사회조사분석사 2급(2021. 8. 14.) 시험일자 : 2021년 8월 14일
1과목 : 조사방법론 I
1. 횡단연구(cooss-sectional study)에 관한 설명으로 틀린 것은?
- ① 추세연구는 횡단연구의 일종이다.
- ② 인구센서스 조사는 횡단연구의 대표적인 예이다.
- ③ 어느 한 시점에서 어떤 현상을 주의 깊에 연구하는 방법이다.
- ④ 횡단연구로 인과적 관계를 규명하려는 가설검증이 가능하다.
유리아2022. 10. 25. 14:16삭제
4번 횡단연구로 인과적 관계를 규명하려는 가설검증이 어떻게 가능하죠? (시간적 선후관계가 명확한 변수 예를 들어 출생 시점에서 측정된 특정 원인 변수가 있다면 가능한 것을 의미하는건가요)
최주리2022. 6. 24. 20:23삭제
추세연구는 횡단연구에 속해있지 않는다.
인구센서스 조사는 횡단연구의 대표적인 예이며, 어느 한 시점에서 어떤 현상을 주의 깊게 연구하는 방법이다. 횡단연구로 인과적 관계를 규명하려는 가설검증이 가능하다.
2. 탐색적 조사의 유형(방법)에 해당하지 않는 것은?
- ① 문헌조사
- ② 인과조사
- ③ 사례조사
- ④ 경험자·전문가 의견조사
최쥐리2022. 6. 24. 20:25삭제
탐색적 조사에는 문헌조사, 사례조사, 경험자 및 전문가 의견 조사가 포함된다.
3. 소시오메트리(sociometry)에 관한 설명으로 틀린 것은?
- ① 델파이 조사방법을 준용한다.
- ② 네트워크 분석과 관련이 있다.
- ③ 사람들의 대인관계에 관한 조사연구방법이다.
- ④ 주관적 경험을 통한 현상학적 접근으로 집단의 구조를 이해하려 한다.
등록된 댓글이 없습니다.
4. 다음은 솔로몬 연구설계에 관한 설명으로 맞는 것을 모두 고른 것은?

- ① ㉠, ㉢
- ② ㉠, ㉡, ㉢
- ③ ㉡, ㉣
- ④ ㉠, ㉡, ㉢, ㉣
등록된 댓글이 없습니다.
5. 인과관계의 일반적인 성립조건과 가장 거리가 먼 것은?
- ① 공변관계(covariation)
- ② 연속변수(continuous variable)
- ③ 시간적 선행성(temporal precedence)
- ④ 비허위적 관계(lack of spuriousness)
등록된 댓글이 없습니다.
6. 개인수준의 분석단위에서 도출된 결과를 집단수준으로 확대 해석할 때 나타날 수 있는 오류는?
- ① 분석오류
- ② 생태학적 오류
- ③ 집단주의적 오류
- ④ 개인주의적 오류
등록된 댓글이 없습니다.
7. 자신의 신분을 밝히지 않은 채 자연스럽게 일어나는 사회적 과정에 참여하는 관찰자의 역할은?
- ① 완전관찰자
- ② 참여자적 관찰자
- ③ 완전참여자
- ④ 관찰자적 참여자
등록된 댓글이 없습니다.
8. 단일사례연구에 관한 설명으로 틀린 것은?
- ① 비반응성 연구의 한 유형이다.
- ② 기초선으로 성숙효과를 통제할 수 있다.
- ③ 단일사례로서 개인, 가족, 단체 등이 분석대상이다.
- ④ 여러 명의 조사대상들에게 개입시기를 다르게 하면 우연한 사건효과를 통제할 수 있다.
등록된 댓글이 없습니다.
9. 다음 중 가설로서 가장 적합한 형태의 진술은?
- ① 철수는 지금 서울에 있다.
- ② 철수는 지금 서울에 있으면서 부산에 있다.
- ③ 철수는 지금 서울에 있으면서 동시에 서울에 있지 않다.
- ④ 철수는 지금 서울에 있거나 그렇지 않으면 서울에 있지 않다.
등록된 댓글이 없습니다.
10. 과학적 지식에 가장 가까운 것은?
- ① 절대적 진리
- ② 전통에 의한 지식
- ③ 개연성이 높은 지식
- ④ 전문가가 설명한 지식
등록된 댓글이 없습니다.
11. 질적 방법으로 수집된 자료에 관한 설명으로 틀린 것은?
- ① 현장중심의 사고를 할 수 있다.
- ② 자료의 표준화를 도모하기 쉽다.
- ③ 유용한 정보의 유실을 줄일 수 있다.
- ④ 정보의 심층적 의미를 파악할 수 있다.
등록된 댓글이 없습니다.
12. 연구의 목적과 사례의 연결이 잘못된 것은?
- ① 기술(description)-유권자들의 대선후보 지지율 조사
- ② 설명(explanation)-시민들의 왜 담배값 인상에 반대하는지 파악하고자 하는 연구
- ③ 평가(evaluation)-현재의 공공의료정책이 1인당 국민 의료비를 증가시켰는지에 대한 연구
- ④ 탐색(exploration)-단일사례설계를 통하여 운동이 체중 감소에 미치는 효과를 검증하는 연구
등록된 댓글이 없습니다.
13. 2차 자료 분석의 특징과 가장 거리가 먼 것은?
- ① 자료의 결측값을 추적할 수 있다.
- ② 자료를 직접 수집하지 않아도 된다.
- ③ 기존 데이터를 수정·편집해 분석할 수 있다.
- ④ 비교적 적은 비용으로 대규모사례 분석이 가능하다.
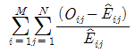
등록된 댓글이 없습니다.
14. 내용분석에 관한 설명으로 틀린 것은?
- ① 비개입적 연구이다.
- ② 표본추출은 하지 않는다.
- ③ 코딩을 위해서는 개념화 및 조작화가 이루어져야 한다.
- ④ 서적을 내용분석할 때 분석단위는 페이지, 단락, 줄 등이 가능하다.
등록된 댓글이 없습니다.
15. 회수된 질문지를 실제 분석에 사용할 것인지 판단할 필요가 있다. 다음의 질문지 중에서 분석에 포함시켜도 되는 질문지는?
- ① 질문지의 일부가 분실된 질문지
- ② 조사일정을 지나서 조사된 질문지
- ③ 조사지역을 벗어나서 조사된 질문지
- ④ 소수 항목에 대해 응답을 하지 않은 질문지
등록된 댓글이 없습니다.
16. 기술조사에 적합한 조사주제를 모두 고른 것은?

- ① ㉠, ㉡
- ② ㉡, ㉢
- ③ ㉠, ㉢
- ④ ㉠, ㉡, ㉢
등록된 댓글이 없습니다.
17. 과학적 연구방법의 특징이 아닌 것은?
- ① 논리성
- ② 인과성
- ③ 주관성
- ④ 경험적 검증 가능성
등록된 댓글이 없습니다.
18. 실험설계에 대한 설명으로 틀린 것은?
- ① 실험의 내적 타당도를 확보하기 위한 노력이다.
- ② 실험의 검증력을 극대화 시키고자 하는 시도이다.
- ③ 연구가설의 진위여부를 확인하는 구조화된 절차이다.
- ④ 조작적 상황을 최대한 배제하고 자연적 상황을 유지해야하는 표준화된 절차이다.
등록된 댓글이 없습니다.
19. 시간의 변화에 따른 특정 하위모집단의 변화를 관찰하는 연구는?
- ① 횡단연구
- ② 추이연구
- ③ 패널연구
- ④ 코호트연구
등록된 댓글이 없습니다.
20. 프로빙(probing)에 대한 설명으로 틀린 것은?
- ① 정확한 답을 얻기 위해 방향을 지시하는 기법이다.
- ② 답변의 정확도를 판단하는 방법으로 활용되기도 한다.
- ③ 개방형 질문에 대한 답을 비교하는 절차로서 활용된다.
- ④ 일종의 폐쇄식 질문에 답을 하고 이에 관련된 의문을 탐색하는 보조방법이다.
등록된 댓글이 없습니다.
21. 어떤 대학의 학생생활지도연구소에서는 해마다 신입생에 대한 인성검사를 실시하고 있다. 이 경우 시간과 비용면에서 효율적으로 조사를 하는데 가장 적합하다고 생각되는 조사양식은?
- ① 우편조사
- ② 대면적인 면접조사
- ③ 자기기입식 집단설문조사
- ④ 개별적으로 접근되는 질문지 조사
등록된 댓글이 없습니다.
22. 질문지에 사용되는 질문이나 진술을 작성하는 원칙과 가장 거리가 먼 것은?
- ① 항목들이 명확해야 한다.
- ② 질문항목들은 되도록 짧아야 한다.
- ③ 편견에 치우친 항목과 용어를 지양한다.
- ④ 부정어가 포함된 질문을 반드시 포함한다.
등록된 댓글이 없습니다.
23. 가설에 관한 설명으로 틀린 것은?
- ① ‘모든 사람은 죽는다.’는 좋은 가설의 예라고 할 수 있다.
- ② 가설은 방향성을 가질 수도 있고 그렇지 않을 수도 있다.
- ③ 가설은 서로 다른 두 개념이나 변수의 관계를 표시한다.
- ④ 가설은 아직까지 진실 여부가 확인되지 않은 사실에 대한 진술문이라고 할 수 있다.
등록된 댓글이 없습니다.
24. 다음 사례에 내재된 연구설계의 타당성 저해요인이 아닌 것은?

- ① 시험효과(testing effect)
- ② 도구효과(instrumentation)
- ③ 성숙효과(maturation effect)
- ④ 통계적 회귀(statistical regression)
ㅇㅇ2024. 6. 22. 21:24삭제
1. 시험효과 : 실험대상에 대해 동일한 측정을 반복할 경우 프로그램 참여자들이 검사에 친숙해짐으로 인해 결과에 영향을 미친다
2. 도구효과 : 프로그램 집행 전과 집행 후에 측정자의 측정기준이 달라지거나, 측정기준이 변화함에 따라 결과에 영향을 미친다.
3. 성숙효과 : 시간의 흐름에 따라 발생하는 조사대상 집단의 신체적, 심리적 특성의 변화 또는 실험이 진행되는 기간으로 인해 실험집단이 성숙되어 독립변수의 순수한 영향 이외의 변화가 종속변수에 미치게 된다.
4. 통계적 회귀 : 최초의 측정에서 양극단적인 측정값을 보인 결과가 이후 재측정의 과정에서 평균값으로 회귀한다.
-- > 검사도구나 검사방법은 바뀌지 않았으므로 정답은 2번.
112023. 7. 14. 00:39삭제
도구가 안바뀌었으니까 도구효과가 내재되있지 않은거지
회귀아님?2023. 6. 30. 06:12삭제
회귀아님 이거? 도구가 안바뀌었는데
25. 면접조사 시 질문의 일반적인 원칙과 가장 거리가 먼 것은?
- ① 문항은 하나도 빠짐없이 물어야 한다.
- ② 질문지에 있는 말 그대로 질문해야 한다.
- ③ 조사대상자가 대답을 잘 하지 못할 경우 필요한 대답을 유도할 수 있다.
- ④ 조사대상자가 가능한 비공식적인 분위기에서 편안한 자세로 대답할 수 있어야 한다.
등록된 댓글이 없습니다.
26. 연구에 사용할 가설이 좋은 가설인지 여부를 판단하기 위한 평가기준과 가장 거리가 먼 것은?
- ① 가설의 표현은 간단명료해야 한다.
- ② 가설은 계량화 할 수 있어야 한다.
- ③ 가설은 경험적으로 검증할 수 있어야 한다.
- ④ 동일 연구분야의 다른 가설이나 이론과 연관이 없어야 한다.
등록된 댓글이 없습니다.
27. 관찰법의 장점과 가장 거리가 먼 것은?
- ① 조사자가 현장에서 즉시 포착할 수 있다.
- ② 관찰결과의 해석에 대한 객관성이 확보된다.
- ③ 조사에 비협조적이거나 면접을 거부할 경우에 효과적이다.
- ④ 행위나 감정을 언어로 표현하지 못하는 유아나 동물이 조사대상인 경우 유용하다.
등록된 댓글이 없습니다.
28. 면접조사에서 응답내용의 신빙성을 저해하는 최근효과(recent effect)에 관한 설명으로 맞는 것은?
- ① 질문지(questionnaire)를 사용하는 사회조사 보다는 조사표(interview schedule)를 사용하는 면접조사에서 자주 발생한다.
- ② 무학이나 저학력 응답자들은 제일 먼저 들었던 응답내용을 그 다음에 들은 응답내용에 비해 훨씬 정확하게 기억하게 된다.
- ③ 무학이나 저학력 응답자들은 면접 직전에 면접자로부터 접하게 된 면접자의 생각이나 조언을 거의 무비판적으로 따라서 응답하는 경향이 있다.
- ④ 무학이나 저학력 응답자들은 아무리 최근에 입수한 정보나 직결된 내용일지라도 어려운 질문 내용은 잘 이해할 수 없어 조사의 실효성을 감소시킨다.
등록된 댓글이 없습니다.
29. 조작적 정의에 관한 설명으로 틀린 것은?
- ① 개념을 측정 가능한 용어로 구체화한 것이다.
- ② 연구모형에 제시된 구성개념을 관찰 가능한 형태로 표현한 것이다.
- ③ 조사에 사용되는 구성개념의 특징을 일반화시켜 추상적으로 표현한 것이다.
- ④ 사회적응의 조작적 정의 중 하나는 사회적응의 수준을 측정하기 위해 개발된 척도가 될 수 있다.
등록된 댓글이 없습니다.
30. 전화조사가 가장 적합한 경우는?
- ① 자세하고 심층적인 정보를 얻기 위한 조사
- ② 어떤 시점에서 순간적으로 무엇을 하며, 무슨 생각을 하는가를 알아내기 위한 조사
- ③ 저렴한 가겪으로 면접자 편의(bias)를 줄일 수 있으며 대답하는 요령도 동시에 자세히 알려줄 수 있는 조사
- ④ 넓은 범위의 지리적인 영역을 조사대상 지역으로 하여 비교적 복잡한 정보를 얻으면서, 경비를 절약할 수 있는 조사
등록된 댓글이 없습니다.
2과목 : 조사방법론 II
31. 비확률표본추출방법에 관한 설명으로 틀린 것은?
- ① 표집오류를 확인하기 어렵다.
- ② 조사결과를 일반화하기 어렵다.
- ③ 표본의 대표성을 확보하기 어렵다.
- ④ 확률표본추출방법에 비해 시간과 비용이 많이 소요된다.
등록된 댓글이 없습니다.
32. 리커트(Likert) 척도법에 대한 설명으로 적절하지 않은 것은?
- ① 각 문항에 대한 가중치를 다르게 부여할 수 없다는 단점이 있다.
- ② 척도검수에 대한 신뢰성을 검토하기 위해 반분법을 이용할 수 있다.
- ③ 사용하기 쉽고, 직관적인 이해가 가능하기 때문에 사회조사에서 널리 사용된다.
- ④ 척도가 단일 차원을 측정하고 있는가를 검토하기 위하여 인자분석(factor analysis)을 사용하기도 한다.
등록된 댓글이 없습니다.
33. 층화표집의 단점이 아닌 것은?
- ① 집락이 모집단을 대표하지 못할 수가 있다.
- ② 표본추출과정에 비용이나 시간이 많이 든다.
- ③ 표본추출이전에 모집단에 대한 지식이 필요하다.
- ④ 발생률이 낮은 경우 표본을 찾아내기가 어려울 수 있다.
등록된 댓글이 없습니다.
34. 불포함 오류에 관한 설명으로 맞는 것은?
- ① 표본조사를 할 때 표본체가 완전하게 되지 않아서 발생하는 오류이다.
- ② 표본추출과정에서 선정된 표본 중 일부가 연결이 되지 않거나 응답을 거부했을 때 생기는 오류이다.
- ③ 면접이나 관찰과정에서 응답자나 조사자 자체의 특성에서 생기는 오류와 양자 간의 상호관계에서 생기는 오류이다.
- ④ 정확한 응답이나 행동을 한 결과를 조사자가 잘못 기록하거나 기록된 설문지나 면접지가 분석을 위하여 처리되는 과정에서 틀려지는 오류이다.
등록된 댓글이 없습니다.
35. 조작적 정의에 관한 설명으로 틀린 것은?
- ① 실제 측정의 전(前)단계이다.
- ② 관찰가능성 여부가 중요하다.
- ③ 특정 개념은 한 가지의 조작적 정의를 갖는다.
- ④ 추상적인 개념을 구체적인 경험세계와 연결시키는 과정이다.
등록된 댓글이 없습니다.
36. 어떤 사회현상을 측정 했을 때의 설명으로 틀린 것은?
- ① 그 측정이 신뢰성도 타당성도 모두 없을 수 있다.
- ② 그 측정이 신뢰성과 타당성을 모두 다 가질 수 있다.
- ③ 그 측정이 타당성은 있으나 신뢰성은 없을 수 있다.
- ④ 그 측정이 신뢰성은 있으나 타당성은 없을 수 있다.
등록된 댓글이 없습니다.
37. 신뢰도를 측정하는 방법으로 틀린 것은?
- ① 반분법
- ② 내용검사법
- ③ 검사-재검사법
- ④ 복수양식법
등록된 댓글이 없습니다.
38. 다음은 어떤 변수에 대한 설명인가?

- ① 예측변수
- ② 억제변수
- ③ 왜곡변수
- ④ 종속변수
ddd2024. 2. 11. 13:08삭제
예측변수 : 독립변수를 의미하며 종속변수를 예측하는데 사용되기 때문에 독립변수 = 예측변수 = 원인변수 모두 같은 말이다
억제변수 : 두 개의 변수 간에 상관관계가 있으나 그와 같은 관계가 없는 것처럼 보이게 하는 제3의 변수를 말한다 , 억제변수=억압변수
왜곡변수 : 두 변수 간의 관계를 어떤 식으로든 왜곡시키는 제3의 변수이다
종속변수 : '결과적 변수'라고도 하며 독립변수의 원인을 받아 일정하게 전제된 경과를 나타내는 기능을 하는 변수
김보경2023. 7. 4. 05:12삭제
왜곡변수 : 외견상 나타난 두 변수의 인과관계의 음과 양의 방향을 정반대로
39. 용수철이 고장 난 체중계가 있어서 체중을 잴 때마다 항상 실제와 다르게 체중이 일정하게 나타난다면, 이 체중계의 타당도와 신뢰도는?
- ① 신뢰도와 타당도 모두 높다.
- ② 신뢰도와 타당도 모두 낮다.
- ③ 신뢰도는 높고 타당도는 낮다.
- ④ 신뢰도는 낮고 타당도는 높다.
등록된 댓글이 없습니다.
40. 측정의 개념에 대한 맞는 설명을 모두 고른 것은?

- ① ㉠, ㉡, ㉢
- ② ㉢, ㉣
- ③ ㉠, ㉡, ㉣
- ④ ㉠, ㉡, ㉢, ㉣
등록된 댓글이 없습니다.
41. 보가더스(Bogardus)의 사회적 거리척도의 특징으로 틀린 것은?
- ① 적용 범위가 넓고 에비조사에 적합한 면이 있다.
- ② 집단 상호간이 거리를 측정하는 데 유용하다.
- ③ 신뢰성 측정에는 양분법이나 복수양식법이 매우 효과적이다.
- ④ 집단뿐 아니라 개인 또는 추상적인 가치에 관해서도 적용할 수 있다.
등록된 댓글이 없습니다.
42. 표본의 크기에 관한 설명으로 틀린 것은?
- ① 허용오차가 클수록 표본의 크기가 커야 한다.
- ② 조사하고자 하는 변수의 분산값이 클수록 표본의 크기는 커야 한다.
- ③ 추정치에 대한 높은 신뢰수준이 요구될수록 표본의 크기는 커야 한다.
- ④ 비확률표본추출의 경우 표본의 크기는 예산과 시간을 고려하여 조사자가 결정할 수 있다.
등록된 댓글이 없습니다.
43. 다음 사례의 표본추출방법은?

- ① 할당표집(quota sampling)
- ② 군집표집(cluster sampling)
- ③ 눈덩이표집(snowball sampling)
- ④ 편의표집(convenience sampling)
등록된 댓글이 없습니다.
44. 측정의 수준에 관한 설명으로 틀린 것은?
- ① 비율측정은 절대영점이 존재한다.
- ② 등간측정은 측정단위 간 등간성이 유지된다.
- ③ 서열측정과 등간측정은 등수, 서열관계를 알 수 있다.
- ④ 등간측정은 측정치 간의 유의미한 비율계산이 가능하다.
등록된 댓글이 없습니다.
45. 조작적 정의가 필요한 이유로 가장 적합한 것은?
- ① 연구결과를 조작하기 위해
- ② 이론의 구체성을 줄이기 위해
- ③ 개념의 의미를 풍부하게 하기 위해
- ④ 개념을 가시적이고 경험적으로 표현하기 위해
등록된 댓글이 없습니다.
46. 우리나라 100대 기업의 연간 순수익을 ‘원(₩)’단위로 조사하고자 할 때 측정의 수준은?
- ① 비율측정
- ② 명목측정
- ③ 서열측정
- ④ 등간측정
등록된 댓글이 없습니다.
47. 성인에 대한 우울증 검사도구를 청소년들에게 그대로 적용할 때 가장 우려되는 측정 오류는?
- ① 고정반응
- ② 무작위 오류
- ③ 문화적 차이
- ④ 사회적 바람직성
등록된 댓글이 없습니다.
48. 측정도구의 타당도에 관한 설명으로 틀린 것은?
- ① 내용타당도(content validity)는 전문가의 판단에 기초한다.
- ② 구성타당도(construct validity)는 예측타당도(predictive validity)라 한다.
- ③ 동시타당도(concurrent validity)는 신뢰할 수 있는 다른 측정도구와 비교하는 것이다.
- ④ 기준관련 타당도(criterion-related validity)는 내용 타당도보다 경험적 검증이 용이하다.
등록된 댓글이 없습니다.
49. 측정수준과 예가 잘못 짝지어진 것은?
- ① 명목측정: 성별, 인종
- ② 비율측정: 소득, 직업
- ③ 등간측정: 온도, IQ지수
- ④ 서열측정: 후보자 선호, 사회계층
등록된 댓글이 없습니다.
50. 여성근로자를 대상으로 하는 사회조사에서 변수가 될 수 없는 것은?
- ① 성별
- ② 직업종류
- ③ 연령
- ④ 근무시간
등록된 댓글이 없습니다.
51. 지수와 척도에 관한 설명으로 틀린 것은?
- ① 지수와 척도 모두 변수의 합성측정이다.
- ② 지수점수는 척도점수보다 더 많은 정보를 전달한다.
- ③ 척도와 지수 모두 변수에 대한 서열측정이다.
- ④ 척도는 동이한 변수의 속성들 가운데서 그 강도의 차이를 이용하여 구별되는 응답 유형을 밝혀낸다.
등록된 댓글이 없습니다.
52. 구성타당도(construct validity)에 대한 설명으로 틀린 것은?
- ① 이론과 관련하여 측정도구의 타당도를 검증한다.
- ② 구성타당도를 측정할 수 있는 방법으로 요인분석 등이 있다.
- ③ 측정값 자체보다 측정하고자 하는 속성에 초점을 맞춘 타당성이다.
- ④ 측정도구의 측정치와 기준이 되는 측정도구의 측정치와의 상관관계를 나타낸다.
등록된 댓글이 없습니다.
53. 표집오차(sampling error)에 관한 설명으로 틀린 것은?
- ① 단순무작위표본추출법에서 표집오차는 분산의 크기가 클수록 커진다.
- ② 단순무작위표본추출법에서 표집오차는 표본의 크기가 클수록 커진다.
- ③ 전체 표본의 크기가 같다고 했을 때, 단순무작위표본 추출법에서보다 층화표본추출법에서 표집오차가 작게 나타난다.
- ④ 전체 표본의 크기가 같다고 했을 때, 단순무작위표본 추출법에서보다 집락표본추출법에서 표집오차가 크게 나타난다.
등록된 댓글이 없습니다.
54. 확률표집의 논리를 적용하면서, 필요에 따라 표집률을 달리하는 표집방법은?
- ① 층화표집
- ② 게통표집
- ③ 집락표집
- ④ 가중표집
등록된 댓글이 없습니다.
55. 측정의 타당도에 관한 설명으로 틀린 것은?
- ① 내용타당도는 전문가의 견해를 통해 판단할 수 있다.
- ② 기준타당도는 수렴타당도, 판별타당도로 구분된다.
- ③ 개념구성타당도는 이론적 틀 내에서 측정도구의 타당성을 경험적으로 검증한다.
- ④ 동시타당도는 작성한 측정도구를 이미 존재하고 있는 신뢰할 만한 측정도구와 비료하여 검증한다.
등록된 댓글이 없습니다.
56. 표본추출에 관한 설명으로 맞는 것은?
- ① 분석단위와 관찰단위는 항상 일치한다.
- ② 표본추출요소는 자료가 수집되는 대상의 단위이다.
- ③ 표본추출단위는 표본이 실제 추출되는 연구대상 목록이다.
- ④ 통계치는 모집단위의 특정변수가 갖고 있는 특성을 요약한 값이다.
등록된 댓글이 없습니다.
57. 지수나 척도와 같이 합성 측정(composite measures)을 이용하는 이유로 가장 타당한 것은?
- ① 측정 오차를 줄일 수 있기 때문이다.
- ② 타당도 계수를 높일 수 있기 때문이다.
- ③ 외적 타당도를 높일 수 있기 때문이다.
- ④ 하나의 개념이 갖는 다양한 의미에 대하여 포괄적인 측정을 할 수 있기 때문이다.
등록된 댓글이 없습니다.
58. 오스굿(Charles Osgood)에 의하여 개발되기 시작한 의미분화척도(意味分化尺度: Semantic Differential Scale)의 작성시 고려해야 하는 사항이 아닌 것은?
- ① 응답자의 평가
- ② 평가도구의 작성
- ③ 매개변수의 도입
- ④ 차원과 대극점(對極點)의 용어 선정
등록된 댓글이 없습니다.
59. 통계적 추리와 관련된 분포 중 이론상으로만 존재하는 것은?
- ① 표본분포
- ② 모집단분포
- ③ 표집분포
- ④ 표집틀분포
등록된 댓글이 없습니다.
60. 측정 오류(error of measurement)에 관한 설명으로 틀린 것은?
- ① 신뢰성은 체계적 오류(systematic error)와 관련된 개념이다.
- ② 체계적 오류(systematic error)는 오류가 일정하거나 한쪽으로 치우쳐 있다.
- ③ 무작위 오류(random error)는 오류의 값이 다양하게 분산되어 있으며 상호 상쇄되는 경향도 있다.
- ④ 무작위 오류(random error)는 측정대상, 측정과정, 측정수단, 측정자 등에 일관성 없이 영향을 미쳐 발생하는 오류이다.
등록된 댓글이 없습니다.
3과목 : 사회통계
61. 분산분석표가 다음과 같을 때 ( )안에 들어갈 값은?

- ① A=19.3, B=1.55
- ② A=19.3, B=6.21
- ③ A=30, B=0.25
- ④ A=30, B=4
등록된 댓글이 없습니다.
62. 기존의 취업 교육 프로그램을 이수한 사람의 취업률 p는 0.7이다. 새로운 교육 프로그램이 취업률을 높인다는 주장이 있어 통계적으로 검정하기 위해 사로운 교육 프로그램을 이수한 사람을 임의로 추출하여 취업률을 조사하였다. 이 때 적절한 귀무가설(H0)과 대립가설(H1)은?
- ① H0:p >0.7, H1:p=0.7
- ② H0:p≠0.7, H1:p=0.7
- ③ H0:p=0.7, H1:p>0.7
- ④ H0:p=0.7, H1:p≠0.7
등록된 댓글이 없습니다.
63. 표본의 크기가 n-=10에서 n=160으로 증가한다면, 평균의 표준오차는 n=10에서 얻은 경우와 비교할 경우 값의 변화는?
- ① 1/4
- ② 1/2
- ③ 2배
- ④ 4배
등록된 댓글이 없습니다.
64. 여론조사 기관에서 특정 프로그램의 시청률을 조사하기 위하여 100명의 시청자를 임의로 추출하여 시청여부를 물었더니 이 중 10명이 시청하였다. 이 때 이 프로그램의 시청률에 대한 95% 신뢰구간은? (단, 표준정규분포를 따르는 확률변수 Z는 P(Z>1.96)=0.025를 만족한다.)
- ① (0.0312, 0.1688)
- ② (0.0412, 0.1588)
- ③ (0.0512, 0.1488)
- ④ (0.0612, 0.1388)
등록된 댓글이 없습니다.
65. 한 학생이 경영학 과목에서 합격점수를 받을 확률은 2/3이고, 경영학과 통계학 두 과목에서 모두 합격점수를 받을 확률은 1/2이다. 만일 이 학생이 경영학 과목에 합격했음을 알고 있다면, 통계학 과목에서 합격점수를 받았을 확률은?
- ① 20%
- ② 25%
- ③ 50%
- ④ 75%
등록된 댓글이 없습니다.
66. 앞면과 뒷면이 나올 확률이 동일한 동전을 10번 독립적으로 던질 때 앞면이 나오는 횟수를 X라고 하면 X의 기댓값과 분산은?
- ① E(X)=2.5, Var(X)=5
- ② E(X)=5, Var(X)=√5
- ③ E(X)=5, Var(X)=√2.5
- ④ E(X)=5, Var(X)=2.5
김보경2023. 7. 4. 05:28삭제
동전 앞면과 뒷면이 나올 확률 1/2
E(X)=np=10*1/2=5
V(X)=npq, (q=1-p), V(X)=10*1/2*1/2=2.5
67. 변동계수(coefficient of variation)에 대한 설명으로 틀린 것은?
- ① 변동계수는 0이상, 1이하의 값을 갖는다.
- ② 변동계수는 단위에 의존하지 않는 통계량이다.
- ③ 상대적인 산포의 측도로서 표준편차를 평균으로 나눈 값으로 정의된다.
- ④ 단위가 서로 다르거나 집단 간에 평균의 차이가 큰 산포를 비교하는데 유용하게 사용된다.
등록된 댓글이 없습니다.
68. 어떤 제품의 수명은 특정 부품의 수명과 밀접한 관계가 있다고 한다. 제품수명(Y)의 평균과 표준편차는 각각 13과 4이고, 부품수명(X)의 평균과 표준편차는 각각 12와 3이다. X와 Y의 상관계수가 0.6일 때, 추정희귀직선 에서 기울기 의 값은?
- ① 0.6
- ② 0.7
- ③ 0.8
- ④ 0.9
등록된 댓글이 없습니다.
69. 다음 통계량 중 그 성격이 다른 것은?
- ① 분산
- ② 최빈값
- ③ 평균
- ④ 중앙값
등록된 댓글이 없습니다.
70. 어느 투자자의 연도별 수익률이 x1, x2, …, xn일 때, 연평균 수익률을 구하는 방법으로 가장 적절한 것은?
- ① 기하평균
- ② 산술평균
- ③ 절사평균
- ④ 조화평균
등록된 댓글이 없습니다.
71. 다음의 내용에 해당하는 가설로 가장 타당한 것은?

- ① H0:μ=30, H1:μ>30
- ② H0:μ<30, H1:μ=30
- ③ H0:μ=30, H1:μ≠30
- ④ H0:μ>30, H1:μ=30
등록된 댓글이 없습니다.
72. 일원배치법의 모형 Yij=μ+αi+εij에서 오차항 εij의 가정에 대한 설며응로 틀린 것은?
- ① 오차항 εij는 서로 독립이다.
- ② 오차항 εij의 기댓값은 0이다.
- ③ 오차항 εij는 정규분포를 따른다.
- ④ 오차항 εij의 분산은 동일하지 않아도 무방하다.
등록된 댓글이 없습니다.
73. 사건의 독립성에 관한 설명으로 틀린 것은?
- ① 두 사건 A와 B가 독립이면, A와 BC또한 독립이다.
- ② 두 사건 A와 B가 독립이면, AC와 BC또한 독립이다.
- ③ 세 사건 A, B, C가 상호 독립이면, A와 B∩C또한 독립이다.
- ④ A와 B, A와 C,B와 C가 각각 독립이면, 세 사건 A, B, C가 상호 독립이다.
등록된 댓글이 없습니다.
74. 오른쪽으로 꼬리가 긴 불포를 갖는 것은?
- ① 평균=40, 중위수=45, 최빈수=50
- ② 평균=40, 중위수=50, 최빈수=55
- ③ 평균=50, 중위수=45, 최빈수=40
- ④ 평균=50, 중위수=50, 최빈수=50
등록된 댓글이 없습니다.
75. 지수의 필통에는 형광펜 4자루와 볼펜 3자루가 들어있고, 동환이의 필통에는 볼펜 4자루와 형광펜 3자루가 들어있다. 임의로 선택된 한 필통에서 펜을 한 자루 꺼낼 때 그 펜이 형광펜일 확률은?
- ① 1/5
- ② 1/4
- ③ 1/3
- ④ 1/2
등록된 댓글이 없습니다.
76. 모표준편차가 σ인 모집단에서 크기가 10인 표본으로부터 표본평균을 구하여 모평균을 추정하였다. 표본평균의 표준오차를 반(1/2)으로 줄이려면, 추가로 표본을 얼마나 더 추출해야 하는가?
- ① 20
- ② 30
- ③ 40
- ④ 50
등록된 댓글이 없습니다.
77. 희귀분석에서 관측값과 예측값의 차이는?
- ① 잔차(residual)
- ② 오차(error)
- ③ 편차(deviation)
- ④ 거리(distance)
등록된 댓글이 없습니다.
78. 가설검정 시 유의확률(p값)과 유의수준(α)의 관계에 대한 설명으로 맞는 것은?
- ① 유의확률 < 유의수준일 때 귀무가설을 기각한다.
- ② 유의확률 ≥ 유의수준일 때만 귀무가설을 기각한다.
- ③ 유의확률 ≠ 유의수준일 때 귀무가설을 기각한다.
- ④ 유의확률과 유의수준 중 어느 것이 큰가하는 문제와 가설검정과는 아무런 관계가 없다.
등록된 댓글이 없습니다.
79. 어떤 연속확률변수 X의 평균이 0이고, 분산이 4이다. 체비셰프(Chebyshev) 부등식을 이용하여 P(-4≤X≤)의 범위를 구하면?
- ① P(-4≤X≤4)≤0.5
- ② P(-4≤X≤4)≥0.75
- ③ P(-4≤X≤4)≥0.95
- ④ P(-4≤X≤4)≤0.99
등록된 댓글이 없습니다.
80. X가 이항분포 B(n, p)를 따를 때, p의 불편추정량인 의 분산은?
- ① np
- ② p(1-p)
- ③

- ④ np(1-p)
등록된 댓글이 없습니다.
81. 두 변량 X와 Y의 관계를 분석하고자 한다. X와 Y가 모두 연속형 변수일 때 가장 적합한 분석은?
- ① 회귀 분석
- ② 분산 분석
- ③ 교차 분석
- ④ 베이즈 분석
등록된 댓글이 없습니다.
82. 단순회귀분석에서 결정계수 r2에 대한 설명 중 틀린 것은?
- ① 추정회귀직선의 기울기가 0이면, r2=0이다.
- ② 결정계수가 취할 수 있는 범위는 0≤r2≤1이다.
- ③ 모든 관찰점들이 추정회귀직선 상에 위치하면 r2=1이다.
- ④ 결정계수는 설명변수와 반응변수 사이의 상관계수와는 관계가 없다.
등록된 댓글이 없습니다.
83. 독립변수가 5개인 100개의 자료를 이용하여 절편이 있는 선형회귀모형을 추정할 때 잔차의 자유도는?
- ① 4
- ② 5
- ③ 94
- ④ 95
등록된 댓글이 없습니다.
84. 행변수가 M개의 범주를 갖고 열변수가 N개의 범주를 갖는 분할표에서 행변수와 열변수가 서로 독립인지를 검정하고자 한다. (i, j)셀의 관측도수를 Oij, 귀무가설 하에서의 기대도수의 추정치를 라 할 때, 이 검정을 위한 검정통계량은?
- ①

- ②

- ③

- ④

등록된 댓글이 없습니다.
85. 어떤 회사에서 생산되는 제품이 부적합품일 확률은 서로 독립적으로 0.01이라 한다. 이 회사는 한 상자에 10개씩 포장해서 판매를 하는데 만일 한 상자에 부적합품이 2개 이상이면 돈을 환불해준다. 판매된 한 상자가 반품될 확률은 약 얼마인가?
- ① 0.1%
- ② 0.4%
- ③ 9.1%
- ④ 9.6%
등록된 댓글이 없습니다.
86. “남녀간 월급여의 차이가 있다”라는 주장을 검정하기 위하여 사회조사를 실시하였다. 조사결과 남자집단의 월평균급여를 μ1, 여자집단의 월평균급여를 μ2라고 한다면, 귀무가설은?
- ① μ1=μ2
- ② μ1<μ2
- ③ μ1≠μ2
- ④ μ1>μ2
등록된 댓글이 없습니다.
87. 다음 표는 성별과 혼인상태에 따른 교차표이다. 이 표에 대한 설명으로 틀린 것은?

- ① 남성 가운데 미혼자의 비율은 22%이다.
- ② 기혼자 가운데 여성의 비율은 28.9이다.
- ③ 전체에서 여성이 차지하는 비율은 69.4%이다.
- ④ 전체에서 여성 기혼자가 차지하는 비율은 42.3이다.
등록된 댓글이 없습니다.
88. 연속형 확률변수 X의 확률밀도함수가 다음과 같을 때 상수 k값과 P(|X|>1)을 순서대로 구하면?

- ①

- ②

- ③

- ④

등록된 댓글이 없습니다.
89. 일원배치 분산분석에 대한 설명으로 틀린 것은?
- ① 집단 간 평균을 비교하는 분석이다.
- ② 요인이 2개인 경우에 적용할 수 있다.
- ③ 유의확률이 유의수준보다 크면 귀무가설을 기각할 수 없다.
- ④ 검정통계량은 집단 내 제곱합과 집단 간 제곱합으로 구한다.
등록된 댓글이 없습니다.
90. 모집단의 모수 θ에 대한 추정량(estimator)으로서 지녀야 할 성질 중 일치추정량에 대한 설명으로 가장 적합한 것은?
- ① 추정량의 평균이 θ가 되는 추정량을 의미한다.
- ② 여러 가지 추정량 중 분산이 가장 작은 추정량을 의미한다.
- ③ 모집단으로부터 추출한 표본의 정보를 모두 사용한 추정량을 의미한다.
- ④ 표본의 크기가 커질수록 추정량이 모수에 가까워지는 성질을 의미한다.
등록된 댓글이 없습니다.
91. 확률변수 X와 Y는 서로 독립이며, X~N(1,12)이고, Y~N(2,22)이다. P(X+Y≥5)을 표준정규분포의 누적분포함수 를 이용하여 나타내면?
- ①

- ②

- ③

- ④

등록된 댓글이 없습니다.
92. 어느 도시의 금연운동단체에서는 청소년들의 흡연율 p를 조사하기 위해 이 도시에 거주하는 청소년들 중 1200명을 임의로 추출하여 조사한 겨로가 96명이 흡연을 하고 있었다. 이 도시 청소년들의 흡연율 p의 추정값 와 의 95%오차한계는? (단, P(Z>1.645)=0.05, P(Z>1.96)=0.025, P(Z>2.58)=0.005이다.)
- ① =0.06, 오차한계=0.013

- ② =0.08, 오차한계=0.013

- ③ =0.08, 오차한계=0.015

- ④ =0.08, 오차한계=0.020

등록된 댓글이 없습니다.
93. 모 상관계수가 ρ인 이변량 정규분포를 따르는 두 변수에 대한 자료(xi, yi)(i=1, 2, …, n)에 대하여 표본상관계수 을 이용하여 귀무가설 H0:ρ=0을 검정하고자 한다. 이 때 사용되는 검정통계량과 그 자유도는?
- ①

- ②

- ③

- ④

등록된 댓글이 없습니다.
94. 다음 자료에 대한 설명으로 틀린 것은?

- ① 최빈값은 1이다.
- ② 평균은 4이다.
- ③ 중위수는 5이다.
- ④ 범위는 9이다.
등록된 댓글이 없습니다.
95. 연속확률변수 X의 확률밀도함수가 다음과 같을 때 X의 기댓값은?
- ① 0.25
- ② 0.5
- ③ 0.75
- ④ 1
등록된 댓글이 없습니다.
96. 상관계수의 범위에 관한 설명으로 맞는 것은?
- ① 상관계수의 범위는 0에서 1이다.
- ② 상관계수의 범위는 1에서 2이다.
- ③ 상관계수의 범위는 –1에서 0이다.
- ④ 상관계수의 범위는 –1에서 1이다.
등록된 댓글이 없습니다.
97. 정규분포에 대한 설명으로 틀린 것은?
- ① 평균과 중위수가 동일하다.
- ② 평균을 중심으로 좌우대칭형의 분포를 이룬다.
- ③ 확률밀도함수는 평균과 표준편차에 의해 결정된다.
- ④ 평균을 중심으로 1σ(표준편차) 구간 내에 포함될 확률은 95%이다.
등록된 댓글이 없습니다.
98. 두 개의 정규모집단으로부터 추출한 독립인 확률표본에 기초하여 모분산에 대한 가설 H0:σ12=σ22 vs H1:σ12>σ22을 검정하고자 한다. 검정방법으로 맞는 것은?
- ① F-검정
- ② t-검정
- ③ X2-검정
- ④ z-검정
등록된 댓글이 없습니다.
99. 다음 분산분석표에 대응하는 통계적 모형으로 적절한 것은?

- ① 수준수가 4인 일원배치모형
- ② 독립변수가 4개인 중회귀모형
- ③ 종속변수가 3개인 중회귀모형
- ④ 종속변수가 1개인 단순회귀모형
등록된 댓글이 없습니다.
100. 어느 화장품 회사에서 새로 개발한 상품에 대한 선호도를 조사하려고 한다. 400명의 조사 대상자 중 새 상품을 선호한 사람은 220명 이었다. 이 때 다음 가설에 대한 유의확률은? (단, Z~N(0,1)이다.)

- ① P(Z≥1)
- ②

- ③ P(Z≥2)
- ④

등록된 댓글이 없습니다.