건설기계설비기사(2010. 3. 7.) 시험일자 : 2010년 3월 7일
1과목 : 재료역학
1. 등분포 하중을 받고 있는 단순보와 잉단 고정보의 중앙점에서의 최대 처짐량의 비는? (단, 보의 굽힘감성 EI는 일정하다.)
- ① 3:1
- ② 5:1
- ③ 24:1
- ④ 48:1
등록된 댓글이 없습니다.
2. 폭 20cm, 높이 30cm의 직사각형 단면을 가진 길이 300cm의 외발보는 자유단에 최대 몇 kN의 하중을 가할 수 있는가? (단, 허용 굽힘응력은 σa=15MPa이다.)

- ① 12
- ② 15
- ③ 30
- ④ 90
등록된 댓글이 없습니다.
3. 길이가 L이고 단면적이 A인 토의 단면에 수직 하중이 작용하고, 작용하중 방향으로 변형률 ε이 발생하였다면 이 봉에 저장된 탄성에너지 U는 어떻게 표현되는가? (단, 봉의 탄성계수는 E이다.)
- ①

- ②

- ③

- ④

등록된 댓글이 없습니다.
4. 지름 3mm의 철사로 평규지름 75mm의 압축코일 스프링을 만들고 하중 10N에 대하여 3cm의 처짐량을 생기게 하려면 감은 회수(n)는 대략 얼마로 해야 하는가? (단, 전단 탄성계수 G=88GPa이다.)
- ① n=8.9
- ② n=8.5
- ③ n=5.2
- ④ n=6.3
등록된 댓글이 없습니다.
5. 직사각형 단면(폭×높이)이 4cm×8cm이고 길이 1m의 외팔보의 전 길이에 6kN/m의 등분포하중이 작용할 때 보의 최대 처짐각은? (단, 탄성계수 E=210GPa이고 보의 자중은 무시한다.)
- ① 0.0028rad
- ② 0.0028°
- ③ 0.0008rad
- ④ 0.0008°
등록된 댓글이 없습니다.
6. 연강 1cm3의 무게는 0.0785N이다. 길이 15m의 둥근 봉을 매달 때 봉의 상단 고정부에 발생하는 인장응력은 몇 kPa인가?
- ① 0.118
- ② 1177.5
- ③ 117.8
- ④ 11890
등록된 댓글이 없습니다.
7. 단면은 폭 5cm×높이 3cm, 길이가 1m의 단순 지지보가 중앙에 집중하중 4kN을 받을 때 발생하는 최대 굽힘응력은 약 몇 MPa인가?
- ① 133
- ② 155
- ③ 143
- ④ 125
등록된 댓글이 없습니다.
8. 최대 사용강도(σmax)=240MPa, 지름 1.5m, 두께 3mm의 강재 원통형 용기가 견딜 수 있는 최대 압력은 몇 kPa인가? (단, 안전계수(SF)는 2이다.)
- ① 240
- ② 480
- ③ 960
- ④ 1920
등록된 댓글이 없습니다.
9. 그림과 같은 돌출보가 있다. ωℓ=P일 때 이 보의 중앙점에서 굽힘 모멘트가 0이 되기 위한 길이의 비 a/ℓ는? (단, 보의 자중은 무시한다.)

- ① 1/4
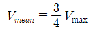
- ② 1/8
- ③ 1/16
- ④ 1/24
등록된 댓글이 없습니다.
10. 주응력에 대한 설명 중 틀린 것은?
- ① 주응력 상태에서 전단응력은 0 이다.
- ② 주응력은 전단응력이다.
- ③ 최대 전단응력은 주응력의 최대, 최소값의 평균치이다.
- ④ 평면응력에서 주응력은 2개이다.
등록된 댓글이 없습니다.
11. 단면적이 같은 원형과 정사각형의 단면 계수의 비는?
- ① 1:0.509
- ② 1:1.18
- ③ 1:2.36
- ④ 1:4.68
등록된 댓글이 없습니다.
12. 지름 7mm, 길이 250mm인 연강 시험편으로 비틀림 실험을 하여 얻은 결과, 토크 4.08Nㆍm에서 비틀림 각이 8°로 기록되었다. 이 재료의 전단 탄성계수는 약 몇 GPa인가?
- ① 64
- ② 53
- ③ 41
- ④ 31
등록된 댓글이 없습니다.
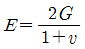
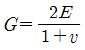
13. 어떤 탄성재료의 탄성계수 E와 전단 탄성계수 G사이에 성립하는 관계식으로 맞는 것은? (단, v는 재료의 포아송(Poisson)비이다.)
- ① E=2(1+v)G
- ② G=2(1+v)E
- ③

- ④

등록된 댓글이 없습니다.
14. 그림과 같은 구조물에 1000N의 물체가 매달려 있을 때 두 개의 감선 AB와 AC에 작용하는 힘의 크기는 약 몇 N 인가?

- ① AB=707, AC=500
- ② AB=732, AC=897
- ③ AB=500, AC=707
- ④ AB=897, AC=732
등록된 댓글이 없습니다.
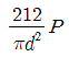
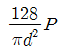
15. 지름 d의 축에 암(arm)을 달고, 그림과 같이 하중 P를 가할 때 축에 발생되는 최대 비틀림 전단응력은?

- ①

- ②

- ③

- ④

등록된 댓글이 없습니다.
16. 그림과 같이 길이가 동일한 2개의 기둥 상단에 중심 압축 하중 2500N이 작용할 경우 전체 수축량은 약 몇 mm인가? (단, 단면적 A1=1000mm2, A2=2000mm2, 길이 L=300MM, 재료의 탄성계수 E=90GPa이다.)

- ① 0.625
- ② 0.0625
- ③ 0.00625
- ④ 0.000625
등록된 댓글이 없습니다.
17. 반지름 r인 원형 단면의 단순보에 전단력 F가 가해졌다면 이 때 단순보에 발생하는 최대 전단응력은?
- ①

- ②

- ③

- ④

등록된 댓글이 없습니다.
18. 길이 15m, 지름 10mm의 강봉에 8kN의 인장 하중을 걸었더니 탄성 변형이 생겼다. 이 때 늘어난 길이는? (단, 이 강재의 탄성계수 E=210GPa이다.)
- ① 7.3mm
- ② 7.3mm
- ③ 0.73mm
- ④ 0.073mm
등록된 댓글이 없습니다.
19. 다음 중 기둥의 좌굽에 대한 설명으로 옳은 것은?
- ① 좌굴이란 기둥이 압축하중을 받아 길이 방향으로 변위되는 현상을 말한다.
- ② 도심에 압축하중이 작용하는 기둥의 좌굴은 안정성과 관련되어 있다.
- ③ 좌굴에 대한 임계하중은 길이가 긴 기둥일수록 커진다.
- ④ 편심 압축하중을 받는 기둥에서는 하중이 커져도 길이 방향 변위만 발생한다.
등록된 댓글이 없습니다.
20. 그림과 같이 전체 길이가 3L인 외팗에 하중 P가 B점과 C점에 작용할 때 자유단 B에서의 처짐량은? (단, 보의 굽힘강성 EI는 일정하고, 자충은 무시한다.)

- ①

- ②

- ③

- ④

등록된 댓글이 없습니다.
2과목 : 기계열역학
21. 단순압축성 물질의 압력-체적-온도사이의 관계식을 나타내는 상태방정식 Pv=RI에 대한 다음 설명 중 잘못된 것은?
- ① 이상 기체의 저용할 때 정확한 결과를 얻는다.
- ② 압력이 충분히 높은 기체에 적용할 때 정확한 결과를 얻는다.
- ③ 밀도가 충분히 낮은 기체에 적용할 때 정확한 결과를 얻는다.
- ④ 분자 사이에 작용하는 힘이 없다고 가정할 수 있는 기체에 적용할 때 정확한 결과를 얻는다.
등록된 댓글이 없습니다.
22. 상온의 감자를 가열하여 뜨거운 감자로 요리하였다. 감자의 에너지 변동중 맞는 것은?
- ① 위치에너지가 증가
- ② 엔탈피 감소
- ③ 운동에너지 감소
- ④ 내부에너지가 증가
등록된 댓글이 없습니다.
23. 보일러 입구의 압력이 9800kN/m2이고, 복수기의 압력이 4900N/m2일 때 펌프 일은 약 몇 kJ/kg인가? (단, 물의 비체적은 0.001m3/kg이다.)
- ① -9.79
- ② -15.17
- ③ -87.25
- ④ -180.52
등록된 댓글이 없습니다.
24. 다음 그림은 열교환기를 흐름 배열(flow arrangement)에 따라 분류한 것이다. 맞는 것은?

- ① 평행류
- ② 대향류
- ③ 병행류
- ④ 직교류
등록된 댓글이 없습니다.
25. 절대압력 100kPa, 온도 100℃인 상태에 있는 수소의 비체적(m3/kg)은? (단, 수소의 분자량은 2이고, 일반기체상수는 8.3145kJ/이다.)
- ① 약 15.5
- ② 약 0.42
- ③ 약 3.16
- ④ 약 0.84
등록된 댓글이 없습니다.
26. 분자량이 29이고, 정압비열이 1005J/kgㆍK인 기체의 기체상수는 약 몇 J/kgㆍK인가? (단, 일반기체상수는 8314.5J/이다.)
- ① 976
- ② 287
- ③ 34.7
- ④ 29.3
등록된 댓글이 없습니다.
27. 다음의 열역학 상태량 중 종량적 상태량은?
- ① 압력
- ② 체적
- ③ 온도
- ④ 밀도
등록된 댓글이 없습니다.
28. 어느 열기관이 33kW의 일을 발생할 때 1시간 동안의 일을 열량으로 환산하면 약 얼마인가?
- ① 83600kJ
- ② 104500kJ
- ③ 118800kJ
- ④ 988780kJ
등록된 댓글이 없습니다.
29. 내부에너지가 40kJ, 절대압력이 200kPa, 체적이 0.1m3, 절대온도가 300K인 계의 엔탈피는 약 몇 kJ인가?
- ① 42
- ② 60
- ③ 80
- ④ 240
등록된 댓글이 없습니다.
30. 500W의 전열기로 4kg의 물을 20℃에서 90℃까지 가열하는데 몇 분이 소요되는가? (단, 전열기에서 열은 전부 온도 상승에 사용된다. 물의 비열은 4180J/kgㆍK이다.)
- ① 16
- ② 27
- ③ 39
- ④ 45
등록된 댓글이 없습니다.
31. 흑체의 온도가 20℃에서 80℃3로 되었다면 방사하는 복사 에너지는 약 몇 배가 되는가?
- ① 1.2
- ② 2.1
- ③ 4.0
- ④ 5.0
등록된 댓글이 없습니다.
32. 반데발스(van der Waals)의 상태 방정식은 로 표시된다. 이 식에서 는 각각 무엇을 고려하는 상수인가?
- ① 분자간의 작용 인력, 분자간의 거리
- ② 분자간의 작용 인력, 분자 자체의 부피
- ③ 분자 자체의 중량, 분자간의 거리
- ④ 분자 자체의 중량, 분자 자체의 부피
등록된 댓글이 없습니다.
33. 다음과 같은 온도범위에서 작동하는 카르노(Carnot)사이클 열기관이 있다. 이 중에서 효율이 가장 좋은 것은?
- ① 0℃ 와 100℃
- ② 100℃ 와 200℃
- ③ 200℃ 와 300℃
- ④ 300℃ 와 400℃
등록된 댓글이 없습니다.
34. 고체에 에너지를 전달하여 온도를 높이는 여러가지 방법들 중에서 전달되는 에너지가 일이 아닌 것은?
- ① 프레스로 소성 변형시킨다.
- ② 전원을 연결하여 전류를 통과시킨다.
- ③ 자기장을 가하여 자화시킨다.
- ④ 강력한 빛을 쪼인다.
등록된 댓글이 없습니다.
35. 체적이 D 1m3인 튼튼한 밀폐 용기에 물이 50kg 들어있으며 그 압력은 100kPa이다. 이 포화상태의 물을 가열할 경우 일어나는 변화로 알맞은 것은? (단, 물의 임계점에서의 비체적은 0.003155m3/kg이고 100kPa에서의 포회수 및 포화증기의 비체적은 각각 0.001043m3/kg, 1.694m3/kg 이다.)
- ① 기화가 일어나 수증기로 바뀌면서 압력과 온도가 올라간다.
- ② 응축이 일어나 액체 상태로 바뀌면서 압력과 온도가 올라간다.
- ③ 액체와 증기의 비율이 그대로 유지된 채로 압력과 온도가 올라간다.
- ④ 기화가 일어나 수증기로 바뀌면서 압력과 온도는 그대로 유지된다.
등록된 댓글이 없습니다.
36. 입력 250kPa, 체적 0.35m3의 공기가 일정 압력 하에서 팽창하여, 체적이 0.5m3로 되었다. 이때의 내부에너지의 증기가 93.9kJ이었다면, 팽창에 필요한 열량은 약 몇 kJ인가?
- ① 43.8
- ② 56.4
- ③ 131.4
- ④ 175.2
등록된 댓글이 없습니다.
37. 잘 단열된 노즐에서 공기가 0.45MPa에서 0.15MPa로 팽창한다. 노즐 입구에서 공기의 속도는 50m/s, 온도는 150℃이며 출구에서의 온도는 45℃이다. 출구에서의 공기의 속도는? (단, 공기이 정압비열과 정적비열은 1.0035kJ/kgㆍK, 0.7165kJ/kgㆍK이다.)
- ① 약 350m/s
- ② 약 363m/s
- ③ 약 455m/s
- ④ 약 462m/s
등록된 댓글이 없습니다.
38. 고온열원(T1)과 저온열원(T2)사이에서 역카르노 사이클에 의한 열펌프(heat pump)의 성능계수는?
- ① (T1-T2)/T1
- ② T2/(T1-2)
- ③ T1/(T1-T2)
- ④ (T1-T2)/T2
등록된 댓글이 없습니다.
39. 이상기체 1kg이 가역동물 과정에 따라 P1-2kPa, V1=0.1m3로부터 VZ=0.3m3로 변화했을 때 기체가 한 일은 몇 주물(J)인가?
- ① 9540
- ② 2200
- ③ 954
- ④ 220
등록된 댓글이 없습니다.
40. 그림은 압력-온도선도이다. 다음 설명 중 틀린 것은?

- ① (A)는 고체, (B)는 액체, (C)는 기체이다.
- ② (D)는 상중점으로 물의 경우 압력은 대기압보다 낮다.
- ③ (E)는 임계점이다.
- ④ 융해곡선으로서 물은 파선 F에, 그 밖의 대부분의 물질은 실선 G에 해당한다.
등록된 댓글이 없습니다.
3과목 : 기계유체역학
41. 안지름 0.1m의 관로에서 관 벽의 마찰 손실수두가 속도 수두와 같다면 그 관로의 길이는 몇 m 인가? (단, 관마찰계수 f=0.03이다.)
- ① 1.58
- ② 2.54
- ③ 3.33
- ④ 4.52
등록된 댓글이 없습니다.
42. 유량 5m3/min, 속도 9m/s, 비중 1인 물 제트가 고정된 평면 판에 수직으로 충돌하고 있는 경우 평면 판에 작용하는 힘은 몇 N인가?
- ① 45
- ② 450
- ③ 750
- ④ 7500
등록된 댓글이 없습니다.
43. 그림과 같은 단면적 1m2인 탱크에 설치된 노즐이 수두1m에서의 유량 Q를 2배로 하기 위해서는 수면 상에 몇 kg정도의 피스톤을 놓아야 하는가?

- ① 1000
- ② 2000
- ③ 3000
- ④ 4000
등록된 댓글이 없습니다.
44. 유체 속에 잠겨있는 경사진 관의 윗면에 작용하는 압력 힘의 작용점에 대한 설명 중 맞는 것은?
- ① 관의 도심보다 위에 있다.
- ② 관의 도심에 있다.
- ③ 관의 도심보다 아래에 있다.
- ④ 관의 도심과는 관계가 없다.
등록된 댓글이 없습니다.
45. 그림과 같이 관로에서 액주계가 설치되어 있을 때 공기의 속도는 약 몇 m/s인가? (단, 공기의 밀도는 1.23kg/m3이다.)

- ① 1.4
- ② 28.2
- ③ 39.9
- ④ 44.3
등록된 댓글이 없습니다.
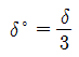
46. 평판을 지나는 경계층 유동에서 속도 분포가 경계층 바깥에서의 균일 속도, 경계층 내에서는 벽으로부터의 거리의 1차함수라고 가정하면 배제두께(displacement thickness) δ°와 경계층의 두께 δ의관계는?
- ①

- ②

- ③

- ④

등록된 댓글이 없습니다.
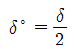
47. 어떤 액체의 밀도가 액체 표면으로부터 길이(h)에 따라 선형으로 변화할 때 (ρ=ρo+Kh, ρo=액체표면에서의 밀도, K=상수) 깊이에 따른 압력을 식으로 표현하면?

- ①

- ②

- ③

- ④

등록된 댓글이 없습니다.
48. 그림과 같이 속도의 크기 U로 x축과 임의의 각도 α를 가지고 흐느는 균일 직선유동에 대한 유동함수(stream function) ⍦를 극좌표 r, θ로 나타낸 것은?
- ① ⍦=Ursin(θ-α)
- ② ⍦=Ursin(α-θ)
- ③ ⍦=Urcos(θ-α)
- ④ ⍦=Urcos(α-θ)
등록된 댓글이 없습니다.
49. 절대압력을 정하는데 기준(영점)이 되는 것은?
- ① 게이지압력
- ② 표준대기압
- ③ 국소대기압
- ④ 완전진공
등록된 댓글이 없습니다.
50. 원심 펌프로 기름을 압송한다. 이 펌프의 회전수는 1000rpm이고, 기름의 동점성계수는 7×10-4m2이다. 이 펌프의 모형을 만들어서 1.56×10-4m2/s의 동점성계수를 갖는 공기를 이용하여 모형 실험을 하려고 한다. 모형 펌프의 지름을 원형 펌프의 3배로 하였을 때 모형 펌프의 회전수는 약 몇 rpm인가?
- ① 20
- ② 25
- ③ 30
- ④ 35
등록된 댓글이 없습니다.
51. 밀도가 500kg/m3면 원기둥이 1/3만큼 액체면 위로 나온 상태로 떠있다. 이 액체의 비중은?
- ① 0.33
- ② 0.5
- ③ 0.75
- ④ 1.5
등록된 댓글이 없습니다.
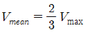
52. 나란한 두개의 평판 사이의 층류 유동엣 속도 분포는 포물선 형태를 보인다. 평균 속도(Vmean)와 중심에서의 최대 속도(Vmax)의 관계는?
- ①

- ②

- ③

- ④

등록된 댓글이 없습니다.
53. 지름이 1cm인 원통 관에 0℃의 물이 흐르고 있다. 평균 속도가 1.2m/s이고, 0℃물의 동점성계수가 1.788×10-6m2/s일 때, 이 흐름의 레이놀즈 수는?
- ① 2356
- ② 4282
- ③ 6711
- ④ 7801
등록된 댓글이 없습니다.
54. 다음의 속도장 중에서 연속방정식을 만족시키는 유체의 흐름은 어느 것인가? (단, u는 x방향의 속도성분, v는 y방향의 속도성분)
- ① u=2x2-y2, v=-2xy
- ② u=x2-y2, v=-4xh
- ③ u=x2-y2, v-2xy
- ④ u=x2-y2, v—2xy
등록된 댓글이 없습니다.
55. 에너지의 차원을 옳게 표시한 것은? (단, F:힘, M:질량, L:거리, T:시간)
- ① [ML]
- ② [FLT-1]
- ③ [ML2T2]
- ④ [MLT-2]
등록된 댓글이 없습니다.
56. 어떤 기름의 점성계수가 1.6×102Nㆍs/m2이고 밀도는 800kg/m3이다. 이 기름의 동점성계수는 몇 m2/s인가?
- ① 2.0×10-2
- ② 2.0×10-3
- ③ 2.0×10-4
- ④ 2.0×10-5
등록된 댓글이 없습니다.
57. 내경 30cm의 원 관 속을 절대압력 0.32MPa, 온도 27℃인 공기가 4kg/s로 흐를 때 이 원 관속을 흐르는 공기의 평균 속도는 약 몇 m/s인가? (단, 공기의 기체상수 R=287J/kgㆍK’이다.)
- ① 15.2
- ② 20.3
- ③ 25.2
- ④ 32.5
등록된 댓글이 없습니다.
58. 에너지선(Energy Line)에 관한 설명으로 옳지 않은 것은?
- ① 위치수두+정압수두+등압수두를 연결한 선이다.
- ② 에너지선의 높이는 피토관을 사용하여 정체압을 측정함으로써 얻을 수 있다.
- ③ 수력기술기선보다 정압수두 만큼 크다.
- ④ 관로를 따라서 위치에 따라른 전체 수두를 시각적으로 볼 수 있다.
등록된 댓글이 없습니다.
59. 다음 중 무차원 항이 아닌 것은?
- ① Reynolds 수
- ② 양력계수
- ③ 비중
- ④ 음속
등록된 댓글이 없습니다.
60. 지름 8츠의 구가 공기 중을 20m/s의 속도로 운동할 때 항력은 약 몇 N인가? (단, 공기 밀도는 1.2kg/m3, 항력계수는 CD는 0.6이다.)
- ① 0.724
- ② 7.24
- ③ 72.4
- ④ 0.0724
등록된 댓글이 없습니다.
4과목 : 유체기계 및 유압기기
61. 이소옥탄 100mL와 노말 헵탄 20mL를 혼합한 연료의 옥탄가는?
- ① 약 80
- ② 약 17
- ③ 약 20
- ④ 약 83
등록된 댓글이 없습니다.
62. 연소실의 최대체적이 50cc, 최소체적이 20cc, 회전 피스톤의 수가 3개인 로터리 기관의 총배기량은?
- ① 90cc
- ② 120cc
- ③ 180cc
- ④ 210cc
등록된 댓글이 없습니다.
63. 가솔린기관에서 혼합비가 농후할 때 일어날 수 잇는 사항이 아닌 것은?
- ① 기관의 회전이 불규칙해진다.
- ② 배기가스 색이 흑색이다.
- ③ 기관이 과열된다.
- ④ 점화플러그 전극이 백색이다.
등록된 댓글이 없습니다.
64. 디젤기관에서 시비데 사이클의 열효율을 디젤 사이클의 열효율로 바꾸려면? (단, 차단비 : σ, 압력상승비 : ρ)
- ① 압력상승비(ρ)를 0으로 한다.
- ② 차단비(σ)를 0으로 한다.
- ③ 압력상승비를 1로 한다.
- ④ 차단비를 1로 한다.
등록된 댓글이 없습니다.
65. 디젤기관의 연소과정과 운전특성에 영향을 주는 요소로 가장 거리가 먼 것은?
- ① 연료 분사량
- ② 연료 분사시기
- ③ 배기가스 재순활율
- ④ 연소실의 종류
등록된 댓글이 없습니다.
66. P-V 선도에서 단열변화를 나타내는 식은?
- ① pv = 일정
- ② pvk = 일정
- ③ pvk-1 = 일정
- ④ pvk+1 = 일정
등록된 댓글이 없습니다.
67. 크랭크 축이 갖추어야 할 조건이 아닌 것은?
- ① 내피로성
- ② 하중 부담능력
- ③ 내부식성
- ④ 인장성
등록된 댓글이 없습니다.
68. 밸브 작동기구에서 DOHC 다이렉트형식 기관의 특징이 아닌 것은?
- ① 흡배기효율을 향상시킬 목적으로 4밸브를 많이 사용한다.
- ② 실린더헤드의 구조가 복잡하다.
- ③ 밸브의 경사각도, 흡배기 포트의 형상, 점화플러그의 설치 등이 양호하여 출력이 향상된다.
- ④ 밸브 스템 엔드위에 설치된 스윙 암을 통하여 밸브를 개폐시킨다.
등록된 댓글이 없습니다.
69. 디젤기관의 최고출력이 가솔린기관에 비해 낮은 이유는?
- ① 압축압력이 높기 때문
- ② 기관의 중량이 가볍기 때문
- ③ 항상 공기 부족상태이기 때문
- ④ 최고 회전속도를 높일 수 없기 때문
등록된 댓글이 없습니다.
70. 이론 평균 유효압력을 Pmlh, 도시평균 유효압력을 Pml, 체통평균 유효압력을 Pmb라 할 때, 압력이 큰 것부터 바르게 나열한 것은?
- ① Pmlh > Pml > Pmb
- ② Pml > Pmlh > Pmb
- ③ Pmb > Pmlh > Pml
- ④ Pml > Pmb > Pmlh
등록된 댓글이 없습니다.
71. 점성계수(coeflicient of viscosity)는 성질이다. 점성이 지나치게 큰 경우 유압기기에 나타나는 현상이 아닌 것은?
- ① 유동 저항이 지나치게 커진다.
- ② 마찰에 의한 동력손실이 증대된다.
- ③ 밸브나 파이프를 통과할 때 압력 손실이 커진다.
- ④ 부품 사이에 윤활 작용을 하지 못한다.
등록된 댓글이 없습니다.
72. 다음 중 유압이 140kgf/cm2이고, 토출량이 200L/min 이상의 고압 대유량에 사용하기에 가장 적당한 펌프는?
- ① 회전 피스톤 펌프
- ② 기어 펌프
- ③ 욍복동 펌프
- ④ 베인 펌프
등록된 댓글이 없습니다.
73. 1회전 유량이 40cc인 베인모터가 있다. 공급 유압을 600N/cm2, 유량을 30L/min으로 할 때 발생할 수 있는 최대 토크(torgue)는 약 몇 Nㆍm 인가?
- ① 28.2
- ② 38.2
- ③ 48.2
- ④ 58.2
등록된 댓글이 없습니다.
74. 그림과 같은 유압 회로도에서 릴리프 밸브는?

- ① Ⓐ
- ② Ⓑ
- ③ Ⓒ
- ④ Ⓓ
등록된 댓글이 없습니다.
75. 관(튜브)의 끝을 넓히지 않고 관과 슬리브의 막힘, 또는 마찰에 의하여 관을 유지하는 관 이음쇠는?
- ① 플랜지 관 이음쇠
- ② 스위블 이음
- ③ 플레어드 관 이음쇠
- ④ 플레어리스
등록된 댓글이 없습니다.
76. 유압 작동유가 구비하여야 할 조건 설명으로 틀린 것은?
- ① 넓은 온도 변화에 대하여 점도 변화가 작을 것
- ② 적합한 유막 강도가 있고 윤활성이 좋을 것
- ③ 열을 잘 방출할 수 있을 것
- ④ 공기의 용해도가 많을 것
등록된 댓글이 없습니다.
77. 압력 제어 밸브들로만 구성되어 있는 것은?
- ① 릴리프 밸브, 무부하 밸브, 스로틀 밸브
- ② 무부하 밸브, 체크 밸브, 감압 밸브
- ③ 셔틀 밸브, 릴리프 밸브, 시퀀스 밸브
- ④ 카운터 밸런스 밸브, 시퀀스 밸브, 릴리프 밸브
등록된 댓글이 없습니다.
78. 그림과 같은 유압ㆍ공기압기호의 명칭은?

- ① 유압전도장치
- ② 정용량형 펌프ㆍ모터
- ③ 차동실린더
- ④ 가변용량형 펌프ㆍ모터
등록된 댓글이 없습니다.
79. 유압기기 중 오일의 점성을 이용한 기계, 유속을 이용한 기계, 팽창 수축을 이용한 기계로 분류할 때 정성을 이용한 기계로 가장 적합한 것은?
- ① 토크 컨버터(torque converter)
- ② 쇼크 업소버(shock absorber)
- ③ 압력계(pressure gage)
- ④ 진공 개폐 밸브(vacuum open-closed valve)
등록된 댓글이 없습니다.
80. 구조가 간단하며 값이 싸고 유입유 중의 이물질에 의한 고장이 생기기 어렵고 가득한 조건에 잘 견디는 유압모터로 가장 적합한 것은?
- ① 베인 모터
- ② 기어 모터
- ③ 액시얼 피스톤 모터
- ④ 레이디얼 피스톤 모터
등록된 댓글이 없습니다.
5과목 : 건설기계일반 및 플랜트배관
81. 머시닝센터의 프로그램시 테이블 이송과 관련이 가장 적은 것은?
- ① G00
- ② G01
- ③ G03
- ④ G04
등록된 댓글이 없습니다.
82. 주조품 제조 시 사용하는 모험(pattern)의 분류 방법 중 구조에 따라 분류할 때 이에 속하지 않는 것은?
- ① 목형(wood pattern)
- ② 골조 모형(skeleton pattern)
- ③ 코어 모형(core pattern)
- ④ 현형(solid pattern)
등록된 댓글이 없습니다.
83. 강의 표면 경화법에 해당 되지 않는 것은?
- ① 화염경화법
- ② 탈탄법
- ③ 질화법
- ④ 청화법(시안화법)
등록된 댓글이 없습니다.
84. 최소 측정값이 120mm인 버니어캘리퍼스에 대한 설명으로 옳은 것은?
- ① 본척의 최소 눈금이 1mm, 부척의 1눈금은 12mm를 25등분한 것
- ② 본척의 최소 문금이 1mm, 부척의 1눈금은 19mm를 20등분한 것
- ③ 본척의 최소 눈금이 0.5mm, 부척의 1눈금은 19mm를 25등분한 것
- ④ 본척의 최소 눈금이 0.5mm, 부척의 1눈금은 24mm를 20등분한 것
등록된 댓글이 없습니다.
85. M6×1.0 의 나사에서 탭(tap)을 가공하고자 할 때 가장 적당한 드릴의 지름은?
- ① 7mm
- ② 6mm
- ③ 5mm
- ④ 4mm
등록된 댓글이 없습니다.
86. 분괴압연 작업에서 만들어진 강편으로서 4각형 또는 정방형 단면의 소재로서 250mm×250mm에서 450mm×450mm정도의 크기를 갖는 비교적 큰 재료의 명칭은?
- ① 블롬(bloom)
- ② 슬래브(slab)
- ③ 빌릿(billet)
- ④ 플랫(flat)
등록된 댓글이 없습니다.
87. 만네스만 압연기와 유사한 방법으로 파이프의 지름을 확대 하는데 많이 이용하는 그림과 같은 구조로 되어 있는 것은?

- ① 플러그밀(Plugmill)
- ② 필거 압연기(Pilger mill)
- ③ 스티펠 천공기(Stiefel piercer)
- ④ 마관기(Reeling machine)
등록된 댓글이 없습니다.
88. 용접부의 결함을 검사하는 방법 중 파괴시험법에 속하는 것은?
- ① 외관시험
- ② 초음파 탐상시험
- ③ 피로시험
- ④ 음향시험
등록된 댓글이 없습니다.
89. 공구연삭기에 A60N5V의 연삭숫돌을 고정하였다. 숫돌의 지름 300mm, 회전수가 1800rpm일 때 숫돌의 원주속도는 몇 m/min정도인가?
- ① 약 1321.2
- ② 약 1450.3
- ③ 약 1625.5
- ④ 약 1696.5
등록된 댓글이 없습니다.
90. 다음 중 구멍의 내면을 가장 정밀하게 가공하는 방법은?
- ① 드릴링(drilling)
- ② 소양(sawing)
- ③ 펀칭(punching)
- ④ 호닝(honing)
등록된 댓글이 없습니다.
91. 36% Ni 성분을 지니는 Fe-Ni 합금으로 상온에서 열팽창율이 탄소강의 약 1/10에 불과하여 불변강에 해당하는 합금은?
- ① 쾌삭감
- ② 인바(Invar)
- ③ 단조감
- ④ 서멧(Cermet)
등록된 댓글이 없습니다.
92. 아스팔트 피니서에서 노면에 살포된 아스팔트 혼합재를 매끈하게 다듬질하는 판에 해당하는 것은?
- ① 스크리드
- ② 리시빙 호퍼
- ③ 피더
- ④ 스프레이팅 스크루
등록된 댓글이 없습니다.
93. 모터그레이더의 주행동력 전달순서로 가장 적합한 것은?
- ① 엔진(기관)→클러치→변속기→감속기어→피니언 베벨기어→탠덤 드라이브→휠
- ② 엔진(기관)→클러치→변속기→피니언베벨기어→감속기어→탠덤드라이브→휠
- ③ 엔진(기관)→클러치→변속기→감속기어→탠덤드라이브→피니언 베벨기어→휠
- ④ 엔진(기관)→클러치→피니언 베벨기어→변속기→감속기어→탠덤 드라이브→휠
등록된 댓글이 없습니다.
94. 건설기계관리법에 따라 건설기계의 소유자는 그 건설기계에 대하여 국토해양부령으로 정하는 바에 따라 국토해양부 장관이 실시하는 검사를 받아야 한다. 이 때 검사 대상에 해당하는 건설기계에 해당하지 않는 것은?
- ① 정격하중 6톤 타워 크레인
- ② 자체중량 3톤의 로더
- ③ 무한궤도식 불도저
- ④ 적재용량 10톤 덤프트럭
등록된 댓글이 없습니다.
95. 1개의 안내륜(전륜)과 2개의 구동륜(후륜을 가지고 있고, 3개의 바퀴가 삼각형 형태로 이루어져 있으며 일반적으로 중량 6~15ton, 다짐 폭 1600~2080mm이며 자갈, 모래, 흙 등을 다지는데 효과적이나 아스팔트의 마지막 다짐에는 사용하기 힘든 롤러는?
- ① 머캐덤 롤러(macadam roller)
- ② 텐덤 롤러(tandem roller)
- ③ 탬핑 롤러(tamping roller)
- ④ 타이어 롤러(tire roller)
등록된 댓글이 없습니다.
96. 셔블계 굴착기의 어태치먼트에 따라 할 수 있는 작업으로 거리가 먼 것은?
- ① 크레인 작업
- ② 콘크리트 포설
- ③ 어드(earth)드릴 작업
- ④ 기둥박기 작업
등록된 댓글이 없습니다.
97. 도저로 작업 시 슬롯 압토법(홉 송트법)을 하는 목적으로 가장 가까운 것은?
- ① 토사를 빨리 적재하기 위하여
- ② 토사가 흘러넘치는 것을 방지하기 위하여
- ③ 토사를 고르게 다지기 위하여
- ④ 토사 파기를 빨리 하기 위하여
등록된 댓글이 없습니다.
98. 모터 그레이더의 중량이 17톤이다. 제동초속도가 26km/h일 때 성능 기준상 제동거리는 몇 m 이내 이어야 하는가?
- ① 6.9
- ② 9.0
- ③ 11.4
- ④ 14.6
등록된 댓글이 없습니다.
99. 건설기계 장치에서 그 성격이 다른 것은?
- ① 백호
- ② 지게차
- ③ 클램셸
- ④ 드래그 라인
등록된 댓글이 없습니다.
100. 기중기(crane)의 주요 작업장치 중 트랜치 호(trenchhoe)의 용도로 가장 적합한 것은?
- ① 배수로 작업, 굴토 작업, 송유관 매설 작업
- ② 건물의 기둥박기, 교량의 교주 항타 작업
- ③ 토사적재, 수직굴토, 오물제거, 수중 굴착 작업
- ④ 제방 및 배수로 구축작업, 토사 적재 작업
등록된 댓글이 없습니다.