9급 국가직 공무원 전자공학개론(2013. 7. 27.) 시험일자 : 2013년 7월 27일
1. 반도체 도핑에 대한 설명으로 옳지 않은 것은? (단, 도핑된 불순물들은 모두 활성화되었다고 가정한다)
- ① 실리콘에 5족 불순물을 도핑하면 형 반도체 물질이 된다.
- ② 실리콘에 도핑된 5족 불순물의 농도를 높이면 전자의 이동도는 감소한다.
- ③ 실리콘에 도핑된 5족 불순물의 농도를 높이면 저항도는 증가 한다.
- ④ 실리콘에 도핑된 5족 불순물의 농도를 높이면 정공의 농도는 감소한다.
등록된 댓글이 없습니다.
2. 다음 4단자 회로망의 Y 파라미터 중 Y11, Y22의 값은? (단, Ya=2[℧], Yb=4[℧], Yc=6[℧]이다.) (순서대로 Y11[℧], Y22[℧])
- ① 2, 3
- ② 6, 10
- ③ 8, 10
- ④ 8, 12
등록된 댓글이 없습니다.
3. 버랙터(varactor) 다이오드에 대한 설명으로 옳은 것은?
- ① 순방향 전압영역에서 가변커패시터로 사용된다.
- ② 역방향 전압영역에서 가변커패시터로 사용된다.
- ③ 순방향 전압영역에서 가변저항으로 사용된다.
- ④ 역방향 전압영역에서 가변저항으로 사용된다.
등록된 댓글이 없습니다.
4. 음성신호의 대역제한 주파수를 4 [kHz]로 하고, 256개의 양자화 레벨을 사용하여 PCM 변조를 하고자 한다. 최대 샘플링 주기 Ts와, 이 때 디지털 신호의 비트율은? (순서대로 Ts[ms], 비트율[kbit/s])
- ① 0.125, 32
- ② 0.125, 64
- ③ 0.25, 32
- ④ 0.25, 64
등록된 댓글이 없습니다.
5. 다음 카르노맵(Karnaugh map)을 표현한 논리식으로 옳은 것은?

- ① BC′+AB′C′+A′B′C
- ② BC′D′+B′C
- ③ B′C′+BC
- ④ BC′+B′C
등록된 댓글이 없습니다.
6. 다음은 Op-Amp를 이용한 저대역통과필터이다. R1=1.2[kΩ], C1=0.02[㎌], RG=10{kΩ], RF=50[kΩ]일 때, DC 전압 이득과 차단주파수는? (단, π=3.14이다) (순서대로 DC 전압이득, 차단주파수[kHz])

- ① 5, 3.32
- ② 5, 6.63
- ③ 6, 3.32
- ④ 6, 6.63
등록된 댓글이 없습니다.
7. 다음 회로의 전달함수 H(ω)의 특성을 나타낸 그래프로 가장 적절한 것은? (단, R1=R2=1[kΩ], C=10[㎌]이다)

- ①

- ②

- ③

- ④

등록된 댓글이 없습니다.
8. 다음 회로에 대한 설명으로 옳은 것은? (단, 다이오드는 이상적이며, τ=RC의 값은 충분히 크다)
- ① R과 C로 주파수를 조절할 수 있고 Vin으로 진폭을 조절할수 있는 발진기이다.
- ② 주기신호 Vin의 최대 전압을 출력하는 검출기이다.
- ③ Vin의 변화율에 비례하는 전압을 출력하는 미분기이다.
- ④ Vin이 특정전압 사이에 있을 때는 최대 전압을 출력하고 그 외의 영역에서는 최소 전압을 출력하는 윈도우 비교기이다.
등록된 댓글이 없습니다.
9. 전달함수 H(ω)의 크기와 위상이 다음 그림과 같은 필터가 있다. 이 필터의 입력이 일 때, 출력으로 옳은 것은?

- ① 2sin2(100t)
- ② 2cos2(100t)
- ③ 1-sin(200t)
- ④ 1+sin(200t)
등록된 댓글이 없습니다.
10. <그림 1> 증폭기의 소신호 전압이득을 Av1=V2/V1로, <그림 1>의 증폭기 2개를 <그림 2>와 같이 연결하여 2단 증폭기를 구성하였을 때의 소신호 전압이득을 Av2V3/V1로 정의한다. Av1과 Av2에 가장 가까운 값은? (단, BJT는 활성영역에서 동작하고 gm=0.5[A/V], β=250, RB=200[kΩ], RC=500[Ω]이며 C1 및 C2는 매우 크다고 가정한다) (순서대로 Av1, Av2)

- ① -125, 16,600
- ② -250, 16,600
- ③ -250, 31,200
- ④ -250, 62,500
등록된 댓글이 없습니다.
11. 트랜지스터에 대한 설명으로 옳은 것은?
- ① MOSFET은 이미터, 베이스, 컬렉터의 3개의 단자를 갖는다.
- ② n채널 MOSFET은 n형 기판에 형성된다.
- ③ BJT는 MOSFET에 비해 작게 만들 수 있어 초고집적회로 (VLSI)에 유리하다.
- ④ BJT는 두 개의 PN 접합으로 구성된다.
등록된 댓글이 없습니다.
12. Vout=V2-V1의 관계를 갖는 회로를 이상적인 Op-Amp를 사용하여 옳게 구현한 것은? (단, 모든 저항의 크기는 동일하다)
- ①

- ②

- ③

- ④

등록된 댓글이 없습니다.
13. 다음 회로에서 Op-Amp가 이상적일 때, 출력전압Vout[V]은? (단, Vin=1[V], r1=R2=R3=R4=1[kΩ])

- ① 2.5
- ② 4
- ③ 5
- ④ 6
등록된 댓글이 없습니다.
14. 플립플롭을 사용하여 0에서 8까지의 숫자를 셀 수 있는 업-다운(up-down) 카운터를 설계하려고 할 때, 필요한 플립플롭의 최소 개수는?
- ① 3
- ② 4
- ③ 8
- ④ 9
등록된 댓글이 없습니다.
15. 다음 회로에서 출력 Y를 입력 A와 B의 함수로 구하면?

- ① Y=A+B
- ② Y=AB
- ③ Y=AB+A′B′
- ④ Y=AB′+A′B
등록된 댓글이 없습니다.
16. 다음은 이상적인 Op-Amp를 사용한 반전증폭기 회로이다. 이 회로에서 기생 저항 Rpz1-가 존재하지 않을 경우 전압이득은 Vout/Vin=-10이다. 수십 킬로옴(kΩ)의 Rp가 존재할 때, 전압이득의 변화로 옳은 것은?

- ① Rp가 없을 때보다 증가한다.
- ② Rp가 없을 때보다 감소한다.
- ③ Rp가 없을 때와 동일하다.
- ④ Rp가 없을 때보다 증가할 수도 있고 감소할 수도 있다.
등록된 댓글이 없습니다.
17. 다음 논리회로 중 입력 A와 B가 같으면 1을 출력하고, 다르면 0을 출력하는 것은?
- ①

- ②

- ③

- ④

등록된 댓글이 없습니다.
18. 다음은 교류 입력 신호를 정류하는 회로들이다. 동일한 교류 입력에 대하여 출력 파형이 동일한 것은? (단, 다이오드는 이상적인 것으로 가정한다)

- ① ㄱ-ㄴ
- ② ㄱ-ㄷ
- ③ ㄴ-ㄷ
- ④ ㄷ-ㄹ
등록된 댓글이 없습니다.
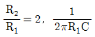
19. 다음 발진기의 발진 조건 및 발진 주파수는? (순서대로 발진 조건, 발진 주파수)

- ①

- ②

- ③

- ④

등록된 댓글이 없습니다.
20. 다음 회로에서 다이오드 D1, D2의 상태로 옳은 것은? (단, 다이오드는 이상적이라고 가정한다) (순서대로 D1, D2)

- ① ON, ON
- ② ON, OFF
- ③ OFF, ON
- ④ OFF, OFF
등록된 댓글이 없습니다.