무선설비산업기사(2019. 6. 29.) 시험일자 : 2019년 6월 29일
1과목 : 디지털 전자회로
1. 다음 중 전압, 전류, 저항의 보조단위를 정리한 것으로 맞지 않는 것은?
- ①

- ②

- ③ [mA]∙[[kΩ]=V]
- ④ [μA]∙[MΩ]=[mV]
등록된 댓글이 없습니다.
2. 다음 중 브리지 전파 정류회로의 특징으로 틀린 것은?
- ① 맥동(Ripple) 주파수는 전원주파수의 3배이다.
- ② 최대역전압(PIV)은 전원전압의 최대값[Vm]이다.
- ③ 변압기의 직류자화가 없어 변압기의 이용률이 높다.
- ④ 전원변압기의 2차측 권선의 중간탭이 불필요하며, 권선도 반이면 된다.
등록된 댓글이 없습니다.
3. 다음 중 중간 탭형 전파 정류와 비교했을 때, 브리지형 전파 정류회로의 특징이 아닌 것은?
- ① 고압 정류회로에 적합하다.
- ② 변압기 자기 포화 현상이 거의 없다.
- ③ 높은 출력 전압을 얻을 수 있다.
- ④ 소형 변압기를 전혀 사용할 수 없다.
등록된 댓글이 없습니다.
4. FET(Field Effect Transistor)의 특성으로 옳은 것은?
- ① 쌍극성 소자이다.
- ② 입력신호 전압을 게이트에 인가해서 채널 전류를 제어한다.
- ③ BJT보다 저입력 임피던스를 갖는다.
- ④ P채널 FET에 흐르는 전류는 전자의 확산현상에 의해 발생한다.
등록된 댓글이 없습니다.
5. 다음 그림과 같은 전류궤환 Bias회로에서 IB는 약 얼마인가?

- ① 1.29[㎂]
- ② 12.9[㎂]
- ③ 2.91[㎂]
- ④ 29.1[㎂]
등록된 댓글이 없습니다.
6. 트랜지스터의 바이어스회로 방식 중에서 안정도가 가장 높은 것은?
- ① 고정 바이어스
- ② 전압궤환 바이어스
- ③ 전류궤환 바이어스
- ④ 전압전류궤환 바이어스
등록된 댓글이 없습니다.
7. 0.1[V]의 교류 입력이 10[V]로 증폭되었을 때, 증폭도는 몇 [dB]인가?
- ① 10[dB]
- ② 20[dB]
- ③ 30[dB]
- ④ 40[dB]
등록된 댓글이 없습니다.
8. 다음 중 비정현파 발진기가 아닌 것은?
- ① 멀티바이브레이터
- ② 피어스 BE 발진기
- ③ 블로킹 발진기
- ④ 톱니파 발진기
등록된 댓글이 없습니다.
9. 다음 중 CR형 발진기에 대한 설명으로 틀린 것은?
- ① LC동조회로를 사용하지 않는다.
- ② 발진주파수는 CR의 시정수에 의해 정해진다.
- ③ C와 R을 사용하여 부궤환에 의해 발진한다.
- ④ 저주파 발진 특성이 우수하다.
등록된 댓글이 없습니다.
10. 다음 중 발진 주파수가 변하는 주요 요인이 아닌 것은?
- ① 전원 변압의 변동
- ② 주위의 온도 변화
- ③ 부하의 변동
- ④ 대역폭의 변화
등록된 댓글이 없습니다.
11. 다음 중 교류 신호를 구성하는 기본적인 요소가 아닌 것은?
- ① 진폭
- ② 주파수
- ③ 증폭도
- ④ 위상
등록된 댓글이 없습니다.
12. 다음 중 아날로그 진폭 변조 방식의 종류가 아닌 것은?
- ① DSB-LC(DSB-TC)
- ② DSB-SC
- ③ FM
- ④ SSB
등록된 댓글이 없습니다.
13. 다음 중 펄스변조 방식이 아닌 것은?
- ① PCM
- ② PWM
- ③ PPM
- ④ PM
등록된 댓글이 없습니다.
14. 동일 조건의 환경에서 PSK, DPSK 및 비동기 FSK 변조방식에 대한 각각의 오류확률에 따른 신호대 잡음비의 품질이 우수한 순서대로 나열한 것 중 옳은 것은?
- ① PSK > DPSK > FSK
- ② DPSK > PSK > FSK
- ③ FSK > PSK > DPSK
- ④ FSK > DPSK > PSK
등록된 댓글이 없습니다.
15. 트랜지스터의 스위칭 시간에서 Turn-on 시간을 의미하는 것은?
- ① Fail Time
- ② Rise Time + Delay Time
- ③ Rise Time
- ④ Fail Time + Storage Time
등록된 댓글이 없습니다.
16. 쌍안정 멀티바이브레이터 회로에서 저항에 병렬로 접속된 콘덴서의 주요 목적은?
- ① 증폭도를 높이기 위해
- ② 스위칭 속도를 높이기 위해
- ③ 베이스 전위를 일정하게 하기 위해
- ④ 이미터 전위를 일정하게 하기 위해
등록된 댓글이 없습니다.
17. 8진수 67을 16진수로 바르게 변환한 것은?
- ① 43
- ② 37
- ③ 55
- ④ 34
등록된 댓글이 없습니다.
18. J-K 플립플롭을 이용하여 T 플립플롭을 구현한 것으로 옳은 것은?
- ①

- ②

- ③

- ④

등록된 댓글이 없습니다.
19. 다음 중 RS 플립플롭으로 구현된 D플립플롭 회로는?
- ①

- ②

- ③

- ④

등록된 댓글이 없습니다.
20. 다음 중 메모리에 대한 설명으로 틀린 것은?
- ① SRAM(Static RAM)과 DRAM(Dynamic RAM)은 전원이 차단되면 데이터가 소멸된다.
- ② DRAM은 SRAM에 비해 데이터 저장 용량을 높이는데 용이하다.
- ③ SRAM은 DRAM에 비해 고속이다.
- ④ SRAM과 DRAM은 일정 주기마다 재충전이 필요하다.
등록된 댓글이 없습니다.
2과목 : 무선통신 기기
21. AM 수신기에서 중간주파수 선정 시 고려해야 할 사항으로 가장 관련이 적은 것은?
- ① 인입현상
- ② 감도 및 안정도
- ③ 단일조정
- ④ 초고주파의 영향
등록된 댓글이 없습니다.
22. 다음 중 슈퍼헤테로다인 수신기에서 BFO(Beat Frequency Oscillator)를 사용하는 목적은?
- ① F1A 및 A2A 전파를 가정 주파수로 수신하기 위함
- ② A1A 전파를 가정 주파수로 수신하기 위함
- ③ A3E 전파를 가정 주파수로 수신하기 위함
- ④ 중간 주파수를 정확하게 맞추기 위함
등록된 댓글이 없습니다.
23. 다음 중 AM송신기에서 반송파 발진기로 가장 많이 사용되는 발진기는?
- ① RC 발진기
- ② 수정 및 LC 발진기
- ③ SAW 발진기
- ④ 유전체 공진기 발진기
등록된 댓글이 없습니다.
24. 다음 중 AM송신기의 구성 요소가 아닌 것은?
- ① 발진회로
- ② 변조회로
- ③ 검파회로
- ④ 증폭회로
등록된 댓글이 없습니다.
25. DSB 통신 방식과 비교한 SSB 송신기의 장점이 아닌 것은?
- ① 점유주파수대역폭이 1/2로 축소된다.
- ② 적은 송신 전력으로 통신이 가능하다.
- ③ 회로 구성이 간단하다.
- ④ 신호대 잡음비가 개선된다.
등록된 댓글이 없습니다.
26. FM 복조에 PLL 회로가 많이 사용되고 있다. 다음 중 PLL의 기본적인 구성 요소가 아닌 것은?
- ① 전압제어발진기(VCO) 회로
- ② 위상 비교기(PC) 회로
- ③ 샘플링(Sampling) 회로
- ④ 저역통과필터(LPF) 회로
등록된 댓글이 없습니다.
27. 다음 디지털 변조 방식에서 주파수 효율이 높고 고속 통신용으로 가장 적합한 방식은?
- ① 펄스폭 편이 변조 방식
- ② 진폭 편이 변조 방식
- ③ 주파수 편이 변조 방식
- ④ 위상 편이 변조 방식
등록된 댓글이 없습니다.
28. 다음 중 마이크로파 통신에 대한 설명으로 틀린 것은?
- ① 안테나 이득을 크게할 수 있다.
- ② 외부잡음의 영향에 약하다.
- ③ 광대역 전송이 가능하다.
- ④ 주로 가시거리 통신이 행해진다.
등록된 댓글이 없습니다.
29. 다음 중 페이딩(Fading) 감소를 위한 다이버시티 방식이 아닌 것은?
- ① 레이크 다이버시티
- ② 공간 다이버시티
- ③ 시간 다이버시티
- ④ 주파수 다이버시티
등록된 댓글이 없습니다.
30. 다음 그림은 통신위성 중계기의 일반적인 구성도이다. 빈칸 (A)에 가장 적합한 것은?

- ① 중간주파 증폭기
- ② 주파수 변환기
- ③ 검파기
- ④ 변 ∙복조기
등록된 댓글이 없습니다.
31. 다음 중 이동통신에서 요구되는 특징에 대한 설명으로 틀린 것은?
- ① 단말기가 이동하므로 교환기와의 연결 경로 선택 기능이 필요하다.
- ② 사용 주파수대가 한정되어 있으므로 주파수를 효율적으로 이용하여 가입자 수용 용량을 감소시키는 기술이 필요하다.
- ③ 무선통신 방식이므로 페이딩을 극복하는 방식과 제어용 프로토콜이 필요하다.
- ④ 회선용 다수의 이용자가 공용하므로 호출과 통화료 부과 기술이 일반전화와 다르다.
등록된 댓글이 없습니다.
32. 다음 중 광대역 멀티미디어 서비스를 언제 어디서나 이용할 수 있도록 하는 융합 통신망은?(오류 신고가 접수된 문제입니다. 반드시 정답과 해설을 확인하시기 바랍니다.)
- ① PSTN
- ② ISDN
- ③ BcN
- ④ IoT
등록된 댓글이 없습니다.
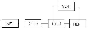
33. 다음 그림은 이동통신시스템의 계통 블록다이어그램이다. (ㄱ)과 (ㄴ)에 각각 들어가야 할 용어로 옳은 것은?

- ① (ㄱ) BTS, (ㄴ) MSC
- ② (ㄱ) MSC, (ㄴ) BTS
- ③ (ㄱ) S-G/W, (ㄴ) MSC
- ④ (ㄱ) MSC, (ㄴ) S-G/W
등록된 댓글이 없습니다.
34. 연축전지에서 AH(암페어시)가 나타내는 것은?
- ① 용량
- ② 사용가능시간
- ③ 충전전류
- ④ 방전전류
등록된 댓글이 없습니다.
35. 다음 중 충전기 충전 방식의 종류가 아닌 것은?
- ① 단순 충전
- ② 평상 충전
- ③ 균등 충전
- ④ 부동 충전
등록된 댓글이 없습니다.
36. 다음 중 인버터의 유형을 구분하는 요소에 해당 하지 않는 것은?
- ① 전원의 형태
- ② 전원의 구성 방식
- ③ 제어 방식
- ④ 출력 상수
등록된 댓글이 없습니다.
37. 다음 통신계통도에 대한 출력점의 신호레벨은 얼마인가?
- ① -5[dBm]
- ② 2[dBm]
- ③ 0[dBm]
- ④ 5[dBm]
등록된 댓글이 없습니다.
38. 다음 중 FM 송신기의 전력 측정 방법으로 적합하지 않은 것은?
- ① 열량계에 의한 방법
- ② C-M형 전력계에 의한 방법
- ③ 수부하계에 의한 방법
- ④ 볼로미터 브리지에 의한 방법
등록된 댓글이 없습니다.
39. 수신기의 종합 전압이득을 구하기 위하여 수신기의 출력을 50[mW]로 조정하고 출력전압이 6[V], 입력전압이 60[uV]였다면 이 수신기의 종합전압이득은?
- ① 1[dB]
- ② 10[dB]
- ③ 100[dB]
- ④ 1,000[dB]
등록된 댓글이 없습니다.
40. 상온에서 만충전 시 전해액의 비중이 1.28, 방전종지 시 비중이 1.02이고 용량이 100[AH]인 축전지에서 현재 상태의 비중이 1.25일 경우, 현재 방전량은 약 얼마인가?
- ① 9.9[AH]
- ② 10.8[AH]
- ③ 11.5[AH]
- ④ 12.1[AH]
등록된 댓글이 없습니다.
3과목 : 안테나 개론
41. 다음 중 전파의 성질에 대한 설명으로 옳은 것은?
- ① 전파는 종파이다.
- ② 주파수는 파장의 크기에 비례한다.
- ③ 전파의 속도는 유전율이 클수록 빨라진다.
- ④ 편파성을 갖는다.
등록된 댓글이 없습니다.
42. 포인팅 정리에 관한 식에서 에 대한 설명으로 옳은 것은?
- ① 체적 내의 전계 및 자계에 저축되는 전체에너지이다.
- ② 체적 내의 발생되는 정(+)값을 갖는 전력원이다.
- ③ 발산되는 전계와 자계의 증분값이다.
- ④ 체적 외부로 흘러 나가는 유출전력량이다.
등록된 댓글이 없습니다.
43. 8진 PSK에서 반송파 간 위상 차는?
- ① π
- ② π/2
- ③ π/4
- ④ π/8
등록된 댓글이 없습니다.
44. 다음 중 정재파비(VSMR)에 대한 설명으로 틀린 것은?
- ① 전압 정재파비는 정재파의 최대 전압과 최소 전압의 비로 정의된다.
- ② 전류 정재파비는 정재파의 최대 전류와 최소 전류의 비로 정의된다.
- ③ 선로 상에서 근접한 최대치와 다음 최대치의 간격은 반파장거리이다.
- ④ 임피던스가 완전히 정합된 경우 정재파비 S=0의 관계에 있다.
등록된 댓글이 없습니다.
45. 다음 중 스미스(Smith) 차트의 궤적에 대한 설명으로 틀린 것은?
- ① 어드미턴스 차트의 원을 따라 중심선 위쪽에서 시계 반대 방향으로 회전하면 회로 상에 병렬 인덕터가 삽입된 경우이다.
- ② 임피던스 차트의 원을 따라 중심선 위쪽에서 시계 방향으로 회전 이동하면 회로 상에 직렬 인덕터가 삽입된 경우이다.
- ③ 어드미턴스 차트 원을 따라 중심선 아래에서 시계 방향으로 회전 이동하면 병렬 커패시터가 삽입된 경우이다.
- ④ 임피던스가 “0”에 가까울수록 회로는 거의 Open상태로 되어 전류가 잘 흐를 수 있다.
등록된 댓글이 없습니다.
46. 동축케이블의 내부 도체를 제거한 것과 같이 고역필터로서 작용을 하며, 고주파 급전과정에서 방사손실이 거의 없는 특성을 갖는 급전선은?
- ① 도파관
- ② 마이크로 스트립
- ③ 공동 공진기
- ④ 평행 5선식 급전선
등록된 댓글이 없습니다.
47. 도파관에 대한 설명으로 틀린 것은?
- ① 위형 도파관에서는 TELSUB11모드가 기본모드이다.
- ② 도파관에는 각 모드에 대응하는 차단 파장이 존재하지 않는다.
- ③ 도파관용 창은 도파관용 필터 공동 공진기의 출력을 얻는데 사용된다.
- ④ 도파관내의 임피던스는 슬롯이 있는 도체판을 관내에 삽입하여 전자계 분포를 변화시킴으로써 변경이 가능하다.
등록된 댓글이 없습니다.
48. 도파관의 임피던스 정합에 쓰이는 소자로 입사파는 감쇠없이 진행하지만 반사파는 큰 감쇠로 인하여 전력 흡수되는 비가역 회로 소자를 무엇이라고 하는가?
- ① 아이솔레이터(Isolator)
- ② 공동공진기(Cavity Resonator)
- ③ 방향성결합기
- ④ 서큘레이터(Circulator)
등록된 댓글이 없습니다.
49. 기준 안테나로 등방성 안테나를 사용하여 임의의 안테나 이득을 측정했을 때의 이득을 무엇이라고 하는가?
- ① 절대 이득
- ② 상대 이득
- ③ 지상 이득
- ④ 표준 이득
등록된 댓글이 없습니다.
50. 임의 안테나 A, B에 같은 전력을 공급하였다. 이때 최대 방사방향으로 임의 점의 전계강토는 각각 1,000[㎶/m], 100[㎶/m]이었다. 다음 중 두 안테나 이득의 비는 얼마인가?
- ① 10[dB]
- ② 20[dB]
- ③ 30[dB]
- ④ 40[dB]
등록된 댓글이 없습니다.
51. 다음 중 안테나의 배열(Array)에 관한 설명으로 틀린 것은?
- ① 배열 축 방향으로 지향성이 나타나면 End-fire Array이다.
- ② 배열의 간격과 급전하는 신호의 위상은 서로 관련이 있다.
- ③ 합성 지향성은 소자 및 배열의 지향성 적(積)의 원리로 예측할 수 있다.
- ④ 배열의 간격은 1/4 파장이어야 하고 반드시 동위 상으로 급전하여야 한다.
등록된 댓글이 없습니다.
52. 다음 중 안테나의 광대역성을 갖도록 하는 방법으로 틀린 것은?
- ① 안테나의 Q를 작게 한다.
- ② 상호 임피던스의 특성을 이용한다.
- ③ 진행파 여진형의 소자를 이용한다.
- ④ 안테나 도체의 직경을 좁게한다.
등록된 댓글이 없습니다.
53. 네트워크 분석기(Network Analyzer)를 이용하여 안테나의 반사 손실을 측정할 경우, 일반적으로 약 몇 [dB]이하를 기준으로 안테나 대역폭을 정하는가?
- ① 0[dB]이하
- ② -10[dB]이하
- ③ -20[dB]이하
- ④ -30[dB]이하
등록된 댓글이 없습니다.
54. 지하 50[cm] ~ 100[cm] 정도에 직경 2.9[mm] 정도의 동선을 최소한 안테나 높이와 같은 길이로 여러 개의 줄을 지선망 형태로 매설하는 안테나 접지방식은?
- ① 심굴접지
- ② 방사상접지
- ③ 다중접지
- ④ 가상접지
등록된 댓글이 없습니다.
55. 다음 중 전파투시도(지형단면도)에 대한 설명으로 틀린 것은?
- ① 전파통로 상에서 수평방향의 장애물을 살펴볼 때 편리하다.
- ② 전파통로를 나타내는 지구 단면도로 Profile Map이라고도 한다.
- ③ 등가지구 반경계수 K를 고려하여 작성해야 한다.
- ④ 전파통로를 직선으로 취급할 수 있게 된다.
등록된 댓글이 없습니다.
56. 송신 안테나의 높이가 16[m], 수신 안테나 높이가 25[m]일 때, 초단파의 직접파 최대 가시거리는 얼마인가?
- ① 16.99[km]
- ② 26.99[km]
- ③ 36.99[km]
- ④ 46.99[km]
등록된 댓글이 없습니다.
57. 다음 중 지표파에 관한 설명으로 틀린 것은?
- ① 대지가 완전 도체라고 할 때, 전계 강도는 수치거리 또는 감쇠계수로 표현할 수 있다.
- ② 유전율이 작을수록 감쇠가 적어진다.
- ③ 지표에 가까운 곳에서는 전파의 진행 속도가 늦어진다.
- ④ 수평편파 쪽이 감쇠가 적다.
등록된 댓글이 없습니다.
58. 다음 중 장파, 중파대에서 지표파에 의해 전파되는 전파의 감쇠가 가장 적은 매질은?
- ① 해수
- ② 사막
- ③ 습지
- ④ 건지
등록된 댓글이 없습니다.
59. 다음 중 대류권 전파의 감쇠에 해당되지 않는 것은?
- ① 강우에 의한 감쇠
- ② 구름, 안개에 의한 감쇠
- ③ 바람에 의한 감쇠
- ④ 대기에 의한 감쇠
등록된 댓글이 없습니다.
60. E층의 임계주파수가 4[MHz], 높이가 100[km]이고, 송∙수신점 간의 거리가 200[km]이다. 이때 MUF는?
- ① 약 4.7[MHz]
- ② 약 5.7[MHz]
- ③ 약 6.7[MHz]
- ④ 약 7.7[MHz]
등록된 댓글이 없습니다.
4과목 : 전자계산기 일반 및 무선설비기준
61. 어떤 시프트 레지스터의 내용을 우측으로 3번 시프트하면 원래의 데이터 값에서 어떤 변화가 일어나는가?
- ① 원래 데이터 값의 8배
- ② 원래 데이터 값의 1/8배
- ③ 원래 데이터 값의 3배
- ④ 원래 데이터 값의 1/3배
등록된 댓글이 없습니다.
62. 다음 중 10진수 13과 같지 않은 것은?
- ① 2진수 1101
- ② 5진수 23
- ③ 8진수 15
- ④ 16진수 C
등록된 댓글이 없습니다.
63. 다음 중 정보의 단위가 작은 것에서 큰 순으로 바르게 나열된 것은?
- ① 파일, 레코드, 필드, 문자, 데이터베이스
- ② 워드, 필드, 레코드, 파일, 데이터베이스
- ③ 워드, 레코드, 파일, 필드, 데이터베이스
- ④ 레코드, 필드, 파일, 문자, 데이터베이스
등록된 댓글이 없습니다.
64. 다음 중 ASCII 코드에 대한 설명으로 옳은 것은?
- ① 자료를 전송할 때 8비트 중 1비트는 패리티 비트로 사용하고 나머지 7비트로 27=128가지 문자를 표현할 수 있는 코드이다.
- ② 영자나 특수 문자까지 확대하기 위해 6비트를 사용하며, 2비트는 Zone 비트이고, 4비트는 수치비트로서 26=64가지 종류의 문자를 표현할 수 있는 코드이다.
- ③ 8비트를 사용하여 28=256가지의 넓은 범위의 문자를 표현할 수 있어 현재 범용으로 사용되는 코드이다.
- ④ 순 2진수 표현 형태로 문자를 나타낼 수 있으며, 자리수마다 가중치로서 계산하여 사용하는 코드이다.
등록된 댓글이 없습니다.
65. 다음 중 운영체제 제어 프로그럄에 속하는 것으로 알맞게 구성된 것은?
- ① 감시 관리 프로그램, 데스크 관리 프로그램, 시스템 편집 프로그램
- ② 데스크 관리 프로그램, 데이터 관리 프로그램, 작업 관리 프로그램
- ③ 작업 관리 프로그램, 언어처리 프로그램, 유틸리티 프로그램
- ④ 유틸리티 프로그램, 언어처리 프로그램, 시스템 편집 프로그램
등록된 댓글이 없습니다.
66. 다음 보기는 시스템 소프트웨어 구성 프로그램 중 어떤 것을 설명하고 있는가?

- ① 작업제어 프로그램
- ② 감시 프로그램
- ③ 언어번역 프로그램
- ④ 서비스 프로그램
등록된 댓글이 없습니다.
67. 다음 중 일반 컴퓨터 형태가 아닌 주로 회로 기판 형태의 반도체 기억 소자에 응용 프로그램을 탑재하여 컴퓨터의 기능을 수행하는 시스템은?
- ① 임베디드 시스템
- ② 분산처리 시스템
- ③ 병렬 처리 시스템
- ④ 멀티 프로세싱 시스템
등록된 댓글이 없습니다.
68. 하나의 프로세서 안에서 여러 개의 프로그램을 처리하는 방식을 무엇이라고 하는가?
- ① Multi Processing
- ② Multi Programming
- ③ Distributed Processing
- ④ Real Time Processing
등록된 댓글이 없습니다.
69. 다음 Processing Scheduling 정책 중 현재 작업 중인 프로세스를 중단시키고, 남은 시간이 가장 짧은 JOB을 우선적으로 처리하는 방식은?
- ① FIFO
- ② RR
- ③ HRN
- ④ SRT
등록된 댓글이 없습니다.
70. 다음 중 직접 어드레스 지정 방식으로 Jump 명령을 올바르게 표현한 것은?
- ① jump a, 100
- ② jump 100
- ③ jump pc
- ④ jump
등록된 댓글이 없습니다.
71. 다음 중 과학기술정보통신부장관이 전파진흥기본계획에 포함하여야 할 사항이 아닌 것은?
- ① 전파방송산업육성의 기본방향
- ② 전파이용질서의 확립
- ③ 전파정보의 공유에 관한 사항
- ④ 전파관련 표준화에 관한 사항
등록된 댓글이 없습니다.
72. 다음 중 과학기술정보통신부장관이 주파수할당을 하고자 할 때, 공고사항이 아닌 것은?
- ① 국제주파수등록위원회의 기술기준
- ② 할당대상 주파수 및 대역폭
- ③ 주파수 할당 대가
- ④ 주파수용도 및 기술방식에 관한 사항
등록된 댓글이 없습니다.
73. 과학기술정보통신부장관이 주파수할당을 하고자 하는 경우, 주파수 할당을 하는 날로부터 얼마 전까지 할당관련 공고를 하여야 하는가?
- ① 15일 전
- ② 1월 전
- ③ 3월 전
- ④ 6월 전
등록된 댓글이 없습니다.
74. 다음 중 주파수 분배 시 고려하여야 할 사항이 아닌 것은?
- ① 전파이용 기술의 발전추세
- ② 국내의 주파수 사용 동향
- ③ 주파수의 이용현황 등 국내의 주파수 이용여건
- ④ 전파를 이용하는 서비스에 대한 수요
등록된 댓글이 없습니다.
75. 다음 중, 고시대상 무선국을 허가한 경우에 고시사항이 아닌 것은?
- ① 무선국의 명칭 및 종별과 무선설비의 설치장소
- ② 무선설비의 발주자의 성명 또는 명칭
- ③ 허가 년∙월∙일 및 허가번호
- ④ 주파수, 전파의 형식, 점유주파수대폭 및 안테나공급전력
등록된 댓글이 없습니다.
76. 아마추어국의 개설조건 중 고정 아마추어국의 경우, 안테나공급전력은 몇 와트 이하이어야 하는가?
- ① 1,000와트
- ② 500와트
- ③ 200와트
- ④ 100와트
등록된 댓글이 없습니다.
77. 다음 중 무선설비 안전시설기준에 관련되 사항으로 틀린 것은?
- ① ‘기본모델’은 전기적인 회로∙구조∙성능이 동일하고 기능이 유사한 제품군 중 표본이 되는 기자재이다.
- ② ‘무선 송∙수신용 부품’은 차폐된 함체 또는 칩에 내장된 무선 주파수의 발진, 변조 또는 복조, 증폭부 등과 안테나로 구성된다.
- ③ ‘사후관리’는 적합성평가를 받은 기자재가 적합성평가기준대로 제조∙수입 또는 판매되고 있는지 조사 또는 시험하는 것이다.
- ④ ‘디지털 장치’는 7[kHz] 이상의 타이밍 신호 또는 펄스를 발생시키는 회로가 내장되어 있으며, 디지털 신호로 동작되는 기자재이다.
등록된 댓글이 없습니다.
78. 지상파 디지털 텔레비전 방송국의 송신설비에서 안테나공급전력의 허용편차는 상한과 하한에서 각각 몇 [%]씩 허용되는가? (상한 허용치, 하한 허용치)
- ① 5[%], 10[%]
- ② 10[%], 20[%]
- ③ 5[%], 5[%]
- ④ 20[%], 10[%]
등록된 댓글이 없습니다.
79. 비상국 전원의 조건 중 축전지를 사용하는 경우 상시 몇 시간 이상 운용할 수 있어야 하는가?
- ① 8시간
- ② 12시간
- ③ 16시간
- ④ 24시간
등록된 댓글이 없습니다.
80. 다음 괄호 안에 들어간 내용으로 맞는 것은?

- ① 100[㎶/m] 이하
- ② 300[㎶/m] 이하
- ③ 500[㎶/m] 이하
- ④ 700[㎶/m] 이하
등록된 댓글이 없습니다.