사무자동화산업기사(2001. 9. 23.) 시험일자 : 2001년 9월 23일
1과목 : 사무자동화 시스템
1. 맨머신 인터페이스에 대한 설명으로서 옳지 않은 것은?
- ① 인간이 기계를 조작하거나 이용하는 부분으로 상호간의 의사전달이 이루어진다.
- ② 인간이 기계를 이용할 때 인간과 기계사이의 연결 부분이다.
- ③ LAN, 저장 및 처리 기술로 이루어진다.
- ④ 입력, 출력 및 이들 기기의 이용 소프트웨어 기술로 이루어진다.
등록된 댓글이 없습니다.
2. 사무자동화 시스템의 최적화를 위해 내부 환경분석을 하는데, 이 때 분석되는 사항이 아닌 것은?
- ① 인적 사항
- ② 사무구조에 대한 사항
- ③ 통신에 관한 사항
- ④ 사무기기에 대한 사항
등록된 댓글이 없습니다.
3. 다음 중 출력매체의 장점을 잘못 설명한 것은?
- ① 디스크는 저장될 정보량에 비해서 저가이며 판독이 쉽다.
- ② 자기테이프는 입출력 사용이 가능하다.
- ③ 종이테이프는 입출력으로 사용할 수 있다.
- ④ 프린트 용지는 사용자가 읽기 쉽고 기록으로 참고자료가 된다.
등록된 댓글이 없습니다.
4. 컴퓨터 중앙처리장치의 구성요소에 포함되지 않는 것은?
- ① 주기억장치(Memory)
- ② 산술 및 논리연산장치(ALU)
- ③ 하드디스크(HDD)
- ④ 제어장치(Control Unit)
등록된 댓글이 없습니다.
5. 사무자동화 구현 시 기대되는 효과가 아닌 것은?
- ① 개인의 능력이 향상된다.
- ② 의사결정을 신속히 할 수 있다.
- ③ 정보획득 시간이 길어진다.
- ④ 공간을 효율적으로 사용할 수 있다.
등록된 댓글이 없습니다.
6. 연산장치의 구성요소가 아닌 것은?
- ① 가산기
- ② 감산기
- ③ 누산기
- ④ 레지스터
등록된 댓글이 없습니다.
7. 인텔리전트빌딩에 관한 내용 중 설명이 부적당한 것은?
- ① 최대의 목표는 인간의 능력을 최대로 발휘할 수 있는 이상적인 환경의 창조에 있다.
- ② 정보통신시스템, 사무자동화시스템, 빌딩관리시스템, 환경관리시스템, 보안시스템 등으로 구성된다.
- ③ 개방시스템으로 구성된 개인이나 개별 사무와 기업 등의 사무처리가 폐쇄시스템으로 변환된다.
- ④ 사무 생산성의 향상, 사무작업의 노동생활 향상을 가져올 수 있다.
등록된 댓글이 없습니다.
8. POS(Point of Sales System)의 가장 적합한 설명은?
- ① 우편물 배달관리
- ② 판매시점 정보관리
- ③ 고객만족 정보관리
- ④ 비디오 대여관리
등록된 댓글이 없습니다.
9. 사무자동화의 발생 배경요인에 대한 설명 중 알맞지 않은 것은?
- ① 오피스 부문의 저생산성
- ② 사무근로자 및 문서의 감소 추세
- ③ 정보산업으로의 발전 및 확대
- ④ 컴퓨터 하드웨어와 소프트웨어의 급진적인 발달추세
등록된 댓글이 없습니다.
10. 다음 중 데이터베이스 모형에 들지 않는 것은?
- ① 관계형 데이터베이스
- ② 정규형 데이터베이스
- ③ 계층형 데이터베이스
- ④ 네트워크형 데이터베이스
등록된 댓글이 없습니다.
11. 사무자동화 사무부문의 생산성 향상의 접근방법이 아닌 것은?
- ① 사람, 조직 개편
- ② 사무작업 개선
- ③ 정보시스템 확립
- ④ 전통적인 사무실 배치
등록된 댓글이 없습니다.
12. 의사결정에 필요한 정보를 데이터베이스로부터 검색하여 필요한 분석을 행하고 보기 쉬운 형태로 편집, 출력해 주는 시스템을 무엇이라 하는가?
- ① 전략정보시스템(SIS)
- ② 경영정보시스템(MIS)
- ③ 전자출판시스템(DTP)
- ④ 의사결정지원시스템(DSS)
등록된 댓글이 없습니다.
13. 사무자동화를 지지하는 3대 주요 기본기술이 아닌 것은?
- ① 통신기술
- ② 사무관리기술
- ③ 소프트웨어기술
- ④ 하드웨어기술
등록된 댓글이 없습니다.
14. 인간의 행동을 예측, 제어하는 것으로 사무자동화에 적용되는 행동 과학의 요소로서 적합지 않은 것은?
- ① 사회학
- ② 행정학
- ③ 심리학
- ④ 인류학
등록된 댓글이 없습니다.
15. 기억장치의 접근속도가 빠른 순으로 배열한 것 중 맞는 것은?
- ① 주기억장치 - 캐쉬 - 보조기억장치
- ② 보조기억장치 - 주기억장치 - 캐쉬
- ③ 캐쉬 - 보조기억장치 - 주기억장치
- ④ 캐쉬 - 주기억장치 - 보조기억장치
등록된 댓글이 없습니다.
16. OA(사무자동화)의 기본 요건을 A, B, C, D라고 할 때 이를 적합하게 설명하지 않은 것은?
- ① A = Automated Office(자동화사무실)
- ② B = Business Machine(사무기기)
- ③ C = Communication System(통신시스템)
- ④ D = Data Communication(데이터통신)
등록된 댓글이 없습니다.
17. 문자, 도표, 사진 등의 정지화상을 화소로 분해하여 전기적 신호로 변환하여 전송하여 원래대로 복원 기록하는 전송기기는?
- ① 텔렉스(telex)
- ② 팩시밀리(facsimile)
- ③ 텔레타이프(teletype)
- ④ 텔레텍스트(teletext)
등록된 댓글이 없습니다.
18. 사무실 공간 설계 과정에 대한 내용이 아닌 것은?
- ① 공간배치 계획
- ② 추진 전담반 편성
- ③ 의사소통 계획
- ④ OA 도입 계획
등록된 댓글이 없습니다.
19. 오피스(office) 생산성 중 유효성과 관계가 있는 것은?
- ① 업무처리비용 감소
- ② 업무처리시간의 단축
- ③ 품질향상과 적시성
- ④ 업무처리사원의 감소
등록된 댓글이 없습니다.
20. Database 모형 중 다음과 관련 있는 것은?

- ① 관계모형
- ② 계층모형
- ③ 망모형
- ④ 트리모형
등록된 댓글이 없습니다.
2과목 : 사무경영관리 개론
21. 사무관리에 있어서 표준화의 목적과 거리가 먼 것은?
- ① 사무관리 활동이 편리하다.
- ② 사무에 대한 효과적인 통제를 할 수 있다.
- ③ 사무업무의 용어나 개념상의 통일을 기할 수 있다.
- ④ 사무종사자의 권한을 강화시킨다.
등록된 댓글이 없습니다.
22. 문서를 통한 의사전달의 특징을 가장 잘 나타낸 것은?
- ① 신속하게 전달할 수 있다.
- ② 상대의 반응을 신속하게 알 수 있다.
- ③ 전달내용을 정확하게 전달할 수 있다.
- ④ 비교적 세심한 감정까지 전달할 수 있다.
등록된 댓글이 없습니다.
23. EDI는 거래 상대방간에 상호 합의된 메시지를 컴퓨터 간에 상호 교환함으로써 거래 업무에 따르는 문서처리 업무를 자동화하는 것이다. 다음 중에서 EDI의 원어는?
- ① Electronic Display Interchange
- ② Electronic Direction Interchange
- ③ Electronic Data Interchange
- ④ Electronic Detective Interchange
등록된 댓글이 없습니다.
24. 사무표준의 구비조건이 아닌 것은?
- ① 사무표준은 정확해야 한다.
- ② 사무작업내용과 근무조건을 분석하기 전에 만들어진다.
- ③ 주기적으로 재검토하여 수정하여야 한다.
- ④ 실제적용에 무리가 없고 당사자인 사무원들이 받아들일 수 있어야 한다.
등록된 댓글이 없습니다.
25. 사무의 중요성에 해당하지 않는 항목은?
- ① 사무의 정보를 취급하고 정보의 기록화 종정 및 운반의 수단이다.
- ② 사무란 경영활동인 생산, 판매. 구매. 재무 등을 연결 짓는 역할을 한다.
- ③ 사무란 조직목표를 달성하기 위해 의사결정에 필요한 다양한 정보수집, 처리, 전달, 보관 등의 기능을 관리한다.
- ④ 사무란 환경의 변화에 대응한 문제의 발견과 해결을 위한 일련의 경영활동이다.
등록된 댓글이 없습니다.
26. 다음 중 전자상거래의 구성요건이라고 볼 수 없는 것은?
- ① 정보통신관리
- ② 공공정책 및 법률
- ③ 요소기술
- ④ 정보 인프라스트럭처
등록된 댓글이 없습니다.
27. 사무관리의 형태에 포함하지 않는 것은?
- ① 집중형
- ② 분산형
- ③ 절충형
- ④ 단일형
등록된 댓글이 없습니다.
28. 다음 중 문서 처리의 원칙으로 볼 수 없는 것은?
- ① 즉일처리의 원칙
- ② 책임처리의 원칙
- ③ 폐쇄의 원칙
- ④ 법령적합의 원칙
등록된 댓글이 없습니다.
29. 감열기록방식 모사전송은 장기보존이 불가능한 이유는?
- ① 습기에 약하기 때문
- ② 빛 또는 일에 약하기 때문
- ③ 용지의 크기가 틀려 편철하기 곤란함
- ④ 용지의 질이 나빠서
등록된 댓글이 없습니다.
30. EDI의 특징이 아닌 것은?
- ① EDI는 데이터 통신망을 이용하여 컴퓨터와 컴퓨터간의 통신방법이다.
- ② EDI는 지역적으로 멀리 떨어진 곳의 회의를 주관하는 컴퓨터 처리방식이다.
- ③ EDI에 의해 전달되는 데이터는 구조화 되어있고 기계처리가 가능한 표준양식이다.
- ④ EDI에 의한 데이터는 수신한 컴퓨터가 직접 처리하기 때문에 변환과 재입력이 필요 없다.
등록된 댓글이 없습니다.
31. 프로그램을 유형물에 고정시켜 새로운 창작성을 더하지 아니하고 다시 제작하는 것을 무엇이라 하는가?
- ① 개작
- ② 복제
- ③ 저작
- ④ 창작
등록된 댓글이 없습니다.
32. 경영정보부분의 조직을 스탭부문과 라인부문으로 나누었을 때 라인부분에 속하는 과들로만 짝지어진 것은?
- ① 정보관리과 - 정보처리과
- ② 시스템설계과 - 데이터뱅크과
- ③ 정보관리과 - 시스템설계과
- ④ 데이터뱅크과 - 정보처리과
등록된 댓글이 없습니다.
33. 집무환경의 요소가 아닌 것은?
- ① 실내조명
- ② 색채조절
- ③ 시간조절
- ④ 방음시설
등록된 댓글이 없습니다.
34. 어떤 목적을 달성하기 위한 합리적인 인간의 활동을 관리(Management)라고 한다. 관리 의 기본 특성이 아닌 것은?
- ① 연속성
- ② 향상성
- ③ 정보성
- ④ 통일성
등록된 댓글이 없습니다.
35. 정부가 정보보호에 관한 시책을 효율적으로 추진하기 위하여 설립한 기구는?
- ① 한국전산원
- ② 한국정보문화센터
- ③ 정보화추진위원회
- ④ 한국정보보호진흥원
등록된 댓글이 없습니다.
36. 사무실 환경에 관한 내용으로 적합하지 않는 것은?
- ① 사무실의 조도는 500(Lux)가 적합하다.
- ② 색채는 획일화, 조직화, 효율화를 기할 수 있어야 한다.
- ③ 적당한 실내온도는 5~10℃ 정도가 되어야 한다.
- ④ 실내소음은 45~50dB가 바람직하다.
등록된 댓글이 없습니다.
37. 사무관리와 정보관리에 관한 설명 중 옳지 않은 것은?
- ① 정보관리의 목적은 의사결정에 필요한 정보를 신속, 정확, 용이하게 제공하는 것이다.
- ② 정보관리와 사무관리는 사무활용을 대상으로 하는 점에서 같으나 관리범위가 사무관리는 넓고 정보관리는 좁다.
- ③ 사무관리의 목적은 지정된 데이터를 지정된 기입 및 방법으로 작성하는 것이다.
- ④ 사무관리의 범위는 정보관리 내의 정보통제기능과 정보처리기능만을 대상으로 한다.
등록된 댓글이 없습니다.
38. 사무실 내의 소음을 줄이는 방법 중 적당하지 않은 것은?
- ① 소음발생원을 소음실로 격리시킨다.
- ② 이중 유리시설을 한다.
- ③ 바닥은 탄력성이 없는 재료를 사용한다.
- ④ 사무실 배치를 합리적으로 하여 불필요한 보행을 줄인다.
등록된 댓글이 없습니다.
39. 마이크로필름의 이용분야가 아닌 것은?
- ① 중요문서의 보존수단
- ② 방대한 자료의 용이한 검출수단
- ③ 문서의 단기간 보존수단
- ④ 문서보관작업의 기계화 수단
등록된 댓글이 없습니다.
40. 가장 먼저 사무의 계획화가 이뤄져야 할 작업은?
- ① 새로운 작업
- ② 관례적이고 반복적인 사무작업
- ③ 비반복적인 작업
- ④ 수회 이내에 그치는 작업
등록된 댓글이 없습니다.
3과목 : 프로그래밍 일반
41. C언어의 제어구조(control structure)에서 문장을 실행한 다음 조건을 검사하여 반복 실행의 여부를 결정하는 문은?
- ① for 문
- ② while 문
- ③ do ~ while 문
- ④ switch ~ cash 문
등록된 댓글이 없습니다.
42. C 언어에서 바로 단위 논리 연산자의 종류에 해당되지 않는 것은?
- ① ∧
- ② ~
- ③ &
- ④ ?
등록된 댓글이 없습니다.
43. C 언어에서 사용하는 자료형이 아닌 것은?
- ① double
- ② short
- ③ integer
- ④ float
등록된 댓글이 없습니다.
44. 어셈블리에서 16진수 상수를 정의한 명령어는?
- ① DC CL3"A2"
- ② DC XL3"A2"
- ③ DC BL3"111"
- ④ DC PL#"38"
등록된 댓글이 없습니다.
45. C 언어에서 정수형 변수 a에 256이 저장되어 있다. 이를 7자리로 잡아 왼쪽으로 붙여 출력하려고 할 때, 적절한 printf() 내의 % 변화문자 사용은?
- ① %7f
- ② %7d
- ③ %-7d
- ④ %-7i
등록된 댓글이 없습니다.
46. 프로그램의 오류 수정 작업을 위하여 사용되는 소프트웨어를 무엇이라 하는가?
- ① linker
- ② array
- ③ loader
- ④ debugger
등록된 댓글이 없습니다.
47. 번역의 가장 기본적인 단계로 나열된 문자들을 기초적인 구성요소들인 식별자, 구분 문자, 연산기호, 핵심어, 주석 등으로 그룹화 하는 단계는?
- ① 어휘 분석
- ② 구문 분석
- ③ 의미 분석
- ④ 코드 생성
등록된 댓글이 없습니다.
48. 문자열 대치, 복사, 치환 등과 같은 문자열의 조작을 편리하게 수행할 수 있도록 여러 가지 기능을 제공하며, 스트링 자료 활용의 예가 많은 언어는?
- ① SNOBOL
- ② C
- ③ PL/1
- ④ ADA
등록된 댓글이 없습니다.
49. 컴퓨터 프로그래밍 언어의 어휘 구조(lexical-structure)를 표현하는데 사용하는 문법의 종류는?
- ① Type 0 문법
- ② Type 1 문법
- ③ Type 2 문법
- ④ Type 3 문법
등록된 댓글이 없습니다.
50. 이항(binary)연산에 해당하지 않는 것은?
- ① AND
- ② OR
- ③ XOR
- ④ MOVE
등록된 댓글이 없습니다.
51. 프로그램을 구성하는 함수에서 전역 변수를 사용하여 함수의 결과를 반환하는 경우 함수에 전달되는 입력마다 미터의 값이 같아도 전역 변수의 상태에 따라 함수에서 반환되는 값이 달라질 수 있는 현상을 무엇이라 하는가?
- ① reference
- ② side effect
- ③ aliasing
- ④ recursive
등록된 댓글이 없습니다.
52. CPU에 채널이나 입, 출력 기기의 변화를 알리거나 데이터의 I/O종료, 오류 발생 시 발생하는 인터럽트는?
- ① 입/출력 인터럽트
- ② SVC 인터럽트
- ③ 외부 인터럽트
- ④ 프로그램 검사 인터럽트
등록된 댓글이 없습니다.
53. 운영체제를 기능상 분류했을 때, 처리(processing) 프로그램에 해당하지 않는 것은?
- ① 감시 프로그램(supervisor program)
- ② 언어 번역 프로그램(language translator program)
- ③ 문제 프로그램(problem program)
- ④ 서비스 프로그램(service program)
등록된 댓글이 없습니다.
54. 다음의 C 언어 연산자 기호 중에서 우선순위가 가장 먼저 인 것은?
- ① &&
- ② ||
- ③ =
- ④ /
등록된 댓글이 없습니다.
55. C 언어에서 기본 자료형에 해당되지 않는 것은?
- ① 배열형(array)
- ② 정수형(int)
- ③ 실수형(float)
- ④ 분자형(char)
등록된 댓글이 없습니다.
56. 특정한 작업을 수행할 수 있도록 사용자가 개발한 프로그램을 일반적으로 무엇이라 하는가?
- ① system program
- ② operating system
- ③ application program
- ④ complier
등록된 댓글이 없습니다.
57. 인터프리터(interpreter) 기법에 의해 프로그램을 수행하는 언어는?
- ① BASIC
- ② C
- ③ PASCAL
- ④ PL/1
등록된 댓글이 없습니다.
58. 구조화 프로그램을 설계하기 위한 설명으로 옳지 않은 것은?
- ① 프로그램의 이해가 쉽고 디버깅 작업이 쉽도록 한다.
- ② 한 개의 입구와 한 개의 출구 주조를 갖도록 한다.
- ③ 실행시간의 단축을 위해 GOTO문을 가급적 많이 사용한다.
- ④ 계층적 설계를 한다.
등록된 댓글이 없습니다.
59. 두 개의 피연산자를 취하는 이항(binary) 연산자 표현에 적합하며, 연산 기호가 두 피연산자 사이에 놓여지는 표기법은?
- ① 전위
- ② 후위
- ③ 복합
- ④ 중위
등록된 댓글이 없습니다.
60. 반복을 의미하는 BNF 표기는?
- ① ==
- ② ++
- ③ <>
- ④ {}
등록된 댓글이 없습니다.
4과목 : 정보통신 개론
61. 변조속도는 어떻게 구하는가?
- ① 데이터 신호속도/변조 시 상태변화 수
- ② 변조 시 상태변화 수/데이터 신호속도
- ③ 데이터 전송속도/변조 시 상태변화 수
- ④ 변조 시 상태변화 수/데이터 전송속도
등록된 댓글이 없습니다.
62. 꼬임선(Twisted-pair line)의 특징으로 맞지 않는 것은?
- ① 전기적 간섭현상을 줄이기 위해서 균일하게 서로 감겨있는 형태의 케이블이다.
- ② 하나의 케이블에 여러 쌍의 꼬임선들을 절연체로 피복하여 구성한다.
- ③ 다른 전송매체에 비해서 거리, 대역폭 및 데이터 전송률면에서 제한적이지 않다.
- ④ 가격이 저렴하고 설치가 간편한 이점을 가진다.
등록된 댓글이 없습니다.
63. 다음 중 광섬유케이블의 장점이 아닌 것은 ?
- ① 안정된 통신 및 누화 방지
- ② 많은 중계 급전선 필요
- ③ 광대역이며 대용량 전송
- ④ 설치 보수용이 및 비용 절감
등록된 댓글이 없습니다.
64. 다음 중 데이터 통신에서의 변복조 방식이 아닌 것은 ?
- ① 진폭 편이 변조(ASK)
- ② 위상 편이 변조(PSK)
- ③ 주파수 편이 변조(FSK)
- ④ 주파수 디지털 변조(PDK)
등록된 댓글이 없습니다.
65. 네트워크 구조에 대한 설명 중 틀린 것은 ?
- ① 프로세스는 정보처리나 통신을 하는 것을 모델화한 것이다.
- ② 원격처리장치는 노드로 모델화 시킬 수 있다.
- ③ 전기신호를 운반하는 매체는 링크로 모델화 한다.
- ④ 정보처리란 노드내의 프로그램이 다른 프로그램과 상호 보완적으로 실행하는 처리라 할 수 있다.
등록된 댓글이 없습니다.
66. 패키지계 뉴미디어에 속하지 않는 것은 ?
- ① CATV
- ② VTR
- ③ 비디오디스크
- ④ CD-ROM
등록된 댓글이 없습니다.
67. OSI 7계층 참조 모델의 목적에 해당되지 않는 것은 ?
- ① 시스템 상호간을 접속하기 위한 개념을 규정한다.
- ② OSI 규격을 개발하기 위한 범위를 정한다.
- ③ 관련 규격의 적합성을 조정하기 위한 공동적인 기반을 제공한다.
- ④ 개별적인 독립된 시스템의 특수성을 유지하도록 한다.
등록된 댓글이 없습니다.
68. 패킷 교환망의 특징으로 옳지 않은 것은 ?
- ① 전송 오류의 정정 불능
- ② 전송량제어와 전송속도 변환
- ③ 대량의 데이터 전송 시 전송 지연
- ④ 표준화된 프로토콜 적용
등록된 댓글이 없습니다.
69. LAN의 채널 액세스 제어방식인 CSMA/CD에 대한 설명 내용으로 잘못된 것은 ?
- ① 채널로 송출된 패킷은 모든 제어기에서 수신가능하다.
- ② 각 제어기는 액세스 제어에 관하여 반송파 검출 및 충돌 검출만 필요하다.
- ③ 제어기가 상위계층으로부터 패킷을 받고나서 전송을 완료할 때까지의 시간은 확률적으로 변화한다.
- ④ 모든 제어기는 차동의 액세스 권리를 갖는다.
등록된 댓글이 없습니다.
70. 다음 중 정보통신 관련 국제표준기구가 아닌 것은 ?
- ① ITU
- ② ISO
- ③ IEC
- ④ IITA
등록된 댓글이 없습니다.
71. 데이터통신방식의 에러체크방식 중 수평패리티방식에서 짝수패리티 방식을 채택할 경우 1개의 블록 중에 수평에 대한 1의 개수는 ?
- ① 홀수가 되도록 한다.
- ② 3의 배수가 되도록 한다.
- ③ 짝수가 되도록 한다.
- ④ 5개가 되도록 한다.
등록된 댓글이 없습니다.
72. 그림과 같은 네트워크 형상(Topology)에 해당되는 것은?

- ① 성(Star)형
- ② 버스(Bus)형
- ③ 로터리(Rotary)형
- ④ 링(Ring)형
등록된 댓글이 없습니다.
73. 데이터 통신에서 컴퓨터가 단말기에 전송할 데이터의 유무를 묻는 것은?
- ① Polling
- ② Calling
- ③ Selection
- ④ Link up
등록된 댓글이 없습니다.
74. 다음중 반송파의 진폭과 위상을 상호 변환하여 신호를 얻는 디지털 변조방식은?
- ① PSK
- ② ASK
- ③ QAM
- ④ FSK
등록된 댓글이 없습니다.
75. 데이터 전송기기에서 통신제어장치의 주요한 기능이 아닌 것은?
- ① 통신방식 제어
- ② 다중접속 제어
- ③ 단말제어
- ④ 전송제어
등록된 댓글이 없습니다.
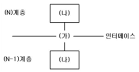
76. 다음 그림은 OSI 7 계층 모델의 개념도이다. (가)부분에 해당하는 것은?

- ① Entity
- ② Service Primitive
- ③ Process
- ④ SAP(Service Access Point)
등록된 댓글이 없습니다.
77. 정보통신망의 3대 동작 기능이 아닌 것은?
- ① 전달기능
- ② 신호기능
- ③ 부호기능
- ④ 제어기능
등록된 댓글이 없습니다.
78. 다음과 같은 장점을 가지고 있는 전송매체는?

- ① 동축케이블(Coaxial cable)
- ② 꼬임 UTP 케이블(Twisted UTP cable)
- ③ 스크린케이블(Screen cable)
- ④ 광섬유케이블(Optical fiber cable)
등록된 댓글이 없습니다.
79. TCP/IP 상에서 운용되는 응용서비스가 아닌 것은?
- ① FTP(File Transfer Protocol)
- ② Telnet
- ③ E-Mail
- ④ DSU(Digital Service Unit)
등록된 댓글이 없습니다.
80. 다음 중 무선계 뉴미디어에 속하는 것은?
- ① LAN
- ② ISDN
- ③ VAN
- ④ Teletext
등록된 댓글이 없습니다.