9급 지방직 공무원 서울시 전기이론(2021. 6. 5.) 시험일자 : 2021년 6월 5일
1. 전기회로 소자에 대한 설명으로 가장 옳은 것은?
- ① 저항소자는 에너지를 순수하게 소비만 하고 저장하지 않는다.
- ② 이상적인 독립전압원의 경우는 특정한 값의 전류만을 흐르게 한다.
- ③ 인덕터 소자로 흐르는 전류는 소자 양단에 걸리는 전압의 변화율에 비례하여 흐르게 된다.
- ④ 저항소자에 흐르는 전류는 전압에 반비례한다.
등록된 댓글이 없습니다.
2. <보기>의 회로에서 RL부하에 최대 전력 전달이 되도록 저항값을 정하려 한다. 이때, RL부하에서 소비되는 전력의 값[W]은?

- ① 0.8
- ② 1.2
- ③ 1.5
- ④ 3.0
등록된 댓글이 없습니다.
3. 평판형 커패시터가 있다. 평판의 면적을 2배로, 두 평판 사이의 간격을 1/2로 줄였을 때의 정전용량은 원래의 정전용량보다 몇 배가 증가하는가?
- ① 0.5배
- ② 1배
- ③ 2배
- ④ 4배
등록된 댓글이 없습니다.
4. 모선 L에 <보기>와 같은 부하들이 병렬로 접속되어 있을 때, 합성 부하의 역률은?

- ① 0.8(진상, 앞섬)
- ② 0.8(지상, 뒤짐)
- ③ 0.6(진상, 앞섬)
- ④ 0.6(지상, 뒤짐)
등록된 댓글이 없습니다.
5. <보기>의 R, L, C 직렬 공진회로에서 전압 확대율(Q)의 값은? [단, f(femto)=10-15, n(nano)=10-9이다.]

- ① 2
- ② 5
- ③ 10
- ④ 20
등록된 댓글이 없습니다.
6. <보기> 4단자 회로망(two port network)의 Z파라미터 중 Z22의 값[Ω]은?

- ① j
- ② j2
- ③ -j
- ④ -j2
등록된 댓글이 없습니다.
7. 1[μF]의 용량을 갖는 커패시터에 1[V]의 직류 전압이 걸려 있을 때, 커패시터에 저장된 에너지의 값[μJ]은?
- ① 0.5
- ② 1
- ③ 2
- ④ 5
등록된 댓글이 없습니다.
8. 반지름 a[m]인 구 내부에만 전하 +Q[C]가 균일하게 분포하고 있을 때, 구 내 ㆍ 외부의 전계(electric field)에 대한 설명으로 가장 옳지 않은 것은? [단, 구 내 ㆍ 외부의 유전율(permittivity)은 동일하다.]
- ① 구 중심으로부터 r=a/4[m] 떨어진 지점에서의 전계의 크기와 r=2a[m] 떨어진 지점에서의 전계의 크기는 같다.
- ② 구 외부의 전계의 크기는 구 중심으로부터의 거리의 제곱에 반비례한다.
- ③ 전계의 크기로 표현되는 함수는 r=a[m]에서 연속이다.
- ④ 구 내부의 전계의 크기는 구 중심으로부터의 거리에 반비례한다.
등록된 댓글이 없습니다.
9. 길이 1[m]의 철심(μs=1000) 자기회로에 1[mm]의 공극이 생겼다면 전체의 자기 저항은 약 몇 배가 되는가? (단, 각 부분의 단면적은 일정하다.)
- ① 1/2배
- ② 2배
- ③ 4배
- ④ 10배
등록된 댓글이 없습니다.
10. 진공 중에 직각좌표계로 표현된 전압함수가 V=4xyz2[V]일 때, 공간상에 존재하는 체적전하밀도[C/m3]는?
- ① ρ=-2ε0xy
- ② ρ=-4ε0xy
- ③ ρ=-8ε0xy
- ④ ρ=-10ε0xy
등록된 댓글이 없습니다.
11. <보기>와 같이 이상적인 연산증폭기를 이용한 회로가 주어졌을 때, RL에 걸리는 전압의 값[V]은?

- ① -2.0
- ② -1.5
- ③ 2.5
- ④ 3.0
등록된 댓글이 없습니다.
12. 60[Hz]의 교류 발전기 회전자가 균일한 자속밀도(magnetic flux density) 내에서 회전하고 있다. 회전자 코일의 면적이 100[cm2], 감은 수가 100[회]일 때, 유도 기전력(induced electromotive force)의 최댓값이 377[V]가 되기 위한 자속밀도의 값[T]은? (단, 각속도는 377[rad/s]로 가정한다.)
- ① 100
- ② 1
- ③ 0.01
- ④ 10-4
등록된 댓글이 없습니다.
13. <보기>와 같은 회로에서 전류 i(t)에 관한 특성 방정식(characteristic equation)이 s2+5s+6=0 이라고 할 때, 저항 R의 값[Ω]은? (단, i(0)=I0[A], v(0)=V0[V]이다.)

- ① 1
- ② 2
- ③ 3
- ④ 4
등록된 댓글이 없습니다.
14. <보기>와 같은 회로에서 스위치가 충분히 오랜 시간동안 열려 있다가 t=0[s]에 닫혔다. t>0[s]일 때 v(t)=8e-2t[V]라고 한다면, 코일 L의 값[H]은?

- ① 2
- ② 4
- ③ 6
- ④ 8
등록된 댓글이 없습니다.
15. <보기>와 같은 회로에서 ZL에 최대 전력이 전달되기 위한 X의 값[Ω]과 ZL에 전달되는 최대 전력[W]을 순서대로 나열한 것은?

- ① 50, 25
- ② 50, 50
- ③ -50, 25
- ④ -50, 50
등록된 댓글이 없습니다.
16. <보기>의 회로와 같이 △결선을 Y결선으로 환산하였을 때, Z의 값[Ω]은?

- ① 1+j
- ② 1/3+j1/3
- ③ 1/2+j1/2
- ④ 3+j3
등록된 댓글이 없습니다.
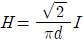
17. <보기>와 같은 한 변의 길이가 d[m]인 정사각형 도체에 전류 I[A]가 흐를 때, 정사각형 중심점에서 자계의 값[A/m]은?

- ①

- ②

- ③

- ④

등록된 댓글이 없습니다.
18. 균일 평면파가 비자성체(μ=μ0)의 무손실 매질 속을 +x방향으로 진행하고 있다. 이 전자기파의 크기는 10[V/m]이며, 파장이 10[cm]이고 전파속도는 1×108[m/s]이다. 파동의 주파수[Hz]와 해당 매질의 비유전율(εr)은?
- ① 파동주파수 : 1×109, εr : 4
- ② 파동주파수 : 2×109, εr : 4
- ③ 파동주파수 : 1×109, εr : 9
- ④ 파동주파수 : 2×109, εr : 9
등록된 댓글이 없습니다.
19. <보기>와 같은 진공 중에 점전하 Q=0.4[μC]가 있을 때, 점전하로부터 오른쪽으로 4[m] 떨어진 점 A와 점전하로부터 아래쪽으로 3[m] 떨어진 점 B 사이의 전압차[V]는? (단, 비례상수 이다.)

- ① 100
- ② 300
- ③ 500
- ④ 1,000
등록된 댓글이 없습니다.
20. <보기>의 회로에서 스위치가 오랫동안 1에 있다가 t=0[s] 시점에 2로 전환되었을 때, t=0[s] 시점에 커패시터에 걸리는 전압 초기치 vc(0)[V]와 t>0[s] 이후 vc(t)가 전압 초기치의 e-1만큼 감소하는 시점[msec]을 순서대로 나열한 것은?

- ① 5, 4.5
- ② 10, 2.5
- ③ 5, 3.0
- ④ 3, 2.5
등록된 댓글이 없습니다.