항공기사(2003. 8. 10.) 시험일자 : 2003년 8월 10일
1과목 : 항공역학
1. 공기의 점성 계수에는 Poise 라는 단위를 쓴다. 1 Poise의 단위는?
- ① 1 dyneㆍsec-1ㆍcm
- ② 1 dyneㆍsec2ㆍcm-2
- ③ 1 dyneㆍsec2ㆍcm-1
- ④ 1 dyneㆍsecㆍcm-2
등록된 댓글이 없습니다.
2. 비행기의 날개와 꼬리날개(Tail)를 생각할 때 세로 안정성의 관계식은 다음과 같이 표시된다. 위식에 대한 설명에서 가장 올바른 것은?
- ① X/C는 날개의 a,c와 비행기의 c,g 사이의 위치이며 항상(+)의 값을 갖는다.
- ② qt/q는 tail coefficient 이며 St/S는 tail volume factor 이다.
- ③ dCMCㆍgdα= 0 일때 c,g 의 위치를 Basic Neutral Point 라 한다.
- ④ dε/dα는 down-wash의 영향을 나타내며 (-)의 값을 갖는다.
등록된 댓글이 없습니다.
3. 직사각형 날개에서 실속이 제일 처음 일어나는 부분은?
- ① 날개 뿌리 부분
- ② 날개끝 부분
- ③ 스팬의 1/4 되는 부분
- ④ 날개의 전부분
등록된 댓글이 없습니다.
4. 유도항력(Induced Drag)에 대한 설명 내용으로 가장 관계 가 먼 것은?
- ① 날개스팬(Span)이 커지면 감소한다.
- ② 시위(Chord)가 커지면 증가한다.
- ③ 가로세로비(Aspect Ratio)가 커지면 증가한다.
- ④ 날개면적(S)이 커지면 증가한다.
등록된 댓글이 없습니다.
5. 폭이 3m, 길이가 2m 인 미끈한 평판이 50m/sec의 흐름속에 놓여 있을 때 앞전에서 부터 1m 뒷쪽의 경계층의 두께 δ 는? (단, 동점성계수 υ = 1.5× 10-5m2/sec이며, 경계층의 두께의 식은 층류의 L.Prandtl 식을 이용할 것)
- ① 0.28cm
- ② 0.52cm
- ③ 0.63cm
- ④ 0.73cm
등록된 댓글이 없습니다.
6. 수평 비행하는 항공기의 필요마력을 Pℓ 이라 하고 동일한 받음각으로 이 항공기가 선회경사각 ø 로 수평 정상선회 비행을 하는 경우 소요되는 필요마력을 Pt라고 하면 Pt/Pℓ의 값은 어느 것인가?
- ①

- ②

- ③

- ④

등록된 댓글이 없습니다.
7. 프로펠러 비행기가 항속거리(Range)를 최대로 하기 위한 비행조건은?
- ① 필요마력을 최소로 한다.
- ② 양항비를 최대로 한다.
- ③ 추력을 최대로 한다.
- ④ 양항비를 최소로 한다.
등록된 댓글이 없습니다.
8. 수평비행 중에 돌풍을 받아 비행기의 기수가 올라갔다. 그러나 안정한 비행기는 원위치로 되돌아 오려는 모멘트가 작용한다. 이같은 작용은 무엇에 의해서 생기는가?
- ① 날개에 작용하는 양력의 변화에 의한 모멘트
- ② 수직꼬리날개(vertical tail)에 의한 비행기 중심에서의 모멘트
- ③ 수평꼬리날개에 의한 비행기 중심에서의 모멘트
- ④ 날개에 작용하는 항력의 변화에 의한 모멘트
등록된 댓글이 없습니다.
9. 날개의 앞전에서 풍압중심까지 거리를 Cp라 하고, 그때의 양력계수를 CL이라 하면, 앞전 둘레의 모멘트 계수 Cmo 의 표현 수식으로 가장 올바른 것은?
- ① CL×1/Cp
- ② Cp×1/CL
- ③ CL2×Cp
- ④ CL×Cp
등록된 댓글이 없습니다.
10. 이상유체(ideal fluid) 흐름에서 비회전(irrotation)인 경우 이차원 흐름에 대한 stream function(Ψ ), velocity potential(ø) 및 속도(u, v)의 관계는 다음과 같이 나타낼 수 있다. 가장 올바른 것은?
- ①

- ②

- ③

- ④

등록된 댓글이 없습니다.
11. 대기온도가 20℃ 일 때 공기 (r = 1.4)중의 음속은? (단, 공기의 기체상수 R = 29.27 m/° K 이다.)
- ① 340 m/sec
- ② 343 m/sec
- ③ 345 m/sec
- ④ 347 m/sec
등록된 댓글이 없습니다.
12. 스파이크형의 엔진흡입구에서 그림과 같이 충격파가 형성되어 공기흐름이 지나고 있다. 다음의 설명 중에서 맞는 것은?

- ① Mo < M1 < M2
- ② P1 > P2
- ③ P2 > P1 > Po
- ④ Mo < M1
등록된 댓글이 없습니다.
13. 공기는 그 유속이 저속 일 때 압축성을 무시할 수 있다. 이러한 공기는 다음의 어떤 성질을 무시할 수 있는가?
- ① 온도의 변화
- ② 압력의 변화
- ③ 밀도의 변화
- ④ 음속의 변화
등록된 댓글이 없습니다.
14. 항공기가 착륙할 때 활주거리가 단축되는 것은?
- ① 바람이 앞에서 불때
- ② 바람이 뒤에서 불때
- ③ 바람이 옆에서 불때
- ④ 바람이 위에서 불때
등록된 댓글이 없습니다.
15. 헬리콥터가 속도 V로 수직 상승할 때 추력을 나타내는 식으로 옳은 것은? (단, 주회전날개의 회전면에 의해 가속되는 유도속도는 Δv 이다.)
- ① T = ρ AΔ v (V + Δv/2)
- ② T = ρ AΔ v (V + Δv)
- ③ T = 2ρ AΔ v (V + Δv/2)
- ④ T = 2ρ AΔ v (V + Δv)
등록된 댓글이 없습니다.
16. 항공기의 자기무게(empty weight)에 포함되지 않는 것은?
- ① 승무원 무게
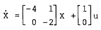
- ② 동력장치무게
- ③ 고정 밸러스트(ballast)무게
- ④ 배출불능 윤활유 무게
등록된 댓글이 없습니다.
17. 만약 항공기의 전방 무게중심(C.G) 한계 계산에서 무게 중심(C.G)가 전방 무게중심(C.G) 한계를 1m 벗어난 전방에 있다면, 다음 설명 중 틀린 것은?
- ① 항공기의 미부에 무게를 증가 시켜야 한다.
- ② 만약 항공기 전체의 무게가 1000kg라면 1000m-kg의 모멘트가 발생되는 꼴이다.
- ③ 항공기 앞쪽이 원래보다 무거워진다는 의미이다.
- ④ 전방 무게중심(C.G) 한계를 벗어난 경우 항공기 구조물의 형상을 바꾸어야 한다.
등록된 댓글이 없습니다.
18. 다음 설명중 가장 올바른 내용은 어느 것인가?
- ① 양의 동적안정이면 양의 정적안정이다.
- ② 양의 정적안정이면 양의 동적안정이다.
- ③ 음의 동적안정(동적 불안정)이면 양의 정적안정이다.
- ④ 가, 나, 다 모두 옳지 않다.
등록된 댓글이 없습니다.
19. 후퇴형 33날개에 대한 설명 내용으로 가장 올바른 것은?
- ① 직사각형 날개에 비해 wing tip stall이 덜 발생한다
- ② 직사각형 날개에 비해 임계 마하수가 높다.
- ③ 직사각형 날개에 비해 플랩의 효과가 크다.
- ④ 직사각형 날개에 비해 항공기의 속도가 증가함에 따라 충격파의 발생이 빠르다.
등록된 댓글이 없습니다.
20. 항공기의 무게, 날개의 면적, 운항고도가 일정할 경우, 최대 양력 계수(CL max))가 4배인 날개를 사용하면, 실속속도는 어떻게 변화하겠는가?
- ① 1/4배 감소
- ② 1/2배 감소
- ③ 2배 증가
- ④ 4배 증가
등록된 댓글이 없습니다.
2과목 : 항공기동력장치
21. 대기중을 Us[m/s]속도로서 수평비행하는 제트기가 2에서 분출가스 속도가 Uj[m/s]일 때, 추력 F㎏은 얼마인가? (단, Ga는 제트기관내를 흐르는 공기유량[㎏/s]이며, 연료유량은 공기유량 보다 아주 적다.)

- ①

- ②

- ③

- ④

등록된 댓글이 없습니다.
22. 항공기 왕복 엔진에서 Choked bore를 사용하는 주 목적은?
- ① 연소가스가 압축링을 지나가는 것을 방지
- ② 정상작동 온도에서 똑바로 내경을 유지
- ③ 과도한 실린더 벽 마모를 방지
- ④ 오일이 실린더 헤드로 들어오는 것을 방지
등록된 댓글이 없습니다.
23. 정속 프로펠러(Constant speed propeller)에서 작동되는 Pilot valve는 무엇에 의해서 제어되는가?
- ① Booster pump의 Oil압력에 의해서
- ② Flyweight의 원심력에 의해서
- ③ Booster pump relief valve에 의해서
- ④ 자동제어가 안되며, 수동으로
등록된 댓글이 없습니다.
24. De-Laval 노즐에서 초음속을 낼 수 있는 곳은?
- ① 수축부분
- ② 노즐 목(nozzle throat)
- ③ 확산부분
- ④ 경우에 따라 수축 또는 확산 부분
등록된 댓글이 없습니다.
25. 엔진이 노킹(knocking)을 일으키면 여러가지 현상이 나타나지만 엔진의 작동에 직접 영향이 있는 현상은?
- ① 흡입효율이 나빠진다.
- ② 연료 소비량이 증대한다.
- ③ 회전속도가 증가한다.
- ④ 실린더 온도가 상승한다.
등록된 댓글이 없습니다.
26. 프로펠러의 직경을 D,회전수를 n,공기밀도를 ρ ,추력계수를 CT라 하면 프로펠러의 추력 T는 어떻게 표시되는가?
- ① T = CTρ nD2
- ② T = CTρ n2D4
- ③ T = CTρ n2D2
- ④ T = CTρ n2D6
등록된 댓글이 없습니다.
27. 충동 터빈(impulse turbine)에서 압력강하에 대한 설명으로 가장 올바른 것은?
- ① 정익(stator)에서 일어난다.
- ② 동익(rotor)에서 일어난다.
- ③ 정익 및 동익에서 일어난다.
- ④ 정익 및 동익에서 번갈아 가며 주기적으로 일어난다.
등록된 댓글이 없습니다.
28. 9기통 성형 기관의 밸브 캠링(cam ring)위에 4개의 캠로브(cam lobe)가 있다. 캠의 회전속도와 방향에 대하여 가장 올바른 것은?
- ① 크랭크축 회전속도의 1/8속도, 같은방향
- ② 크랭크축 회전속도의 1/8속도, 반대방향
- ③ 크랭크축 회전속도의 9/8속도, 같은방향
- ④ 크랭크축 회전속도의 9/8속도, 반대방향
등록된 댓글이 없습니다.
29. 열효율과 연료소비율의 관계를 가장 올바르게 설명한 것은? (단, 발열량은 일정하다.)
- ① 열효율은 연료소비율의 제곱에 비례한다.
- ② 열효율은 연료소비율의 제곱에 반비례한다.
- ③ 열효율과 연료소비율은 반비례한다.
- ④ 열효율은 연료소비율에 비례한다.
등록된 댓글이 없습니다.
30. C.F.R 기관이란?
- ① 시계 비행용의 소형항공기에 장비하는 기관이다.
- ② 연료의 발열량을 측정하는 기관이다.
- ③ 연료의 내폭성을 시험하는 기관이다.
- ④ 글라이더용 기관이다.
등록된 댓글이 없습니다.
31. 지압선도에 표시되는 넓이는 무엇을 나타내는가?
- ① 압력
- ② 배기량
- ③ 일
- ④ 힘
등록된 댓글이 없습니다.
32. 가스터빈 기관의 연료계통을 작업후 연료계통의 누설검사(LEAK CHECK)를 위해 실시하는 기관작동 점검방법의 명칭은?
- ① 드라이 모터링(DRY MOTORING)
- ② 웨트 모터링(WET MOTORING)
- ③ 아이들 작동(IDLE)
- ④ 엔진 추력 100% 까지 작동
등록된 댓글이 없습니다.
33. 어떤 왕복기관중에서 배기밸브스템(exhaust valve stem) 내부에 금속 나트륨(metallic sodium)을 사용하는 경우가 있는데 주 목적은 무엇인가?
- ① 진동감소
- ② 중량감소
- ③ 냉각촉진
- ④ 충격방지
등록된 댓글이 없습니다.
34. 물질의 열역학적 성질 중 강도성 성질(Intensive Property)은 어느 것인가?
- ① 질량
- ② 무게
- ③ 압력
- ④ 체적
등록된 댓글이 없습니다.
35. 프로펠러의 효율을 설명한 내용으로 가장 올바른 것은?
- ① 프로펠러가 행한 유효일과 엔진에서 얻은 전체 출력과의 비
- ② 프로펠러의 축마력과 추력마력의 비
- ③ 프로펠러에 입력된 제동마력과 비행기에 사용된 축 마력의 비
- ④ 프로펠러의 기하피치와 유효피치의 비
등록된 댓글이 없습니다.
36. 가스터빈 기관의 연료조절기장치(F.C.U)에 영향을 미치는 요소로 가장 관계가 먼 것은?
- ① 압축기 출구온도
- ② 회전수 (rpm)
- ③ 압축기 출구압력
- ④ 항공기 속도
등록된 댓글이 없습니다.
37. 프로니 브레이크(Prony Brake)에 의한 제동마력의 계산식은? (단, P=작용력(㎏), R=아암의 길이(m), n=회전수(rpm), Ne=제동마력)
- ①

- ②

- ③

- ④

등록된 댓글이 없습니다.
38. throttle valve를 완전히 열었을 때 기화기를 통과하는 공기의 양은 다음 중 무엇이 제한하는가?
- ① throttle butterfly valve
- ② venturi
- ③ air screen
- ④ discharge nozzle
등록된 댓글이 없습니다.
39. 그림은 어느 사이클의 T-S선도인가?

- ① BRAYTON사이클
- ② STIRING사이클
- ③ ERICSSON사이클
- ④ JOUIE사이클
등록된 댓글이 없습니다.
40. 내부 에너지= 30Kcal, 압력= 4기압, 체적= 2m3인 계의 엔탈피는 얼마인가?
- ① 193.6Kcal
- ② 325.2Kcal
- ③ 223.6Kcal
- ④ 282.7Kcal
등록된 댓글이 없습니다.
3과목 : 항공기구조
41. flange가 굽힘모멘트를 전담한다고 가정하면 WEB의 전단 흐름 q는 얼마인가?

- ① q = 0
- ② q = v
- ③ q=v/2h
- ④ q=v/h
등록된 댓글이 없습니다.
42. 감항류"A"류에 속하는 항공기의 설계제한 하중계수(load factor)는 얼마인가?
- ① 1
- ② 2.5
- ③ 4.4
- ④ 6.0
등록된 댓글이 없습니다.
43. 고성능항공기의 날개 앞쪽부분(leading edge)에 장착되어 움직이는 Airfoil인 날개슬랫(wing slat)은 주로 어떠한 기능을 하는 것인가?
- ① 실속속도를 감소시킨다.
- ② 속도제동기(speed brake)역할을 한다.
- ③ 이륙속도를 증가시켜 준다.
- ④ 날개 뒷부분(trailing edge)의 flap을 대신해준다.
등록된 댓글이 없습니다.
44. 그림과 같은 평면요소에 σ =12000 kg/cm2, τ = 4000kg/cm2 가 작용하고 있다. 이때 이요소에 존재하는 최대 주응력은 대략 얼마 정도인가?

- ① 1220 kg/cm2
- ② 13210 kg/cm2
- ③ 2440 kg/cm2
- ④ 3660 kg/cm2
등록된 댓글이 없습니다.
45. x, y 평면 응력 상태에서 수직응력을 각각 σx, σy, 전단응력을τ xy, 물체력(Body force)을 각각X,Y라 하면 재료내 임의의 점에 있어서의 미소부분에 대하여 x축 방향의 힘의 평형 방정식은 어느 것인가?
- ①

- ②

- ③

- ④

등록된 댓글이 없습니다.
46. 1차 조종면의 앞전(leading edge)에 counter weight를 부착하여 정적안정을 유지시켜 주는 가장 큰 이유는?
- ① 지상에서 비행조종 장치가 구조적으로 안전하게 하기 위하여
- ② 비행조종면의 tab을 제거시키기 위해
- ③ 비행조종면의 진동(flutter)의 가능성을 배제시키기 위해
- ④ 조종장치의 Rigging을 간편하게 하기 위해
등록된 댓글이 없습니다.
47. 재료 단면의 도심주축에 대한 설명 내용으로 가장 관계가 먼 것은?
- ① 도심을 지나는 한쌍의 직교축이다.
- ② 어떤 단면이든지 간에 반드시 한쌍의 도심 주축을 갖는다.
- ③ 이축에 대한 관성 상승 모멘트(product moment of inertia)는 최대 혹은 최소치를 갖는다.
- ④ 단면의 대칭축은 반드시 도심주축의 하나이다.
등록된 댓글이 없습니다.
48. 다음 기둥의 좌굴에 대한 임계하중은 대략 얼마인가? (단, E=30×106psi임.)

- ① 13,740lb
- ② 34,920lb
- ③ 54,830lb
- ④ 109,710lb
등록된 댓글이 없습니다.
49. 그림이 나타내는 페일쎄이프구조( failsafe structure) 형식은?

- ① 다경로 하중구조
- ② 이중구조
- ③ 대치구조
- ④ 하중경감구조
등록된 댓글이 없습니다.
50. 섬유보강 플라스틱 복합재료의 장점이 아닌 것은?
- ① 무게가 가벼워서 항공기 등의 경량 구조에 적합하다.
- ② 고성능 재료로 만들기에 단가가 저렴하다.
- ③ 무게에 비해 강도, 강성이 우수하다.
- ④ 적층 배열을 변화시켜 목적에 따라 설계를 수행할 수 있다.
등록된 댓글이 없습니다.
51. 질량이 150kg인 모터가 각각 120kN/m의 스프링상수를 가지는 4개의 스프링으로 지지되어 있을 때, 공진의 진동수는 약 얼마 정도인가?

- ① 270 rpm
- ② 380 rpm
- ③ 440 rpm
- ④ 540 rpm
등록된 댓글이 없습니다.
52. 판에 있어서의 에어리스 스트레스 함수(Airy's stress function) ∮가 ∮= 3x2y + 2x2y2 + xy + 6 으로 주어졌다. x=2, y=3인 점에 있어서의 x방향 응력σx는?
- ① 4
- ② 8
- ③ 12
- ④ 16
등록된 댓글이 없습니다.
53. 기둥의 임계하중 Pcr에 대한 설명 내용으로 가장 관계가 먼 것은?
- ① 기둥의 길이의 제곱에 반비례한다.
- ② 기둥의 세장비(slenderness ratio)에 비례한다.
- ③ 재료의 탄성계수에 비례한다.
- ④ 기둥의 양단 지지 조건에 관계된다.
등록된 댓글이 없습니다.
54. 항공기에 사용되는 조종케이블의 장력에 대한 설명중 가장 올바른 것은?
- ① 추운겨울에는 조종케이블의 장력은 감소한다.
- ② 추운겨울에는 조종케이블의 장력은 증가한다.
- ③ 조종케이블은 일정온도까지는 케이블의 장력에 영향을 주지 못한다.
- ④ 조종케이블의 장력은 온도와 무관하다.
등록된 댓글이 없습니다.
55. 항공기 구조 설계를 수행할 때, 초기 설계 단계에서 적절하지 못한 것은?
- ① 단순한 해석 도구를 사용하여 반복 해석을 통해 설계 변수의 추이를 살펴서 초기 설계를 수행한다.
- ② 상세한 해석을 수행할 필요가 없고, 개략적인 해석으로도 충분하다.
- ③ 유한요소등의 소프트 웨어를 사용하여 최적 설계를 수행한다.
- ④ 동적 해석에 의한 시간 응답 등은 이 단계에서 수행하지 않아도 된다.
등록된 댓글이 없습니다.
56. 보의 순수만곡(PURE BENDING)에 대한 설명중 틀린 것은?
- ① 순수만곡 부분에 있어서 전단력은 없다.
- ② 보의 단면이 대칭축을 가질 때만이 순수만곡을 받을 수 있다.
- ③ 순수만곡 부분에서 변형곡선은 단면이 일정하면 원호를 이룬다.
- ④ 전단력이 일정한 부분에서 보는 순수만곡이 아닐수도 있다.
등록된 댓글이 없습니다.
57. 조화운동이 진폭 10mm, 진동수 20Hz일 때, 최대속도와 최대 가속도가 맞게 연결된 것은?
- ① 1.257m/sec, 157.914m/sec2
- ② 0.628m/sec, 157.914m/sec2
- ③ 0.628m/sec, 39.478m/sec2
- ④ 1.257m/sec, 39.478m/sec2
등록된 댓글이 없습니다.
58. 기체구조에 있어서 buckling 현상을 막기 위하여 외피 내부에 다음의 부재 중 어느것을 부착하는가?
- ① fabric
- ② stringer or stiffener
- ③ former
- ④ spar
등록된 댓글이 없습니다.
59. 단면적이 5cm2, 길이 2m인 봉을 탄성한계내에서 200.4cm 로 늘리는데 800kg의 인장력이 필요하다. 포와손비가 0.3이라할 때 이 재료의 전단탄성 계수(G)는 대략 얼마인가?
- ① 20,500kg/cm2
- ② 30,800kg/cm2
- ③ 40,000kg/cm2
- ④ 80,000kg/cm2
등록된 댓글이 없습니다.
60. 다음과 같이 일정한 장력 T가 작용하는 줄의 수직 방향의 고유진동수를 올바르게 표시한 것은? (단, 변위는 작다고 가정한다.)
- ①

- ②

- ③

- ④

등록된 댓글이 없습니다.
4과목 : 항공장비
61. 다음 중 Brake Actuator에 사용되는 Actuator Type은?
- ① Single Actuating Actuator
- ② Double Actuating Actuator
- ③ Double Actuating Balanced Actuator
- ④ Cushion Type Actuator
등록된 댓글이 없습니다.
62. 항공기에서 널리 사용되고 있는 유량계가 아닌 것은?
- ① 피스톤식 유량계
- ② 차압식 유량계
- ③ 면적식 유량계
- ④ 질량 유량계
등록된 댓글이 없습니다.
63. 프레온 공기조절 장치에 증발기(evaporator)의 목적은 무엇인가?
- ① 프레온의 압력을 증가하기 위하여
- ② 가스로 부터 액체로 변화시키기 위하여
- ③ 프레온의 압력을 감소시키기 위하여
- ④ 객실공기로 부터 열을 뺏기 위하여
등록된 댓글이 없습니다.
64. 항공기에 사용되는 직류 발전기로서 가장 관계가 먼 것은?
- ① 분권계자 발전기
- ② 분권계자가 강한 복권계자 발전기
- ③ 랩(lap)권선 아마튜어 발전기
- ④ 직권계자 발전기
등록된 댓글이 없습니다.
65. 공기가 단열변화를 한다고 가정할 때, 압축2/팽창1에 따른 압력(P)과 온도(T)와의 관계를 가장 올바르게 표시한 것은? (단, r=비열비)
- ① P2= P1(T2/T1)r/(r-1)
- ② P2= P1(T2T1)(r-1)/r
- ③ P1= P2(T2/T1)(r-1)/r
- ④ P1= P2(T2/T1)r/(r-1)
등록된 댓글이 없습니다.
66. 다음 방위에 대한 설명 중 틀린 것은?
- ① 진방위란 지축의 북방에서 항공기의 진로를 시계방향으로 잰 각을 말한다.
- ② 자방위란 지자기축의 북방에서 항공기의 진로를 시계방향으로 잰 각을 말한다.
- ③ 나방위란 나침반의 나침의 북에서 항공기의 진로를 시계방향으로 잰 각을 말한다.
- ④ 진방위는 자방위에 자차 및 편각을 합한 값으로 즉, 진방위 = 자방위 + 자차 + 편각 이다.
등록된 댓글이 없습니다.
67. 전기 저항식 온도계에서 온도 탐지부위의 저항을 감소시키면 온도계의 지시는 어떻게 되는가?
- ① 낮게 지시한다.
- ② 높게 지시한다.
- ③ 변화가 없다.
- ④ 주위 여건에 따라 다르다.
등록된 댓글이 없습니다.
68. 대형 항공기의 Equipment Cooling System에 대한 설명 중 잘못된 것은?
- ① Equipment cooling System은 Electric Power만 공급되면 항상 작동되어야 한다.
- ② 비행시 Cooling Fan이 고장나면, 차압을 이용하여 Cooling 할 수 있다.
- ③ Ground Exhaust Valve는 비행 중 Smoke가 감지되면 열려 Cooling Air를 외부로 배출한다.
- ④ 지상에서 외부온도가 일정온도 이상이면 Ground Exhaust Valve가 Open되어 뜨거워진 Cooling Air를 외부로 배출한다.
등록된 댓글이 없습니다.
69. 자이로 계기들의 자유도에 관한 설명으로 가장 올바른 것은?
- ① 정침의(Direction Gyro)-자유도 3, 선회계-자유도 3
- ② 인공수평의-자유도 2, 선회계- 자유도 3
- ③ 선회계-자유도 2, 인공수평의(Gyro Horizon)-자유도3
- ④ 정침의-자유도 2, 선회계-자유도 2
등록된 댓글이 없습니다.
70. 수정대기속도(Calibrated Air Speed, CAS)에 공기의 압축성 효과와 고도변화에 따른 밀도수정을 하면?
- ① 등가대기속도(Equivalent Air Speed, EAS)
- ② 지시대기속도(Indicated Air Speed, IAS)
- ③ 진대기속도(True Air Speed, TAS)
- ④ 수정대기속도 그대로
등록된 댓글이 없습니다.
71. 가동코일(coil)형 계기로 교류전압과 전류를 측정하고자 할 때 필요한 것은?
- ① 배율기
- ② 정류기
- ③ 변류기
- ④ 분류기
등록된 댓글이 없습니다.
72. FMS(Flight Management System)의 주요기능에 포함되지 않는 것은?
- ① 조종사 작업부담감소
- ② 비행 안전성 향상
- ③ 연료 절감
- ④ 자동착륙
등록된 댓글이 없습니다.
73. 직류 전동기에서 보상 권선을 사용하는 주 목적은?
- ① 회전수를 일정하게 유지하기 위하여
- ② 속도 제어를 하기 위하여
- ③ 전기자 반작용을 감소하기 위하여
- ④ 토크를 증가시키기 위하여
등록된 댓글이 없습니다.
74. 고도설정방식 중에서 진고도(true altitude)를 지시하는 것은?
- ① QNE
- ② QFE
- ③ QNH
- ④ QFH
등록된 댓글이 없습니다.
75. 여압밸브(outflow valve)의 설치 목적은?
- ① 항공기 외부의 공기를 내부로 들여 보내서 객실압력을 제어하기 위하여
- ② 객실내의 공기압력을 제어하기 위하여
- ③ 객실내의 공기온도를 제어하기 위하여
- ④ 객실내의 공기압력과 온도를 제어하기 위하여
등록된 댓글이 없습니다.
76. 최근 항공기에 탑재되어 항공기와 산악 또는 지면과의 충돌 사고를 방지하는 장치는?
- ① WEATHER RADAR
- ② INS
- ③ GPWS
- ④ RADIO ALTIMETER
등록된 댓글이 없습니다.
77. 다음 항공기 유압회로에서 꿩밸브의 이름은?

- ① 셀렉터 밸브
- ② 언로-딩 밸브
- ③ 릴리이프 밸브
- ④ 첵크 밸브
등록된 댓글이 없습니다.
78. 조종실 음성기록장치(cockpit voice recorder)에 기록되는 데이터와 가장 관계가 먼 것은?
- ① 무선에 따른 항공기내에서 송.수신하는 음성통신(관제 교신)
- ② 조종실내 승무원의 음성통신(승무원의 대화)
- ③ 객실 승무원의 음성통신(객실 승무원의 대화)
- ④ 헤드셋(Headset) 또는 스피커로 전해지는 음성(항행안전시스템 또는 계기확률시스템에 사용되는 마커음)
등록된 댓글이 없습니다.
79. 교류발전기의 주파수는 60 Hz이고, 회전수가 매분 1800회 일 때 이 발전기의 극수는?
- ① 2
- ② 4
- ③ 8
- ④ 12
등록된 댓글이 없습니다.
80. 교류의 주파수가 증가하면 가장 크게 증가하는 값은?
- ① 인덕턴스
- ② 캐패시턴스
- ③ 임피턴스
- ④ 레지스턴스
등록된 댓글이 없습니다.
5과목 : 항공제어공학
81. 그림은 특성방정식의 근궤적을 나타낸 것이다. 특성방정식을 가장 올바르게 표현한 식은?

- ① S(S+4)+K=0
- ② (S+4)+KS=0
- ③ S+K(S+4)=0
- ④ KS(S+4)=0
등록된 댓글이 없습니다.
82. 전달함수가 K/s(s2+3s+16)=0 시스템의 단위피드백 제어계를 구성하였다. 이 시스템의 근궤적이 허수축을 교차하는 절편값과 이 때의 제어 이득값 K 는?
- ① 절편=±j 3, K=16
- ② 절편=±j 4, K=48
- ③ 절편=±j 5, K=24
- ④ 절편=±j 6, K=56
등록된 댓글이 없습니다.
83. 그림과 같은 특성 방정식의 근위치는 좌표계의 어떤 평면상에 있으며 제동비(DAMPING RATIO)δ 값은 어떤상태인가?

- ①

- ②

- ③

- ④

등록된 댓글이 없습니다.
84. 항공기의 세로안정성은 dCm/dα 로 판단한다. 만약 dCm/dα 의 절대값이 증가하면 항공기의 운동특성에는 어떤 영향을 미치는가?
- ① 장주기 운동의 감쇄율
- ② 장주기 운동의 고유진동수
- ③ 단주기 운동의 감쇄율
- ④ 단주기 운동의 고유진동수
등록된 댓글이 없습니다.
85. 항공기에 적용한 어떤 제어계의 특성방정식이 S(S+4)(S+6)+K=0 일 때 이 항공기가 안정될 K값의 조건을 가장 정확하게 정하면?
- ① K < 240
- ② K = 240
- ③ 0 > K
- ④ 240 > K > 0
등록된 댓글이 없습니다.
86. 그림의 블럭선도(Block)에서의 전달함수를 구하면?

- ① 1+G(S)/G(S)
- ② G(S)
- ③ 1+G(S)
- ④ G(S)/1+G(S)
등록된 댓글이 없습니다.
87. 그림과 같은 근궤적을 가장 올바르게 판단한 것은?

- ① 이득이 1/T보다 커야 안정하다.
- ② 최소 위상계(minimum phase system)가 아니다.
- ③ 한개의 미분요소를 포함하고 있다.
- ④ 원의 반지름은 1이다.
등록된 댓글이 없습니다.
88. 그림의 기계요소의 결합방식을 가장 올바르게 설명한 것은?

- ① k2, B와 병렬, k1과 M는 직렬연결
- ② k1, M, k2, B는 서로 병렬연결
- ③ 서로 직렬연결된 M, k2 와 B 및 k1은 병렬연결
- ④ k1, M, k2, B는 서로 직렬연결
등록된 댓글이 없습니다.
89. Cycling을 일으키는 제어는?
- ① 비례제어
- ② 적분제어
- ③ ON-OFF제어
- ④ 비례적분제어
등록된 댓글이 없습니다.
90. 항공기의 롤(roll) 운동특성을 스프링-질량-감쇄기에 비유할 때 빠진 요소는?
- ① 스프링
- ② 질량
- ③ 감쇄기
- ④ 빠진 요소 없음
등록된 댓글이 없습니다.
91. 모든 초기조건이 0 이고 단위임펄스 f(t)=u1(t)를 계에 가할 때 다음 식에 의해 나타내지는 계의 응답은? (단, D=d/dt이다.)

- ① y(t)=6e-2t-3e-3t
- ② y(t)=4e-2t-3e-3t
- ③ y(t)=6e-2t-2e-3t
- ④ y(t)=3e-2t-6e-3t
등록된 댓글이 없습니다.
92. 회전운동계에서 질량 M에 대응되는 양은?
- ① 회전력 T
- ② 각속도 ω (오메가)
- ③ 관성모멘트 J
- ④ 각 변위량 Q
등록된 댓글이 없습니다.
93. 라프라스 변환의 값이 1/S2이 되는 함수는 어느 것인가?
- ① 단위포물선함수(unit paraboric function)
- ② 단위램프함수(unit ramp function)
- ③ 단위계단함수(unit step function)
- ④ 단위임펄스함수(unit impulse function)
등록된 댓글이 없습니다.
94. 그림과 같은 상태방정식으로 주어지는 계의 과도응답 특성은 어떠한가?

- ① 발산진동
- ② 감쇠진동
- ③ 순수발산
- ④ 순수감쇄
등록된 댓글이 없습니다.
95. 힘 f(t)의 입력에 의하여 움직이는 질량 M의 물체좌표를 출력 y(t)라 할 때 가한 힘에 대한 전달함수는?
- ① MS2
- ② 1/MS2
- ③ 1/MS
- ④ MS
등록된 댓글이 없습니다.
96. 어떤 항공기의 종적운동 방정식의 4차 방정식의 인수분해 형태가 (S2+2S+4)(S2+6S+25) = 0일 때 장주기 종적진동 (Phugoid mode)의 주파수와 감쇄계수 ζP는?
- ① ωnP = √3 , ζP = 1
- ② ωnP = -1, ζP = 3
- ③ ωnP = 2, ζP = 0.5
- ④ ωnP = 5, ζP = 0.6
등록된 댓글이 없습니다.
97. 개루프 전달함수에 극점을 추가할 경우, 추가된 극점이 시스템에 주는 영향이 아닌 것은?
- ① 시스템을 보다 안정하게 만든다.
- ② 근궤적을 복소평면에서 우측으로 당긴다.
- ③ 시스템의 상대적 안정도를 낮춘다.
- ④ 시스템 반응의 정착시간을 느리게 한다.
등록된 댓글이 없습니다.
98. 어떤 계의 특성방정식 근이 다음과 같다. 이 계가 평형상태에서 벗어났을 때의 반응은 어떠한가? (단, j= -1 )

- ① 순수감쇄
- ② 순수발산
- ③ 발산진동
- ④ 감쇄진동
등록된 댓글이 없습니다.
99. 자동제어계의 응답이 지수함수적으로 감소하려면 특성방정식의 근은 어느 것인가?
- ① 부의 실근
- ② 정의 실근
- ③ 공액복소근
- ④ 공액허근
등록된 댓글이 없습니다.
100. 근궤적의 점근선과 실수축이 이루는 각도와 교점을 구할 때 상관없는 인자는?
- ① 영점의 갯수
- ② 극점의 갯수
- ③ 개루프 극점의 총합
- ④ 풍근의 갯수
등록된 댓글이 없습니다.