무선설비산업기사(2019. 10. 12.) 시험일자 : 2019년 10월 12일
1과목 : 디지털 전자회로
1. 다음 중 전원 정류회로의 리플 함유율을 적게 하는 방법으로 틀린 것은?
- ① 출력측 평활형 콘덴서의 정전용향을 작게 한다.
- ② 평활형 초크 코일의 인덕턴스를 크게 한다,
- ③ 입력측 평활형 콘덴서의 정전용량을 크게 한다.
- ④ 교류입력전원의 주파수를 높게한다.
등록된 댓글이 없습니다.
2. 다음 중 정류기의 평활회로에 사용되지 않는 것은?
- ① 콘덴서
- ② 저항
- ③ 초크 코일
- ④ 다이오드
등록된 댓글이 없습니다.
3. 다음 3단자 전압 레귤레이터 IC 회로에서 직류 출력전압을 조절할 수 있는 파라미터가 아닌 것은? (단, Vreg=1.25[V], IR1=5[mA], IADJ=100[μA] 이다.)

- ① R1
- ② R2
- ③ C2
- ④ Vreg
등록된 댓글이 없습니다.
4. 차동증폭기의 두 입력 전압에 각각 v1 = 7[mV], v2 = 5[mV]가 인가되었다. 차동전압 이득이 15-이고 동상이득이 0.5일 때 출력전압은?
- ① 301[mV]
- ② 306[mV]
- ③ 1,801[mV]
- ④ 1,806[mV]
등록된 댓글이 없습니다.
5. 다음 그림은 베이스 바이어스 회로이다. 동작점에서 VCE전압은? (단, 베이스에미터 전압 VBE=0,7[V]이다.)

- ① 2.25[V]
- ② 6.35[V]
- ③ 11.3[V]
- ④ 12.0[V]
등록된 댓글이 없습니다.
6. 다음 중 NPN 트랜지스터가 활성영역에서 동작한다고 할 때 바이어스 설명으로 옳은 것은?
- ① B-C는 순방향, B-E는 역방향으로 공급한다.
- ② B-C는 역방향, B-E는 순방향으로 공급한다.
- ③ B-C는 순방향, B-E는 순방향으로 공급한다.
- ④ B-C는 역방향, B-E는 역방향으로 공급한다.
등록된 댓글이 없습니다.
7. 다음 중 저주파에서 고주파에 이르기까지 일정한 스펙트럼을 갖고 나타나는 잡음으로 알맞은 것은?
- ① 트랜지스터 잡음
- ② 자연잡음
- ③ 백색잡음
- ④ 지터잡음
등록된 댓글이 없습니다.
8. 다음 발전기에서 자가 발진을 위한 전압이득 Av의 조건은?

- ①

- ②

- ③

- ④

등록된 댓글이 없습니다.
9. 다음 중 지속적인 출력을 내기 위한 발진기에 이용하는 원리는?
- ① 정궤환
- ② 부궤환
- ③ 홀 효과
- ④ 펠티에 효과
등록된 댓글이 없습니다.
10. 다음 그림과 같은 윈 브리지(Wien Bridge) 발진기에서 제너 다이오드의 역할은 무엇인가?

- ① 발진기의 출력전압을 제어하기 위한 것이다.
- ② 발진기의 초기시동을 위한 조건을 만든다.
- ③ 페루프 이득이 1이 되도록 한다.
- ④ 궤환신호의 위상이 입력위상과 동상이 되도록 한다,
등록된 댓글이 없습니다.
11. 다음의 파형은 디지털 변조 방식의 파형이다. 어느 방식의 파영인가?

- ① ASK
- ② FSK
- ③ PSK
- ④ QAM
등록된 댓글이 없습니다.
12. PCM 통신 방식에서 송신 과정으로 맞는 것은?
- ① 표본화-부호화-양자화-압축
- ② 표본화-양자화-부호화-압축
- ③ 표본화-부호화-압축-부호화
- ④ 표본화-압축-양자화-부호화
등록된 댓글이 없습니다.
13. AM변조방식에서 변조도에 대한 설명으로 틀린 것은?
- ① 신호파의 최대값을 반송파의 최대값으로 나눈 값이다,
- ② 반송파의 크기와 신호파의 크기에 따라 정해진다.
- ③ 최대주파수편이와 신호주파수와의 비이다.
- ④ 진폭변화의 정도를 나타낸다.
등록된 댓글이 없습니다.
14. 900[kHz]의 반송파를 5[kHz]의 신호주파수로 진폭한 경우 피변조파에 나타나는 주파수 성분이 아닌 것은?
- ① 895[kHz]
- ② 900[kHz]
- ③ 905[kHz]
- ④ 910[kHz]
등록된 댓글이 없습니다.
15. 다음 중 플립플롭(Flip-Flop)과 같은 동작을 하는 회로는?
- ① LC 발진기
- ② 수정 발진기
- ③ 쌍안정 멀티바이브레이터
- ④ 단안정 멀티바이브레이터
등록된 댓글이 없습니다.
16. 다음 회로에서 입력되는 정현파의 최대 진폭이 6[V]일 때 출력에 나타나는 최대 진폭은? (단, Rs=200[Ω], RL=400[Ω])

- ① 2[V]
- ② 4[V]
- ③ 6[V]
- ④ 8[V]
등록된 댓글이 없습니다.
17. 다음 진리표를 간략화한 것으로 가장 접합한 논리회로는?

- ①

- ②

- ③

- ④

등록된 댓글이 없습니다.
18. 다음 그림의 회로에 해당하는 논리기호는? (단, 정논리이다)

- ①

- ②

- ③

- ④

등록된 댓글이 없습니다.
19. 다음 지금과 같이 2n개(0~7)의 10진수 입력을 넣었을 때, 출력이 2진수(000~111)로 나오는 회로의 명칭은?

- ① 디코더
- ② A-D 변환회로
- ③ D-A 변환회로
- ④ 인코더 회로
등록된 댓글이 없습니다.
20. 다음 중 링 카운터에 대한 설명으로 틀린 것은?
- ① 클럭 신호를 받을 때 마다 상태가 하나씩 다음으로 이동한 카운터이다.
- ② 각각의 상태마다 한 개의 플립플롭을 사용하는 카운터이다.
- ③ 디코딩게이트를 사용해야만 디코딩할 수 있다.
- ④ 시프트 레지스터의 마지막 단 출력을 첫 단에 궤환시킨다.
등록된 댓글이 없습니다.
2과목 : 무선통신 기기
21. GPS 인공위성은 지상 약 20,200[Km] 상공에서 시간당 약 14,000[Km]거리를 이동한다. 초당 속력은 약 얼마인가?
- ① 3.9[Km/s]
- ② 4.9[Km/s]
- ③ 5.9[Km/s]
- ④ 6.9[Km/s]
등록된 댓글이 없습니다.
22. 피크-피크 전압이 8[V]인 아날로그 신호를 일정한 간격으로 하여 16개의 레벨로 나눈 경우 S/N는 몇[dB]인가?
- ① 약 8[dB]
- ② 약 2.5[dB]
- ③ 약 38.8[dB]
- ④ 약 49.8[dB]
등록된 댓글이 없습니다.
23. 다음 중 벡터 합성법에 의한 FM송신기에 대한 설명으로 틀린 것은?
- ① 리액턴스관을 사용하여 주파수 안정도가 좋지 않다.
- ② 자동주파수 제어회로가 불필요하다.
- ③ IDC회로에서 일정 입력 레벨로 증폭을 제한한다.
- ④ 위상 변조로 등가 FM파를 얻으려면 전치보상기 히로가 필요하다.
등록된 댓글이 없습니다.
24. 다음 중 AM 수신기의 중간주파수를 낮게 선정했을 EO 개선되는 것은?
- ① 인입현상
- ② 충실도
- ③ 근접주파수 선택도
- ④ 영상주차수 선택도
등록된 댓글이 없습니다.
25. FM 검파기의 특성인 S 커브의 상태가 직선이 아니면 어떤 상태인가?
- ① 동조가 벗어난다.
- ② 출력이 적어진다.
- ③ 복조감도가 나쁘다.
- ④ 잡음이 감소한다.
등록된 댓글이 없습니다.
26. 다음 중 FM통신방식이 AM통신방식에 비해 신호대 잡음비가 좋은 이유로 가장 적합한 것은?
- ① 리미터를 사용한다,
- ② 클라리파이어를 사용하므로
- ③ AGC 회로를 사용하므로
- ④ 깊은 변조를 할 수 있으므로
등록된 댓글이 없습니다.
27. 방송용 FM수신기에서 비 검파 회로가 주로 사용되는 이유는?
- ① AFC 작용을 갖는다.
- ② AVC 작용을 갖는다.
- ③ 디엠퍼시스 작용을 갖는다.
- ④ 진폭제한 작용을 갖는다.
등록된 댓글이 없습니다.
28. 다음 중 인지 무선(CR: Cognitive Radio)의 개념 설명으로 틀린 것은?
- ① 지역, 시간별로 미사용 주파수를 자동 검색해 활용한다,
- ② 해당 스펙트럼에서의 통신 특성에 자동적으로 적응한다.
- ③ 고정국을 위해 적용되는 기술이다.
- ④ 서로 다른 주파수 간에 로밍이 가능하다.
등록된 댓글이 없습니다.
29. 기지국, 유선인터넷망,Gateway 및 O&M Server로 구성되며 Core 네트워크와의 연계를 통해 LTE 전화 및 무선데이터 통신을 제공하는 서비스기술은?
- ① 펨토셀
- ② WIFI
- ③ WiMax
- ④ GPS
등록된 댓글이 없습니다.
30. 이동 통신 시스템에서는 셀과 셀을 오가면서 통화를 할 수 있도록 해주는 것을 핸드오프(Hand-dff)라고 하는데 그 종류가 아닌 것은?
- ① 하드 핸드오프(Hard Hand-dff)
- ② 하더 핸드오프(Haeder Hand-dff)
- ③ 소프트 핸드오프(Soft Hand-dff)
- ④ 소프터 핸드오프(Softer Hand-dff)
등록된 댓글이 없습니다.
31. 국내 최초의 민간 통신-방송 상용위성을 우리나라를 세계 23번째 위성 보유국의 반열에 올려놓은 위성은?
- ① 아리랑 위성
- ② 우리별 위성
- ③ 무궁화윗성
- ④ 한누리위성
등록된 댓글이 없습니다.
32. 4세대 이동통신에 해당되는 변조 방식은?
- ① FDMA
- ② SDMA
- ③ TDMA
- ④ OFMA
등록된 댓글이 없습니다.
33. 위성 통신용으로 이용하는 궤도는 지구 정지형, 극 원형, 경사 타원형으로 구분되며 이 때 궤도의 선택은 다음 요소를 결정하는데 중요하다. 이에 해당 되지 않는 것은?
- ① 주어진 지점에서의 위성 관측시간
- ② 위성 통신의 크기
- ③ 지연 시간과 전송 손실
- ④ 지표면 확보 범위
등록된 댓글이 없습니다.
34. 다음 중 수신기의 전기적 성능에 해당되지 않는 것은?
- ① 감도
- ② 선택도
- ③ 충실도
- ④ 전력
등록된 댓글이 없습니다.
35. 다음 중 CDMA 중계기의 상태를 감시하기 위해 중계기에서 공급되는 전원을 사용하여 감시단말기를 중계기에 연결할 경우 필요한 장치는?(단, 중계기의 공급전원 DC(직류)는 12{V}이고 단말기가 필요로 하는 전원은 DC(직류) 3.5[V]이다.)
- ① 컨버터(converter)
- ② 인버터(inverter)
- ③ 정류기(Rectifier)
- ④ 계전기(relay)
등록된 댓글이 없습니다.
36. 다음 중 VC 컨버터의 종류와 명칭이 올바로 묶여진 것은?
- ① AC-DC 컨버터=제어정류기, DC=DC 컨버터=스위칭레귤레이터, AC-AC 컨버터=교류전압제어기
- ② AC-DC 컨버터=교류전압제어기, DC=DC 컨버터=스위칭레귤레이터, AC-AC 컨버터=제어정류기
- ③ AC-DC 컨버터=제어정류기, DC=DC 컨버터=교류전압제어기, AC-AC 컨버터=스위칭레귤레이터
- ④ AC-DC 컨버터=교류전압제어기, DC=DC 컨버터=제어정류기, AC-AC 컨버터=스위칭레귤레이터
등록된 댓글이 없습니다.
37. 다음 중 스펙트럼 분석기의 용도로 맞지 않은 것은?
- ① 펄스폭 및 반복률 측정
- ② 안테나 패턴 측정
- ③ RF 간섭시험
- ④ 변조의 진선성 측정
등록된 댓글이 없습니다.
38. 대전력 송신기용 정류기의 부하양단평균전압이 3,000[V], 맥동률1.5%라고 한다. 이 때의 교류분은 몇 [V]인가?
- ① 4.5[V]
- ② 45[V]
- ③ 450[V]
- ④ 4,500[V]
등록된 댓글이 없습니다.
39. 다음 그림은 PLL의 기본적인 구성요소를 나타낸 것이다. (A)에 들어갈 요소는 무엇인가?

- ① 전압제어발진기(VCO)
- ② 샘플링(Sampling)회로
- ③ 증폭기(Amplifier)
- ④ 정류기(Rectifier)
등록된 댓글이 없습니다.
40. 1.000[kHz]의 반송파신호가 3[kHz]의 신호파에 의해 진폭변조되었다면 AM 신호의 주파수 스펙트럼에 나타나는 성분은?
- ① 3[kHz], 6[kHz], 1,000[0
- ② 997[kHz], 1,000[kHz], 1,003[3]
- ③ 1,000[kHz], 1,003[kHz], 1,006[6
- ④ 994[kHz], 1,000[kHz], 1.006[kHz]
등록된 댓글이 없습니다.
3과목 : 안테나 개론
41. 다음 전자파에 대한 설명 중 틀린 것은?
- ① 전파는 종파이다.
- ② 정전계에서는 에너지 이동이 없다.
- ③ 유도전자계는 거리의 제곱에 반비례하여 감쇠한다.
- ④ 복사전자계는 거리에 반비례하여 감쇠한다.
등록된 댓글이 없습니다.
42. 무손실 매질 내 비유전율 5, 비투자율 5이고 주파수3[GHz]인 평면파가 전파할 때 이 파에 대한 파장[m]과 파동 임피던스[Ω]는?
- ① 0.01[m], 128[Ω]
- ② 0.02[m], 256[Ω]
- ③ 0.01[m], 256[Ω]
- ④ 0.02[m], 377[Ω]
등록된 댓글이 없습니다.
43. 다음 중 유전체에서 발생하는 변위전류에 대한 설명으로 옳은 것은?
- ① 변위전류의 크기는 일정 전속밀도의 경우 시간적 변화가 적을수록 커진다.
- ② 분극 전하밀고의 시간적 변화에 따라 발생한다.
- ③ 전속밀도의 공간적 변화를 나타내는 용어이다.
- ④ 전류의 크기가 유전체의 크기에 따라 변화되는 전류를 말한다.
등록된 댓글이 없습니다.
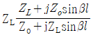
44. 임의의 부하 임피던스를 갖는 일정 길이의 전송선로 입력 임피던스를 나타내는 식으로 전송선로의 임피던스 방정식이라 불리는 것은?
- ①

- ②

- ③

- ④

등록된 댓글이 없습니다.
45. 특성 임피던스가 75[Ω]인 급전선상의 전압정재파비(VSWR)가 4라면 반사계수는 얼마인가?
- ① 0.2
- ② 0.4
- ③ 0.6
- ④ 0.8
등록된 댓글이 없습니다.
46. 다음 중 초고주파 대역에서 사용되는 수동소자에 대한 설명으로 틀린 것은?
- ① 어떤 전송 선로로 전달괴는 전력의 크기 등을 측정할 때 방향성 결합기가 사용된다.
- ② 전력을 두 새 이상의 작은 전력으로 나누는데 전력분배기가 사용된다.
- ③ 감쇠기는 마이크로파 전력의 크기를 감소시키는데 사용되는 소자이다.
- ④ 아이솔레이터와 서큘레이터는 신호를 한쪽 방향으로 전달하거나 반대방향으로도 전달하는 가역 특성을 갖는다.
등록된 댓글이 없습니다.
47. 다음 중 급전선이 일반적으로 같추어야 하는 조건이 아닌 것은?
- ① 전송 효율이 가급적 높아야 한다.
- ② 송신용의 경우 절연 내력(내압)이 큰 것이 좋다,
- ③ 특성 임피던스는 높은 것이 좋다,
- ④ 유도 방해를 받거나 주지 말아야 한다.
등록된 댓글이 없습니다.
48. 다음 중 안테나를 설계할 때 임피던스 정합 회로를 사용하는 이유로 적합하지 않은 것은?
- ① 왜율이나 이중상(Ghost) 발생을 방지하기 위하여
- ② 최대 전력을 전송하기 위하여
- ③ 전송선로와 안테나 정합부에서 반사를 최소화하기 위하여
- ④ 전송선로의 정재파비를 최대화하기 위하여
등록된 댓글이 없습니다.
49. 다음 중 접지안테나의 방사효율을 높이기 위한 방법이 아닌 것은?
- ① 안테나의 실효고를 증가시킨다.
- ② 안테나의 공급전류를 증가시킨다,
- ③ 전송선로와 안테나 정합부에서 반사를 최소화하기 위하여
- ④ 전송선로의 정재파비를 최대화하기 위하여
등록된 댓글이 없습니다.
50. 공진회로에서 1.5[H]의 인덕터와 0.4[μF]의 커패시터가 직렬 연결된 경우 공진주파수는 약 얼마인가?
- ① 103[Hz]
- ② 206[Hz]
- ③ 301[Hz]
- ④ 405[Hz]
등록된 댓글이 없습니다.
51. 반파장 소자를 종횡으로 일정하게 배열하여 각 소자에 동위상 전류를 공급하면 한쪽 방향으로 지향성이 강해지는 안테나는?
- ① V형 안테나
- ② 롬빅 안테나
- ③ 빔 안테나
- ④ 제펠린 안테나
등록된 댓글이 없습니다.
52. 다음 중 Collinear-Array 안테나의 설명으로 틀린 것은?
- ① 소자수가 많아질수록 이득이 커진다,
- ② 수직면내 지향성이 예민하여 고이득 안테나로서 사용된다,
- ③ 각 소자는 90° 위상차를 작고 크기가 같은 신호로 급전한다.
- ④ VHF(very high frequency)대 이동무선 기지국용 및 중계국용으로 널리 이용된다.
등록된 댓글이 없습니다.
53. 다음 중 안테나의 길이를 줄이지 않고 안테나 고유주파수보다 높은 주파수에 공진시키기 위한 방법으로 적합한 것은?
- ① 안테나와 직렬로 코일을 접속한다.
- ② 안테나와 병렬로 코일을 접속한다.
- ③ 안테나와 직렬로 콘덴서를 접속한다.
- ④ 안테나와 병렬로 콘덴서를 접속한다.
등록된 댓글이 없습니다.
54. 송신안테나와 수신안테나가 200λ[m] 떨어져 있고, 각각의 방향성 이득은 20[dB]와 15[dB]이다. 만일 송신전력이 10[W]였다면 수신안테나의 수신전력은 얼마인가?
- ① 약3[mW]
- ② 약4[mW]
- ③ 약5[mW]
- ④ 약6[mW]
등록된 댓글이 없습니다.
55. 다음 중 전리층의 전리전자밀도가 큰 순서대로 옳게 표시한 것은?
- ① D층>E층>F층
- ② E층>D층>F층
- ③ E층>F층>D층
- ④ F층>E층>D층
등록된 댓글이 없습니다.
56. 다음 중 수정 굴절률 M곡선 중에서 (dM/dh)<0의 부분이 존재하지 않는 것은?
- ① 표준형
- ② 접지 S형
- ③ 이지 S형
- ④ 접지형
등록된 댓글이 없습니다.
57. 전리층의 높이를 관측하기 위하여 지구 표면에서 상공을 향하여 충격파를 발사하였더니 4[ms] 후에 반사파를 받았다. 이 때 전리층의 높이는 몇[Km]인가
- ① 300[Km]
- ② 400[Km]
- ③ 600[Km]
- ④ 1,200[Km]
등록된 댓글이 없습니다.
58. 다음 중 전리층에서 일어나는 현상이 아닌 것은?
- ① 전파의 회절
- ② 전파의 산란
- ③ 전파의 반사
- ④ 전파의 굴절
등록된 댓글이 없습니다.
59. 지상파와 공간파가 간섭을 일으키면 어떤 현상이 일어나는가?
- ① 자기람
- ② 델린져현상
- ③ 페이딩
- ④ 대척점 효과
등록된 댓글이 없습니다.
60. 다음 중 초단파의 전파 특성에 대한 설명으로 틀린 것은?
- ① 주파수가 높기 때문에 지표파는 감쇠가 심하다,
- ② 태양의 활동에 따라 수신 강도의 변화는 단파보다 영향이 심하다.
- ③ 대기의 굴절 때문에 기하학적 가시거리보다 약간 멀리까지 도달한다.
- ④ 직접파와 대지 반사파에 의해서 전계강도가 정해진다.
등록된 댓글이 없습니다.
4과목 : 전자계산기 일반 및 무선설비기준
61. 마이크로프로세서 병렬 처리에서 단뎨로써 맞는 것은 무엇인가?
- ① Fetch-Execute-Decode-Write
- ② Execute-Decode- Fetch-Write
- ③ Fetch-Decode-Execute-Write
- ④ Decode-Execute- Fetch-Write
등록된 댓글이 없습니다.
62. 이것은 CPU를 구성하는 하드웨어 중 명령어 실행에 반드시 필요한 핵심 모듈로서 명령어 파이프라인들로 이뤄진 슈퍼스칼라 모듈과 ALU 및 레지스터 집합 등을 의미하기도 한다. 최근 이와 같은 것을 하나의 칩에 여러 개 넣은 것들이 출시 되고 있다. 여기서 '이것이' 의미하는 것으로 옳은 것은?
- ① 스칼라
- ② 캐쉬(Cache)
- ③ 파이프라인
- ④ 코어(Core)
등록된 댓글이 없습니다.
63. 다음은 CPU에 서비스를 받으려고 도착한 순서대로 프로세스와 그 서비스 시간을 나타낸다. FCFS(first Come Served) CPU Scheduling에 의해서 프로세스를 처리한다고 했을 경우 프로세스의 평균 대기시간은 얼마인가?

- ① 15초
- ② 16초
- ③ 17초
- ④ 18초
등록된 댓글이 없습니다.
64. 다음 중 어셈블리 명령어(MOV R0, R1)에 대한 설명으로 옳은 것은?
- ① 레지스터간 R0,R1 데이터의 덧셈 수행
- ② R0,R1을 스택에 저장
- ③ R1을 R0 번지에 저장
- ④ 레지스터 R1의 데이터를 R0로 이동
등록된 댓글이 없습니다.
65. 디스크 시스템의 성능과 신뢰성을 향상시키기 위해서 디스크 드라이브의 배열을 구성하여 하나의 유니트로 패키지 함으로써 액세스 속도를 크게 향상시키고 신뢰도를 높인 것을 무엇이라 하는가?
- ① 자기 디스크 장치(magnetic disk unit)
- ② RAID(redundant array of inexpensive disk)
- ③ 자기 테이프 장치(magnetic tape Unit)
- ④ 램 디스크 장치(RAM-disk Unit)
등록된 댓글이 없습니다.
66. 다음 중 데드락(Deadlock)을 발생시키는 원인이 아닌 것은?
- ① 점유와 대기
- ② 순환 대기
- ③ 상호 배제
- ④ 선점 방식
등록된 댓글이 없습니다.
67. 다음 중 선점 스케줄링 방식에 대한 설명으로 틀린 것은?
- ① 빠른 응답을 요구하는 시분할 시스템에 적합하다.
- ② 우선 순위가 높은 프로세스들이 빠르게 처리될 수 있다.
- ③ 일단 프로세서를 할당 받으면 완료될 때까지 점유한다.
- ④ 오버헤드가 발생한다.
등록된 댓글이 없습니다.
68. 다음 중 가상기억(virtual memory) 체계에 대한 설명으로 틀린 것은?
- ① 하드웨어에 의한 것이 아니라 소프트웨어에 의해 실현된다.
- ② 주기억장치와 보조 기억 장치가 계층 기억 체제를 이루고 있다.
- ③ 컴퓨터의 기억 용향을 학장하기 위한 방법이다.
- ④ 컴퓨터의 기억 용량을 확장하기 위한 방법이다.
진주형2023. 10. 18. 12:22삭제
3번 보기. 컴퓨터의 속도를 개선하기 위한 방법이다.
69. Shift register에 있는 이진수 number가 5번 Shifte-left 되었을 때 결과값으로 알맞은 것은?
- ① number * 5
- ② number / 5
- ③ number * 32
- ④ number / 32
등록된 댓글이 없습니다.
70. 다음과 같은 운영체제의 운용 기법은?

- ① 단일 사용자 시스템
- ② 실시간 처리 시스템
- ③ 분산 처리 시스템
- ④ 시분할 시스템
등록된 댓글이 없습니다.
71. 다음 중 시설자가 무선국을 운용함에 있어 준수해야 할 통신보안 준수사항이 아닌 것은?
- ① 자체 통신보안업무계획의 수립 및 시행
- ② 비밀 및 대외비 내용의 통신 시 보안 자재 사용
- ③ 비인가 보안자재 사용
- ④ 통신보안 책임자 지정
등록된 댓글이 없습니다.
72. 다음 중 '방송통신기자재 등의 적합성평가에 관한 고시'에서 규정하는 용어의 정의로 틀린 것은?
- ① '사후관리'라 함은 적합성평가를 받은 기자재가 적합성평가기준대로 제조.수입 또는 판매되고 있는지 관련법에 따라 조사 또는 시험하는 것을 말한다.
- ② '기존모델'이란 전기적인 회로.구성,성능이 동일하고 기능이 유사한 제품군 중 표본이 되는 기자재를 말한다.
- ③ '파생모델'이란 기본모델과 전기적인 회로.구성.성능만 다르고 그 부가적인 기능은 동일한 기자재를 말한다.
- ④ '제조자'라 함은 기자재를 설계하여 직접 제작하거나 상표부착방식에 따라 기자재를 공급받는 자로서 해당 기자재의 설계.제작에 대한 책임을 지는 자를 말한다.
등록된 댓글이 없습니다.
73. 다음 중 신고를 통해 개설할 수 있는 무선국은?
- ① 실험국
- ② 선박국
- ③ 항공국
- ④ 수신전용 무선국
등록된 댓글이 없습니다.
74. 다음 중 송신설비의 안테나.급전선 등 고압전기를 통과하는 장치는 사람이 보행하거나 생활하는 평면으로부터 최소 몇[m] 이상의 높이에 설피되어야 하는가?
- ① 2.5[m]이상
- ② 3[m]이상
- ③ 3.5[m]이상
- ④ 4[m]이상
등록된 댓글이 없습니다.
75. 다음 중 선박국용 레이다 기기의 기기부호로 틀린 것은?
- ① 국제항해용 레이다 중 표시면의 유효직경 32[Cm] 이상 : RAL
- ② 국내항해용 헤이다 : RC
- ③ 국내소형선박용레이다 : RD
- ④ 국제항해용 레이다 중 표시 면의 유효직경 18[cm] 이상 25[Cm]미만 : RAM
등록된 댓글이 없습니다.
76. 다음 중 송신설비의 전력을 표시하는 방법에 대한 설명으로 틀린 것은?
- ① 송신설비의 전력은 안테나공급전력으로 표시한다.
- ② 실험국(방송을 하는 실험국은 제외)의 송신설비는 규격전력으로 표시한다.
- ③ 아마추어국의 송신설비 전력은 규격전력으로 표시한다.
- ④ 종단 송신설비의 전력은 변조전력으로 표시한다.
등록된 댓글이 없습니다.
77. 다음 중 국립전파연구원장이 적합인증서를 신청인에게 발급하고, 관보에 공고하여야 할 내용으로 알맞지 않은 것은?
- ① 인증번호
- ② 인증 받은 자의 상호 또는 성명
- ③ 기자재의 명칭.모델명
- ④ 유효기간
등록된 댓글이 없습니다.
78. 전력선통신설비 및 유도식통신설비에서 발사되는 주파수허용편차는 몇(%) 이내여야 하는가?
- ① 0.7[%]
- ② 0.5[%]
- ③ 0.3[%]
- ④ 0.1[%]
등록된 댓글이 없습니다.
79. 아마추어국의 개설조건 중 이동하는 아마추어국의 경우 안테나공급전력은 몇 와트 이하이어야 하는가?
- ① 500와트
- ② 300와트
- ③ 100와트
- ④ 50와트
등록된 댓글이 없습니다.
80. 다음 괄호 안에 들어갈 내용으로 옳은 것은

- ① 정보통신
- ② 무선통신
- ③ 전파통신
- ④ 전기통신
등록된 댓글이 없습니다.