사회조사분석사 2급(2018. 8. 19.) 시험일자 : 2018년 8월 19일
1과목 : 조사방법론 I
1. 다음은 과학적 방법의 특징 중 무엇에 관한 설명인가?

- ① 논리적 일관성
- ② 검증가능성
- ③ 상호주관성
- ④ 재생가능성
등록된 댓글이 없습니다.
2. 관찰자료 수집의 장점에 해당하지 않은 것은?
- ① 관찰자의 주관성 개입방지
- ② 즉각적 자료수집 가능
- ③ 비언어적 자료수집 가능
- ④ 종단분석 가능
등록된 댓글이 없습니다.
3. 질문지 작성 시 개별질문 내용을 결정할 때 고려해야 할 사항과 가장 거리가 먼 것은?
- ① 그 질문이 반드시 필요한가?
- ② 하나의 질문으로 충분한가?
- ③ 응답자가 응답할 수 있는 질문인가?
- ④ 조사자가 응답의 결과를 예측할 수 있는가?
등록된 댓글이 없습니다.
4. 인과관계의 성립조건에 관한 설명으로 옳은 것을 모두 고른 것은?

- ① ㄱ, ㄴ, ㅁ
- ② ㄱ, ㄷ, ㄹ
- ③ ㄴ, ㄷ, ㄹ
- ④ ㄷ, ㄹ, ㅁ
등록된 댓글이 없습니다.
5. 다음 설명에 가장 적합한 연구 방법은?

- ① 현상학적 연구
- ② 근거이론 연구
- ③ 민속지학적 연구
- ④ 내용분석 연구
등록된 댓글이 없습니다.
6. 실험설계에 대한 설명으로 틀린 것은?
- ① 통제집단사후검사설계는 무작위할당으로 통제집단과 실험집단을 나누고 실험집단에만 개입을 한다.
- ② 정태적(static) 집단비교설계는 실험집단과 개입이 주어지지 않은 집단을 사후에 구분해서 종속변수의 값을 비교한다.
- ③ 비동일 통제집단설계는 임의적으로 나눈 실험집단과 통제집단 간의 교류를 통제한다.
- ④ 복수시계열설계는 실험집단과 통제집단에 대해 개입 전과 개입 후 여러 차례 종속변수를 측정한다.
등록된 댓글이 없습니다.
7. 서베이(survey)에서 우편설문법과 비교한 대인 면접법의 특성으로 틀린 것은?
- ① 비언어적 행위의 관찰이 가능하다.
- ② 대리응답의 가능성이 낮다.
- ③ 설문과정에서의 유연성이 높다.
- ④ 응답환경을 구조화하기 어렵다.
등록된 댓글이 없습니다.
8. 다음 중 과학적 조사연구의 특징과 가장 거리가 먼 것은?
- ① 논리적 체계성
- ② 주관성
- ③ 수정가능성
- ④ 경험적 실증성
등록된 댓글이 없습니다.
9. 다음에서 설명하는 가설의 종류는?

- ① 귀무가설
- ② 통계적 가설
- ③ 대안가설
- ④ 설명적 가설
등록된 댓글이 없습니다.
10. 일반적인 질문지 작성원칙과 가장 거리가 먼 것은?
- ① 질문은 의미가 명확하고 간결해야 한다.
- ② 한 질문에 한 가지 내용만 포함되도록 한다.
- ③ 응답지의 각 항목은 상호배타적이어야 한다.
- ④ 과학적이며 학문적인 용어를 선택해서 사용해야 한다.
등록된 댓글이 없습니다.
11. 가설의 특성에 관한 설명으로 틀린 것은?
- ① 가설은 검증될 수 있어야 한다.
- ② 가설은 문제를 해결해 줄 수 있어야 한다.
- ③ 가설이 부인되었다면 반대되는 가설이 검증된 것이다.
- ④ 가설은 변수로 구성되며, 그들 간의 관계를 나타내고 있어야 한다.
등록된 댓글이 없습니다.
12. 특정한 시기에 태어났거나 동일 시점에 특정 사건을 경험한 사람들을 대상으로 이들이 시간이 지남에 따라 어떻게 변화하는지를 조사하는 방법은?
- ① 사례조사
- ② 패널조사
- ③ 코호트조사
- ④ 전문가의견조사
등록된 댓글이 없습니다.
13. 질적 현장연구 중 초점집단연구의 특성과 가장 거리가 먼 것은?
- ① 빠른 결과를 보여준다.
- ② 높은 타당도를 가진다.
- ③ 개인면접에 비해 연구대상을 통제하기 수월하다.
- ④ 사회환경에서 일어나는 실제의 생활을 포착하는 사회지향적 연구방법이다.
등록된 댓글이 없습니다.
14. 일반적으로 실행되는 면접조사, 전화조사, 우편조사를 비교한 설명으로 틀린 것은?
- ① 익명성을 보장하려면 면접조사보다는 우편조사를 실시한다.
- ② 복잡한 질문을 다루는 데는 면접조사가 가장 적합하다.
- ③ 조사자의 영향을 가장 적게 받는 것은 전화조사이다.
- ④ 3가지 방법 모두 개방형 질문을 활용할 수 있다.
등록된 댓글이 없습니다.
15. 경험적 연구방법에 대한 설명으로 옳은 것은?
- ① 실험은 연구자가 독립변수와 종속변수 모두를 통제하는 연구방법이다.
- ② 심리상태를 파악하는 데는 관찰에 의한 연구방법이 효과적이다.
- ③ 내용분석은 어린이나 언어가 통하지 않는 조사대상자에 대한 연구방법으로 자주 사용된다.
- ④ 대규모 모집단을 연구하는 데는 질문지를 이용한 조사연구가 효과적이다.
등록된 댓글이 없습니다.
16. 다음은 조사연구과정의 일부이다. 이를 순서대로 나열한 것은?

- ① ㄱ→ㄴ→ㄷ→ㄹ
- ② ㄱ→ㄷ→ㄹ→ㄴ
- ③ ㄷ→ㄱ→ㄹ→ㄴ
- ④ ㄷ→ㄹ→ㄱ→ㄴ
등록된 댓글이 없습니다.
17. 내용분석에 관한 설명과 가장 거리가 먼 것은?
- ① 분석대상에 영향을 미치지 않는다.
- ② 필요한 경우 재분석이 가능하다.
- ③ 양적 내용을 질적 자료로 전환한다.
- ④ 다양한 기록자료 유형을 분석할 수 있다.
등록된 댓글이 없습니다.
18. 다음 중 관찰의 단점과 가장 거리가 먼 것은?
- ① 피관찰자가 관찰사실을 아는 경우 조사반응성으로 인한 왜곡이 있을 수 있다.
- ② 표현능력이 부족한 대상에게 적용이 어렵다.
- ③ 연구대상의 특성상 관찰할 수 없는 문제가 있다.
- ④ 자료처리가 어렵다.
등록된 댓글이 없습니다.
19. 다음 중 폐쇄형 질문의 단점과 가장 거리가 먼 것은?
- ① 응답이 끝난 후 코딩이나 편집 등의 번거로운 절차를 거쳐야 한다.
- ② 응답자들이 말하고자 하는 내용을 보다 구체적으로 도출해 낼 수가 없다.
- ③ 개별 응답자들의 특색 있는 응답내용을 보다 생생하게 기록해 낼 수가 없다.
- ④ 각각 다른 내용의 응답이라도 미리 제시된 응답 항목이 한가지로 제한되어 있는 경우 동일한 응답으로 잘못 처리될 위험성이 있다.
등록된 댓글이 없습니다.
20. 사회과학에서 조사연구를 실시하기에 적합한 주제가 아닌 것은?
- ① 지능지수와 학업성적은 상관성이 있는가?
- ② 기업족지의 수준과 노사분규의 빈도와의 관계는?
- ③ 여성들은 직장에서 차별대우를 받고 있는가?
- ④ 개기일식은 왜 일어나는가?
등록된 댓글이 없습니다.
21. 다음 중 면접원의 자율성이 가장 적은 면접 유형은?
- ① 초점집단면접
- ② 심층면접
- ③ 구조화면접
- ④ 임상면접
등록된 댓글이 없습니다.
22. 다음 중 심층규명(probing)을 하고자 할 때 가장 적합한 조사방법은?
- ① 우편 설문 조사
- ② 온라인 설문 조사
- ③ 간접관찰 조사
- ④ 비구조화 면접 조사
등록된 댓글이 없습니다.
23. 연역법과 귀납법에 관한 설명으로 옳은 것은?
- ① 연역법은 선(先)조사 후(後)이론의 방법을 택한다.
- ② 연역법과 귀납법은 상호보완적으로 사용할 수 없다.
- ③ 연역법과 귀납법의 선택은 조사의 용이성에 달려 있다.
- ④ 기존 이론의 확인을 위해서는 연역법을 주로 사용한다.
등록된 댓글이 없습니다.
24. 사회조사에서 생태학적오류(ecological fallacy)란?
- ① 주변 환경에 대한 주요 정보를 누락시키는 오류
- ② 연구에서 사회조직의 활동결과인 사회적 산물들을 누락시키는 오류
- ③ 집단이나 집합체에 관한 성격을 바탕으로 개인들에 대한 성격을 규정하게 되는 연구분석 단위의 혼란
- ④ 사회조사설계 과정에서 문제를 중심으로 관련된 여러 체계들 간의 상호작용 가능성에 대한 고려를 누락시키는 오류
등록된 댓글이 없습니다.
25. 양적-질적 연구방법의 비교에서 질적 연구방법에 대한 옳은 설명을 모두 고른 것은?

- ① ㄱ, ㄴ, ㄷ
- ② ㄱ, ㄷ, ㄹ
- ③ ㄴ, ㄹ
- ④ ㄱ, ㄴ, ㄷ, ㄹ
등록된 댓글이 없습니다.
26. 면접을 시행하는 면접원의 평가기준과 가장 거리가 먼 것은?
- ① 응답 성공률
- ② 면접 소유 시간
- ③ 래포(rapport) 형성 능력
- ④ 무응답 문항의 편집 능력
등록된 댓글이 없습니다.
27. 표준화된 면접조사를 시행함에 있어 유의해야 할 사항과 가장 거리가 먼 것은?
- ① 응답자로 하여금 면접자와의 상호작용이 유쾌하며 만족스러운 것이 될 것이라고 느끼도록 해야 한다.
- ② 응답자로 하여금 그 조사를 가치 있는 것으로 생각하도록 해야 한다.
- ③ 응답자에게 연구자의 가치와 생각을 알려준다.
- ④ 조사표에 담긴 질문내용에서 벗어나는 질문을 해서는 안 된다.
등록된 댓글이 없습니다.
28. 다음 중 조사연구결과의 일반화와 가장 관련이 깊은 것은?
- ① 내적 타당성
- ② 외적 타당성
- ③ 신뢰성
- ④ 자료수집방법
등록된 댓글이 없습니다.
29. 2차 문헌자료를 활용할 때 주의해야 할 사항이 아닌 것은?
- ① 샘플링의 편향성(bias)
- ② 반응성(reactivity) 문제
- ③ 자료 간 일관성 부재
- ④ 불완전한 정보의 한계
등록된 댓글이 없습니다.
30. 질문지 문항 작성 원칙에 부합하는 질문을 모두 고른 것은?

- ① ㄱ, ㄴ
- ② ㄴ, ㄷ
- ③ ㄷ, ㄹ
- ④ ㄱ, ㄹ
등록된 댓글이 없습니다.
2과목 : 조사방법론 II
31. 신뢰도와 타당도에 영향을 미치는 요인과 가장 거리가 먼 것은?
- ① 조사도구
- ② 조사환경
- ③ 조사목적
- ④ 조사대상자
등록된 댓글이 없습니다.
32. 명목척도 구성을 위한 측정범주들에 대한 기본 원칙과 가장 거리가 먼 것은?
- ① 배타성
- ② 포괄성
- ③ 논리적 연관성
- ④ 선택성
등록된 댓글이 없습니다.
33. 다음 ( )에 알맞은 것은?

- ① 서열측정 > 명목측정 > 비율측정 > 등간측정
- ② 명목측정 > 서열측정 > 등간측정 > 비율측정
- ③ 등간측정 > 비율측정 > 서열측정 > 명목측정
- ④ 비율측정 > 등간측정 > 서열측정 > 명목측정
등록된 댓글이 없습니다.
34. 표본추출과 관련된 용어 설명으로 틀린 것은?
- ① 관찰단위 : 직접적인 조사대상
- ② 모집단 : 연구하고자 하는 이론상의 전체집단
- ③ 표집률 : 모집단에서 개별 요소가 선택될 비율
- ④ 통계량(statistic) : 모집단에서 어떤 변수가 가지고 있는 특성을 요약한 통계치
등록된 댓글이 없습니다.
35. 측정의 체계적 오류와 관련이 있는 것은?
- ① 통계적 회귀
- ② 생태학적 오류
- ③ 환원주의적 오류
- ④ 사회적 바람직성 편향
등록된 댓글이 없습니다.
36. 지수(index)와 척도(scale)에 관한 설명으로 틀린 것은?
- ① 지수와 척도 모두 변수에 대한 서열측정이다.
- ② 척도점수는 지수점수보다 더 많은 정보를 전달한다.
- ③ 지수와 척도 모두 둘 이상의 자료문항에 기초한 변수의 합성 측정이다.
- ④ 지수는 동일한 변수의 속성들 가운데서 그 강도의 차이를 이용하여 구별되는 응답 유형을 밝혀낸다.
등록된 댓글이 없습니다.
37. 다음 사례와 같이 조사대상자들로부터 정보를 얻어 다른 조사대상자를 구하는 표집방법은?

- ① 눈덩이표집(snowball sampling)
- ② 판단표집(judgment sampling)
- ③ 할당표집(quota sampling)
- ④ 편의표집(convenience sampling)
등록된 댓글이 없습니다.
38. 실험설계를 통해 인과관계를 추론하기 위해서 서로 다른 값을 갖도록 처치를 하는 변수는?
- ① 외적변수
- ② 종속변수
- ③ 이산변수
- ④ 독립변수
등록된 댓글이 없습니다.
39. 측정의 신뢰도를 높이는 방법으로 적절하지 않은 것은?
- ① 측정도구의 모호성을 없앤다.
- ② 동일한 개념이나 속성을 측정하기 위해 여러 개의 항목보다는 단일항목을 이용한다.
- ③ 측정자들의 면접방식과 태도의 일관성을 취한다.
- ④ 조사 대상자가 잘 모르거나 전혀 관심이 없는 내용에 대해서는 측정을 삼간다.
등록된 댓글이 없습니다.
40. 표본 크기의 결정에 관한 설명으로 틀린 것은?
- ① 표본의 크기는 작을수록 좋다.
- ② 조사결과의 분석방법에 따라 달라진다.
- ③ 조사연구에서 수집될 자료의 양은 표본의 크기에 의해 결정된다.
- ④ 조사연구에 포함된 변수가 많으면 표본의 크기는 늘어나야 한다.
등록된 댓글이 없습니다.
41. 다음은 어떤 척도의 특징인가?

- ① 리커트척도(likert scale)
- ② 서스톤척도(thurston scale)
- ③ 보가더스척도(bogardus scale)
- ④ 오스굿(osgood) 척도
등록된 댓글이 없습니다.
42. 조작적 정의에 관한 설명으로 틀린 것은?
- ① 주어진 단어가 이미 정립된 의미를 가진 다른 표현과 동의적일 때에 사용된다.
- ② 용어의 지시물을 식별하는 데 사용되는 관찰 가능한 개념의 구체화이다.
- ③ 변수는 그것을 관찰과 측정의 단계가 분명히 밝혀져 있을 때 조작적으로 정의될 수 있다.
- ④ 추상적 개념을 측정 가능한 수치로 변환하는 과정을 의미한다.
등록된 댓글이 없습니다.
43. 표집(sampling)의 대표성에 대한 의미와 가장 거리가 먼 것은?
- ① 표본을 이용한 분석결과가 일반화될 수 있는가의 문제
- ② 표본자료가 계량 통계분석기법을 적용하기에 적합한가의 문제
- ③ 표본의 통계적 특성이 모집단의 통계적 특성에 어느 정도 근접하느냐의 문제
- ④ 표본이 모집단이 지닌 다양한 성격을 고루 반영하느냐의 문제
등록된 댓글이 없습니다.
44. 측정도구의 내용 타당도를 평가하는 방법과 가장 거리가 먼 것은?
- ① 관련 분야 전문가들의 자문을 구한다.
- ② 측정대상과 관련된 이론들을 판단기준으로 사용한다.
- ③ 패널토의나 워크숍 등을 통하여 타당도에 관한 의견을 수렴한다.
- ④ 측정도구를 반복하여 측정하고 그 관계를 알아본다.
등록된 댓글이 없습니다.
45. 스피어만-브라운(Spearman-Brown) 공식은 주로 어떤 경우에 사용되는가?
- ① 동형검사 신뢰도 추정
- ② Kuder-Richardson 신뢰도 추정
- ③ 반분신뢰도로 전체 신뢰도 추정
- ④ 범위의 축소로 인한 예언타당도에 대한 교정
등록된 댓글이 없습니다.
46. 일주일의 시간 간격을 두고 동일한 문제지를 가지고 같은 반 학생들을 대상으로 EQ 검사를 두 차례 실시하였더니 그 결과 매우 상이하게 나타났다. 이 문제지가 가지는 문제점은?
- ① 타당성
- ② 예측성
- ③ 대표성
- ④ 신뢰성
등록된 댓글이 없습니다.
47. 표본추출을 위한 모집단의 구성요소나 표본추출 단위가 수록된 목록은?
- ① 요소(element)
- ② 표집틀(sampling frame)
- ③ 분석단위(unit of analysis)
- ④ 표본추출분포(sampling distribution)
등록된 댓글이 없습니다.
48. 다음 중 측정에 관한 설명으로 틀린 것은?
- ① 측정이란 사물이나 사건의 속성에 수치를 부여하는 작업이다.
- ② 측정에서는 연구자의 주관적인 판단이 중요한 기능을 한다.
- ③ 경험의 세계와 추상적인 관념의 세계를 연결하는 기능을 가진다.
- ④ 측정은 과학적 연구에서 필수적이다.
등록된 댓글이 없습니다.
49. A기업에서 공개채용시험의 타당성을 평가하려는 계획을 세웠다. 우선 입사시험성적과 그 직원의 채용된 후 근무성적을 비교하여 타당성을 평가한다면 이는 무슨 타당성인가?
- ① 기준관련타당성(criterion-related validity)
- ② 내용타당성(content validity)
- ③ 구성타당성(construct validity)
- ④ 논리적타당성(logical validity)
등록된 댓글이 없습니다.
50. 어떤 선생님이 학생들의 지능지수(IQ)를 측정하기 위해 정확하기로 소문난 전자저울(체중계)을 사용했을 때, 측정의 신뢰도와 타당도에 관한 설명으로 옳은 것은?
- ① 신뢰도와 타당도 모두 낮다.
- ② 신뢰도와 타당도 모두 높다.
- ③ 신뢰도는 낮지만 타당도는 높다.
- ④ 신뢰도는 높지만 타당도는 낮다.
ㅇㅇㅇ2024. 2. 13. 03:46삭제
전자저울 사용 시 측정 값은 매번 동일하게 나옴 - 신뢰도 높다
측정하고자 하는 것(IQ)을 측정하지 못함 - 타당도 낮다
51. 변수의 종류에 관한 설명으로 바르게 짝지어진 것은?

- ① ㄱ, ㄴ
- ② ㄴ, ㄷ
- ③ ㄷ, ㄹ
- ④ ㄱ, ㄹ
등록된 댓글이 없습니다.
52. 거트만척도(Guttman Scale)데 대한 설명으로 틀린 것은?
- ① 누적척도(Cumulative Scale)라고도 한다.
- ② 단일차원의 서로 이질적인 문항으로 구성되며 여러 개의 변수를 측정한다.
- ③ 재생가능성을 통해 척도의 질을 판단한다.
- ④ 일단 자료가 수집된 이후에 구성될 수 있다.
등록된 댓글이 없습니다.
53. 다음 중 비확률 표본추출 방법에 해당하는 것은?
- ① 단순무작위표집(simple random sampling)
- ② 층화표집(stratified random sampling)
- ③ 유의표집(purposive sampling)
- ④ 군집표집(cluster sampling)
등록된 댓글이 없습니다.
54. 온도계의 눈금을 나타내는 수치의 측정수준은?
- ① 명목측정
- ② 서열측정
- ③ 비율측정
- ④ 등간측정
등록된 댓글이 없습니다.
55. 표집틀(Sampling Frame)을 평가하는 주요 요소와 가장 거리가 먼 것은?
- ① 포괄성
- ② 안정성
- ③ 추출확률
- ④ 효율성
등록된 댓글이 없습니다.
56. 확률 표본추출법과 비확률 표본추출법에 대한 설명으로 틀린 것은?
- ① 확률 표본추출법은 연구대상이 표본으로 추출될 확률이 알려져 있으며, 비확률 표본추출법은 표본으로 추출될 확률이 알려져 있지 않은 경우의 추출법이다.
- ② 확률 표본추출법은 표본분석 결과의 일반화가 가능하고 비확률 표본추출법은 일반화가 제약된다.
- ③ 확률 표본추출법은 표본오차의 추정이 불가능하고, 비확률 표본추출법은 표본오차의 추정이 가능하다.
- ④ 일반적으로 확률 표본추출법은 시간과 비용이 많이 들고, 비확률 표본추출법은 시간과 비용이 적게 든다.
등록된 댓글이 없습니다.
57. 다음 중 군집 표집(Cluster Sampling)은 어떤 경우에 추정 효율이 가장 높은가?
- ① 각 군집이 모집단의 축소판일 경우
- ② 각 군집마다 군집들의 특성이 서로 다른 경우
- ③ 각 군집 내 관측값들이 비슷할 경우
- ④ 군집 평균들이 서로 다른 경우
등록된 댓글이 없습니다.
58. 선거예측조사에서 출구조사를 할 경우, 주로 사용되는 표집방법은?
- ① 할당표집(quota sampling)
- ② 체계적표집(systematic sampling)
- ③ 군집표집(cluster sampling)
- ④ 층화표집(stratified random sampling)
등록된 댓글이 없습니다.
59. 개념적 정의에 대한 설명으로 옳은 것은?
- ① 측정 가능성과 직결된 정의이다.
- ② 조작적 정의를 현실세계의 현상과 연결시켜주는 역할을 수해한다.
- ③ 거짓과 진실을 밝히기 위해 정의하는 것이다.
- ④ 어떤 개념을 보다 명확하고 정확하게 표현하기 위하여 다른 개념을 사용하여 정의하는 것이다.
등록된 댓글이 없습니다.
60. 표본추출 과정을 바르게 나열한 것은?

- ① ㅁ→ㄷ→ㄹ→ㄴ→ㄱ
- ② ㅁ→ㄴ→ㄷ→ㄹ→ㄱ
- ③ ㄹ→ㅁ→ㄴ→ㄷ→ㄱ
- ④ ㄷ→ㅁ→ㄴ→ㄹ→ㄱ
등록된 댓글이 없습니다.
3과목 : 사회통계
61. 공정한 주사위 1개를 20번 던지는 실험에서 1의 눈을 관찰한 횟수를 확률변수 N라 하고, 정규근사를 이용하여 P(X≥4)의 근사값을 구하려 한다. 다음 중 연속성 수정을 고려한 근사식으로 옳은 것은? (단, Z는 표준정규분포를 따르는 확률변수)
- ① P(Z≥0.1)
- ② P(Z≥0.4)
- ③ P(Z≥0.7)
- ④ P(Z≥1)
등록된 댓글이 없습니다.
62. 다음은 왼손으로 글자를 쓰는 사람을 8명에 대하여 왼손의 악력 X와 오른손의 악력 Y를 측정하여 정리한 결과이다. 왼손으로 글자를 쓰는 사람들의 왼손 악력이 오른손 악력보다 강하다고 할 수 있는가에 대해 유의수준 5%에서 검정하고자 한다. 검정통계량 T의 값과 기각역을 구하면?

- ① T=2.01, T≥1.895
- ② T=0.71, T≥1.860
- ③ T=2.01, |T|≥2.365
- ④ T=0.71, |T|≥1.895
등록된 댓글이 없습니다.
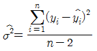
63. 단순선형회귀모형 에서 최소제곱추정량 로부터 잔차 로부터 서로 독립이고 등분산인 오차들의 분산 의 불편추정량을 구하면?
- ①

- ②

- ③

- ④

등록된 댓글이 없습니다.
64. 다음 중 중심위치의 척도와 가장 거리가 먼 것은?
- ① 중앙값
- ② 표준편차
- ③ 평균
- ④ 최빈수
등록된 댓글이 없습니다.
65. 남자 직원과 여자 직원의 임금을 조사하여 다음과 같은 결과를 얻었다. 변동(변이)계수에 근거한 남녀 직원 임금의 산포에 관한 설명으로 옳은 것은?(오류 신고가 접수된 문제입니다. 반드시 정답과 해설을 확인하시기 바랍니다.)

- ① 남자 직원임금의 산포가 더 크다.
- ② 여자 직원임금의 산포가 더 크다.
- ③ 남자 직원과 여자 직원의 임금의 산포가 같다.
- ④ 이 정보로는 산포를 설명할 수 없다.
등록된 댓글이 없습니다.
66. 일원배치법에 대한 설명으로 옳은 것은?
- ① 한 종류의 인자가 특성값에 미치는 영향을 조사하고자 할 때 사용하는 분석법이다.
- ② 인자의 처리별 반복수는 동일하여야 한다.
- ③ 3명의 기술자가 3가지의 재료를 이용해서 어떤 제품을 만들고자 할 때 가장 좋은 제품을 만들 수 있는 조건을 찾으려면 일원배치법이 적절한 방법이다.
- ④ 일원배치법에 의해 여러 그룹의 분산의 차이를 해석할 수 있다.
등록된 댓글이 없습니다.
67. 다음 자료는 설명변수(X)와 반응변수(Y) 사이의 관계를 알아보기 위하여 조사한 자료이다. 설명변수(X)와 반응변수(Y) 사이에 단순회귀모형을 가정할 때, 회귀직선의 기울기에 대한 추정값은 얼마인가?

- ① -2
- ② -1
- ③ 1
- ④ 2
등록된 댓글이 없습니다.
68. 어느 대학교에서 학생들을 대상으로 4개의 변수(키, 몸무게, 혈액형, 월평균 용돈)에 대한 관측값을 얻었다. 4개의 변수 중에서 최빈값을 대푯값으로 사용할 때 가장 적절한 변수는?
- ① 키
- ② 혈액형
- ③ 몸무게
- ④ 월평균 용돈
등록된 댓글이 없습니다.
69. 작년도 자료에 의하면 어느 대학교의 도서관에서 도서를 대출한 학부 학생들의 학년별 구성비는 1학년 12%, 2학년 20%, 3학년 33%, 4학년 35%였다. 올해 이 도서관에서 도서를 대출한 학부 학생들의 학년별 구성비가 작년도와 차이가 있는가를 분석하기 위해 학부생 도서 대출자 400명을 랜덤하게 추출하여 학생들의 학년별 도수를 조사하였다. 이 자료를 갖고 통게적인 분석을 하는 경우 사용되는 검정통계량은?
- ① 자유도가 4인 카이제곱 검정통계량
- ② 자유도가 (3, 396)인 F-검정통계량
- ③ 자유도가 (1, 398)인 F-검정통계량
- ④ 자유도가 3인 카이제곱 검정통계량
등록된 댓글이 없습니다.
70. 평균이 μ이고, 표준편차가 σ인 모집단으로부터 크기가 n인 확률표본을 취할 때, 표본평균 의 분포에 대한 설명으로 옳은 것은?
- ① 표본의 크기가 커짐에 따라 점근적으로 평균이 μ이고 표준편차가 σ/√n인 정규분포를 따른다.
- ② 표본의 크기가 커짐에 따라 평균이 μ이고 표준편차가 σ/n정규분포를 따른다.
- ③ 모집단의 확률분포와 동일한 분포를 따르되, 평균은 μ이고 표준편차가 σ/√n이다.
- ④ 모집단의 확률분포와 동일한 분포를 따르되, 평균은 μ이고 표준편차가 σ/n이다.
등록된 댓글이 없습니다.
71. 분산분석에 대한 설명으로 옳은 것은?
- ① 분산분석이란 각 처리집단의 분산이 서로 같은지를 검정하기 위한 방법이다.
- ② 비교하려는 처리집단이 k개 있으면 처리에 의한 자유도는 k-2가 된다.
- ③ 두 개의 요인이 있을 때 각 요인의 주효과를 알아보기 위해서는 요인간 교호작용이 있어야 한다.
- ④ 일원배치분산분석에서 일원배치의 의미는 반응변수에 영향을 주는 요인이 하나인 것을 의미한다.
등록된 댓글이 없습니다.
72. 2010년 도소매업의 사업체당 종사자수는 평균 3.0명이고 변동계수는 0.4이다. 95% 신뢰구간으로 옳은 것은? (단, z0.05=1.645,z0.025=1.96)
- ① 0.648명 ~ 5.352명
- ② 2.216명 ~ 3.784명
- ③ 1.026명 ~ 4.974명
- ④ 2.342명 ~ 3.658명
등록된 댓글이 없습니다.
73. 다음은 서로 다른 3가지 포장형태(A, B, C)의 선호도가 같은지를 90명을 대상으로 조사한 결과이다. 선호도가 동일한지를 검정하는 카이제곱 검정통계량의 값은?

- ① 2.87
- ② 2.97
- ③ 3.07
- ④ 4.07
등록된 댓글이 없습니다.
74. 단순회귀모형 Yi=α+βxi에서 회귀계수 β를 최소자승법(least squares method)으로 추정하는 경우와 εi가 평균이 0, 분산이 σ2인 정규분포를 따른다는 가정 하에 최대우도법(maximum likeihood method)으로 추정하는 경우의 설명으로 옳은 것은?
- ① 최소자승법으로 구한 β가 최대우도법으로 구한 β보다 크다.
- ② 최소자승법으로 구한 β가 최대우도법으로 구한 β보다 작다.
- ③ 최소자승법으로 구한 β가 최대우도법으로 구한 β는 같다.
- ④ 최소자승법으로 구한 β가 최대우도법으로 구한 β는 크기를 비교할 수 없다.
등록된 댓글이 없습니다.
75. 버스전용차로를 유지해야 하는 것에 대해 찬반 비율을 조사하기 위하여 서울에 거주하는 성인 1000명을 임의로 추출하여 조사한 결과 700명이 찬성한다고 응답하였다. 서울에 거주하는 성인 중 버스전용차로제에 찬성하는 사람의 비율의 추정치는?
- ① 0.4
- ② 0.5
- ③ 0.6
- ④ 0.7
등록된 댓글이 없습니다.
76. X와 Y 의 평균과 분산은 각각 E(X)=4, V(X)=8, E(Y)=10, V(Y)=32이고, E(XY)=28이다. 2X+1 과 -3Y+5 의 상관계수는?
- ① 0.75
- ② -0.75
- ③ 0.67
- ④ -0.67
등록된 댓글이 없습니다.
77. 확률변수 X는 이항분포 B(n,p)를 따른다고 하자. n=10, p=0.5일 때, 확률변수 X의 평균과 분산은?
- ① 평균 2.5, 분산 5
- ② 평균 2.5, 분산 2.5
- ③ 평균 5, 분산 5
- ④ 평균 5, 분산 2.5
등록된 댓글이 없습니다.
78. 주머니 안에 6개의 공이 들어 있다. 그 중 1개에는 1, 2개에는 2, 3개에는 3이라고 쓰여 있다. 주머니에서 공 하나를 무작위로 꺼내 나타난 숫자를 확률변수 X라 하고, 다른 확률변수 Y=3×X+5라 할 때, 다음 중 틀린 것은?
- ① E(X)=7/3
- ② Var(X)=5/9
- ③ E(Y)=12
- ④ Var(Y)=15/9
등록된 댓글이 없습니다.
79. 퀴즈 게임에서 우승한 철수는 주사위를 던져서 그 나온 숫자에 100,000원을 곱한 상금을 받게 되었다. 그런데 그 주사위에는 홀수가 없이 짝수만이 있다. 즉 2가 2면, 4가 2면, 6이 2면인 것이다. 그 주사위를 던졌을 때 받게 될 상금의 기댓값은 얼마인가?
- ① 300,000원
- ② 400,000원
- ③ 350,000원
- ④ 450,000원
등록된 댓글이 없습니다.
80. 검정력(power)에 관한 설명으로 옳은 것은?
- ① 귀무가설이 옳음에도 불구하고 이를 기각할 확률이다.
- ② 옳은 귀무가설을 채택할 확률이다.
- ③ 대립가설이 참일 때, 귀무가설을 기각할 확률이다.
- ④ 거짓인 귀무가설을 채택할 확률이다.
등록된 댓글이 없습니다.
81. 통계학 과목의 기말고사 성적은 평균(mean)이 40점, 중위값(median)이 38점이었다. 점수가 너무 낮아서 담당 교수는 12점의 기본점수를 더해 주었다. 새로 산정한 점수의 중위값은?
- ① 40점
- ② 42점
- ③ 50점
- ④ 52점
등록된 댓글이 없습니다.
82. 가설검정의 오류에 대한 설명으로 틀린 것은?
- ① 제2종 오류는 대립가설()이 사실일 때 귀무가설()을 채택하는 오류이다.
- ② 가설검정의 오류는 유의수준과 관계가 있다.
- ③ 제1종 오류를 작게 하기 위해서는 유의수준을 크게 할 필요가 있다.
- ④ 제1종 오류와 제2종 오류를 범할 가능성은 반비례관계에 있다.
등록된 댓글이 없습니다.
83. 공정한 주사위 1개를 굴려 윗면에 나타난 수를 라 할 때, 의 기댓값은?
- ① 3
- ② 3.5
- ③ 6
- ④ 2.5
등록된 댓글이 없습니다.
84. 어느 포장기계를 이용하여 생산한 제품의 무게는 평균이 240g, 표준편차는 8g인 정규분포를 따른다고 한다. 이 기계에서 생산한 제품 25개의 평균 무게가 242g 이하일 확률은? (단, Z는 표준정규분포를 따르는 확률변수)
- ①

- ②

- ③

- ④

등록된 댓글이 없습니다.
85. 컴퓨터 제조회사에서 보증기간을 정하려고 한다. 컴퓨터 수명은 평균 3년, 표준편차 9개월인 정규분포를 따른다고 한다. 보증기간 이전에 고장이 나면 무상수리를 해 주어야 한다. 이 회사는 출하 제품 가운데 5% 이내에서만 무상수리가 되기를 원한다. 보증기간을 몇 개월로 정하면 되겠는가? (단, P(Z>1.645)=0.05)
- ① 17
- ② 19
- ③ 21
- ④ 23
등록된 댓글이 없습니다.
86. 회귀식에서 결정계수 R2에 관한 설명으로 틀린 것은?
- ① 단순회귀모형에서는 종속변수와 독립변수의 상관계수의 제곱과 같다.
- ② R2은 독립변수의 수가 늘어날수록 증가하는 경향이 있다.
- ③ 모든 측정값이 한 직선상에 놓이면 R2의 값은 0이다.
- ④ R2값은 0에서 1까지 값을 가진다.
등록된 댓글이 없습니다.
87. 중회귀모형 에 대한 분산분석표가 다음과 같다. 위의 분산분석표를 이용하여 유의수준 0.05에서 모형에 대한 유의성검정을 할 때, 추론 결과로 가장 적합한 것은?
- ① 두 설명변수 x1과 x2모두 반응변수에 영향을 주지 않는다.
- ② 두 설명변수 x1과 x2모두 반응변수에 영향을 준다.
- ③ 두 설명변수 x1과 x2중 적어도 하나는 반응변수에 영향을 준다.
- ④ 두 설명변수 x1과 x2중 하나는 반응변수에 영향을 준다.
등록된 댓글이 없습니다.
88. 확률변수 X가 평균이 100이고 표준편차가 10인 정규분포를 따른다고 했을 때, X가 80보다 작을 확률은 얼마인가? (단, p(-0.2<z<0.2)=0.159, p(-2<z<2)=0.954)
- ① 0.477
- ② 0.079
- ③ 0.421
- ④ 0.023
등록된 댓글이 없습니다.
89. 시계에 넣는 배터리 16개의 수명을 측정한 결과 평균이 2년이고 표준편차가 1년이었다. 이 배터리 수명의 95% 신뢰구간을 구하면? (단, t(15,0.025)=2.13)
- ① (1.47, 2.53)
- ② (1.73, 2.27)
- ③ (1.87, 2.13)
- ④ (1.97, 2.03)
등록된 댓글이 없습니다.
90. 4 × 5 분할표 자료에 대한 독립성검정에서 카이제곱 통계량의 자유도는?
- ① 9
- ② 12
- ③ 19
- ④ 20
등록된 댓글이 없습니다.
91. 양의 확률을 갖는 사건 A, B, C의 독립성에 대한 설명으로 틀린 것은?
- ① A와 B가 독립이면, A와 BC또한 독립이다.
- ② A와 B가 독립이면, AC와 BC또한 독립이다.
- ③ A와 B가 배반사건이면 A와 B독립이 아니다.
- ④ A와 B가 독립이고 A와 C가 독립이면, A와 B∩C 또한 독립이다.
등록된 댓글이 없습니다.
92. 지난 해 C대학 야구팀은 총 77게임을 하였는데 37번의 홈경기에서 26게임을 이긴 반면에 40번의 원정경기에서는 23게임을 이겼다. 홈경기 승률()과 원정경기 승률() 간의 차이에 대한 95% 신뢰구간으로 옳은 것은? (단, 이며, 표준정규분포에서 P(Z≥1.65)=0.05이고 P(Z≥1.96)=0.025 이다.)
- ①

- ②

- ③

- ④

등록된 댓글이 없습니다.
93. 일원배치모형을 xij=μ+ai+εij(i=1,2,⋯,k;j=1,2,⋯1n)로 나타낼 때, 분산분석표를 이용하여 검정하려는 귀무가설 H0는? (단, i 는 처리, j 는 반복을 나타내는 첨자이며, 오차항 εij~N(0,σ2)이고 서로 독립적이며 이다.)
- ①

- ②

- ③ H0: 적어도 한 ai 는 0이 아니다.
- ④ H0: 오차항 εijai들은 서로 독립이다.
등록된 댓글이 없습니다.
94. 다음 중 중회귀모형에서 오차분석 σ2<의 추정량은? (단, ei는 잔차를 나타낸다.)

- ①

- ②

- ③

- ④

등록된 댓글이 없습니다.
95. “남녀간 월급여의 차이가 있다” 라는 주장을 검정하기 위하여 사회조사를 실시하였다. 조사결과 남자집단의 월평균급여를 μ1, 여자집단의 월평균급여를 μ2라고 한다면 귀무가설은?
- ① μ1 > μ2
- ② μ1 = μ2
- ③ μ1 < μ2
- ④ μ1 ≠ μ2
등록된 댓글이 없습니다.
96. 표본의 수가 n이고, 독립변수의 수가 k인 중선형회귀모형의 분산분석표에서 잔차제곱합SSE의 자유도는?
- ① k
- ② k+1
- ③ n-k-1
- ④ n-1
등록된 댓글이 없습니다.
97. 어떤 정책에 대한 찬성여부를 알아보기 위해 400명을 랜덤하게 조사하였다. 무응답이 없다고 했을 때 신뢰수준 95% 하에서 통계적 유의성이 만족되려면 적어도 몇 명이 찬성해야 하는가? (단, z0.05=1.645, z0.025=1.96)
- ① 205명
- ② 210명
- ③ 215명
- ④ 220명
등록된 댓글이 없습니다.
98. 자료 x1+x2,⋯,xn의 표준편차가 3일 때, -3x1,-3x2,⋯,-3xn의 표준편차는?
- ① -3
- ② 9
- ③ 3
- ④ -9
등록된 댓글이 없습니다.
99. 분산분석에 대한 옳은 설명만 짝지어진 것은?

- ① ㄱ, ㄷ
- ② ㄱ, ㄹ
- ③ ㄴ, ㄷ
- ④ ㄴ, ㄹ
등록된 댓글이 없습니다.
100. 3개의 공정한 동전을 던질 때 적어도 앞면이 하나 이상 나올 확률은?
- ① 7/8
- ② 6/8
- ③ 5/8
- ④ 4/8
등록된 댓글이 없습니다.