9급 지방직 공무원 응용역학개론(2013. 8. 24.) 시험일자 : 2013년 8월 24일
1. 다음 그림과 같은 변단면 강봉 ABC가 하중 P=20kN을 받고 있을 때, 강봉 ABC의 변형에너지[N·mm]는? (단, 탄성계수 E=200GPa, 원주율 π는 3으로 계산한다)

- ① 12,000
- ② 13,000
- ③ 14,000
- ④ 15,000
등록된 댓글이 없습니다.
2. 다음 그림과 같은 트러스 구조물에 중앙하중(P)이 재하될 때, 영부재(부재력이 발생하지 않는 부재)의 개수는?

- ① 1
- ② 2
- ③ 3
- ④ 4
등록된 댓글이 없습니다.
3. 다음 그림과 같이 원점 O에 세 힘이 작용할 때, 합력이 작용하는 상한의 위치는?

- ① 1상한
- ② 2상한
- ③ 3상한
- ④ 4상한
등록된 댓글이 없습니다.
4. 다음 그림과 같은 정사각형 기둥의 모서리에 20kN의 수직하중이 작용할 때, A점에 발생하는 수직응력[MPa]은?

- ① 0.5
- ② 1.5
- ③ 2.5
- ④ 3.5
등록된 댓글이 없습니다.
5. 다음 그림과 같은 프레임 구조물에 하중 P가 작용할 때, 프레임 구조물 ABCD에 발생하는 모멘트선도로 가장 가까운 것은?

- ①

- ②

- ③

- ④

등록된 댓글이 없습니다.
6. 다음 그림과 같이 평면응력을 받는 요소가 있다. 최대 전단응력이 발생하는 요소에서 수직응력[MPa]과 전단응력[MPa]은?

- ① ①
- ② ②
- ③ ③
- ④ ④
등록된 댓글이 없습니다.
7. 하중을 받는 보의 모멘트선도가 다음 그림과 같을 때, B점 및 C점의 전단력[kN]은? (단, AB구간 및 CD구간은 2차 곡선이고 BC구간은 직선이다. 또한 A점의 상향 수직반력은 5.5kN이다)

- ① ①
- ② ②
- ③ ③
- ④ ④
등록된 댓글이 없습니다.
8. 다음 그림과 같이 하중을 받는 게르버보에서 C점의 반력[kN]은?

- ① 10
- ② 12
- ③ 14
- ④ 16
등록된 댓글이 없습니다.
9. 어떤 단순보의 전단력선도가 다음 그림과 같을 때, 휨모멘트선도로 가장 가까운 것은? (단, 모멘트하중은 작용하지 않는다.)

- ①

- ②

- ③

- ④

등록된 댓글이 없습니다.
10. 다음 그림과 같은 단면을 갖는 보에 수직하중이 작용할 때, 이에 대한 설명으로 옳지 않은 것은?

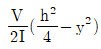
- ① 전단응력을 구할 때 사용하는 단면1차모멘트 Q는 이다.

- ② 전단력을 V, 단면2차모멘트를 I라 할 때, 전단응력은 이다.

- ③ 최대 전단응력은 중립축에서 발생한다.
- ④ 최대 전단응력의 크기는 평균 전단응력의 4/3배이다.
등록된 댓글이 없습니다.
11. 다음 그림과 같은 단순보에서 A점과 B점의 수직반력이 같을 때 B점에 작용하는 모멘트 M[kN·m]은?

- ① 10
- ② 20
- ③ 30
- ④ 40
등록된 댓글이 없습니다.
12. 다음 그림과 같은 물막이용 콘크리트 구조물이 있다. 구조물이 전도가 발생하지 않을 최대 수면의 높이 h[m]는? (단, 물과 접해 있는 구조물 수직면에만 수평방향의 정수압이 작용하는 것으로 가정한다. 물의 단위중량 10kN/m3, 콘크리트의 단위중량 25kN/m3이다.)

- ①

- ②

- ③

- ④

등록된 댓글이 없습니다.
13. 다음 그림과 같이 3개의 단순보가 각각 하중을 받고 있을 때, 최대처짐의 비는? (단, 모든 보의 EI는 동일하다.)

- ① ①
- ② ②
- ③ ③
- ④ ④
등록된 댓글이 없습니다.
14. 다음 그림과 같은 트러스에서 BD부재의 부재력[kN]은?

- ① 20(인장)
- ② 20(압축)
- ③ 30(인장)
- ④ 30(압축)
등록된 댓글이 없습니다.
15. 다음 그림과 같은 게르버보에서 C점의 처짐은? (단, 보의 휨강성은 EI이다.)

- ① 9P/EI
- ② 9P/2EI
- ③ 9P/4EI
- ④ 9P/8EI
등록된 댓글이 없습니다.
16. 다음과 같은 도형의 x축에 대한 단면2차모멘트는?

- ① 23a4/3
- ② 25a4/3
- ③ 23a4/12
- ④ 25a4/12
등록된 댓글이 없습니다.
17. 다음 그림과 같이 하중을 받는 단순보에서 C점의 최대 휨응력[MPa]은?

- ① 15
- ② 30
- ③ 45
- ④ 60
등록된 댓글이 없습니다.
18. 다음 그림과 같은 연속보가 정정보가 되기 위해서 필요한 내부힌지(internal hinge)의 개수는?

- ① 3
- ② 4
- ③ 5
- ④ 6
등록된 댓글이 없습니다.
19. 다음 그림과 같이 길이 L, 축강성도 2k인 원형튜브 속에 축강성도 k인 원형 실린더가 포함된 구조물이 있다. 좌측단은 일체로 고정되고 우측단은 원형강체판과 연결되어 축변형을 제어하고 있다. 외부 튜브에 온도변화(△T)가 발생하였을 때, 원형강체판의 수평변위 δ는? (단, 강성도 k는 EA/L이다. 또한 α는 튜브의 열팽창계수이며, 모든 부재의 자중효과는 무시한다.)

- ① 2αL(△T)/3
- ② 3αL(△T)/4
- ③ 4αL(△T)/5
- ④ 5αL(△T)/6
등록된 댓글이 없습니다.
20. 다음 그림과 같은 구조물에서 B점의 수직처짐 는? (단, B점은 스프링 상수 인 스프링으로 지지되어 있고, 보의 휨강성 EI는 일정하다.)

- ①

- ②

- ③

- ④

등록된 댓글이 없습니다.