에너지관리기사(2021. 5. 15.) 시험일자 : 2021년 5월 15일
1과목 : 연소공학
1. 다음 가스 중 저위발열량(MJ/kg)이 가장 낮은 것은?
- ① 수소
- ② 메탄
- ③ 일산화탄소
- ④ 에탄
도땃쥐2023. 2. 18. 20:50삭제
저위발열량
수소: 120.5
메탄: 50.0
일산화탄소: 10.2
에탄: 47.5
2. 저질탄 또는 조분탄의 연소방식이 아닌 것은?
- ① 분무식
- ② 산포식
- ③ 쇄상식
- ④ 계단식
도땃쥐2023. 2. 18. 20:51삭제
분무식은 액체연료의 연소방식이다
3. 프로판(C3H8) 및 부탄(C4H10)이 혼합된 LPG를 건조공기로 연소시킨 가스를 분석하였더니 CO2 11.32%, O2 3.76%, N2 84.92% 의 부피 조성을 얻었다. LPG 중의 프로판의 부피는 부탄의 약 몇 배인가?
- ① 8배
- ② 11배
- ③ 15배
- ④ 20배
박창민2026. 1. 22. 01:23삭제
연소 사용 산소량 84.92*0.21/0.79 - 3.76 = 18.81%
C는 O2와 1:1 이므로 C=11.32%
H는 O2왕 4:1 이므로 H=(18.81-11.32)*4=29.96%
탄/수소비=11.32/29.96
프로판과 부탄의 탄/수소비는
(3X+4Y)/(8X+10Y)
X+Y=1과 연립방적식으로 풀면 about 10.6
4. 폭굉(detonation)현상에 대한 설명으로 옳지 않은 것은?
- ① 확산이나 열전도의 영향을 주로 받는 기체역학적 현상이다.
- ② 물질 내에 충격파가 발생하여 반응을 일으킨다.
- ③ 충격파에 의해 유지되는 화학 반응 현상이다.
- ④ 반응의 전파속도가 그 물질 내에서 음속보다 빠른 것을 말한다.
도땃쥐2023. 2. 18. 20:51삭제
확산이나 열전도의 영향을 주로 받는 기체역학적 현상: 대류
5. 연소실에서 연소된 연소가스의 자연통풍력을 증가시키는 방법으로 틀린 것은?
- ① 연돌의 높이를 높인다.
- ② 배기가스의 비중량을 크게 한다.
- ③ 배기가스 온도를 높인다.
- ④ 연도의 길이를 짧게 한다.
에관기박사2025. 8. 8. 17:48삭제
연도의 길이는 짧게, 연돌은 길게
도땃쥐2023. 2. 18. 20:52삭제
배기가스의 비중량을 작게 한다
6. 연돌에서의 배기가스 분석 결과 CO2 14.2%, O2 4.5%, CO 0% 일 때 탄산가스의 최대량[CO2]max(%)는?
- ① 10
- ② 15
- ③ 18
- ④ 20
하밀뭉씌2022. 2. 6. 11:29삭제
CO2max/CO2=21/(21-O2)
14.2*21/(21-4.5)
7. 액체연료 연소장치 중 회전식 버너의 특징에 대한 설명으로 틀린 것은?
- ① 분무각은 10~40° 정도이다.
- ② 유량조절범위는 1 : 5 정도이다.
- ③ 자동제어에 편리한 구조로 되어있다.
- ④ 부속설비가 없으며 화염이 짧고 안정한 연소를 얻을 수 있다.
에관기박사2025. 8. 8. 17:52삭제
분무각도가 40~80°로 크고, 유량조절범위도 1:5 정도로 비교적 넓은 편
도땃쥐2023. 2. 18. 20:53삭제
분무각은 에어노즐의 안내날개 각도에 따라 다르지만 보통 40~80도
8. 고체연료의 공업분석에서 고정탄소를 산출하는 식은?
- ① 100 - [수분(%)+회분(%)+질소(%)]
- ② 100 - [수분(%)+회분(%)+황분(%)]
- ③ 100 - [수분(%)+황분(%)+휘발분(%)]
- ④ 100 - [수분(%)+회분(%)+휘발분(%)]
등록된 댓글이 없습니다.
9. 액체연료가 갖는 일반적이 특징이 아닌 것은?
- ① 연소온도가 높기 때문에 국부과열을 일으키기 쉽다.
- ② 발열량은 높지만 품질이 일정하지 않다.
- ③ 화재, 역화 등의 위험이 크다.
- ④ 연소할 때 소음이 발생한다.
도땃쥐2023. 2. 18. 20:53삭제
액체연료는 발열량이 높고 품질이 일정하다
10. 황 2kg을 완전연소 시키는데 필요한 산소의 양은 Nm3인가? (단, S의 원자량은 32이다.)
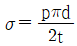
- ① 0.70
- ② 1.00
- ③ 1.40
- ④ 3.33
하밀뭉씌2022. 2. 6. 11:32삭제
S +O2 -> SO2
32kg : 22.4Nm3
이론산소량 O_0=22.4/32kg=0.7Nm3 * 2kg = 1.4
11. 수소가 완전 연소하여 물이 될 때, 수소와 연소용 산소와 물의 몰(mol)비는?
- ① 1 : 1 : 1
- ② 1 : 2 : 1
- ③ 2 : 1 : 2
- ④ 2 : 1 : 3
ㅇ2025. 1. 23. 10:14삭제
수소(H2)의 완전연소 몰(Mol)비
반응식 : 2H2 + O2 → 2H2O
몰비 : 2 : 1 : 2
하밀뭉씌2022. 2. 6. 11:33삭제
H2 + 0.5O2 -> H2O
1: 0.5 : 1 = 2 : 1 : 2
12. 폐열회수에 있어서 검토해야 할 사항이 아닌 것은?
- ① 폐열의 증가 방법에 대해서 검토한다.
- ② 폐열회수의 경제적 가치에 대해서 검토한다.
- ③ 폐열의 양 및 질과 이용 가치에 대해서 검토한다.
- ④ 폐열회수 방법과 이용 방안에 대해서 검토한다.
12024. 4. 6. 15:10삭제
① 폐열의 감소 방법에 대해서 검토하여야 연료비 절감할 수 있다.
합격하자규2024. 1. 19. 10:02삭제
감소방법에 대해 검토해야합니다
13. 연소 배기가스의 분석결과 CO2의 함량이 13.4%이다. 벙커C유(55L/h)의 연소에 필요한 공기량은 약 몇 Nm3/min 인가? (단, 벙커 C유의 이론공기량은 12.5 Nm3/kg 이고, 밀도는 0.93 g/cm3 이며 [CO2]max는 15.5% 이다.)
- ① 12.33
- ② 49.03
- ③ 63.12
- ④ 73.99
123132025. 5. 2. 23:05삭제
단위에 주의(벙커유의 단위=h, 필요공기량=min)
12024. 4. 6. 15:07삭제
공기비 계산(m)= [CO2]max/ CO2=15.5/13.4=1.16
실제공기비(A)=mAo=1.16*12.5*(55*0.93/60)=12.36Nm3/min
길2022. 4. 3. 15:33삭제
12.5*0.93*(15.5/13.4)*55=739 / 60 = 12.33
14. 탄소 1kg을 완전 연소시키는데 필요한 공기량은 몇 Nm3 인가?
- ① 22.4
- ② 11.2
- ③ 9.6
- ④ 8.89
하밀뭉씌2022. 2. 6. 11:36삭제
C + O2 -> CO2
12kg : 22.4Nm3
이론산소량 O_0=22.4/12=1.867
이론공기량 AA_0=O_0/0.21=1.867/0.21=8.89
15. 위험성을 나타내는 성질에 관한 설명으로 옳지 않은 것은?
- ① 착화온도와 위험성은 반비례한다.
- ② 비등점이 낮으면 인화 위험성이 높아진다.
- ③ 인화점이 낮은 연료는 대체로 착화온도가 낮다.
- ④ 물과 혼합하기 쉬운 가연성 액체는 물과의 혼합에 의해 증기압이 높아져 인화점이 낮아진다.
도땃쥐2023. 2. 18. 20:56삭제
물과 혼합하기 쉬운 가연성 액체는 물과의 혼합에 의해 증기압이 낮아져 인화점이 높아진다
16. 다음 연소 반응식 중에서 틀린 것은?
- ① CH4 + 2O2 → CO2 + 2H2O
- ②

- ③ C3H8 + 5O2 → 3CO2+ 4H2O
- ④ C4H10 + 9O2 → 4CO2 + 5H2O
141412026. 1. 22. 10:33삭제
보기가 좇같음
초등학교 5학년때 배우는 대분수로 사람을 헷갈리게 함
하밀뭉씌2022. 2. 6. 11:37삭제
CmHn + (m+n/4)O2 -> mCO2 +(n/2)H2O
17. 매연을 발생시키는 원인이 아닌 것은?
- ① 통풍력이 부족할 때
- ② 연소실 온도가 높을 때
- ③ 연료를 너무 많이 투입했을 때
- ④ 공기와 연료가 잘 혼합되지 않을 때
에관기박사2025. 8. 13. 23:26삭제
매연발생원인
통풍력 약할때, 연소실 체적이 적을때, 연소실 온도가 낮을때, 불완전 연소시
r2024. 1. 21. 15:52삭제
연소실 온도가 높으면 매연이 감소된다
18. 중유의 탄수소비가 증가함에 따른 발열량의 변화는?
- ① 무관하다.
- ② 증가한다.
- ③ 감소한다.
- ④ 초기에는 증가하다가 점차 감소한다.
도땃쥐2023. 2. 18. 20:57삭제
중유의 탄수소비가 증가함에 따른 발열량은 감소한다.
19. 기체 연료의 저장방식이 아닌 것은?
- ① 유수식
- ② 고압식
- ③ 가열식
- ④ 무수식
에관기박사2025. 7. 24. 17:35삭제
기체를 저장해놓은곳에 가열하면 폭발 위험
규2024. 2. 14. 11:29삭제
기체연료저장방식 유.고.무
20. CH4와 공기를 사용하는 열 설비의 온도를 높이기 위해 산소(O2)를 추가로 공급하였다. 연료 유량 10Nm3/h 의 조건에서 완전 연소가 이루어졌으며, 수증기 응축 후 배기가스에서 계측된 산소의 농도가 5%이고 이산화탄소(CO2)의 농도가 10%라면, 추가로 공급된 산소의 유량은 약 몇 Nm3/h 인가?
- ① 2.4
- ② 2.9
- ③ 3.4
- ④ 3.9
등록된 댓글이 없습니다.
2과목 : 열역학
21. 노즐에서 임계상태에서의 압력을 Pc, 비체적을 vc, 최대유량을 Gc, 비열비를 k라 할 때, 임계단면적에 대한 식으로 옳은 것은?
- ①

- ②

- ③

- ④

등록된 댓글이 없습니다.
22. 초기체적이 Vi 상태에 있는 피스톤이 외부로 일을 하여 최종적으로 체적이 Vf인 상태로 되었다. 다음 중 외부로 가장 많은 일을 한 과정은? (단, n은 폴리트로픽 지수이다.)
- ① 등온 과정
- ② 정압 과정
- ③ 단열 과정
- ④ 폴리트로픽 과정(n>0)
ㅇ2025. 1. 23. 10:30삭제
정답은 2번
등압(정압)과정 일량(W)=P(Vf-Vi)
23. 20℃의 물 10kg을 대기압 하에서 100℃의 수증기로 완전히 증발시키는데 필요한 열량은 약 몇 kJ인가? (단, 수증기의 증발 잠열은 2257 kJ/kg이고 물의 평균비열은 4.2 kJ/kg·K 이다.)
- ① 800
- ② 6190
- ③ 25930
- ④ 61900
ㅇㅇ2024. 2. 2. 16:05삭제
10*4.2*80=3360
2257*10=22570
3360+22570=25930
24. 30℃에서 기화잠열이 173kJ/kg 인 어떤 냉매의 포화액-포화증기 혼합물 4kg을 가열하여 건도가 20%에서 70%로 증가되었다. 이 과정에서 냉매의 엔트로피 증가량은 약 몇 kJ/K인가?
- ① 11.5
- ② 2.31
- ③ 1.14
- ④ 0.29
강수2023. 8. 18. 07:57삭제
=(0.7-0.2)*4*173/(273+30)
25. 랭킨사이클에 과열기를 설치할 경우 과열기의 영향으로 발생하는 현상에 대한 설명으로 틀린 것은?
- ① 열이 공급되는 평균 온도가 상승한다.
- ② 열효율이 증가한다.
- ③ 터빈 출구의 건도가 높아진다.
- ④ 펌프일이 증가한다.
등록된 댓글이 없습니다.
26. 증기터빈에서 상태 ⓐ의 증기를 규정된 압력까지 단열에 가깝게 팽창 시켰다. 이 때 증기터빈 출구에서의 증기 상태는 그림의 각각 ⓑ, ⓒ, ⓓ, ⓔ이다. 이 중 터빈의 효율이 가장 좋을 때 출구의 증기 상태로 옳은 것은?

- ① ⓑ
- ② ⓒ
- ③ ⓓ
- ④ ⓔ
123132025. 5. 2. 23:18삭제
단열팽창 시 내부에너지(S)의 이상적인 변동량은 0임으로 에너지가 가장 적게 떨어진 b가 정담
27. 아래와 같이 몰리에르(엔탈피-엔트로피) 선도에서 가역 단열과정을 나타내는 선의 형태로 옳은 것은?

- ① 엔탈피축에 평행하다.
- ② 기울기가 양수(+)인 곡선이다.
- ③ 기울기가 음수(-)인 곡선이다.
- ④ 엔트로피축에 평행하다.
등록된 댓글이 없습니다.
28. 정압과정에서 어느 한 계(system)에 전달된 열량은 그 계에서 어떤 상태량의 변화량과 양이 같은가?
- ① 내부에너지
- ② 엔트로피
- ③ 엔탈피
- ④ 절대일
강수2023. 8. 18. 14:42삭제
dq=dh-VdP, dP=0, dq=dh
29. 노점온도(dew point temperature)에 대한 설명으로 옳은 것은?
- ① 공기, 수증기의 혼합물에서 수증기의 분압에 대한 수증기 과열상태 온도
- ② 공기, 가스의 혼합물에서 가스의 분압에 대한 가스의 과냉상태 온도
- ③ 공기, 수증기의 혼합물을 가열시켰을 때 증기가 없어지는 온도
- ④ 공기, 수증기의 혼합물에서 수증기의 분압에 해당하는 수증기의 포화온도
등록된 댓글이 없습니다.
30. 온도와 관련된 설명으로 틀린 것은?
- ① 온도 측정의 타당성에 대한 근거는 열역학 제0법칙이다.
- ② 온도가 0℃에서 10℃로 변화하면, 절대온도는 0K에서 283.15K로 변화한다.
- ③ 섭씨온도는 물의 어는점과 끓는점을 기준으로 삼는다.
- ④ SI 단위계에서 온도의 단위는 켈빈 단위를 사용한다.
ska2025. 12. 30. 10:56삭제
온도가 0℃에서 10℃로 변화하면, 절대온도는 273.15K에서 283.15K로 변화한다.
31. 물의 임계 압력에서의 잠열은 몇 kJ/kg 인가?
- ① 0
- ② 333
- ③ 418
- ④ 2260
규2024. 1. 21. 16:03삭제
임계온도이상에서는 잠열이 존재하지 않는다
32. 이상기체가 'Pvn=일정' 과정을 가지고 변하는 경우에 적용할 수 있는 식으로 옳은 것은? (단, q : 단위 질량당 공급된 열량, u : 단위 질량당 내부에너지, T : 온도, P : 압력, v : 비체적, R : 기체상수, n : 상수이다.)
- ①

- ②

- ③

- ④ δq = du + (1-n)RdT
등록된 댓글이 없습니다.
33. 증기압축 냉동사이클을 사용하는 냉동기에서 냉매의 상태량은 압축 전·후 엔탈피가 각각 379.11 kJ/kg와 427.77 kJ/kg이고 교축팽창 후 엔탈피가 241.46kJ/kg 이다. 압축기의 효율이 80%, 소요 동력이 4.14kW라면 이 냉동기의 냉동용량은 약 몇 kW 인가?
- ① 6.98
- ② 9.98
- ③ 12.98
- ④ 15.98
흰쏘랭이2025. 7. 13. 22:52삭제
COP=냉동용량 / 소요동력 = (h1-h4) / (h2-h1)
냉동용량 / 4.14*0.8 = (379.11-241.46) / (427.77-379.11)
냉동용량 = 9.984
34. 열역학 관계식 TdS = dH – VdP에서 용량성 상태량(extensive property)이 아닌 것은? (단, S : 엔트로피, H : 엔탈피, V : 체적, P : 압력, T : 절대온도이다.)
- ① S
- ② H
- ③ V
- ④ P
등록된 댓글이 없습니다.
35. 다음과 같은 압축비와 차단비를 가지고 공기로 작동되는 디젤사이클 중에서 효율이 가장 높은 것은? (단, 공기의 비열비는 1.4 이다.)
- ① 압축비 : 11, 차단비 : 2
- ② 압축비 : 11, 차단비 : 3
- ③ 압축비 : 13, 차단비 : 2
- ④ 압축비 : 13, 차단비 : 3
2일의전사2025. 5. 18. 00:13삭제
디젤 사이클은 압축비가 클수록, 차단비가 작을수록 효율이 높다
36. 가스동력 사이클에 대한 설명으로 틀린 것은?
- ① 에릭슨 사이클은 2개의 정압과정과 2개의 단열과정으로 구성된다.
- ② 스털링 사이클은 2개의 등온과정과 2개의 정적과정으로 구성된다.
- ③ 아스킨스 사이클은 2개의 단열과정과 정적 및 정압과정으로 구성된다.
- ④ 르누아 사이클은 정적과정으로 급열하고 정압과정으로 방열하는 사이클이다.
ska2025. 11. 18. 16:41삭제
에릭슨 사이클 : 2대의 정압 + 2개의 등온
스털링 사이클 : 2개의 정적 + 2개의 등온
르누아 아이클 : 1개정압 + 1개의 정적
오토 사이클 : 2개의 정적 + 2개의 단열
브레이턴 사이클 : 2개의 단열 + 2개의 정압
sigong2023. 5. 13. 02:24삭제
1. 2개 정압과 2개 등온
37. 압력 3000 kPa, 온도 400℃인 증기의 내부에너지가 2926 kJ/kg이고 엔탈피는 3230 kJ/kg 이다. 이 상태에서 비체적은 약 몇 m3/kg 인가?
- ① 0.0303
- ② 0.0606
- ③ 0.101
- ④ 0.303
ㅇ2025. 1. 15. 10:23삭제
내부에너지 u=h-Pv 에서
v=(h-u)/P = (3230-2926)/3000 = 0.101
강수2023. 8. 19. 02:02삭제
h=U+Pv=U+RT, RT=h-U, Pv=RT, v=RT/P=(3320-2926)/3000
38. 110kPa, 20℃의 공기가 반지름 20cm, 높이 40cm인 원통형 용기 안에 채워져 있다. 이 공기의 무게는 몇 N 인가? (단, 공기의 기체상수는 287 J/kg·K 이다.)
- ① 0.066
- ② 0.64
- ③ 6.7
- ④ 66
김철새2021. 9. 11. 15:22삭제
마지막에 뉴턴 낚시;; 너무하넹
39. 냉동효과가 200kJ/kg인 냉동사이클에서 4kW의 열량을 제거하는 데 필요한 냉매 순환량은 몇 kg/min 인가?
- ① 0.02
- ② 0.2
- ③ 0.8
- ④ 1.2
강수2023. 8. 19. 02:12삭제
Q=Gh, G=Q/h=(4/200)*60=1.2kg/min
40. 냉매가 갖추어야 하는 요건으로 거리가 먼 것은?
- ① 증발잠열이 작아야 한다.
- ② 화학적으로 안정되어야 한다.
- ③ 임계온도가 높아야 한다.
- ④ 증발온도에서 압력이 대기압보다 높아야 한다.
도땃쥐2023. 2. 18. 21:05삭제
냉매는 증발잠열이 커야해
3과목 : 계측방법
41. 용적식 유량계에 대한 설명으로 옳은 것은?
- ① 적산유량의 측정에 적합하다.
- ② 고점도에는 사용할 수 없다.
- ③ 발신기 전후에 직관부가 필요하다.
- ④ 측정유체의 맥동에 의한 영향이 크다.
등록된 댓글이 없습니다.
42. 1차 지연 요소에서 시정수 T가 클수록 응답속도는 어떻게 되는가?
- ① 일정하다.
- ② 빨라진다.
- ③ 느려진다.
- ④ T와 무관하다.
등록된 댓글이 없습니다.
43. 압력 측정에 사용되는 액체의 구비조건 중 틀린 것은?
- ① 열팽창계수가 클 것
- ② 모세관 현상이 작을 것
- ③ 점성이 작을 것
- ④ 일정한 화학성분을 가질 것
r2024. 1. 24. 20:50삭제
크다고하는것이 답이다
도땃쥐2023. 2. 18. 21:06삭제
압력측정에 사용되는 액체는 열팽창계수가 작아야 한다
44. 차압식 유량계에 있어 조리개 전후의 압력차이가 P1에서 P2로 변할 때, 유랭은 Q1에서 Q2로 변했다. Q2에 대한 식으로 옳은 것은? (단, P2 = 2P1 이다.)
- ① Q2 = Q1
- ② Q2 = √Q1
- ③ Q2 = 2Q1
- ④ Q2 = 4Q1
등록된 댓글이 없습니다.
45. 다음 중 1000℃ 이상의 고온체의 연속 측정에 가장 적합한 온도계는?
- ① 저항 온도계
- ② 방사 온도계
- ③ 바이메탈식 온도계
- ④ 액체압력식 온도계
규2024. 1. 19. 10:21삭제
1000도 이상은 방사
46. 가스분석계의 특징에 관한 설명으로 틀린 것은?
- ① 적정한 시료가스의 채취장치가 필요하다.
- ② 선택성에 대한 고려가 필요 없다.
- ③ 시료가스의 온도 및 압력의 변화로 측정오차를 유발할 우려가 있다.
- ④ 계기의 교정에는 화학분석에 의해 검정된 표준시료 가스를 이용한다.
규2024. 1. 19. 10:20삭제
선택성은 계속 달라진다
47. 다음 중 습도계의 종류로 가장 거리가 먼 것은?
- ① 모발 습도계
- ② 듀셀 노점계
- ③ 초음파식 습도계
- ④ 전기저항식 습도계
등록된 댓글이 없습니다.
48. 편차의 정(+), 부(-)에 의해서 조작신호가 최대, 최소가 되는 제어동작은?
- ① 온·오프동작
- ② 다위치동작
- ③ 적분동작
- ④ 비례동작
등록된 댓글이 없습니다.
49. 액면계에 대한 설명으로 틀린 것은?
- ① 유리관식 액면계는 경우탱크의 액면을 측정하는 것이 가능하다.
- ② 부자식은 액면이 심하게 움직이는 곳에는 사용하기 곤란하다.
- ③ 차압식 유량계는 정밀도가 좋아서 액면제어용으로 가장 많이 사용된다.
- ④ 편위식 액면계는 아르키메데스의 원리를 이용하는 액면계이다.
도땃쥐2023. 2. 18. 21:06삭제
액면제어용으로는 부자식
50. 20L인 물의 온도를 15℃에서 80℃로 상승시키는데 필요한 열량은 약 몇 kJ인가?
- ① 4200
- ② 5400
- ③ 6300
- ④ 6900
도땃쥐2023. 2. 18. 21:08삭제
Q1 = mC(t2-t1) = 20kg * 4.184 kj/kg*K * ( 80-15)K = 5439kJ
51. 피토관에 대한 설명으로 틀린 것은?
- ① 5m/s 이하의 기체에서는 적용하기 힘들다.
- ② 먼지나 부유물이 많은 유체에는 부적당하다.
- ③ 피토관의 머리 부분은 유체의 방향에 대하여 수직으로 부착한다.
- ④ 흐름에 대하여 충분한 강도를 가져야 한다.
나만의나그네2025. 4. 14. 16:59삭제
피토관의 모리부분은 유체의 유동방향에 대하여 평행하게 부착한다.
규2024. 1. 21. 16:16삭제
피토관머리부분은 45도의 각도로 부착한다
52. 다음 중 압력식 온도계가 아닌 것은?
- ① 액체팽창식 온도계
- ② 열전 온도계
- ③ 증기압식 온도계
- ④ 가스압력식 온도계
에관기박사2025. 7. 24. 21:42삭제
열전대 온도계는 제백효과(전기적 원리) 이용한 압력계
53. 방사고온계의 장점이 아닌 것은?
- ① 고온 및 이동물체의 온도측정이 쉽다.
- ② 측정시간의 지연이 작다.
- ③ 발신기를 이용한 연속기록이 가능하다.
- ④ 방사율에 의한 보정량이 작다.
규2024. 1. 21. 16:17삭제
보정량이 작은것은 방사고온계의 단점에 해당된다
54. 기체 크로마토그래피에 대한 설명으로 틀린 것은?
- ① 캐리어 기체로는 수소, 질소 및 헬륨 등이 사용된다.
- ② 충전재로는 활성탄, 알루미나 및 실리카겔 등이 사용된다.
- ③ 기체의 확산속도 특성을 이용하여 기체의 성분을 분리하는 물리적은 가스분석기이다.
- ④ 적외선 가스분석기에 비하여 응답속도가 빠르다.
규2024. 1. 21. 16:19삭제
적외선가스에 비해 응답속도가 느립니다
김철새2021. 9. 11. 15:41삭제
수소가 캐리어 기체로 사용하는건 처음 알았네용
55. 다이어프램 압력계의 특징이 아닌 것은?
- ① 점도가 높은 액체에 부적합하다.
- ② 먼지가 함유된 액체에 적합하다.
- ③ 대기압과의 차가 적은 미소압력의 측정에 사용한다.
- ④ 다이어프램으로 고무, 스테인리스 등의 탄성체 박판이 사용된다.
도땃쥐2023. 2. 18. 21:12삭제
다이어프램 압력계는 점도가 높은 액체에 적합하다.
56. 열전대(thermocouple)는 어떤 원리를 이용한 온도계인가?
- ① 열팽창율 차
- ② 전위 차
- ③ 압력 차
- ④ 전기저항 차
규2024. 1. 21. 16:20삭제
열전대는 전위차의 원리를 이용한 온도계이다
57. 액주식 압력계의 종류가 아닌 것은?
- ① U자관형
- ② 경사관식
- ③ 단관형
- ④ 벨로즈식
도땃쥐2023. 2. 18. 21:11삭제
벨로스식은 탄성식 압력계
58. 불규칙하게 변하는 주변 온도와 기압 등이 원인이 되며, 측정 횟수가 많을수록 오차의 합이 0에 가까운 특징이 있는 오차의 종류는?
- ① 개인오차
- ② 우연오차
- ③ 과오오차
- ④ 계통오차
등록된 댓글이 없습니다.
59. 차압식 유량계의 종류가 아닌 것은?
- ① 벤투리
- ② 오리피스
- ③ 터빈유량계
- ④ 플로우노즐
도땃쥐2023. 2. 18. 21:11삭제
터빈유량계는 유속식 유량계
60. 다음 중 송풍량을 일정하게 공급하려고 할 때 가장 적당한 제어방식은?
- ① 프로그램제어
- ② 비율제어
- ③ 추종제어
- ④ 정치제어
등록된 댓글이 없습니다.
4과목 : 열설비재료 및 관계법규
61. 에너지이용 합리화법령에 따라 자발적 협약체결기업에 대한 지원을 받기 위해 에너지사용자와 정부 간 자발적 협약의 평가기준에 해당하지 않는 것은?
- ① 계획 대비 달성률 및 투자실적
- ② 에너지이용 합리화 자금 활용실적
- ③ 자원 및 에너지의 재활용 노력
- ④ 에너지절감량 또는 에너지의 합리적인 이용을 통한 온실가스배출 감축량
등록된 댓글이 없습니다.
62. 소성가마 내 열의 전열방법으로 가장 거리가 먼 것은?
- ① 복사
- ② 전도
- ③ 전이
- ④ 대류
등록된 댓글이 없습니다.
63. 도염식 가마(down draft kiln)에서 불꽃의 진행방향으로 옳은 것은?
- ① 불꽃이 올라가서 가마천장에 부딪쳐 가마바닥의 흡입구멍으로 빠진다.
- ② 불꽃이 처음부터 가마바닥과 나란하게 흘러 굴뚝으로 나간다.
- ③ 불꽃이 연소실에서 위로 올라가 천장에 닿아서 수평으로 흐른다.
- ④ 불꽃의 방향이 일정하지 않으나 대개 가마 밑에서 위로 흘러나간다.
등록된 댓글이 없습니다.
64. 아래는 에너지이용 합리화법령상 에너지의 수급차질에 대비하기 위하여 산업통상자원부장관이 에너지저장의무를 부과할 수 있는 대상자의 기준이다. ( )에 들어갈 용어는?

- ① 1천
- ② 5천
- ③ 1만
- ④ 2만
등록된 댓글이 없습니다.
65. 다음 중 에너지이용 합리화법령에 따른 검사대상기기에 해당하는 것은?
- ① 정격용량이 0.5MW인 철금속가열로
- ② 가스사용량이 20kg/h 인 소형 온수보일러
- ③ 최고사용압력이 0.1MPa이고, 전열면적이 4m2인 강철제 보일러
- ④ 최고사용압력이 0.1MPa 이고, 동체 안지름이 300mm이며, 길이가 500mm인 강철제 보일러
ㅇㅇ2026. 1. 13. 23:03삭제
1. 정격용량 0.58MW 초과
3. 최고사용압력이 0.1MPa 이하, 전열면적 5m²이하인 보일러
4. 최고사용압력이 0.1MPa 이하이고, 동체의 안지름이 300mm이하이며 길이가 600mm이하인 보일러(제외)
66. 샤모트(chamotte) 벽돌의 원료로서 샤모트 이외의 가소성 생점토(生粘土)를 가하는 주된 이유는?
- ① 치수 안정을 위하여
- ② 열전도성을 좋게 하기 위하여
- ③ 성형 및 소결성을 좋게 하기 위하여
- ④ 건조 소성, 수축을 미연에 방지하기 위하여
등록된 댓글이 없습니다.
67. 크롬벽돌이나 크롬-마그벽돌이 고온에서 산화철을 흡수하여 표면이 부풀어 오르고 떨어져 나가는 현상은?
- ① 버스팅
- ② 큐어링
- ③ 슬래킹
- ④ 스폴링
등록된 댓글이 없습니다.
68. 에너지이용 합리화법령상 효율관리가지재에 대한 에너지소비효율등급을 거짓으로 표시한 자에 해당하는 과태료는?
- ① 3백만원 이하
- ② 5백만원 이하
- ③ 1천만원 이하
- ④ 2천만원 이하
2천만원 이하2025. 8. 11. 20:18삭제
거짓이 제일 나빠
69. 에너지이용 합리화법령에 따라 효율관리기자재의 제조업자 또는 수입업자는 효율관리시험기관에서 해당 효율관리기자재의 에너지 사용량을 측정 받아야 한다. 이 시험기관은 누가 지정하는가?
- ① 과학기술정보통신부장관
- ② 산업통산자원부장관
- ③ 기획재정부장관
- ④ 환경부장관
등록된 댓글이 없습니다.
70. 보온재의 구비 조건으로 틀린 것은?
- ① 불연성일 것
- ② 흡수성이 클 것
- ③ 비중이 작을 것
- ④ 열전도율이 작을 것
규2024. 1. 21. 16:27삭제
흡수성은 작아야된다
71. 에너지법령상 시·도지사는 관할 구역의 지역적 특성을 고려하여 저탄소 녹색성장 기본법에 따른 에너지기본계획의 효율적인 달성과 지역경제의 발전을 위한 지역에너지 계획을 몇 년마다 수립·시행하여야 하는가?
- ① 2년
- ② 3년
- ③ 4년
- ④ 5년
등록된 댓글이 없습니다.
72. 에너지이용 합리화법령에 따라 에너지절약 전문기업의 등록신청 시 등록신청서에 첨부해야할 서류가 아닌 것은?
- ① 사업계획서
- ② 보유장비명세서
- ③ 기술인력명세서(자격증명서 사본 포함)
- ④ 감정평가업자가 평가한 자산에 대한 감정평가서(법인인 경우)
등록된 댓글이 없습니다.
73. 에너지이용 합리화법령상 검사의 종류가 아닌 것은?
- ① 설계검사
- ② 제조검사
- ③ 계속사용검사
- ④ 개조검사
에관기박사2025. 7. 24. 22:31삭제
개조, 설치, 제조, 재사용, 계속사용, 설치장소변경
74. 고온용 무기질 보온재로서 경량이고 기계적 강도가 크며 내열성, 내수성이 강하고 내마모성이 있어 탱크, 노벽 등에 적합한 보온재는?
- ① 암면
- ② 석면
- ③ 규산칼슘
- ④ 탄산마그네슘
등록된 댓글이 없습니다.
75. 에너지이용 합리화법령상 특정열사용기자재의 설치·시공이나 세관(洗罐)을 업으로 하는 자는 어떤 법령에 따라 누구에게 등록하여야 하는가?
- ① 건설산업기본법, 시·도지사
- ② 건설산업기본법, 과학기술정보통신부장관
- ③ 건설기술 진흥법, 시장·구청장
- ④ 건설기술 진흥법, 산업통상자원부장관
등록된 댓글이 없습니다.
76. 작업이 간편하고 조업주기가 단축되며 요체의 보유열을 이용할 수 있어 경제적인 반연속식 요는?
- ① 셔틀요
- ② 윤요
- ③ 터널요
- ④ 도염식요
등록된 댓글이 없습니다.
77. 에너지이용 합리화법령에 따라 열사용기자재 관리에 대한 설명으로 틀린 것은?
- ① 계속사용검사는 검사유효기간의 만료일이 속하는 연도의 말까지 연기할 수 있으며, 연기하려는 자는 검사대상기기 검사연기 신청서를 한국에너지공단이사장에게 제출하여야 한다.
- ② 한국에너지공단이사장은 검사에 합격한 검사대상기기에 대해서 검사 신청인에게 검사일로부터 7일 이내에 검사증을 발급하여야 한다.
- ③ 검사대상기기관리자의 선임신고는 신고 사유가 발생한 날로부터 20일 이내에 하여야 한다.
- ④ 검사대상기기의 설치자가 사용 중인 검사대상기기를 폐기한 경우에는 폐기한 날부터 15일 이내에 검사대상기기 폐기신고서를 한국에너지공단이사장에게 제출하여야 한다.
길2022. 3. 27. 20:55삭제
30일 이내
78. 내식성, 굴곡성이 우수하고 양도체이며 내압성도 있어서 열교환기용 전열관, 급수관 등 화학공업용으로 주로 사용되는 관은?
- ① 주철관
- ② 동관
- ③ 강관
- ④ 알루미늄관
등록된 댓글이 없습니다.
79. 제철 및 제강공정 중 배소로의 사용 목적으로 가장 거리가 먼 것은?
- ① 유해성분의 제거
- ② 산화도의 변화
- ③ 분상광석의 괴상으로서의 소결
- ④ 원광석의 결합수의 제거와 탄산염의 분해
등록된 댓글이 없습니다.
80. 배관의 축 방향 응력 σ(kPa)을 나타낸 식은? (단, d : 배관의 내경(mm), p : 배관의 내압(kPa), t : 배관의 두께(mm) 이며, t는 충분히 얇다.)
- ①

- ②

- ③

- ④

규2024. 2. 14. 12:19삭제
축방향응력은 pd /4t
원주방향응력은 pd /2t
5과목 : 열설비설계
81. 증기압력 120kPa의 포화증기(포화온도 104.25℃, 증발잠열 2245 kJ/kg)를 내경 52.9mm, 길이 50m인 강관을 통해 이송하고자 할 때 트랩 선정에 필요한 응축수량(kg)은? (단, 외부온도 0℃, 강관의 질량 300kg, 강관비열 0.46 kJ/kg·℃ 이다.)
- ① 4.4
- ② 6.4
- ③ 8.4
- ④ 10.4
나만의나그네2025. 4. 17. 13:44삭제
cmt=mR
나만의나그네2025. 4. 17. 13:41삭제
증기압력 1.2kpa로 계산할것
꼬꼬쪼꼬2022. 9. 24. 17:11삭제
Q = mCdt = Wr0
W = mCdt / r0
= 300×0.46×104.25 / 2245
= 6.408
82. 보일러의 용량을 산출하거나 표시하는 값으로 틀린 것은?
- ① 상등증발량
- ② 보일러마력
- ③ 재열계수
- ④ 전열면적
등록된 댓글이 없습니다.
83. 프라이밍 및 포밍의 발생 원인이 아닌 것은?
- ① 보일러를 고쉬위로 운전할 때
- ② 중기부하가 적고 증발수면이 넓을 때
- ③ 주중기밸브를 급히 열었을 때
- ④ 보일러수에 불순물, 유지분이 많이 포함되어 있을 때
규2024. 1. 21. 16:33삭제
증기부하가적고 증발수면이 넓은건 정상적인 작동상태를 의미한다
84. 프라이밍 현상을 설명한 것으로 틀린 것은?
- ① 절탄기의 내부에 스케일이 생긴다.
- ② 안전밸브, 압력계의 기능을 방해한다.
- ③ 워터해머(water hanmmer)를 일으킨다.
- ④ 수면계의 수위가 요동해서 수위를 확이하기 어렵다.
123132025. 5. 13. 04:19삭제
절탄기는 배기가스와 급수가 열교환 하는 곳 임으로 스팀 증발면의 문제인 프라이밍과 무관하다.
85. 두께 20cm 의 벽돌의 내측에 10mm의 모르타르와 5mm의 플라스터 마무리를 시행하고, 외측은 두께 15mm의 모르타르 마무리를 시공하였다. 아래 계수를 참고할 때, 다층벽의 총 열관류율(W/m2·℃)은?

- ① 1.95
- ② 4.57
- ③ 8.72
- ④ 12.31
ㅇ2025. 1. 23. 18:01삭제
모르타르는 벽돌내측 10mm, 외측에 15mm를 시공하였으므로 두께는 25mm임
열관류율 K = 1/ [1/h1 + b1/λ1 + b2/λ2 + b3/λ3 + 1/h3]
= 1/[1/8 + 0.005/0.5 + (0.01+0.015)/1.3 + 0.2/0.65 + 1/20]
= 1.953
86. 100kN의 인장하중을 받는 한쪽 덮개판 맞대기 리벳이음이 있다. 리벳의 지름이 15mm, 리벳의 허용전단력이 60MPa 일 때 최소 몇 개의 리벳이 필요한가?
- ① 10
- ② 8
- ③ 6
- ④ 6
2일의전사2025. 5. 18. 00:56삭제
문제가 부정확함
한쪽에 필요한 최소 리벳의 갯수는? 이라고 바꿔야할듯
전단면은 1개임
강수2023. 8. 19. 09:46삭제
리벳의 전단 응력 ,복수 전단면 리벳 이음의 경우에는 전단 면적이 2배
전단응력=60000/(2*3.14*15^2)/4=10.62 kN, 100/10.62=9.42 ->10개
87. 노통연관식 보일러의 특징에 대한 설명으로 옳은 것은?
- ① 외분식이므로 방산손실열량이 크다.
- ② 고압이나 대용량보일러로 적당하다.
- ③ 내부청소가 간단하므로 급수처리가 필요없다.
- ④ 보일러의 크기에 비하여 전열면적이 크고 효율이 좋다.
등록된 댓글이 없습니다.
88. 보일러의 내부청소 목적에 해당하지 않는 것은?
- ① 스케일 슬러지에 의한 보일러 효율 저하방지
- ② 수면계 노즐 막힘에 의한 장해방지
- ③ 보일러 수 순환 저해방지
- ④ 수트블로워에 의한 매연 제거
rb2024. 1. 21. 16:36삭제
수트블로워에 의한 매연제거는 내부청소가 아니라 외부청소에 해당된다
89. 압력용기에 대한 수압시험의 압력기준으로 옳은 것은?
- ① 최고 사용압력이 0.1MPa 이상의 주철제 압력용기는 최고 사용압력의 3배이다.
- ② 비철금속제 압력용기는 최고 사용압력의 1.5배의 압력에 온도를 보정한 압력이다.
- ③ 최고 사용압력이 1MPa 이하의 주철제 압력용기는 0.1MPa 이다.
- ④ 법랑 또는 유리 라이닝한 압력용기는 최고 사용압력의 1.5배의 압력이다.
ㅇ2025. 1. 23. 18:06삭제
최고 사용압력이 0.1MPa 이상의 주철제 압력용기는 최고 사용압력의 2배이다
90. 보일러의 스테이를 수리·변경하였을 경우 실시하는 검사는?
- ① 설치검사
- ② 대체검사
- ③ 개조검사
- ④ 개체검사
등록된 댓글이 없습니다.
91. 노통 보일러에 갤러웨이 관을 직각으로 설치하는 이유로 적절하지 않은 것은?
- ① 노통을 보강하기 위하여
- ② 보일러수의 순환을 돕기 위하여
- ③ 전열 면적을 증가시키기 위하여
- ④ 수격작용을 방지하기 위하여
등록된 댓글이 없습니다.
92. 보일러의 전열면에 부착된 스케일 중 연질 성분인 것은?
- ① Ca(HCO3)2
- ② CaSO4
- ③ CaCl2
- ④ CaSiO3
등록된 댓글이 없습니다.
93. 이상적은 흑체에 대하여 단위면적당 복사에너지 E와 절대온도 T의 관계식으로 옳은 것은? (단, σ는 스테판-볼츠만 상수이다.)
- ① E = σT2
- ② E = σT4
- ③ E = σT6
- ④ E = σT8
등록된 댓글이 없습니다.
94. 공기예열기 설치에 따른 영향으로 틀린 것은?
- ① 연소효율을 증가시킨다.
- ② 과잉공기량을 줄일 수 있다.
- ③ 배기가스 저항이 줄어든다.
- ④ 질소산화물에 의한 대기오염의 우려가 있다.
배기가스2023. 12. 12. 05:48삭제
배기 가스저항은 굴곡부와 관계되므로 ..공기예열하고는 관계없음
김철새2021. 9. 11. 17:19삭제
질소 산화물이 높은 온도에서 결합되기 쉬워서, 공기를 예열하면 더 나오나 보네용..
95. 일반적으로 보일러에 사용되는 중화방청제가 아닌 것은?
- ① 암모니아
- ② 히드라진
- ③ 탄산나트륨
- ④ 포름산나트륨
등록된 댓글이 없습니다.
96. 내압을 받는 보일러 동체의 최고사용압력은? (단, t : 두께(mm), P : 최고사용압력(MPa), Di : 동체 내경(mm), η : 길이 이음효율, σa : 허용인장응력(MPa), α : 부식여유, k : 온도상수이다.)
- ①

- ②

- ③

- ④

등록된 댓글이 없습니다.
97. 관판의 두께가 20mm이고, 관 구멍의 지름이 51mm인 연관의 최소피치(mm)는 얼마인가?
- ① 35.5
- ② 45.5
- ③ 52.5
- ④ 62.5
규2024. 1. 31. 16:12삭제
1+(4.5/20) 곱하기 51
kbm2022. 9. 25. 09:53삭제
최소피치=(1+4.5/관판두께)*구멍지름
=(1+4.5/20)*51=62.475
김철새2021. 9. 11. 17:23삭제
최소피치 = 4.5 * (1+구멍) / 두께
98. 다음 각 보일러의 특징에 대한 설명 중 틀린 것은?
- ① 입형 보일러는 좁은 장소에도 설치할 수 있다.
- ② 노통 보일러는 보유수량이 적어 증기발생 소요시간이 짧다.
- ③ 수관 보일러는 구조상 대용량 및 고압용에 적합하다.
- ④ 관류 보일러는 드럼이 없어 초고압보일러에 적합하다.
규2024. 1. 21. 16:41삭제
노통보일러는 보유수량이 많다
99. 수관식 보일러에 급수되는 TDS가 2500 μS/cm 이고 보일러수의 TDS는 5000 μS/cm이다. 최대증기 발생량이 10000 kg/h 라고 할 때 블로우다운량(kg/h)은?
- ① 2000
- ② 4000
- ③ 8000
- ④ 10000
ㅇ2025. 1. 23. 18:14삭제
블로다운량 X=[W(1-R)d]/{r-d) (응축수는 회수하지 않으므로 응축수 회수율R=0)
= [1000*(1-0)*2500]/(5000-2500)
= 10000
12022. 4. 15. 00:01삭제
(2500*10000) / (5000-2500) = 10000
100. 원통형보일러의 노통이 편심으로 설치되어 관수의 순환작용을 촉진시켜 줄 수 있는 보일러는?
- ① 코르니시 보일러
- ② 라몬트 보일러
- ③ 케와니 보일러
- ④ 기관차 보일러
등록된 댓글이 없습니다.