사회조사분석사 2급(2012. 8. 26.) 시험일자 : 2012년 8월 26일
1과목 : 조사방법론 I
1. 다음 중 일반적으로 가장 높은 응답률을 확보 할 수 있는 조사 방법은?
- ① 우편설문법
- ② 직접면접법
- ③ 전화설문법
- ④ 전자서베이
등록된 댓글이 없습니다.
2. 다음 중 우편조사의 특성과 가장 거리가 먼 것은?
- ① 면접자로 인한 편향이 적다.
- ② 넓은 지역을 조사할 수 있다.
- ③ 모호한 응답에 대해 확인할 수 없다.
- ④ 조사대상이 아닌 사람의 응답을 통제하기 용이하다.
등록된 댓글이 없습니다.
3. 연구방법으로서의 연역적 접근법과 귀납적 접근법에 관한 설명으로 틀린 것은?
- ① 연역적 접근법을 취하려면, 기존 이론에 대한 분석이 필요하다.
- ② 귀납적 접근법은 현실세계에 대한 관찰을 통해 경험적 일반화를 추구한다.
- ③ 사회조사에서 연역적 접근법과 귀납적 접근법은 상호보완적으로 사용된다.
- ④ 연역적 접근법은 탐색적 연구에, 귀납적 접근법은 가설검증에 주로 사용된다.
등록된 댓글이 없습니다.
4. 참여관찰(participant observation)에 대한 설명으로 틀린 것은?
- ① 연구 설계 및 착수가 용이하다.
- ② 연구의 설계과정에서 융통성이 높다.
- ③ 직접 참여해서 현상을 관찰·기술하는 방법이다.
- ④ 양적자료이기 때문에 대규모 모집단에 대한 기술이 쉽다.
등록된 댓글이 없습니다.
5. 질적연구에 관한 옳은 설명을 모두 짝지은 것은?

- ① A, B
- ② A, C
- ③ B, C
- ④ B, D
등록된 댓글이 없습니다.
6. 인과관계의 일반적인 성립조건과 가장 거리가 먼 것은?
- ① 시간의 선행성(temporal precedence)
- ② 공변관계(covariation)
- ③ 비허위적 관계(lack of spuriousness)
- ④ 연속변수(continuous variable)
등록된 댓글이 없습니다.
7. 다음은 어떤 조사연구 결과의 일부분이다. 여기에 사용된 분석의 단위는?

- ① 개인
- ② 집단
- ③ 조직
- ④ 사회적 가공물
등록된 댓글이 없습니다.
8. 해결 가능한 연구문제가 되기 위한 조건이 아닌 것은?
- ① 기존의 이론 체계와 관련이 있어야 한다.
- ② 연구현상이 실증적으로 검증 가능해야 한다.
- ③ 연구문제가 관찰 가능한 현상과 밀접히 연결되어야 한다.
- ④ 연구대상이 되는 현상에 대해 명확한 규정이 되어야 한다.
등록된 댓글이 없습니다.
9. 내용분석에 관한 설명으로 틀린 것은?
- ① 비개입적 연구이다.
- ② 표본추출은 하지 않는다.
- ③ 코딩을 위해서는 개념화 및 조작화가 잘 이루어져야 한다.
- ④ 책을 내용 분석할 때, 분석단위는 페이지, 단락, 줄 등이 가능하다.
등록된 댓글이 없습니다.
10. 다음 중 표적집단면접(focus group interview)에 관한 설명으로 옳은 것은?
- ① 전문적인 지식을 가진 집단으로 하여금 특정한 주제에 대하여 자유롭게 토론하도록 한 다음, 토론 과정을 분석하여 필요한 정보를 추출하는 방법이다.
- ② 응답자가 조사의 목적을 모르는 상태에서 다양한 심리적 의사소통법을 이용하여 자료를 수집하는 방법이다.
- ③ 조사자가 한 단어를 제시하고 응답자가 그 단어로부터 연상되는 단어들을 순서대로 나열하도록 하여 조사하는 방법이다.
- ④ 응답자에게 이해하기 난해한 그림을 제시한 다음, 그 그림이 무엇을 묘사 하는지 물어 응답자의 심리 상태를 파악하는 방법이다.
등록된 댓글이 없습니다.
11. 다음은 어떤 조사방법에 관한 설명인가?

- ① 심층면접법
- ② 표적집단 조사
- ③ 사회지표 분석
- ④ 델파이 기법
등록된 댓글이 없습니다.
12. 다음 중 표준화 면접의 장점과 가장 거리가 먼 것은?
- ① 신뢰도가 높다.
- ② 타당도가 높다.
- ③ 면접결과의 수치화가 용이하다.
- ④ 정보의 비교가 용이하다.
등록된 댓글이 없습니다.
13. 두 개 이상의 구성개념 또는 변수간의 관계를 검정 가능한 형태로 서술한 문장으로써 과학적 조사에 의하여 검정이 가능한 사실을 말하는 것은?
- ① 패러다임(paradigm)
- ② 법(law)
- ③ 가설(hypothesis)
- ④ 이론(theory)
등록된 댓글이 없습니다.
14. 다음 중 조사결과의 일반화와 가장 관련이 깊은 것은?
- ① 내적 타당도
- ② 외적 타당성
- ③ 신뢰성
- ④ 자료수집방법
등록된 댓글이 없습니다.
15. 설문지 작성에서 폐쇄형 질문과 비교한 개방형 질문에 관한 설명으로 틀린 것은?
- ① 개방형 질문은 자료처리가 더 용이하다.
- ② 개방형 질문은 예비조사 시에 더 유용하다.
- ③ 개방형 질문을 통해 생각하지 못한 의견을 더 얻을 수 있다.
- ④ 개방형 질문은 무응답과 불성실한 응답이 나올 가능성이 더 많다.
등록된 댓글이 없습니다.
16. 통제집단 사전사후측정설계(pretest-posttest control group design)의 핵심적 특징을 모두 짝지은 것은?

- ① A, B
- ② C, D
- ③ A, B, C
- ④ A, B, C, D
등록된 댓글이 없습니다.
17. 관찰시기와 행동발생시기의 일치여부를 기준으로 관찰기법을 분류한 것은?
- ① 직접(direct)/간접(indirect) 관찰
- ② 자연적(natural setting)/인위적(contrived setting) 관찰
- ③ 체계적(structured)/비체계적(unstructured) 관찰
- ④ 공개적(undisguised)/비공개적(disguised) 관찰
등록된 댓글이 없습니다.
18. 다음 중 탐색적 조사방법(exploratory research)에 해당하지 않는 것은?
- ① 유관분야의 관련문헌 조사
- ② 연구문제에 정통한 경험자를 대상으로 한 조사
- ③ 변수간의 상관관계에 관한 조사
- ④ 통찰력을 얻을 수 있는 소수의 사례조사
등록된 댓글이 없습니다.
19. 다음 중 분석단위와 관련된 잠재적 오류와 가장 거리가 먼 것은?
- ① 동어반복의 오류
- ② 생태학적 오류
- ③ 개인주의적 오류
- ④ 환원주의적 오류
등록된 댓글이 없습니다.
20. 심층면접 시 중요하게 고려해야 할 사항으로 틀린 것은?
- ① 피면접자와 친밀한 관계(rapport)를 형성해야 한다.
- ② 비밀보장, 안정성 등 피면접자가 편안한 분위기를 느낄 수 있도록 해야 한다.
- ③ 피면접자의 대답을 주의 깊게 경청하여야 하며, 이전의 응답과 연결시켜 생각하는 습관을 가져야 한다.
- ④ 피면접자가 대답을 하는 도중에 응답내용에 대해 평가적인 코멘트를 자주해 주는 것이 좋다.
등록된 댓글이 없습니다.
21. 인간의 무의식 속에 내재되어 있는 가치, 태도 등을 알아내기 위하여 모호한 자극을 응답자에게 제시하여 반응을 알아보는 자료수집 방법은?
- ① 관찰법(obsrvational method)
- ② 면접법(depth interview)
- ③ 투사법(projective technique)
- ④ 내용분석법(content analysis)
등록된 댓글이 없습니다.
22. 다음 중 가급적 적은 수의 변수로, 보다 많은 현상을 설명하고자 하는 것은?
- ① 간결성의 원칙(principle of parsimony)
- ② 관료제의 철칙(iron law of bureaucracy)
- ③ 배제성의 원칙(principle of exclusiveness)
- ④ 포괄성의 원칙(principle of exhaustiveness)
등록된 댓글이 없습니다.
23. 양적연구와 질적연구에 관한 설명으로 틀린 것은?
- ① 양적연구는 연구대상의 관계를 통계적으로 분석을 통하여 밝히는 연구이다.
- ② 질적연구는 강제적 측정과 통제된 측정을 이용하는 방법이다.
- ③ 질적연구는 주관적ㆍ해석적 연구방법이다.
- ④ 양적연구는 확인 지향적 또는 확증적 연구방법이다.
등록된 댓글이 없습니다.
24. 연구에 사용할 가설이 좋은 가설인지 여부를 판단하기 위한 평가기준과 거리가 먼 것은?
- ① 가설의 표현은 간단명료해야 한다.
- ② 가설은 계량화 할 수 있어야 한다.
- ③ 가설은 경험적으로 검증할 수 있어야 한다.
- ④ 동일 연구분야의 다른 가설이나 이론과 연관이 없어야 한다.
등록된 댓글이 없습니다.
25. 다음 중 면접의 바람직한 요령과 가장 거리가 먼 것은?
- ① 되도록 면접은 간략히 한다.
- ② 면접 시에 제3자가 개입하지 못하도록 한다.
- ③ 면접대상자에게 신분을 알리기 위해 신분증을 제시한다.
- ④ 면접자는 면접표의 정리된 순서에 구애받지 않고 자유롭게 하는 것이 좋다.
등록된 댓글이 없습니다.
26. 다음 질문문항이 가지고 있는 가장 큰 문제점은?

- ① 응답 범주의 의미가 불분명하다.
- ② 응답 범주들의 간격이 일정하지 않다.
- ③ 응답 범주들 간의 관계가 상호배타적이지 않다.
- ④ 응답 가능한 상황들을 모두 포함하고 있지 않다.
등록된 댓글이 없습니다.
27. 개별적인 질문이 결정된 이후 응답자에게 제시하는 질문순서에 관한 설명으로 틀린 것은?
- ① 특수한 것을 먼저 묻고 그 다음에 일반적인 것을 질문하도록 하는 것이 좋다.
- ② 질문내용은 가급적 구체적인 용어로 표현하는 것이 좋다.
- ③ 개인 사생활에 관한 질문과 같이 민감한 질문은 가급적 뒤로 배치하는 것이 좋다.
- ④ 질문은 논리적인 순서에 따라 자연스럽게 배치하는 것이 좋다.
등록된 댓글이 없습니다.
28. 다음은 어떤 설계방식에 해당하는가?

- ① 집단비교설계(static-group comparison)
- ② 솔로몬 4집단 설계(Solomon four-group design)
- ③ 통제집단 사후측정설계(posttest-only control group design)
- ④ 통제집단 사전사후측정설계(pretest-posttest control group design)
등록된 댓글이 없습니다.
29. 다음 중 과학적 연구에 관한 설명으로 틀린 것은?
- ① 연구의 목적은 현상을 체계적으로 조사하고 분석하여 문제를 해결하는 것이다.
- ② 과학적 연구는 핵심적, 실증적 그리고 주관적으로 수행하는 것이다.
- ③ 예측을 위한 연구는 이론에 근거하여 이루어진다.
- ④ 연구의 결론은 자료가 제공하는 범위 안에서 내려져야 한다.
등록된 댓글이 없습니다.
30. 질문지에 사용되는 질문이나 진술을 작성하는 원칙과 가장 거리가 먼 것은?
- ① 항목들이 명확해야 한다.
- ② 질문항목들은 되도록 짧아야 한다.
- ③ 부정어가 포함된 질문을 반드시 포함.
- ④ 편견에 치우친 항목과 용어를 지양한다.
등록된 댓글이 없습니다.
2과목 : 조사방법론 II
31. 다음 중 가장 많은 정보를 제공해주는 측정의 수준은?
- ① 서열측정
- ② 비율측정
- ③ 등간측정
- ④ 명목측정
등록된 댓글이 없습니다.
32. 거트만척도에서 응답자의 응답이 이상적인 패턴에 얼마나 가까운가를 측정하는 것은?
- ① 단일차원계수
- ② 스캘로그램
- ③ 재생가능계수
- ④ 최소오차계수
등록된 댓글이 없습니다.
33. 구성타당도(construct validity)에 관한 옳은 설명을 모두 짝지은 것은?

- ① A, D
- ② B, C, D
- ③ A, B, C
- ④ A, B, C, D
등록된 댓글이 없습니다.
34. 사람들이 동정심을 측정하기 위해, 동정심을 지하도 입구의 거지에게 자선을 베푸는 정도로 정의 하였다면, 이러한 정의는 무엇이라고 하는가?
- ① 개념적 정의
- ② 실제적 정의
- ③ 조작적 정의
- ④ 사전적 정의
등록된 댓글이 없습니다.
35. 신뢰도와 타당도에 관한 설명으로 틀린 것은?
- ① 문항의 질과 관계없이 문항수가 많을수록 신뢰도는 증가한다.
- ② 신뢰도가 높다고 해서 반드시 타당도가 높은 것은 아니다.
- ③ 타당도란 측정한 값과 진정한 값과의 일치 정도를 의미한다.
- ④ 신뢰도란 반복 측정 결과의 일관성과 관련이 있다.
등록된 댓글이 없습니다.
36. 측정방법에 따라 측정을 구분할 때, 밀도(density)와 같이 어떤 사물이나 사건의 속성을 측정하기 위해 관련된 다른 사물이나 사건의 속성을 측정하는 것은?
- ① 추론측정(derived measurement)
- ② 임의측정(measurement by fiat)
- ③ 본질측정(fundamental measurement)
- ④ A급 측정(measurement of A magnitude)
등록된 댓글이 없습니다.
37. 측정도구의 내용타당도를 평가하는 방법과 가장 거리가 먼 것은?
- ① 관련 분야 전문가들의 자문을 구한다.
- ② 측정대상과 관련된 이론들을 판단기준으로 사용한다.
- ③ 패널토의나 워크숍 등을 통하여 타당도에 관한 의견을 수렴한다.
- ④ 측정도구를 반복하여 측정하고 그 관계를 알아본다.
등록된 댓글이 없습니다.
38. 모집단을 동질적인 특성을 가진 몇 개의 집단으로 구분하고 각 집단 별로 표본을 추출하는 방법을 모두 짝지은 것은?

- ① A, D
- ② A, C
- ③ B, D
- ④ A, B, C
등록된 댓글이 없습니다.
39. 서열측정을 위한 방법으로 단순합산법을 사용하는 대표적인 척도는?
- ① 거트만(Guttman)척도
- ② 서스톤(Thurstone)척도
- ③ 리커트(Likert)척도
- ④ 보가더스(Bogardus)척도
등록된 댓글이 없습니다.
40. 일반적인 표본추출과정을 바르게 나열한 것은?
- ① 표본크기 결정 → 모집단 확정 → 표본틀 결정 → 표본추출방법 결정 → 표본추출
- ② 모집단 확정 → 표본크기 결정 → 표본틀 결정 → 표본추출방법 결정 → 표본추출
- ③ 모집단 확정 → 표본틀 결정 → 표본추출방법 결정 → 표본크기 결정 → 표본추출
- ④ 표본틀 결정 → 모집단 확정 → 표본크기 결정 → 표본추출방법 결정 → 표본추출
등록된 댓글이 없습니다.
41. 어떤 제품의 선호도를 조사하기 위해, “아주 좋아한다, 좋아한다, 싫어한다, 아주 싫어한다”와 같은 보기를 사용하였다. 이는 어떤 척도로 측정된 것인가?
- ① 서열척도
- ② 명목척도
- ③ 등간척도
- ④ 비율척도
등록된 댓글이 없습니다.
42. 인간의 지능을 머리의 크기로 측정하였다면 머리의 크기라는 측정도구는 어떤 문제가 있는가?
- ① 신뢰도
- ② 타당도
- ③ 내적일관성
- ④ 무작위적 오류
등록된 댓글이 없습니다.
43. 다음 중 확률표본추출방법(probability sampling)에 해당하는 것은?
- ① 단순무작위표본추출(sampl random sampling)
- ② 유의표본추출(purposive sampling)
- ③ 눈덩이표본추출(snowball sampling)
- ④ 할당표본추출(quota sampling)
등록된 댓글이 없습니다.
44. 다음 중 측정에 관한 설명으로 틀린 것은?
- ① 측정이란 사물이나 사건의 속성에 수치를 부여하는 작업이다.
- ② 측정에서는 연구자의 주관적인 판단이 중요한 기능을 한다.
- ③ 경험의 세계와 추상적인 관념의 세계를 연결하는 기능을 가진다.
- ④ 측정은 과학적 연구에서 필수적이다.
등록된 댓글이 없습니다.
45. 표본의 하위집단 분포를 의도적으로 정하여 표본을 임의로 추출하는 방법은?
- ① 편의표본추출법(convenience sampling)
- ② 군집표본추출법(cluster sampling)
- ③ 눈덩이표본추출(snowball sampling)
- ④ 할당표본추출법(quota sampling)
등록된 댓글이 없습니다.
46. 척도구성방법을 비교척도구성(comparative scaling)과 비비교척도구성(non-comparative scaling)으로 구분할 때 비교척도구성에 해당하지 않는 것은?
- ① 쌍대비교법(paired comparison)
- ② 순위법(rank-order)
- ③ 연속평정법(continuous rating)
- ④ 고정총합법(constant sum)
등록된 댓글이 없습니다.
47. 1000명으로 구성된 모집단에서 100명을 뽑아 연구를 하고자 할 때 첫번째 사람은 무작위로 추출하고 그 다음부터는 목록에서 매 10번째 사람을 뽑아 표본을 구성하는 것은 어떤 표본추출방법에 해당하는가?
- ① 단순무작위표본추출(simple random sampling)
- ② 체계적표본추출(systematic sampling)
- ③ 층화표본추출(stratified sampling)
- ④ 편의표본추출(convinience sampling)
등록된 댓글이 없습니다.
48. 매개변수(intervening variable)에 관한 설명으로 옳은 것은?
- ① 원인변수 혹은 가설변수라고 하는 것으로서 사전에 조작되지 않은 변수를 의미한다.
- ② 결과변수라고 하며, 독립변수의 원인을 받아 일정하게 변화된 결과를 나타내는 기능을 하는 변수를 의미한다.
- ③ 결과변수에 영향을 미치면서도 그 이유를 제대로 설명하지 못하는 변수를 의미한다.
- ④ 개입변수라고도 불리며, 종속변수에 일정한 영향을 주는 변수로 독립변수에 의하여 설명되지 못하는 부분을 설명해 주는 변수를 말한다.
등록된 댓글이 없습니다.
49. 실험에서 인과관계를 추론하기 위해서 서로 다른 값을 갖도록 처치를 하는 변수를 무엇이라고 하는가?
- ① 외적변수(extraneous variable)
- ② 종속변수(dependent variable)
- ③ 매개변수(intervening variable)
- ④ 독립변수(independent variable)
등록된 댓글이 없습니다.
50. 집락표본추출(cluster sampling)에 관한 설명으로 틀린 것은?
- ① 확률표본추출(probability sampling)의 하나로써 표본오차의 크기를 계산할 수 있다.
- ② 완전한 표본틀(sampling frame)이 없는 경우에도 사용가능하며, 비교적 비용이 적게 든다는 장점이 있기 때문에 전국규모의 조사에 많이 사용된다.
- ③ 집락 내에서는 동질성이 크고 집락 간에는 이질성이 크도록 집락을 설정하면, 표본오차(sampling error)와 조사비용을 동시에 줄일 수 있다.
- ④ 조사자의 필요에 따라서는 집락을 2개 이상의 단계에서 설정할 수도 있다.
등록된 댓글이 없습니다.
51. 사음 사례에서 사용한 척도는?

- ① 이미지(image) 척도
- ② 거트만(Guttman) 척도
- ③ 서스톤(Thurstone) 척도
- ④ 의미분화(semantic differential)척도
등록된 댓글이 없습니다.
52. 측정오차(error of measurement)에 관한 설명으로 틀린 것은?
- ① 비체계적 오차는 상호상쇄(self-compensation)되는 경향도 있다.
- ② 체계적 오차는 항상 일정한 방향으로 작용하는 편향(bias)이다.
- ③ 비체계적 오차는 측정대상, 측정과정, 측정수단 등에 따라 일관성 없이 영향을 미침으로써 발생한다.
- ④ 측정의 오차를 신뢰성 및 타당성과 관련지었을 때 신뢰성과 타당성을 정도의 개념이 아닌 존재개념이다.
등록된 댓글이 없습니다.
53. 조작적 정의에 관한 설명으로 틀린 것은?
- ① 실제측정의 전(前) 단계이다.
- ② 관찰가능성 여부가 중요하다.
- ③ 특정개념은 한 가지의 조작적 정의를 갖는다.
- ④ 추상적인 개념을 구체적인 경험세계와 연결시키는 과정이다,
등록된 댓글이 없습니다.
54. 동일한 상황에서 동일한 측정도구를 사용하여 동일한 대상을 일정한 간격을 두고 2번 이상 측정하여 그 결과를 비교하여 신뢰성을 측정하는 방법은?
- ① 재검사법(test-retest method)
- ② 복수양식법(parallel-forms technique)
- ③ 반분법(split-half method)
- ④ 내적일관성법(internal consistency method)
등록된 댓글이 없습니다.
55. 사회과학에서 척도를 사용하는 이유와 가장 거리가 먼 것은?
- ① 하나의 지표로는 측정하기 어려운 복합적인 개념을 측정 가능하다.
- ② 변수에 대한 양적 측정치를 제공함으로 통계적 조작이 가능하다.
- ③ 여러 개의 지표를 하나의 점수로 나타내어 자료를 단순화한다.
- ④ 척도는 양적인 속성을 질적인 계열로도 전환 가능하다.
등록된 댓글이 없습니다.
56. 사회과학에서 척도를 사용하는 이유와 가장 거리가 먼 것은?(오류 신고가 접수된 문제입니다. 반드시 정답과 해설을 확인하시기 바랍니다.)
- ① 하나의 지표로는 측정하기 어려운 복합적인 개념을 측정가능하다.
- ② 변수에 대한 양적 측정치를 제공함으로 통계적 조작이 가능하다.
- ③ 여러 개의 지표를 하나의 점수로 나타내어 자료를 단순화 한다.
- ④ 척도는 양적인 속성을 질적인 계열로도 전환이 가능하다.
등록된 댓글이 없습니다.
57. 눈덩이표본추출(snowball sampling)에 관한 설명으로 틀린 것은?
- ① 사회적 연결망을 이용한 표본추출방법이다.
- ② 모집단의 구성비율을 이용해서 표본을 추출하는 방법이다.
- ③ 희귀한 사건이나 현상에 대해 조사할 때 주로 사용한다.
- ④ 확률적 표본추출방법이 아니므로 통계적 추론을 할 수 없다.
등록된 댓글이 없습니다.
58. 표본의 크기에 관한 설명으로 틀린 것은?
- ① 모집단의 동질성이 높으면 표본의 크기는 작아진다.
- ② 독립변수의 카테고리가 세분화될수록 표본의 크기는 커진다.
- ③ 사용하고자 하는 변수의 수가 많을수록 표본수가 커져야한다.
- ④ 표본의 크기가 같을 경우 단순무작위표본추출방법보다 층화표본추출방법을 사용하면 표본오차가 커진다.
등록된 댓글이 없습니다.
59. 스피어만-브라운(Spearman-Brown) 공식은 어떤 경우에 사용되는가?
- ① 동형검사 신뢰도 추정
- ② Kuder-Richardson 신뢰도 추정
- ③ 반분신뢰도로 전체 신뢰도 추정
- ④ 범위의 축소로 인한 예언타당도에 대한 교정
등록된 댓글이 없습니다.
60. 표본추출에 관한 설명으로 옳은 것은?
- ① 모집단 표본추출틀(sampling frame)이 일치하지 않을 경우 무응답오차가 나타난다.
- ② 표본의 크기는 질문지 내용과 문항길이에 따라 달라진다.
- ③ 표본의 크기는 표본오차에 정비례하고 비표본오차에 반비례한다.
- ④ 전수조사과정에서 발생하는 비표본오차 때문에 전수조사가 표본조사보다 부정확할 가능성이 있다.
등록된 댓글이 없습니다.
3과목 : 사회통계
61. 평균이 μ이고, 표준편차가 δ 인 모집단으로부터 크기가 짝수 n(=2m) 인 임의표본(확률표본)을 추출하였을 때 처음 m개의 평균 어떤 분포를 따르게 되는가?
- ① 평균이 μ 이고 표준편차가 인 정규분포

- ② 평균이 μ 이고 표준편차가 인 정규분포

- ③ 평균이 μ 이고 표준편차가 인 정규분포

- ④ 평균이 μ 이고 표준편차가 인 정규분포

등록된 댓글이 없습니다.
62. 성별 평균소득에 관한 설문조사자료를 정리한 결과, 집단 내 평균제곱(mean squares within groups)은 50, 집단 간 평균제곱(mean squares between groups)은 25로 나타났다. 이 경우에 값은?
- ① 0.5
- ② 2
- ③ 25
- ④ 75
등록된 댓글이 없습니다.
63. 통계조사시 한 가구를 조사하는데 소요되는 시간을 측정하기 위하여 64가구를 임의 추출하여 조사한 결과 평균 소요시간이 30분, 표준편차가 5분이었다. 한 가구를 조사하는데 소요되는 평균시간에 대한 95%의 신뢰구간하한과 상한은 각각 얼마인가? (단, Z0.025=1.96, Z0.05=1.645 )
- ① 28.8, 31.2
- ② 28.4, 31.6
- ③ 29.0, 31.0
- ④ 28.5, 31.5
등록된 댓글이 없습니다.
64. 사회조사분석사 시험 응시생 500명의 통계학 성적의 평균점수는 70점 이고, 표준편차는 10점이라고 한다. 통계학 성적이 정규분포를 한다고 가정할 때, 성적이 50점에서 90점 사이인 응시자는 약 몇 명인가?(단, P(Z<2)=0.9772)
- ① 498명
- ② 477명
- ③ 378명
- ④ 250명
등록된 댓글이 없습니다.
65. 어느 대리점에서 제품을 팔기 위하여 고객들을 면담하고 있다. 면담을 실시한 고객이 제품들을 구입할 확률은 0.2이고 고객들 사이에 물품구입 여부는 독립적이다. 3명의 사람이 면담하였을 때, 적어도 한 사람이 제품을 구매할 확률은?
- ① 0.800
- ② 0.512
- ③ 0.488
- ④ 0.160
등록된 댓글이 없습니다.
66. A항아리에서 3개의 붉은 구슬과 2개의 흰구슬이 있고, B항아리에는 4개의 붉은 구슬과 3개의 흰구슬이 있다. A항아리에서 무작위로 하나를 꺼내 B항아리에 넣었다고 한다. B항아리에서 하나의 구슬을 꺼낼때, 붉은 구슬일 확률은?
- ① 0.08
- ② 0.58
- ③ 0.38
- ④ 0.20
등록된 댓글이 없습니다.
67. 일반적인 단순 회귀모형에서 잔차에 의한 제곱합(sum of squares due to errors:SSE)이 4,339이고, 회귀에 의한 제곱합(sum of squares due to regression:SSR)이 11,963일 때, 표본의 결정계수는?
- ① 2.76
- ② 0.27
- ③ 0.362
- ④ 0.73
등록된 댓글이 없습니다.
68. 4 × 5 분할표 자료에 대한 독립성검정을 위한 카이제곱 통계량의 자유도는?
- ① 9
- ② 12
- ③ 19
- ④ 20
등록된 댓글이 없습니다.
69. 6개의 공정한 동전을 던져서 앞면이 나오는 개수를 X 라 할 때, X 의 평균과 분산은?
- ① 평균 : 3.0, 분산 : 1.25
- ② 평균 : 3.0, 분산 : 1.50
- ③ 평균 : 2.5, 분산 : 1.25
- ④ 평균 : 2.5, 분산 : 1.50
등록된 댓글이 없습니다.
70. 성별과 지지하는 정당 사이에 관계가 있는지 알아보기 위해 다음 자료를 통해 카이제곱 검증을 하려고 한다. 남자 100명 중 A 정당 지지자 80명, B 정당 지지자 20명, 여자 100명중 A 정당 지지자 40명, B 정당 지지자 60명이다. 성별과 정당 사이에 관계가 없을 경우 남자와 여자 각각 몇 명이 A 정당을 지지한다고 기대할 수 있는가?
- ① 남자 : 40명, 여자 : 60명
- ② 남자 : 50명, 여자 : 50명
- ③ 남자 : 60명, 여자 : 60명
- ④ 남자 : 70명, 여자 : 30명
등록된 댓글이 없습니다.
71. 분산이 동일한 정규분포를 따르는 두 모집단으로부터 표본을 추출하여 다음 표와 같은 결과를 구하였다. 이들 모집단의 분산의 추정치로 옳은 것은?

- ① 1
- ② 2
- ③ 3
- ④ 4
등록된 댓글이 없습니다.
72. 어느 여론조사기관에서 고등학교 학생들의 흡연율을 조사하고자 한다. 95% 신뢰수준에서 흡연율 추정의 오차한계가 1% 이내가 되기 위한 표본의 크기는?(단, 표준정규분포를 따르는 확률변수 Z 는 P(Z>1.96)=0.025를 만족한다.)
- ① 6,604
- ② 7,604
- ③ 8,604
- ④ 9,604
등록된 댓글이 없습니다.
73. 모집단 (1, 2, 3, 4)로부터 무작위로 2개의 수를 복원으로 추출한다. 추출한 두 숫자의 평균의 기댓값과 분산은?
- ① 기댓값 : 2.5, 분산 : 0.884
- ② 기댓값 : 1.25, 분산 : 0.625
- ③ 기댓값 : 2.5 분산 : 0.625
- ④ 기댓값 : 1.25 분산 : 0.884
등록된 댓글이 없습니다.
74. 일원배치법 모형에 대한 분산분석 결과를 정리한 다음 분산분석표에 관한 설명으로 틀린 것은?

- ① 총 관측자료수는 142개이다.
- ② 인자의 Month로서 수준 수는 8개이다.
- ③ 유의수준 0.05에서 인자의 효과가 인정되지 않는다.
- ④ 오차항의 분산 추정값은 11913이다.
등록된 댓글이 없습니다.
75. 다음 A병원과 B병원에서 각각 6명의 환자를 상대로 하여 환자가 병원에 도착하여 진료서비스를 받기까지의 대기시간(단위:분)을 조사한 것이다. 두 병원의 진료서비스 대기시간에 대한 비교로 옳은 것은?

- ① A병원 평균 = B병원 평균, A병원 분산 < B병원 분산
- ② A병원 평균 = B병원 평균, A병원 분산 > B병원 분산
- ③ A병원 평균 > B병원 평균, A병원 분산 < B병원 분산
- ④ A병원 평균 < B병원 평균, A병원 분산 > B병원 분산
등록된 댓글이 없습니다.
76. 다음 중 분산분석(ANOVA)에 관한 설명으로 틀린 것은?(오류 신고가 접수된 문제입니다. 반드시 정답과 해설을 확인하시기 바랍니다.)
- ① 분산분석은 두 개 이상의 집단간 평균차이를 검정할 때 사용된다.
- ② 분산분석은 연속형 변수인 종속변수가 분류변수라 일컬어지는 독립변수에의해 만들어진 실험조건에서 측정된 경우이다.
- ③ 관측값의 영향을 주는 요인은 등간척도나 비율척도이다.
- ④ 분산분석의 가설검정에는 F 분포 통계량을 이용한다.
등록된 댓글이 없습니다.
77. 한국도시연감에 의하면 1998년 1월 1일 당시 한국도시들의 재정자립도 평균은 53.4%이고 표준편차는 23.4이다. 또한 이 자료에서 서울의 재정자립도는 98.0%로 나타났다. 서울 재정자립도의 표준점수(Z 값)는?
- ① 1.91
- ② -1.91
- ③ 1.40
- ④ -1.40
등록된 댓글이 없습니다.
78. 다음 중 표본평균의 분포에 관한 설명으로 틀린 것은?
- ① 표본평균의 분포의 평균은 모집단의 평균과 동일하다.
- ② 표본의 크기가 어느 정도 크면 표본평균의 분포는 근사적 정규분포를 따른다.
- ③ 표본평균의 분포는 모집단의 분포와 동일하다.
- ④ 표본평균의 분포의 분산은 표본의 크기에 따라 달라진다.
등록된 댓글이 없습니다.
79. 다음 중 상관분석을 위해 산점도에서 관찰해야 할 자료의 특징이 아닌 것은?
- ① 선형 또는 비선형 관계의 여부
- ② 이상점의 존재 여부
- ③ 자료의 층화 여부
- ④ 원점(0, 0)의 통과 여부
등록된 댓글이 없습니다.
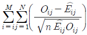
80. 행변수가 M 개의 범주를 갖고 열 번수가 N 개의 범주를 갖는 분할표에서 행변수와 열변수가 서로 독립인지를 검정하고자 한다. (i, j) 셀의 관측도수를 Oij, 귀무가설하에서의 기대도수의 추정치를 라 할 때, 이 검정을 위한 검정 통계량은?
- ①

- ②

- ③

- ④

등록된 댓글이 없습니다.
81. 다음은 중회귀식 = 36.689 + 3.372X1 + 0.532X2의 회귀계수표 이다. 다음 ( )에 알맞은 값은?

- ① A = 1.21, B = 3.59, C = 0.08
- ② A = 2.65, B = 0.09, C = 9.41
- ③ A = 10.21, B = 36, C = 0.8
- ④ A = 36.69, B = 3.96, C = 26.5
등록된 댓글이 없습니다.
82. 어느 회사원이 승용차로 출근하는 길에 신호등이 5개있다고 한다. 각 신호등에서 빨간 등에 의해 신호 대기할 확률은 0.2이고, 각 신호등에서 신호 대기 여부는 서로 독립적이라고 가정한다. 어느 날 이 회사원이 5개의 신호등 중 1개의 신호등에서만 빨간 등에 의해 신호대기에 걸리고 출근할 확률을 구하는 식은?
- ① (0.2)1
- ② 1-(0.8)5
- ③ (0.2)1(0.8)4
- ④ 5(0.2)1(0.8)4
등록된 댓글이 없습니다.
83. 평균이 μ 이고 분산이 δ2인 정규모집단으로부터 추출한 크기 100인 확률분포의 표본평균 를 이용하여 가설 H0 : μ = 0 VS H1 : μ > 0 을 유의수준 0.05에서 검정하는 경우 기각역이 P ≥ 1.645 이다. 이 때 검정통계량 Z 에 해당하는 것은? (단, P(Z>1.645)=0.05)
- ①

- ②

- ③

- ④

등록된 댓글이 없습니다.
84. 단순회귀분석을 위하여 수집한 자료 10개에 대하여 다음의 요약된 값을 얻었다. 최소제곱법에 의하여 추정된 회귀직선은?

- ① = 12.8 - 3x

- ② = 12.8-0.17x

- ③ = 4.19 - 3x

- ④ = 4.19 - 0.17x

등록된 댓글이 없습니다.
85. 독립시행의 횟수가 n 이고 성공확률이 p 인 이항분포에서 k번 이상의 성공이 발생할 확률을 바르게 표현한 것은?
- ①

- ②

- ③

- ④

등록된 댓글이 없습니다.
86. 다음 중 가설검정에 관한 설명으로 틀린 것은?
- ① 귀무가설이 참임에도 불구하고 귀무가설을 기각했을 때, 제 1종오류(type 1 error)가 일어났다고 한다.
- ② 유의확률이 유의수준보다 작으면, 귀무가설을 기각한다.
- ③ 검정력(power)은 귀무가설이 참이 아닐 때, 귀무가설을 기각할 확률을 말한다.
- ④ 검정통계량의 관측값이 기각역(rejection region)에 속하면 대립가설을 기각 한다.
등록된 댓글이 없습니다.
87. 다음 중 왜도가 0이고 첨도가 3인 분포의 형태는?
- ① 좌우 대칭인 분포
- ② 왼쪽으로 기울어진 분포
- ③ 오른족으로 길울어진 분포
- ④ 오른쪽으로 기울어지고 뾰족한 모양의 분포
등록된 댓글이 없습니다.
88. 확률변수 X 의 확률분포가 평균이 μ 이고 표준편차가 σ 인 정규분포 일 때의 설명으로 틀린 것은?
- ① Y = aX + b(a≠0) 이라면 Y는 N(aμ+b,a2σ2)을 따른다.
- ② 조 는 표준정규분포를 따른다.

- ③ 평균, 중위수, 최빈수가 모두 μ 이다.
- ④ Y = aX + b(b≠0) 라면 확률변수 Y 의 표준편차는 aσ 이다.
등록된 댓글이 없습니다.
89. 좋은 추정량의 조건이 아닌 것은?
- ① 편의성(biasness)
- ② 효율성(efficiency)
- ③ 일치성(consistency)
- ④ 충분성(sufficiency)
등록된 댓글이 없습니다.
90. 서울에 거주하는 가구 중에서 명절에 귀향하려는 가구의 비율(p)을 알아보기 위해 500가구를 조사한 결과 100가구가 귀향하겠다고 응답 하였다. 서울거주 가구의 귀향비율 p의 95%의 신뢰구간은?(단, √5=2.24)
- ① (0.165, 0.235)
- ② (0.15, 0.25)
- ③ (0.2, 0.235)
- ④ (0.1, 0.3)
등록된 댓글이 없습니다.
91. 모평균과 모분산이 알려지지 않은 정규모집단의 모분산에 대한 가설 검정에 사용되는 검정통계량은?
- ① Z - 통계량
- ② x2 -통계량
- ③ t - 통계량
- ④ F - 통계량
등록된 댓글이 없습니다.
92. 자료에 대한 대푯값으로 평균(mean) 대신 중앙값(median)을 사용하는 이유로 가장 적합한 것은?
- ① 평균은 음수가 나올 수 있다.
- ② 대규모 자료의 경우 평균은 계산이 어렵다.
- ③ 평균은 중앙값 보다 극단적인 관측값에 영향을 많이 맏는다.
- ④ 평균과 각 관측값의 차이의 총합은 항상 0이다.
등록된 댓글이 없습니다.
93. 어느 주민의 3%가 특정 풍토병에 걸려있다고 한다. 이 병의 검진방법에 의하면 감염자의 95%가 (+)반응을, 나머지 5%가 (-)반응을 나타내며 비감염자의 경우는 10%가 (+)반응을, 90%가 (-)반응을 나타낸다고 한다. 지금 주민중 한 사람을 검진한 결과 (+)반응을 보였다면 이 사람이 감염자일 확률은?
- ① 0.105
- ② 0.227
- ③ 0.885
- ④ 0.950
등록된 댓글이 없습니다.
94. 가설검정시, 유의확률(p값)과 유의수준( )의 관계에 대한 설명으로 옳은 것은?
- ① 유의확률 < 유의수준일 때 귀무가설을 기각한다.
- ② 유의확률 > 유의수준일 때 귀무가설을 기각한다.
- ③ 유의확률 = 유의수준일 때만 귀무가설을 기각한다.
- ④ 유의확률과 유의수준 중 어느 것이 큰가하는 문제와 가설검정과는 아무런 관계가 없다.
등록된 댓글이 없습니다.
95. 다음 단순회귀모형에 대한 설명으로 틀린 것은? (단, 오차항 ei는 서로 독립이며 동일한 분포 N(0,σ2을 따른다.)

- ① 각 Yi의 기댓값은 β0+β1X1로 주어진다.
- ② 오차항 ei와 Yi는 동일한 분산을 갖는다.
- ③ β0는 Xi가 일 경우 Y 의 반응량을 나타낸다.

- ④ 모든 Yi들은 상호 독립적으로 측정된다.
등록된 댓글이 없습니다.
96. 500원짜리 동전 3개와 100원짜리 동전 2개를 동시에 던져 앞면이 나오는 동전을 갖기로 할 때, 기댓값은?
- ① 550
- ② 650
- ③ 750
- ④ 850
등록된 댓글이 없습니다.
97. 두 변수 X 와 Y 의 상관계수(rxy)에 대한 설명으로 틀린 것은?
- ① 상관계수 rxy 는 두 변수 X 와 Y 의 산포의 정도를 나타낸다.
- ② 상관계수 범위는 -1 ≤ rxy ≤+1 이다.
- ③ rxy 이면 두 변수는 선형이 아니거나 무상관이다.
- ④ rxy = -1 이면 두 변수는 완전 상관관계에 있다.
등록된 댓글이 없습니다.
98. 모평균 μ 에 대한 구간추정에서 95% 신뢰수준(confidence level)을 갖는 신뢰구간 100±5라고 할 때, 신뢰수준 95%의 의미는?
- ① 구간추정치가 맞을 확률이다.
- ② 모평균의 추정치가 100±5내에 있을 확률이다.
- ③ 모평균과 구간추정치가 95% 같다
- ④ 동일한 추정방법을 사용하여 신뢰구간을 반복하여 추정할 경우 평균적으로 100회 중에서 95회는 추정구간이 모평균을 포함한다.
등록된 댓글이 없습니다.
99. 크기 n 인 표본으로 신뢰수준 95%를 갖도록 모평균을 추정하였더니 신뢰구간의 길이가 10이었다. 동일한 조건하에서 표본의 크기만을 1/4로 줄이면 신뢰구간의 길이는?
- ① 1/4로 줄어든다.
- ② 1/2로 줄어든다.
- ③ 2배로 늘어난다.
- ④ 4배로 늘어난다.
등록된 댓글이 없습니다.
100. 다음 중 일원분산분석이 부적합한 경우는?
- ① 어느 화학회사에서 3개 제조업체에서 생산된 기계로 원료를 혼합하는데 소요되는 평균시간이 동일한지를 검정하기 위하여 소요시간(분)자료를 수집 하였다.
- ② 소기업경영연구에 실린 한 논문은 자영업자의 스트레스가 비자영업자보다 높다고 결론을 내렸다. 5점 척도로 된 15개 항목으로 직무스트레스를 부동산중개업자, 건축가, 증권거래인들을 각각 15명씩 무작위로 추출하여 조사 하였다.
- ③ 어느 회사에 다니는 회사원은 입사시 학점이 높은 사람일수록 급여를 많이 받는다고 알려져 있다. 30명을 무작위로 추출하여 평균평점과 월급여를 조사하였다.
- ④ A구, B구, C구 등 3개 지역이 서울시에서 아파트 가격이 가장 높은 것 으로 나타났다. 각 구마다 15개씩 아파트매매가격을 조사하였다.
등록된 댓글이 없습니다.