사회조사분석사 2급(2016. 5. 8.) 시험일자 : 2016년 5월 8일
1과목 : 조사방법론 I
1. 연구방법론의 접근방법 중 실증주의와 해석주의의 비교 설명으로 틀린 것은?
- ① 실증주의에서 지식은 직접 관찰할 수 있는 현상에 토대를 둔다.
- ② 실증주의에서 사회현상은 실험과 같은 자연과학의 원리를 사용함으로써 연구되어야 한다.
- ③ 해석주의에서는 신뢰성과 일반화보다는 타당성을 강조한다.
- ④ 해석주의에서 설명은 인과법칙의 형성 또는 일반화의 법칙을 통해 이루어진다.
등록된 댓글이 없습니다.
2. 질적 연구에 대한 설명으로 틀린 것은?
- ① 자료처리를 위해 컴퓨터프로그램을 사용하지 않는다.
- ② 사례기술적 이해를 추구한다.
- ③ 신뢰도에 있어서 문제가 있을 수 있다.
- ④ 포커스그룹 면접도 질적 연구에 해당한다.
등록된 댓글이 없습니다.
3. 전자 서베이(on-line or electronic survey)에 관한 설명으로 옳은 것은?
- ① 모집단의 특성에 관계없이 표본추출이 자유롭다.
- ② 현재로서는 설문발송과 회수에 비용이 거의 들지 않는다.
- ③ 전자메일을 통한 추적독촉이 쉽지 않다는 단점이 있다.
- ④ 설문결과를 데이터로 처리하여 입력하기 힘들다는 문제가 있다.
등록된 댓글이 없습니다.
4. 통제집단 사전사후측정실험설계(protest-posttest control group design)의 핵심적 특징을 모두 고른 것은?

- ① ㄱ, ㄴ
- ② ㄷ, ㄹ
- ③ ㄱ, ㄴ, ㄷ
- ④ ㄱ, ㄴ, ㄷ, ㄹ
등록된 댓글이 없습니다.
5. 가설의 평가기준과 가장 거리가 먼 것은?
- ① 실제 자료를 통하여 진위가 입증될 수 있어야 한다.
- ② 동일분야의 다른 이론과 연관성이 없어야 한다.
- ③ 검증결과를 광범위하게 이용할 수 있어야 한다.
- ④ 간단명료하게 표현되어야 하고 논리적으로 간결해야 한다.
등록된 댓글이 없습니다.
6. 연구방법으로서의 연역적 접근법과 귀납적 접근법에 관한 설명으로 틀린 것은?
- ① 연역적 접근법을 취하려면 기존 이론에 대한 분석이 필요하다.
- ② 귀납적 접근법은 현실세계에 대한 관찰을 통해 경험적 일반화를 추구한다.
- ③ 사회조사에서 연역적 접근법과 귀납적 접근법은 상호 보완적으로 사용된다.
- ④ 연역적 접근법은 탐색적 연구에, 귀납적 접근법은 가설 검증에 주로 사용된다.
등록된 댓글이 없습니다.
7. 다음 ( )에 알맞은 것은?

- ① 패러다임(paradigm)
- ② 명제(proposition)
- ③ 법칙(law)
- ④ 공리(axioms)
등록된 댓글이 없습니다.
8. 관찰자의 유형에 관한 설명으로 틀린 것은?
- ① 완전참여자는 윤리적 및 과학적 문제가 발생할 수 있다.
- ② 연구자가 완전참여자일 때는 연구대상에 영향을 미치지 않는다.
- ③ 완전관찰자의 관찰은 피상적이고 일시적이 될 수 있다.
- ④ 완전관찰자는 완전참여자보다 연구대상을 충분히 이해할 수 있는 가능성이 낮다.
등록된 댓글이 없습니다.
9. 관찰을 통한 자료수집시 지각과정에서 나타나는 오류를 감소하기 위한 방안으로 틀린 것은?
- ① 보다 큰 단위의 관찰을 한다.
- ② 객관적인 관찰 도구를 사용한다.
- ③ 관찰기간을 될 수 있는 한 길게 잡는다.
- ④ 가능한 한 관찰단위를 명세화해야 한다.
등록된 댓글이 없습니다.
10. 우편조사, 전화조사, 대면면접조사에 관한 비교설명으로 옳은 것은?
- ① 우편조사의 응답률이 가장 높다.
- ② 우편조사와 전화조사는 자기기입식 자료수집방법이다.
- ③ 대면면접조사에서는 추가질문하기가 가장 어렵다.
- ④ 어린이나 노인에게는 대면면접조사가 가장 적절하다.
등록된 댓글이 없습니다.
11. 다음 질문항목의 문제점에 해당하는 것은?

- ① 간결성
- ② 명확성
- ③ 상호배타성
- ④ 포괄성
등록된 댓글이 없습니다.
12. 사후실험(Ex-Post Facto Experiment) 설계에 관한 설명으로 틀린 것은?
- ① 독립변수를 조작할 수 없는 상태 또는 이미 노출된 상태에서 변수들 간의 관계를 검증하는 방법이다.
- ② 독립변수에 대한 통제가 윤리적으로 바람직하지 않을 때 사용될 수 있다.
- ③ 일반적인 실험설계보다 종속변수에 영향을 줄 수 있는 변수의 통제가 용이하다.
- ④ 실제 상황에서 검증하기 때문에 일반적인 실험설계에 비해서 현실성이 높은 결과를 얻을 수 있다.
등록된 댓글이 없습니다.
13. 조절변수를 활용한 가설에 해당하는 것은?
- ① 소득은 삶의 만족도에 영향을 미친다.
- ② 소득이 삶의 만족도에 미치는 영향은 성별에 따라 다르다.
- ③ 소득과 삶의 만족도는 밀접한 관계가 있다.
- ④ 소득은 의료접근성을 통하여 삶의 만족도에 영향을 미친다.
등록된 댓글이 없습니다.
14. 연구유형에 관한 설명으로 틀린 것은?
- ① 순수연구-이론을 구성하거나 경험적 자료를 토대로 이론을 검증한다.
- ② 평가연구-응용연구의 특수형태로 진행중인 프로그램의 의도한 효과를 가져왔는가를 평가한다.
- ③ 탐색적 연구-선행연구가 빈약하여 조사연구를 통해 연구해야 할 속성을 개념화한다.
- ④ 기술적 연구-축적된 자료를 토대로 특정된 사실관계를 파악하여 미래를 예측한다.
등록된 댓글이 없습니다.
15. 초점집단(focus group) 조사와 델파이 조사에 관한 설명으로 옳은 것은?
- ① 초점집단 조사에서는 익명 집단의 상호작용을 통해 도출된 자료를 분석한다.
- ② 초점집단 조사는 내용타당도를 높이는 목적으로 사용될 수 있다.
- ③ 델파이 조사는 비구조화 방식으로 정보의 흐름을 제어한다.
- ④ 델파이 조사는 대면(face to face) 집단의 상호작용을 통해 도출된 자료를 분석한다.
등록된 댓글이 없습니다.
16. 다음 사례에서 영향을 미칠 수 있는 대표적인 내적 타당도 저해요인은?

- ① 성숙효과(maturation)
- ② 외부사건(history)
- ③ 검사효과(testing)
- ④ 도구효과(instrumentation)
등록된 댓글이 없습니다.
17. 과학적 방법의 특징에 관한 설명으로 틀린 것은?
- ① 간결성 최소한의 설명변수만을 사용하여 가능한 최대의 설명력을 얻는다.
- ② 인과성 모든 현상은 자연발생적인 것이어야 한다.
- ③ 일반성 경험을 통해 얻은 구체적 사실로 보편적인 원리를 추구한다.
- ④ 경험적 검증가능성 이론을 현실세계에서 경험을 통해 검증이 될 수 있어야 한다.
등록된 댓글이 없습니다.
18. 비구조화(비표준화) 면접에 관한 설명으로 틀린 것은?
- ① 부호화가 어렵다.
- ② 미개척 분야의 개발에 적합하다.
- ③ 심층적인 질문이 가능하다.
- ④ 면접자의 편의(bias)가 개입될 가능성이 적다.
등록된 댓글이 없습니다.
19. 다음 중 우편조사를 위한 질문지의 조사안내문에 포함해야 할 내용과 가장 거리가 먼 것은?
- ① 연구자(또는 조사자)의 연락처
- ② 실시기관
- ③ 응답에 대한 비밀유지
- ④ 표본의 규모와 응답자의 범위
등록된 댓글이 없습니다.
20. 인터넷조사에 관한 설명으로 틀린 것은?
- ① 인터넷 사용가능자에 한해서만 조사된다.
- ② 인터넷 표본의 모집단을 규정하기 힘들다.
- ③ 본인 확인이 불가능한 경우 중복 조사될 수 있다.
- ④ 표본수의 증감에 따른 조사비용의 증감이 크다.
등록된 댓글이 없습니다.
21. 과학적 조사의 절차로 가장 적합한 것은?

- ① ㄱ→ㄴ→ㄷ→ㅁ→ㄹ
- ② ㄱ→ㄷ→ㄴ→ㅁ→ㄹ
- ③ ㄷ→ㄴ→ㄱ→ㅁ→ㄹ
- ④ ㄷ→ㄱ→ㄴ→ㅁ→ㄹ
등록된 댓글이 없습니다.
22. 다음 설명에 해당하는 질문의 종류는?

- ① 투사법(projective method)
- ② 오진선택법(error-choice method)
- ③ 정보검사법(information test)
- ④ 단어연상법(word association)
등록된 댓글이 없습니다.
23. 다음 중 실험설계가 가장 적합한 상황은?
- ① 지역사회의 최우선 현안문제가 무엇인지 알기 위해 서베이하고자 할 때
- ② 국제결혼의 이혼률을 파악하고자 할 때
- ③ 지역아동센터의 접근성을 분석하고자 할 때
- ④ 무료급식 서비스를 제공받은 노숙자의 변화를 분석하고자 할 때
등록된 댓글이 없습니다.
24. 다음 중 실험설계의 특징이 아닌 것은?
- ① 실험의 검증력을 극대화 시키고자 하는 시도이다.
- ② 연구가설의 진위여부를 확인하는 구조화된 절차이다.
- ③ 실험의 내적 타당도를 확보하기 위한 노력이다.
- ④ 조작(manipulation)적 상황을 최대한 배제하고 자연적 상황을 유지해야 하는 표준화된 절차이다.
등록된 댓글이 없습니다.
25. 다음 중 분석단위와 연구내용이 잘못 짝지어진 것은?
- ① 개인-전체 농부 중에서 32%가 여성임에도 불구하고 여성은 전통적으로 농부라기보다 농부의 아내로 인식되었다.
- ② 개인-1970년부터 지금까지 고용주가 게재한 구인광고의 내용과 강조점이 어떻게 변화하였는지 파악하였다.
- ③ 도시-인구가 10만명 이상인 도시 중 89%는 적어도 종합병원이 2개 이상 있었다.
- ④ 도시-흑인이 많은 도시에서 범죄율이 높은 것으로 나타났다.
등록된 댓글이 없습니다.
26. 양적연구와 질적연구의 비교설명으로 틀린 것은?
- ① 양적연구는 연구대상의 관계를 통계적으로 분석하여 밝히는 연구이다.
- ② 질적연구는 강제적 측정과 통제된 측정을 이용하는 방법이다.
- ③ 질적연구는 주관적 해석적 연구방법이다.
- ④ 양적연구는 확인 지향적 또는 확증적 연구방법이다.
등록된 댓글이 없습니다.
27. 다음에 해당하는 연구 형태는?

- ① 동류집단 분석(cohort study)
- ② 패널 연구(panel study)
- ③ 횡단적 연구(cross sectional study)
- ④ 경향성 연구(trend study)
등록된 댓글이 없습니다.
28. 다음과 같은 조사방법의 특징으로 옳은 것은?

- ① 표본추출(sampling)이 불가능하다.
- ② 인간의 모든 형태의 의사소통기록물을 활용할 수 있다.
- ③ 사전조사가 필요하지 않아 경제적이다.
- ④ 수량적 분석이 불가능하다.
등록된 댓글이 없습니다.
29. 질문지에 사용되는 질문이나 진술을 작성하는 원칙과 가장 거리가 먼 것은?
- ① 항목들이 명확해야 한다.
- ② 질문항목들은 되도록 짧아야 한다.
- ③ 부정어가 포함된 질문을 반드시 포함한다.
- ④ 편견에 치우친 항목과 용어를 지양한다.
등록된 댓글이 없습니다.
30. 비반응적(nonreactive) 자료수집방법으로 가장 적합한 것은?
- ① 참여적 관찰을 하는 것
- ② 일기, 편지 등 사적인 문서를 수집하는 것
- ③ 조사대상자를 심층면접하는 것
- ④ 자기기입식 설문조사를 하는 것
등록된 댓글이 없습니다.
2과목 : 조사방법론 II
31. 크론바하의 알파값에 대한 설명으로 틀린 것은?
- ① 표준화된 크론바하의 알파값은 0에서 1에 이르는 값으로 존재한다.
- ② 문항 간의 평균 상관계수가 높을수록 크론바하의 알파값도 커진다.
- ③ 문항의 수가 적을수록 크론바하의 알파값은 커진다.
- ④ 크론바하의 알파값이 클수록 신뢰도가 높다고 인정된다.
등록된 댓글이 없습니다.
32. 모집단으로부터 매 k번째 표본을 추출해내는 방법은?
- ① 군집표본추출법(cluster sampling)
- ② 편의표본추출법(convenience sampling)
- ③ 계통표본추출법(systematic sampling)
- ④ 단순무작위표본추출법(simple random sampling)
등록된 댓글이 없습니다.
33. 편의표본추출(convenience sampling)에 관한 설명과 가장 거리가 먼 것은?
- ① 모집단에 대한 정보가 전혀 없는 경우에 사용된다.
- ② 편의표집으로 수집된 자료라 할지라도 유용한 정보를 제공할 수 있다.
- ③ 편의표집에 의해 얻어진 표본에 대해서는 표준오차 추정치를 부여할 수 없다.
- ④ 표본의 크기를 확대하여 모집단의 대표성 문제를 해결할 수 있다.
등록된 댓글이 없습니다.
34. 일반적으로 표본추출과정에서 가장 마지막에 이루어지는 것은?
- ① 표본프레임의 결정
- ② 표본추출방법의 결정
- ③ 모집단의 확정
- ④ 표본크기의 결정
등록된 댓글이 없습니다.
35. 조작적 정의의 예와 가장 거리가 먼 것은?
- ① 빈곤-물질적인 결핍 상태
- ② 소득-월 ( )만원
- ③ 서비스만족도-재이용 의사 유무
- ④ 신앙심-종교행사 참여 횟수
등록된 댓글이 없습니다.
36. 측정 오차(error of measurement)에 관한 설명으로 틀린 것은?
- ① 신뢰성은 체계적 오차(systematic error)와 관련된 개념이다.
- ② 무작위 오차(random error)는 오차의 값이 다양하게 분산되어 있으며 상호 상쇄되는 경향도 있다.
- ③ 체계적 오차(systematic error)는 오차가 일정하거나 한쪽으로 치우쳐 있다.
- ④ 무작위 오차(random error)는 측정대상 측정과정 측정수단 측정자 등에 일관성 없이 영향을 미쳐 발생하는 오차이다.
등록된 댓글이 없습니다.
37. 측정 오차를 최소화하는 방법과 가장 거리가 먼 것은?
- ① 측정항목 수를 가능한 한 늘린다.
- ② 문장을 간단하고 명료하게 구성한다.
- ③ 다각도 검증(triangulation)을 수행한다.
- ④ 응답자가 관심이 없는 내용도 설득하여 응답하게 한다.
등록된 댓글이 없습니다.
38. 타당성 중에서 연구자가 설계한 측정도구 자체가 측정하려는 개념이나 속성을 제대로 대표하고 있는지의 여부를 나타내는 것은?
- ① 구성 타당성(construct validity)
- ② 내용 타당성(content validity)
- ③ 경험적 타당성(empirical validity)
- ④ 개념적 타당성(concept validity)
등록된 댓글이 없습니다.
39. 다음 척도에 관한 설명으로 옳은 것은?

- ① 신뢰성은 있지만 타당성은 없다.
- ② 타당성은 있지만 신뢰성은 없다.
- ③ 신뢰성과 타당성이 모두 낮다.
- ④ 신뢰성과 타당성의 유무를 알 수 없다.
등록된 댓글이 없습니다.
40. 일반적으로 가장 적은 정보를 제공해주는 측정수준은?
- ① 서열척도
- ② 비율척도
- ③ 명목척도
- ④ 등간척도
등록된 댓글이 없습니다.
41. 다음과 같이 양극단의 상반된 수식어 대신 하나의 수식어(unipolar adjective)만을 평가기준으로 제시하는 척도는?

- ① 스타펠척도(stapel scale)
- ② 리커트척도(likert scale)
- ③ 거트만척도(guttman scale)
- ④ 서스톤척도(thurstone scale)
등록된 댓글이 없습니다.
42. 다음 중 확률표본추출방법에 해당하는 것은?
- ① 층화표본추출법(stratified sampling)
- ② 판단표본추출법(judgemental sampling)
- ③ 할당표본추출법(quota sampling)
- ④ 눈덩이표본추출법(snowball sampling)
등록된 댓글이 없습니다.
43. 등간측정의 성격을 모두 가지고 있으면서 동시에 실제적인 의미가 있는 절대 0(absolute zero) 혹은 자연적인 0(natural zero)을 갖춘 측정의 수준은?
- ① 비율측정
- ② 서열측정
- ③ 명목측정
- ④ 독립측정
등록된 댓글이 없습니다.
44. 다음 예와 같이 응답자에게 한 속성의 보유 정도를 기준으로 다른 속성의 보유 정도를 판단하도록 하는 척도법은?

- ① 고정총합척도법(constant sum method)
- ② 연속평정법(continuous rating)
- ③ 항목평정법(itemized rating)
- ④ 비율분할법(fractionation method)
등록된 댓글이 없습니다.
45. 척도구성에서 척도의 일부를 이루는 개별문항들에 대한 기본적인 가정으로 가장 적합한 것은?
- ① 개별문항은 양적 속성을 가지지만, 그것은 결국 질적 속성으로 변환될 수 있어야 한다.
- ② 개별문항은 다차원적이어야 하며, 이들이 논리적으로나 경험적으로 연결된 다수의 개념을 반영하여야 한다.
- ③ 개별문항은 하나의 연속체를 이루어야 하며, 이 연속체는 단 하나의 개념을 반영하여야 한다.
- ④ 개별문항은 둘 이상의 개념을 별도로 점수화하는데 적합하여야 하며, 이들 개념은 통계적으로 조작이 불가능한 질적 개념이어야 한다.
등록된 댓글이 없습니다.
46. 표집 틀(sampling frame)을 평가하는 주요 요소와 가장 거리가 먼 것은?
- ① 포괄성
- ② 안정성
- ③ 추출확률
- ④ 효율성
등록된 댓글이 없습니다.
47. 개념을 경험적 수준으로 구체화하는 과정을 바르게 나열한 것은?

- ① A→B→C
- ② B→A→C
- ③ C→A→B
- ④ C→B→A
등록된 댓글이 없습니다.
48. 신뢰성을 평가하는 방법으로 틀린 것은?
- ① 반분법
- ② 재검사법
- ③ 내적 일관성법
- ④ 구성체 신뢰도법
등록된 댓글이 없습니다.
49. 우리나라 100대 기업의 연간 순수입을 ‘원(₩)’ 단위로 조사하고자 할 때 측정의 수준은?
- ① 명목측정
- ② 서열측정
- ③ 등간측정
- ④ 비율측정
등록된 댓글이 없습니다.
50. 신뢰성을 높이는 방법과 가장 거리가 먼 것은?
- ① 측정항목의 모호성을 제거한다.
- ② 측정항목의 수를 늘린다.
- ③ 동일하거나 유사한 질문을 하지 않는다.
- ④ 신뢰성이 있다고 인정된 측정도구를 이용한다.
등록된 댓글이 없습니다.
51. 확률표집에 관한 설명과 가장 거리가 먼 것은?
- ① 표집오차(sampling error)를 추정 가능하다.
- ② 표본의 크기가 커질수록 대표성이 높아진다.
- ③ 표본구성요소들을 추출하기 위해 무작위적인 방법을 사용한다.
- ④ 표본의 크기가 커질수록 표집오차는 정비례적으로 증가한다.
등록된 댓글이 없습니다.
52. 리커트(Likert) 척도의 장점이 아닌 것은?
- ① 항목의 우호성 또는 비우호성을 평가하기 위해 평가자를 활용하므로 객관적이다.
- ② 적은 문항으로도 높은 타당도를 얻을 수 있어서 매우 경제적이다.
- ③ 응답 카테고리가 명백하게 서열화되어 응답자에게 혼란을 주지 않는다.
- ④ 한 항목에 대한 응답의 범위에 따라 측정의 정밀성을 확보할 수 있다.
등록된 댓글이 없습니다.
53. 소시오메트리 척도에 관한 설명과 가장 거리가 먼 것은?
- ① 집단결속력의 정도를 저울질하는 데 사용된다.
- ② 조사대상인원이 소수일 때 적용이 용이하다.
- ③ 통계학에서 다루는 조합의 원리가 적용된다.
- ④ 조사대상집단 구성원 모두 동질성을 띠어야 한다.
등록된 댓글이 없습니다.
54. 앞으로 10년 간 우리나라의 경제상황에 대한 예측을 하기 위해 경제학 교수 100명에게 설문조사를 실시하였다. 이 조사에서 사용된 표본추출방법은?
- ① 할당표본추출
- ② 판단표본추출
- ③ 편의표본추출
- ④ 눈덩이표본추출
등록된 댓글이 없습니다.
55. 우리나라 고등학생 집단을 학년과 성별, 계열별(인문계, 자연계, 예체능계)로 구분하여 할당 표본추출을 할 경우 총 몇 개의 범주로 구분되는가?
- ① 6개
- ② 12개
- ③ 18개
- ④ 24개
등록된 댓글이 없습니다.
56. 눈덩이표본추출(snowball sampling)에 관한 옳은 설명을 모두 고른 것은?

- ① A, B
- ② B, C
- ③ A, C
- ④ A, B, C
등록된 댓글이 없습니다.
57. 신뢰성 측정방법인 검사-재검사법(test-retest method)에 관한 설명으로 가장 적합한 것은?(오류 신고가 접수된 문제입니다. 반드시 정답과 해설을 확인하시기 바랍니다.)
- ① 홀수문항과 짝수문항의 응답을 비교하는 방식으로 수행하기도 한다.
- ② 내적 일치도를 측정하는 신뢰성 측정방법이다.
- ③ 검사 재검사 간격이 너무 짧으면 기억효과 때문에 신뢰성이 낮아진다.
- ④ 동일한 문항을 반복해서 측정하는 것이다.
등록된 댓글이 없습니다.
58. 표본추출과 관계없이 자료를 수집하는 과정에서 발생하는 오차는?
- ① 표본 틀 오차
- ② 비표본 오차
- ③ 표준 오차
- ④ 확률적인 오차
등록된 댓글이 없습니다.
59. 연속변수(continuous variable)로 구성하기 어려운 것은?
- ① 인종
- ② 소득
- ③ 범죄율
- ④ 거주기간
등록된 댓글이 없습니다.
60. 총 학생 수가 2,000명인 학교에서 500명을 표집할 때의 표집율은?
- ① 25%
- ② 40%
- ③ 80%
- ④ 100%
등록된 댓글이 없습니다.
3과목 : 사회통계
61. 모평균 μ에 대한 귀무가설 H0:μ=70 대 대립가설 H1:μ=80의 검정에서 표본평균 이면 귀무가설을 기각한다. 이고 일 때, 다음 설명 중 옳은 것은?
- ① 유의확률(p-값)은 0.045이다.
- ② 제1종 오류는 0.079이다.
- ③ 제2종 오류는 0.045이다.
- ④ μ=80일 때의 검정력은 0.921이다.
등록된 댓글이 없습니다.
62. 국회의원 후보 A에 대한 청년층 지지율 p1과 노년층 지지율 p2의 차이 p1-p2는 6.6%로 알려져 있다. 청년층과 노년층 각각 500명씩을 랜덤추출하여 조사하였더니, 위 지지율 차이는 3.3%로 나타났다. 지지율 차이가 줄어들었다고 할 수 있는지를 검정하기 위한 귀무가설 H0와 대립가설 H1은?
- ① H0 : p1-P2 >0.033, H1 : p1 - P2 > 0.033
- ② H0 : p1-P2>0.033, H1 : p1 - P2 ≤ 0.033
- ③ H0 : p1-P2<0.066, H1 : p1 - P2 ≥ 0.066
- ④ H0 : p1-P2=0.066, H1 : p1 - P2 < 0.066
등록된 댓글이 없습니다.
63. 변동계수(또는 변이계수)에 대한 설명으로 틀린 것은?
- ① 평균의 차이가 큰 두 집단의 산포를 비교할 때 이용한다.
- ② 평균을 표준편차로 나눈 값이다.
- ③ 단위가 다른 두 집단자료의 산포를 비교할 때 이용한다.
- ④ 관찰치의 산포의 정도를 상대적으로 비교할 때 이용한다.
등록된 댓글이 없습니다.
64. 초등학교 학생과 대학생의 용돈의 평균과 표준편차가 다음과 같을 때 변동 계수를 비교한 결과로 옳은 것은?

- ① 초등학생의 용돈이 대학생 용돈보다 상대적으로 더 평균에 밀집되어 있다.
- ② 대학생 용돈이 초등학생 용돈보다 상대적으로 더 평균에 밀집되어 있다.
- ③ 초등학생 용돈과 대학생 용돈의 변동계수는 같다.
- ④ 평균이 다르므로 비교할 수 없다.
등록된 댓글이 없습니다.
65. 어느 회사원이 승용차로 출근하는 길에 신호등이 5개 있다고 한다. 각 신호등에서 빨간등에 의해 신호 대기할 확률을 0.2이고, 각 신호등에서 신호 대기 여부는 서로 독립적이라고 가정한다. 어느 날 이 회사원이 5개의 신호등 중 1개의 신호등에서만 빨간등에 의해 신호대기에 걸리고 출근할 확률을 구하는 식은?
- ① (0.2)1
- ② 1-(0.8)5
- ③ (0.2)1(0.8)4
- ④ 5(0.2)1(0.8)4
등록된 댓글이 없습니다.
66. 두 변수 x와 y의 관찰값이 다음과 같을 때 최소제곱법으로 추정한 회귀식으로 옳은 것은?

- ①

- ②

- ③

- ④

등록된 댓글이 없습니다.
67. 분산분석에서의 총 변동은 처리 내에서의 변동과 처리 간의 변동으로 구분된다. 그렇다면 각 처리 내에서의 변동의 합을 나타내는 것은?
- ① 총제곱합
- ② 처리제곱합
- ③ 급간제곱합
- ④ 잔차제곱합
등록된 댓글이 없습니다.
68. 모수의 추정에 사용할 추정량이 가져야 할 바람직한 성질이 아닌 것은?
- ① 편의성
- ② 일치성
- ③ 유효성
- ④ 비편향성
등록된 댓글이 없습니다.
69. 두 변수값 X1, X2, ∙∙∙Xn과 Y1, Y2, ∙∙∙, Yn을 각각 표준화한 변수값이 x1, x2∙∙∙xn과 y1, y2 ∙∙∙, yn이다. 표준화된 변수 x와 y의 상관계수는?
- ① 0
- ② 1
- ③

- ④

등록된 댓글이 없습니다.
70. 단순회귀모형 「Yi=α+βxi+ɛi, ɛi~N(0,σ2이고 서로 독립(i=1, 2, ∙∙∙, n)에서 가설 H1 : β≠0에 대한 검정통계량은?
- ①

- ②

- ③

- ④

등록된 댓글이 없습니다.
71. 특수안전모자를 제조하는 회사에서 모자를 착용할 사람들의 머리크기의 평균을 알고 싶어 한다. 사람의 머리둘레는 정규분포를 따른다고 알려져 있으며 이때 표준편차는 약 2.3cm라 한다. 실제 평균 μ를 95% 신뢰수준에서 0.1cm 이하의 오차한계를 추정하려고 할 때 필요한 최소인원은? (단, Z~N(0,1), P(Z>1.96)=0.025, P(Z>1.645)=0.05)
- ① 2,000명
- ② 2,021명
- ③ 2,033명
- ④ 2,035명
등록된 댓글이 없습니다.
72. 두 확률변수의 상관계수에 대한 설명으로 틀린 것은?
- ① 상관계수란 두 변수의 공분산을 두 변수의 표준편차의 곱으로 나눈 값으로 정의되는 측도이다.
- ② 상관계수는 두 변수 사이에 함수관계가 어느 정도 강한가를 나타내는 측도이다.
- ③ 두 확률변수가 서로 독립이면 상관계수는 0이다.
- ④ 두 변수사이에 일차함수의 관계가 존재하면, 상관계수 1 또는 -1이다.
등록된 댓글이 없습니다.
73. 다중회귀분석에서 변수선택방법이 될 수 없는 것은?
- ① 실험계획법
- ② 전진선택법
- ③ 후진소거법
- ④ 단계적방법
등록된 댓글이 없습니다.
74. 다음 설명 중 옳지 않은 것은?
- ① 편차의 합은 항상 0이다.
- ② 중위수는 극단값에 영향을 받지 않는다.
- ③ 사분위수범위는 중심위치에 대한 측도이다.
- ④ 최빈수는 두 개 이상 있을 수 있다.
등록된 댓글이 없습니다.
75. 모평균이 100, 모표준편차가 20인 무한모집단으로부터 크기 100인 임의표본을 취할 때, 표본평균 의 평균과 표준편차는?
- ① 평균=100, 표준편차=2
- ② 평균=1, 표준편차 =2
- ③ 평균=100, 표준편차=0.2
- ④ 평균=1, 표준편차=0.2
등록된 댓글이 없습니다.
76. 소득과 인구백분율을 나타내는 데 가장 적합한 그래프는?
- ① 도수다각형
- ② Lorenz곡선
- ③ 히스토그램
- ④ 도수분포곡선
등록된 댓글이 없습니다.
77. 정규분포의 특징에 관한 설명으로 틀린 것은?
- ① 평균을 중심으로 좌우대칭이다.
- ② 평균과 중앙값은 동일하다.
- ③ 확률밀도곡선 아래의 면적은 평균과 분산에 따라 달라진다.
- ④ 확률밀도곡선의 모양은 표준편차가 작아질수록 평균 부근의 확률이 커지고, 표준편차가 커질수록 가로축에 가깝게 평평해진다.
등록된 댓글이 없습니다.
78. 어떤 주사위가 공정한지를 검정하기 위해 실제로 60회를 굴려 아래와 같은 결과를 얻었다. 유의수준 5%에서의 검정결과로 옳은 것은? (단, X2(5, 0.05)=11.07)

- ① 주사위는 공정하다고 볼 수 있다.
- ② 주사위는 공정하다고 볼 수 없다.
- ③ 60번의 시행으로는 통계적 결론의 도출이 어렵다.
- ④ 단지 눈의 수가 2인 면이 이상하다고 볼 수 있다.
등록된 댓글이 없습니다.
79. 어느 지역의 청년취업률을 알아보기 위해 조사한 500명 중 400명이 취업을 한 것으로 나타났다. 이 지역의 청년 취업률에 대한 95% 신뢰구간은? (단, Z가 표준정규분포를 따르는 확률변수일 때, P(Z>1.96)=0.025)
- ①

- ②

- ③

- ④

등록된 댓글이 없습니다.
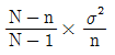
80. 모평균이 μ이고 모분산이 σ2이며 크기 N인 모집단에서 n개의 표본을 비복원으로 추출할 때, 표본평균 의 분산은?
- ①

- ②

- ③

- ④

등록된 댓글이 없습니다.
81. 한 신용카드회사는 12월 한 달 동안 신용카드를 사용한 카드소지자 비율을 95% 신뢰도로 양측 구간추정하려고 한다. 이 때 추정치의 허용오차가 0.02 미만으로 하려면 표본크기는? (단, 모비율에 대한 정보는 전혀 없으며, p(z>1.645)=0.05, p(z>1.96)=0.025,p(z>2.325)=0.01, p(z>2.325)=0.01, p(z>2.575)=0.005 이다.)
- ① 981
- ② 1,541
- ③ 2,111
- ④ 2,401
등록된 댓글이 없습니다.
82. 회귀분석에서 결정계수 R2에 대한 설명으로 틀린 것은? (단, SST는 총제곱합, SSR은 회귀제곱합, SSE는 잔차제곱합)
- ①

- ② -1≤R2≤1
- ③ SSE가 작아지면 R2는 커진다.
- ④ R2은 독립변수의 수가 늘어날수록 증가하는 경향이 있다.
등록된 댓글이 없습니다.
83. 대학생이 졸업 후 취업했을 때 초임수준을 조사하였다. 인문사회계열 졸업자 10명과 공학계열 졸업자 20명을 각각 조사한 결과 평균초임은 210만원과 250만원이었으며 분산은 각각 300만원과 370만원이었다. 두 집단의 평균차이를 추정하기 위한 합동분산(pooled variance)은?
- ① 325.0
- ② 324.3
- ③ 346.7
- ④ 347.5
등록된 댓글이 없습니다.
84. 단순회귀모형 「yi=β0+β1xi+ɛi, ɛi~N(0, σ2이고, 서로 독립, i=1,…, n」 하에서 모회귀직선 E(y)=β0+β1x를 최소제곱법에 의해 추정한 추정회귀직선을 라 할때 다음 설명 중 옳지 않은 것은? (단, 이며 )
- ① 추정량 b1은 평균이 β1이고 분산이 σ2/Sxx인 정규분포를 따른다.
- ② 추정량 b0은 회귀직선의 절편 β0의 불편추정량이다.
- ③ MSE는 오차항 ɛi의 분산 σ2에 대한 불편추정량이다.
- ④ 는 자유도 각각 1, n-2인 F-분포 F(1, n-2)를 따른다.

등록된 댓글이 없습니다.
85. 어떤 가설검정에서 유의확률(P-값)이 0.044일 때, 검정결과로 옳은 것은?
- ① 귀무가설을 유의수준 1%와 5%에서 모두 기각할 수 없다.
- ② 귀무가설을 유의수준 1%와 5%에서 모두 기각할 수 있다.
- ③ 귀무가설을 유의수준 1%에서 기각할 수 없으나 5%에서는 기각할 수 있다.
- ④ 귀무가설을 유의수준 1%에서 기각할 수 있으나 5%에서는 기각할 수 없다.
등록된 댓글이 없습니다.
86. 사건 A가 일어날 확률이 0.5, 사건 B가 일어날 확률이 0.6, A 또는 B가 일어날 확률이 0.8일 때, 사건 A와 B가 동시에 일어나는 확률은?
- ① 0.3
- ② 0.4
- ③ 0.5
- ④ 0.6
등록된 댓글이 없습니다.
87. A 교양강좌 수강생 300명의 중간고사 성적을 채점한 결과 평균이 75점, 표준편차가 15점이었다. 중간고사에서 60점 이상 90점 이하의 성적을 받은 학생 수는 대략 몇 명이 되겠는가? (단, 중간고사 성적은 정규분포를 따르며, Z~N(0, 1)일 때 P(Z≥1)=0.159이다.)
- ① 159명
- ② 182명
- ③ 196명
- ④ 205명
등록된 댓글이 없습니다.
88. 어느 정당에서든 새로운 정책에 대한 찬성과 반대를 남녀별로 조사하여 다음의 결과를 얻었다. 남녀별 찬성률에 차이가 있다고 볼 수 있는가에 대하여 검정할 때 검정통계량을 구하는 식은?

- ①

- ②

- ③

- ④

등록된 댓글이 없습니다.
89. 다음의 가상의 자료를 이용하여 단순선형회귀모형을 추정하면?

- ①

- ②

- ③

- ④

등록된 댓글이 없습니다.
90. 최근 5년 간 평균 경제성장률을 구할 때 적합한 대푯값은?
- ① 산술평균
- ② 중위수
- ③ 조화평균
- ④ 기하평균
등록된 댓글이 없습니다.
91. 어느 중학교 1학년 학생들의 신장을 조사한 결과 평균은 136.5cm, 중앙값은 130.0cm, 표준편차는 2.0cm이었다. 학생들의 신장의 분포에 대한 설명으로 옳은 것은?(오류 신고가 접수된 문제입니다. 반드시 정답과 해설을 확인하시기 바랍니다.)
- ① 오른쪽으로 긴 꼬리를 갖는 비대칭분포이다.
- ② 왼쪽으로 긴 꼬리를 갖는 비대칭분포이다.
- ③ 정규분포이다.
- ④ 이들 자료로는 알 수 없다.
등록된 댓글이 없습니다.
92. 행변수가 M개의 범주를 갖고 열변수가 N개의 범주를 갖는 분할표에서 행변수와 열변수가 서로 독립인지를 검정하고자 한다. (i, j)셀의 관측도수를 Oij, 귀무가설하에서의 기대도수의 추정치를 라 하고, 이때 사용되는 검정통계량은 이다. 여기서 는? (단, 전체 데이터 수는 n이고 i번째 행의 합은 ni+,j번째 열의 합은 n+j이다.)
- ①

- ②

- ③

- ④

등록된 댓글이 없습니다.
93. 다음 중 이항분포를 따르지 않는 것은?
- ① 주사위를 10번 던졌을 때 짝수의 눈의 수가 나타난 횟수
- ② 어떤 기계에서 만든 5개의 제품 중 불량품의 개수
- ③ 1시간 동안 전화교환대에 걸려오는 전화 횟수
- ④ 한 농구선수가 던진 3개의 자유투 중에서 성공한 자유투의 수
등록된 댓글이 없습니다.
94. 미국에서는 인종간의 지적 능력의 근본적 차이를 강조하는 “종모양 곡선(Bell Curve)”이라는 책이 논란을 불러 일으킨 적이 있다. 만약 흑인과 백인의 지능지수의 차이를 단순비교 할 목적으로 각각 20명씩 표본추출하여 조사할 때 가장 적합한 검정도구는?
- ① X2-검정
- ② t-검정
- ③ F-검정
- ④ Z-검정
등록된 댓글이 없습니다.
95. 주사위를 120번 던져서 나타난 눈의 수를 관측한 결과가 다음과 같았다. 이 주사위가 공정한 주사위인가를 검정하기 위한 검정통계량의 값을 구하면?

- ① 0
- ② 0.125
- ③ 2.0
- ④ 2.5
등록된 댓글이 없습니다.
96. 일원배치 분산분석에서 다음과 같은 결과를 얻었을 때, 처리효과의 유의성 검정을 위한 검정통계량의 값은?

- ① 1.83
- ② 1.90
- ③ 2.75
- ④ 2.85
등록된 댓글이 없습니다.
97. 다음 ( )에 알맞은 것은?

- ① 추정
- ② 상관분석
- ③ 회귀분석
- ④ 분산분석
등록된 댓글이 없습니다.
98. k개 처리에서 n회씩 실험을 반복하는 일원배치모형 xij=μ+ai+ɛij에 관한 설명으로 틀린 것은? (단, i=1, 2, ∙∙∙, k이고 j=1, 2,∙∙∙, n이며 ɛij~N(0, σ2))
- ① 오차항 ɛij들의 분산은 같다.
- ② 총 실험 횟수는 k×n이다.
- ③ 총 평균 μ와 i번째 처리효과 ai는 서로 독립이다.
- ④ xij는 i번째 처리의 j번째 관측값이다.
등록된 댓글이 없습니다.
99. 독립시행의 횟수가 n고 성공률이 p인 이항분포에서 성공이 k번 이상 발생할 확률을 바르게 표현한 것은?
- ①

- ②

- ③

- ④

등록된 댓글이 없습니다.
100. 두 확률변수 X, Y 서로 독립이며 표준정규분포를 따른다. 이 때 U=X+Y, V=X-Y로 정의하면 두 확률변수 U, V는 각각 어떤 분포를 따르는가?
- ① U, V 두 변수 모두 N(0, 2)를 따른다.
- ② U~N(0, 2)를 U~N(0, 1)를 따른다.
- ③ U~N(0, 1)를 U~N(0, 2)를 따른다.
- ④ U, V 두 변수 모두 N(0, 1)를 따른다.
등록된 댓글이 없습니다.