 들어 있는 전기뇌관
등록된 댓글이 없습니다.
78. 다음의 화약류저장소 및 운반과 관련한 설명으로 옳은 것은?
- ① 화약류제조업자의 경우는 자가전용 화약류저장소가 반드시 있어야 할 필요가 없다.
- ② 화약류저장소설치허가를 받은 사람은 다른 사람에게 저장소를 빌려주어서는 아니 되나, 관리 위탁하게 할 수는 있다.
- ③ 화약류 운반신고를 받은 경찰서장은 행정안전부령으로 정하는 바에 따라 화약류운반신고증명서를 발급하여야 한다.
- ④ 화약류의 철도·선박·항공기 운반의 경우도 반드시 적재방법, 운반방법, 운반경로, 운반표지 등에 관하여 대통령령으로 정하는 기술상의 기준을 따라야 한다.
등록된 댓글이 없습니다.
79. 다음 중 화약류의 취급방법으로 옳지 않은 것은? (단, 초유폭약은 제외)
- ① 화약류를 취급하는 용기는 목재 그 밖의 전기가 통하지 아니하는 것으로 하고 견고한 구조로 하여야 한다.
- ② 굳어진 다이나마이트는 폭발할 위험이 있으므로 즉시 물에 적셔서 분해하여 폐기하여야 한다.
- ③ 전기뇌관에 대하여는 도통시험 또는 저항시험을 하되, 미리 시험전류를 측정하여 0.01암페어를 초과하지 아니하는 것을 사용하는 등 충분한 위해예방조치를 하여야 한다.
- ④ 사용하다가 남은 화약류 또는 사용에 적합하지 아니한 화약류는 화약류 저ᄌᆞᆼ소에 반납하여야 한다.
등록된 댓글이 없습니다.
80. 허가 또는 면허를 받은 사람이 허가증 또는 면허증의 기재사항에 변경이 있어 기재사항변경을 신청하려 할 때 변경사유가 발생한 날로부터 몇 일 이내에 허가관청 또는 면허관청에 신고하여야 하는가?
- ① 7일
- ② 15일
- ③ 30일
- ④ 60일
등록된 댓글이 없습니다.
5과목 : 굴착공학
81. 터널 시공에서 발생하는 진행성 여굴의 원인이 아닌 것은?
- ① 짧은 굴진장
- ② 시공기술의 미숙
- ③ 지하수의 집중 유입
- ④ 지보설치 지연 또는 부적합한 지보 설치
등록된 댓글이 없습니다.
82. 다음 중 기계굴착공법에 해당되지 않는 것은?
- ① TBM 공법
- ② Shield 공법
- ③ 로드헤더 공법
- ④ 메세르 공법
등록된 댓글이 없습니다.
83. 지하수위가 지표면과 일치되며 내부마찰각이 30°, 포화단위중량이 19.62 kN/m3인 사질토(점착력=0)로 된 반 무한사면이 15°로 경사져 있다. 이 때 이 사면의 안전율은? (단, 물의 단위중랴은 9.81 kN/m3 이다.)
- ① 0.23
- ② 1.08
- ③ 2.00
- ④ 4.31
등록된 댓글이 없습니다.
84. 지하유류비축시설에서 지하공동의 원유로부터 증발된 휘발성 기체의 유출을 막기 위해 지하공동 주위의 압력을 지하공동 내의 압력보다 높게 유지하여야 하는데 이를 위해 설치해야 하는 것은?
- ① 지수시설
- ② 차수시설
- ③ 수봉시설
- ④ 보조저장공동
등록된 댓글이 없습니다.
85. 다음 중 광역변성암에 해당하지 않는 것은?
- ① 각력암
- ② 천매암
- ③ 점판암
- ④ 편암
등록된 댓글이 없습니다.
86. 터널의 안전하고 효율적인 시공을 위해 터널의 지보재와 병용하여 사용되는 보조공법 중 천단부의 안정을 위한 지반강화를 목적으로 적용하는 공법이 아닌 것은?
- ① 훠폴링
- ② 파이프 루프
- ③ 선진수평보링
- ④ 강관다단 그라우팅
등록된 댓글이 없습니다.
87. 흙의 포화단위중량이 21 kN/m3인 포화점토층을 45° 경사로 8m를 굴착하였다. 흙의 전단강도 정수인 Cu = 60 kN/m2, ø= 0이다. 그림과 같은 파괴면에 대하여 사면의 안전율은? (단, ABCD의 면적은 70m2이고, O점에서 ABCD의 무게 중심까지의 수직거리는4.5m이다.)

- ① 1.074
- ② 2.074
- ③ 3.074
- ④ 4.074
등록된 댓글이 없습니다.
88. 흙이 고체 상태에서 반고체 상태로 변하는 순간의 경계 함수비는?
- ① 압밀한계
- ② 소성한계
- ③ 액성한계
- ④ 수축한계
등록된 댓글이 없습니다.
89. 지표면 아래 6m 지점에 지하수면이 존재하는 지반에서 심도 10m 지점의 유효응력은? (단, 이 지반의 전체단위중량(γt)은 16kN/m3, 포화단위중량(γsat)은 19kN/m3, 물의 단위중량(γw) 은 9.81kN/m3이다.)
- ① 92.8 kN/m2
- ② 112.1 kN/m2
- ③ 132.8 kN/m2
- ④ 172.0 kN/m2
등록된 댓글이 없습니다.
90. 유압식 착암기(Hydraulic Rock drill)의 기능이 아닌 것은?
- ① 타격작용(impact mechanism)
- ② 암분배제작용(sludge cleaning)
- ③ 재밍작용(jamming)
- ④ 회전작용(rotation)
등록된 댓글이 없습니다.
91. 다음 중 지표지질조사와 관계가 없는 것은?
- ① 필요에 따라 지질공학도를 작성한다.
- ② 단층, 습곡, 절리 등의 지질구조도를 작성한다.
- ③ 광역적인 지질분포 양상 및 지질구조선을 평가한다.
- ④ 암석의 분포상태나 특성을 파악하여 지질재해의 가능성을 검토한다.
등록된 댓글이 없습니다.
92. 토질사면의 전단강도를 감소시키는 요인으로 틀린 것은?
- ① 공극수압의 증가
- ② 흡수에 의한 점토지반의 팽창
- ③ 느슨한 사질토의 진동
- ④ 건조에 의한 모관력의 증가
등록된 댓글이 없습니다.
93. 암석의 공극률에 대한 설명으로 틀린 것은?
- ① 공극률은 암석 강도나 마모율과 밀접한 관계가 있다.
- ② 화성암은 일반적으로 공극률이 매우 작다.
- ③ 퇴적암은 지중압밀에 의해 형성되므로 심부로 갈수록 공극률이 작아진다.
- ④ 공극률이 큰 암석일지라도 그 값이 30%를 초과하지 않는다.
등록된 댓글이 없습니다.
94. 수평방향 응력 28kN/m2와 연직방향 응력 40kN/m2가 작용하는 암반 내에 반경 4m의 원형터널을 굴착하였다. 수평방향의 벽면으로부터 2m 되는 지점의 반경방향의 수직응력은?
- ① 14.2kN/m2
- ② 17.3kN/m2
- ③ 20.0kN/m2
- ④ 23.7kN/m2
등록된 댓글이 없습니다.
95. 터널 내에 용수가 있는 경우 적용할 수 있는 배수공법이 아닌 것은?
- ① 압기 공법
- ② 물빼기 시추
- ③ 딥 웰(deep well) 공법
- ④ 웰 포인트(well point) 공법
등록된 댓글이 없습니다.
96. 암반의 초기응력 측정법이 아닌 것은?
- ① 응력보상법
- ② 평시투영법
- ③ 공경변형법
- ④ 수압파쇄법
등록된 댓글이 없습니다.
97. 터널의 지보공인 숏크리트의 작용 효과에 해당하지 않는 것은?
- ① 응력 집중의 완화 효과
- ② 아치 형성 효과
- ③ 풍화 방지 효과
- ④ 지반 개량 효과
등록된 댓글이 없습니다.
98. 지반을 불연속체로 가정하여 해석하는 수치해석법은?
- ① 개별요소법
- ② 유한요소법
- ③ 유한차분법
- ④ 경계요소법
등록된 댓글이 없습니다.
99. 1m 길이의 암석 시추 코어 중에 부스러기를 제외한 시추 코어의 길이가 아래와 같다면, 이 암석의 코어 회수율(TCR)은?

- ① 64%
- ② 73%
- ③ 78%
- ④ 84%
등록된 댓글이 없습니다.
100. 터널 단면 전체를 환기 덕트로 활용하여 별도의 덕트가 필요 없는 기계환기방식은?
- ① 자연환기방식
- ② 종류식환기방식
- ③ 횡류식환기방식
- ④ 반횡류식환기방식
등록된 댓글이 없습니다.