공조냉동기계기사(2022. 3. 5.) 시험일자 : 2022년 3월 5일
1과목 : 에너지관리
1. 다음 온열환경지표 중 복사의 영향을 고려하지 않는 것은?
- ① 유효온도(ET)
- ② 수정유효온도(CET)
- ③ 예상온열감(PMV)
- ④ 작용온도(OT)
아니한소이2026. 2. 20. 17:26삭제
1. 유효온도 (ET)
유효온도는 기온, 습도, 기류의 3요소만을 고려한 지표입니다. 복사열(방사열)에 대한 고려가 없다는 점이 가장 큰 특징이자 단점입니다.
• 고려 요소: 건구온도, 습도, 기류
2. 수정유효온도 (CET)
유효온도(ET)의 단점을 보완하기 위해 나온 지표입니다. 건구온도 대신 흑구온도(Globe Temperature)를 사용하여 복사열의 영향을 반영합니다.
• 고려 요소: 흑구온도(복사열 포함), 습도, 기류
3. 작용온도 (OT)
인체와 주위 환경 사이의 대류에 의한 열전달과 복사에 의한 열전달을 종합하여 나타낸 온도입니다. 효과온도라고도 하며 건구온도, 복사온도, 기류의 영향을 종합합니다. 습도는 반영하지 않습니다.
4. 예상온열감 (PMV)
Fanger가 제안한 지표로, 인체의 열평형 방정식을 기반으로 합니다. 다음 6가지 요소를 모두 고려하기 때문에 당연히 복사열도 포함됩니다.
• 물리적 요소: 기온, 습도, 기류, 복사온도(MRT)
• 인체적 요소: 대사량(Met), 착의량(Clo)
쌉2023. 7. 4. 07:41삭제
수정유효온도 유효온도에 복사열을 보완한 온도
예상온열감(PMV : predicted mean vote)은 인간과 주위 환경의 6가지 열환경 요소들(기온, 습도, 기류속도, 평균복사온도, 대사량, 착의량)을 측정하여 인체의 열평형에 기초한 쾌적방정식이다.
효과온도라고도 하며 건구온도,기류 및 주위의 벽(천정,벽,바닥 기타 난방 panel등)사이의열복사의 종합효과를 나타낸것. 흑구온도는 기온과 기류 및 평균복사온도를 종합한 지표로서 평균복사 온도를 산정하는 방법으로 사용된다.
2. 주간 피크(peak)전력을 줄이기 위한 냉방시스템 방식으로 가장 거리가 먼 것은?
- ① 터보냉동기 방식
- ② 수축열 방식
- ③ 흡수식 냉동기 방식
- ④ 빙축열 방식
쌉2023. 7. 4. 07:46삭제
수축열시스템이란? 가격이 저렴한 심야전력을 이용하여 심야시간대(23시~09시)에 냉수를 수축열조에 저장하였다가 주간에 부하측에 공급하여 냉방 에 이용하는 시스템으로 주간 피크 전력부하를 심야시간대로 분산시켜 피크전력 억제 및 심야전력 수요증대로 부하평준화를 이루 는 시스템입니다.
3. 실내 공기 상태에 대한 설명으로 옳은 것은?
- ① 유리면 등의 표면에 결로가 생기는 것은 그 표면온도가 실내의 노점온도보다 높게 될 때이다.
- ② 실내 공기 온도가 높으면 절대습도가 높다.
- ③ 실내 공기의 건구 온도가 그 공기의 노점 온도와의 차는 상대습도가 높을수록 작아진다.
- ④ 건구온도가 낮은 공기일수록 많은 수증기를 함유할 수 있다.
매군2023. 7. 11. 03:13삭제
상대습도가 높을수록 노점온도를 형성하기 쉬워지기때문에 건구온도와의 차는 작아진다
4. 열교환기에서 냉수코일 입구 측의 공기와 물의 온도차가 16℃, 냉수코일 출구 측의 공기와 물이 온도차가 6℃이면 대수평균온도차(℃)는 얼마인가?
- ① 10.2
- ② 9.25
- ③ 8.37
- ④ 8.00
시나브로2023. 8. 25. 12:33삭제
대수평균온도차(LMTD)=(⊿T1-⊿T2) / ln(⊿T1/⊿T2)
(16-6)/ln(16/6)=10.195=10.2
5. 습공기를 단열 가습하는 경우 열수분비(u)는 얼마인가?
- ① 0
- ② 0.5
- ③ 1
- ④ ∞
시나브로2023. 8. 25. 12:37삭제
열수분비(u)= 엔탈피 변화량(⊿h) / 수분의 변화량(⊿x) 에서
엔탈피가 일정하므로 0/⊿x=0
6. 습공기선도(t-x선도)상에서 알 수 없는 것은?
- ① 엔탈피
- ② 습구온도
- ③ 풍속
- ④ 상대습도
등록된 댓글이 없습니다.
7. 다음 중 풍량조절 댐퍼의 설치위주로 가장 적절하지 않은 곳은?
- ① 송풍기, 공조기의 토출측 및 흡입측
- ② 연소의 유려가 있는 부분의 외벽 개구부
- ③ 분기덕트에서 풍량조정을 필요로 하는 곳
- ④ 덕트계에서 분기하여 사용하는 곳
포기할란다2025. 12. 15. 09:43삭제
연소의 유려가 뭔 말임? 우려 아님?
달빵이2025. 8. 15. 17:20삭제
연소의 우려가 있는 부분의 외벽 개구부는 방화구조로 하여야 하며 방화댐퍼를 설치해야 한다.
8. 수냉식 응축기에서 냉각수 입·출구 온도차가 5℃, 냉각수량이 300 LPM인 경우 이 냉각수에서 1시간에 흡수하는 열량은 1시간당 LNG 몇 N·m3을 연소한 열량과 같은가? (단, 냉각수의 비열은 4.2 kJ/kg·℃, LNG 발열량은 43961.4 kJ/N·m3, 열손실은 무시한다.)
- ① 4.6
- ② 6.3
- ③ 8.6
- ④ 10.8
김개똥2024. 11. 1. 17:49삭제
추전인데 실수로 비추 눌렀음. 지송.
강수2023. 4. 21. 09:24삭제
Q=GCdT=300*4.2*5=6300[kJ/min]*60[min/h]=378000[kJ/h]
Q/Lng=378000/43961.4=8.598
9. 덕트의 분기점에서 풍량을 조절하기 위하여 설치하는 댐퍼로 가장 적절한 것은?
- ① 방화 댐퍼
- ② 스플릿 댐퍼
- ③ 피봇 댐퍼
- ④ 터닝 베인
등록된 댓글이 없습니다.
10. 증기난방 방식에 대한 설명으로 틀린 것은?
- ① 환수방식에 따라 중력환수식과 진공환수식, 기계환수식으로 구분한다.
- ② 배관방법에 따라 단관식과 복관식이 있다.
- ③ 예열시간이 길지만 열량 조절이 용이하다.
- ④ 운전 시 중기 해머로 인한 소음을 일으키기 쉽다.
포기할란다2025. 12. 15. 09:51삭제
광고 위치보소 역겹네
달빵이2025. 8. 15. 17:21삭제
열용량이 작아 예열시간이 짧지만 증기량 제어가 어려워 방열량(온도) 조절이 어렵다.
11. 공기 중의 수증기가 응축하기 시작할 때의 온도 즉, 공기가 포화상태로 될 때의 온도를 무엇이라고 하는가?
- ① 건구온도
- ② 노점온도
- ③ 습구온도
- ④ 상당외기온도
등록된 댓글이 없습니다.
12. 다음 중 일반 사무용 건물의 난방부하 계산 결과에 가장 작은 영향을 미치는 것은?
- ① 외기온도
- ② 벽체로부터의 손실열량
- ③ 인체 부하
- ④ 틈새바람 부하
공조냉동기계기사2024. 5. 20. 20:26삭제
ㅎㅅ 12
강수2023. 4. 20. 23:39삭제
사람은 열을 냄
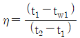
13. 에어와셔 단열 가습시 포화효율(η)은 어떻게 표시하는가? (단, 입구공기의 건구온도 t1, 출구공기의 건구온도 t2, 입구공기의 습구온도 tw1, 출구공기의 습구온도 tw2 이다.)
- ①

- ②

- ③

- ④

아니한소이2026. 2. 20. 17:36삭제
정답: ②
1. 단열 가습의 원리
에어와셔 내에서 물을 순환시켜 단열 가습을 할 때, 수분이 증발하면서 공기의 현열을 빼앗아 건구온도는 낮아지고 습도는 높아집니다. 이 과정은 외부와의 열교환이 없는 단열 상태에서 진행되므로 습공기 선도상의 등엔탈피선(또는 등습구온도선)을 따라 이동합니다. 따라서 입구와 출구의 습구온도는 거의 같습니다 (tw₁ ≒ tw₂).
2. 포화효율(η)의 정의
포화효율은 공기가 에어와셔를 통과할 때 이론적으로 가능한 최대 건구온도 강하량 대비 실제 강하된 온도의 비율을 의미합니다. 이론적으로 공기가 도달할 수 있는 최저 온도는 입구 공기의 습구온도(tw₁)입니다.
η = (실제 건구온도 강하량) / (이론적 최대 건구온도 강하량)
3. 공식 설명
η = (t₁ - t₂) / (t₁ - tw₁)
각 항과 단위
η : 포화효율 (무차원)
t₁ : 입구 공기의 건구온도 [℃]
t₂ : 출구 공기의 건구온도 [℃]
tw₁ : 입구 공기의 습구온도 [℃]
분자인 (t₁ - t₂)는 실제로 냉각된 온도 차이를 나타내며, 분모인 (t₁ - tw₁)은 공기가 완전히 포화되어 습구온도와 같아질 때까지 냉각될 수 있는 최대 온도 차이를 나타냅니다.
14. 정방실에 35kW의 모터에 의해 구동되는 정방기가 12대 있을 때 전력에 의한 취득열량(kW)은 얼마인가? (단, 전동기와 이것에 의해 구동되는 기계가 같은 방에 있으며, 전동기의 가동율은 0.74 이고, 전동기 효율은 0.87, 전동기 부하율은 0.92 이다.)
- ① 483
- ② 420
- ③ 357
- ④ 329
그냥 포기할란다2025. 12. 11. 15:48삭제
ㅋㅋㅋㅋㅋ ㅅㅂ 해설 틀림
3842024. 5. 20. 10:08삭제
진짜 킨즈 해설 맞는게 하나도 없고 뭣같이 써놨네
1232024. 1. 18. 01:36삭제
35*12*0.74*0.92/0.87
15. 보일러의 시운전 보고서에 관한 내용으로 가장 관련이 없는 것은?
- ① 제어기 세팅 값과 입/출수 조건 기록
- ② 입/출구 공기의 습구온도
- ③ 연도 가스의 분석
- ④ 성능과 효율 측정 값을 기록, 설계 값과 비교
등록된 댓글이 없습니다.
16. 다음 용어에 대한 설명으로 틀린 것은?
- ① 자유면적 : 취출구 혹은 흡입구 구멍면적의 합계
- ② 도달거리 : 기류의 중심속도가 0.25m/s에 이르렀을 때, 취출구에서의 수평거리
- ③ 유인비 : 전공기량에 대한 취출공기량(1차 공기)의 비
- ④ 강하도 : 수평으로 취출된 기류가 일정거리만큼 진행한 뒤 기류중심선과 취출구 중심과의 수직거리
이게뭐임2025. 12. 11. 11:16삭제
아니 이게 뭐임 해설 뭐냐고
공조냉동기계기사2024. 5. 20. 20:25삭제
ㅎㅅ 16
매군2023. 7. 11. 03:50삭제
취출공기량(1차 공기)에 대한 전공기량의 비
강수2023. 4. 20. 23:49삭제
유인(공기수방식)비= 전공기/1차공기=(1공기+2차공기)/1차공기
17. 증기난방과 온수난방의 비교 설명으로 틀린 것은?
- ① 주 이용열로 증기난방은 잠열이고, 온수난방은 현열이다.
- ② 증기난방에 비하여 온수난방은 방열량을 쉽게 조절할 수 있다.
- ③ 장거리 수송으로 증기난방은 발생증기압에 의하여, 온수난방은 자연순환력 또는 펌프 등의 기계력에 의한다.
- ④ 온수난방에 비하여 증기난방은 예열부하와 시간이 만이 소요된다.
아2024. 11. 4. 15:50삭제
예열시간 : 증기난방 짧다, 온수난방 길다
방열량조절 : 증기난방 곤란, 온수난방 용이
소음 : 증기난방 증기해머, 온수난방 조용함
18. 공기조화 시스템에 사용되는 댐퍼의 특성에 대한 설명으로 틀린 것은?
- ① 일반 댐퍼(Volume Control Damper) : 공기 유량조절이나 차단용이며, 아연도금 철판이나 알루미늄 재료로 제작된다.
- ② 방화댐퍼(Fier Damper) : 방화벽을 관통하는 덕트에 설치되며, 화재 발생시 자동으로 폐쇄되어 화염의 전파를 방지한다.
- ③ 밸런싱 댐퍼(Balancing Damper) : 덕트의 여러 분기관에 설치되어 분기관의 풍량을 조절하며, 주로 T.A.B 시 사용된다.
- ④ 정풍량 댐퍼(Linear Volume Control Damper) : 에너지절약을 위해 결정된 유량을 선형적으로 조절하며, 역류방지 기능이 있어 비싸다.
공조냉동기계기사2024. 5. 19. 20:25삭제
역류방지 기능은 없다.
19. 공기조화시 T.A.B 측정 절차 중 측정요건으로 틀린 것은?
- ① 시스템의 검토 공정이 완료되고 시스템 검토보고서가 완료되어야 한다.
- ② 설계도면 및 관련 자료를 검토한 내용을 토대로 하여 보고서 양식에 장비규격 등의 기준이 완료되어야 한다.
- ③ 댐퍼, 말단 유닛, 터미널의 개도는 완전 밀폐되어야 한다.
- ④ 제작사의 공기조화시 시운전이 완료되어야 한다.
등록된 댓글이 없습니다.
20. 강제순환식 온수난방에서 개방형 팽창탱크를 설치하려고 할 때, 적당한 온수의 온도는?
- ① 100℃ 미만
- ② 130℃ 미만
- ③ 150℃ 미만
- ④ 170℃ 미만
등록된 댓글이 없습니다.
2과목 : 공조냉동설계
21. 부피가 0.4m3인 밀폐된 용기에 압력 3MPa, 온도 100℃의 이상기체가 들어있다. 기체의 정압비열 5 kJ/kg·K, 정적비열 3 kJ/kg·K 일 때 기체의 질량(kg)은 얼마인가?
- ① 1.2
- ② 1.6
- ③ 2.4
- ④ 2.7
1232024. 1. 20. 00:38삭제
PV=mRT
R=Cp-Cv
힝구2023. 6. 29. 00:29삭제
어케 구하는건지 모르겠어요
22. 온도 100℃, 압력 200kPa의 이상기체 0.4kg이 가역단열과정으로 압력이 100kPa로 변화하였다면, 기체가 한 일(kJ)은 얼마인가? (단, 기체 비열비 1.4, 정적비열 0.7 kJ/kg·K 이다.)
- ① 13.7
- ② 18.8
- ③ 23.6
- ④ 29.4
1232024. 1. 18. 02:34삭제
W=m*Cv*(T2-T1)
(T2/T1)=(P2/P1)^{(r-1)/r} 등엔트로피일때 성립
23. 70kPa에서 어떤 기체의 체적이 12m3이었다. 이 기체를 800kPa 까지 폴리트로픽 과정으로 압축했을 때 체적이 2m3으로 변화했다면, 이 기체의 폴리트로픽 지수는 약 얼마인가?
- ① 1.21
- ② 1.28
- ③ 1.36
- ④ 1.43
하2024. 11. 5. 11:04삭제
6^n=800/70
n= log(800/70, 6) ==>base가 6인 로그 엑셀계산시
24. 공기 정압비열(CP, kJ/kg·℃)이 다음과 같을 때 공기 5kg을 0℃에서 100℃까지 일정한 압력하에서 가열하는데 필요한 열량(kJ)은 약 얼마인가? (단, 다음 식에서 t는 섭씨온도를 나타낸다.)

- ① 85.5
- ② 100.9
- ③ 312.7
- ④ 504.6
하2024. 11. 5. 11:08삭제
정압비열계산시 t는 대수 평균온도 사용 t=(100+0)/2
25. 흡수식 냉동기의 냉매의 순환 과정으로 옳은 것은?
- ① 증발기(냉각기)→흡수기→재생기→응축기
- ② 증발기(냉각기)→재생기→흡수기→응축기
- ③ 흡수기→증발기(냉각기)→재생기→응축기
- ④ 흡수기→재생기→증발기(냉각기)→응축기
공조냉동기계기사2024. 5. 20. 20:24삭제
ㅎㅅ 25
26. 이상기체 1kg이 초기에 압력 2kPa, 부피 0.1m3를 차지하고 있다. 가역등온과정에 따라 부피가 0.3m3로 변화했을 때 기체가 한 일(J)은 얼마인가?
- ① 9540
- ② 2200
- ③ 954
- ④ 220
LCH2024. 12. 14. 19:08삭제
P*V*In(V2/V1)
2*0.1*In(0.3/0.1) = 0.219722KJ *1000 = 219.722J
공조냉동기계기사2024. 5. 20. 20:23삭제
ㅎㅅ 26
27. 증기터빈에서 질량유량이 1.5kg/s 이고, 열손실율이 8.5kW이다. 터빈으로 출입하는 수증기에 대하여 그림에 표시한 바와 같은 데이터가 주어진다면 터빈의 출력(kW)은 약 얼마인가?

- ① 273.3
- ② 655.7
- ③ 1357.2
- ④ 2616.8
하2024. 11. 5. 11:29삭제
터빈일 w=h1-h2 + (V1^2 - V2^2) / (2*1000)
=3137-2675.5 + (50^2 - 200^2) / (2*1000) = 442.75 kJ/kg
일의 단위 kw로 바꾸기위해 질량유량 곱함 442.75*1.5 kg/s = 664.125 kw
손실을빼주면 664.125-8.5 = 655.63 kw
28. 냉동사이클에서 응축온도 47℃, 증발온도 –10℃이면 이론적인 최대 성적계수는 얼마인가?
- ① 0.21
- ② 3.45
- ③ 4.61
- ④ 5.36
등록된 댓글이 없습니다.
29. 압축기의 체적효율에 대한 설명으로 옳은 것은?
- ① 간극체적(top clearance)이 작을수록 체적효율은 작다.
- ② 같은 흡입압력, 같은 증기 과열도에서 압축비가 클수록 체적효율은 작다.
- ③ 피스톤 링 및 흡입 밸브의 시트에서 누설이 작을수록 체적효율이 작다.
- ④ 이론적 요구 압축동력과 실제 소요 압축동력의 비이다.
아니한소이2026. 2. 20. 20:12삭제
1. 틈새에 남은 식구 (간극체적)
압축기 피스톤이 끝까지 올라가도 밸브와 부딪히는 것을 막기 위해 상단에 아주 약간의 공간을 남겨둡니다. 이를 간극체적(Vc)이라고 합니다. 압축 공정이 끝나고 가스를 밖으로 다 내보낸 뒤에도, 이 좁은 틈새에는 고압 상태의 가스가 여전히 남아 있게 됩니다.
2. 남의 자리 뺏기 (재팽창)
피스톤이 다시 아래로 내려가며 신선한 가스를 빨아들이려 할 때, 이 틈새에 있던 고압 가스가 먼저 부풀어 오릅니다(재팽창). 이 가스가 충분히 부풀어서 내부 압력이 흡입 압력까지 낮아질 때까지는 흡입 밸브가 열리지 않습니다. 결과적으로 재팽창한 가스가 실린더 내부 공간을 먼저 차지해 버리기 때문에, 그만큼 새로운 냉매가 들어올 자리가 줄어들게 됩니다.
3. 공식의 구성 논리
ηᵥ꜀ = 1 - σ(α¹/ⁿ - 1)
• ηᵥ꜀: 체적효율입니다. 전체 공간 대비 실제로 흡입된 가스량의 비율을 뜻합니다.
• 1: 이론적으로 100% 다 채울 수 있다는 기준값입니다.
• 마이너스(-): 틈새 가스가 자리를 뺏은 만큼 전체 효율에서 뺀다는 의미입니다.
• σ (간극비): 간극체적(Vc)이 행정체적(Vs) 대비 얼마나 큰지를 나타냅니다. 틈새가 클수록 손해 볼 가능성도 커집니다.
• α (압축비): 토출압력을 흡입압력으로 나눈 값입니다. 압력 차이가 클수록 가스는 더 크게 부풀어 올라 더 많은 자리를 뺏습니다.
• 1/n: 냉매 가스의 물리적 성질에 따라 부푸는 정도가 달라짐을 나타내는 지수입니다.
• -1: 원래 틈새에 차지하고 있던 자기 부피(1)를 빼고, 순수하게 늘어나서 남의 영역을 침범한 증가량만 계산하기 위한 장치입니다.
30. 냉동장치에서 플래쉬 가스의 발생원인으로 틀린 것은?
- ① 액관이 직사광선에 노출되었다
- ② 응축기의 냉각수 유량이 갑자기 많아졌다.
- ③ 액관이 현저하게 입상하거나 지나치게 길다.
- ④ 관의 지름이 작거나 관 내 스케일에 의해 관경이 작아졌다.
등록된 댓글이 없습니다.
31. 프레온 냉동장치에서 가용전에 대한 설명으로 틀린 것은?
- ① 가용전의 용융온도는 일반적으로 75℃이하로 되어 있다.
- ② 가용전은 Sn, Cd, Bi 등의 합금이다.
- ③ 온도상승에 따른 이상 고압으로부터 응축기 파손을 방지한다.
- ④ 가용전의 구경은 안전밸브 최소구경의 1/2 이하이어야 한다.
등록된 댓글이 없습니다.
32. 흡수식 냉동기에 사용되는 흡수제의 구비조건으로 틀린 것은?
- ① 냉매와 비등온도 차이가 작을 것
- ② 화학적으로 안정하고 부식성이 없을 것
- ③ 재생에 필요한 열량이 크지 않을 것
- ④ 점성이 작을 것
공조냉동기계기사2024. 5. 20. 20:23삭제
ㅎㅅ 32
33. 클리어런스 포켓이 설치된 압축기에서 클리어런스가 커질 경우에 대한 설명으로 틀린 것은?
- ① 냉동능력이 감소한다.
- ② 피스톤의 체적 배출량이 감소한다.
- ③ 체적효율이 저하한다.
- ④ 실제 냉매 흡입량이 감소한다.
아니한소이2026. 2. 20. 20:22삭제
1. 기본 용어의 정의
압축기 내부의 부피는 크게 두 가지로 구분됩니다.
• 행정체적(Vₛ): 피스톤이 맨 아래에서 맨 위까지 움직이는 동안 차지하는 공간입니다. 피스톤의 지름과 움직이는 거리에 의해 결정되는 기계적으로 고정된 부피입니다.
• 간극체적(V꜀): 피스톤이 맨 위로 올라갔을 때 밸브와의 충돌을 막기 위해 남겨둔 아주 작은 틈새 부피입니다. 클리어런스 포켓은 이 틈새 부피를 인위적으로 조절할 수 있는 장치입니다.
2. 클리어런스가 커질 때의 물리적 현상
피스톤이 압축을 마치고 내려갈 때, 간극체적(V꜀)에 남아 있던 고압의 가스가 먼저 부풀어 오릅니다. 이를 재팽창이라고 합니다.
만약 클리어런스 포켓을 열어 간극체적(V꜀)을 크게 만들면, 그 속에 남아 있는 고압 가스의 양이 많아집니다. 이 가스들이 부풀어 오르면서 실린더 내부의 넓은 공간을 먼저 차지해 버립니다.
아니한소이2026. 2. 20. 20:19삭제
3. 각 보기의 분석
• ① 냉동능력이 감소한다: 압축기가 냉매를 적게 빨아들이므로, 증발기에서 냉각 작용을 할 냉매가 부족해집니다. 결과적으로 냉동능력은 떨어집니다. (옳은 설명)
• ② 피스톤의 체적 배출량이 감소한다: 피스톤의 체적 배출량(행정체적, Vₛ)은 피스톤의 지름과 스트로크(움직이는 거리)에 의해 정해지는 기계적인 사양입니다. 클리어런스 포켓으로 틈새(V꜀)를 늘린다고 해서 피스톤이 움직이는 기계적 거리 자체가 변하는 것은 아닙니다. 따라서 이 값은 변하지 않습니다. (틀린 설명, 정답)
• ③ 체적효율이 저하한다: 체적효율(ηᵥ꜀)은 행정체적(Vₛ) 중에서 실제로 신선한 냉매가 들어온 비율입니다. 틈새 가스가 자리를 많이 뺏었으므로 체적효율은 당연히 낮아집니다. (옳은 설명)
• ④ 실제 냉매 흡입량이 감소한다: 위에서 설명했듯이 재팽창하는 가스가 자리를 뺏기 때문에 새로 들어올 수 있는 냉매의 절대적인 양이 줄어듭니다. (옳은 설명)
4. 정답 및 핵심 요약
정답: ②
클리어런스 포켓을 조절하는 목적은 압축기의 속도를 바꾸지 않고도 냉매 흡입량(실제로 일하는 양)을 조절하기 위함입니다. 이때 기계적인 움직임인 행정체적(Vₛ)은 그대로 유지된 채, 틈새 가스의 방해(재팽창) 정도만 커져서 효율과 능력이 변하게 되는 것입니다.
34. 이상기체 1kg을 일정 체적 하에 20℃로부터 100℃로 가열하는데 836kJ의 열량이 소요되었다면 정압비열(kJ/kg·K)은 약 얼마인가? (단, 해당가스의 분자량은 2이다.)
- ① 2.09
- ② 6.27
- ③ 10.5
- ④ 14.6
열강2025. 1. 11. 23:31삭제
정적과정에서
Q = dU = m.Cv.dT
Cv = 836 kg / (1 kg x 80 K) = 10.45 kJ/kg.K
Cp-Cv=R에서
Cp = R + Cv = 4.16 + 10.45 = 14.56
(R = 8.314 J/mol.K = 8.314 J/mol.K x 1 mol/2g x 1000g/kg = 4.157 kJ/kg.K
35. 20℃의 물로부터 0℃의 얼음을 매 시간당 90kg을 만드는 냉동기의 냉동능력(kW)은 얼마인가? (단, 물의 비열 4.2kJ/kg·K, 물의 응고 잠열 335kJ/kg이다.)
- ① 7.8
- ② 8.0
- ③ 9.2
- ④ 10.5
등록된 댓글이 없습니다.
36. 2차유체로 사용되는 브라인의 구비 조건으로 틀린 것은?
- ① 비등점이 높고, 응고점이 낮을 것
- ② 점도가 낮을 것
- ③ 부식성이 없을 것
- ④ 열전달률이 작을 것
등록된 댓글이 없습니다.
37. 카르노 사이클로 작동되는 기관의 실린더 내에서 1kg의 공기가 온도 120℃에서 열량 40kJ를 받아 등온팽창 한다면 엔트로피의 변화(kJ/kg·K)는 약 얼마인가?
- ① 0.102
- ② 0.132
- ③ 0.162
- ④ 0.192
열강2025. 1. 12. 04:29삭제
온도가 일정할 경우
엔트로피 변화량 dS = dq/T = 40 / (120+273) = 0.102
38. 표준냉동사이클의 단열 교축과정에서 입구 상태와 출구 상태의 엔탈피는 어떻게 되는가?
- ① 입구 상태가 크다.
- ② 출구 상태가 크다.
- ③ 같다.
- ④ 경우에 따라 다르다.
등록된 댓글이 없습니다.
39. 온도식 자동팽창밸브에 대한 설명으로 틀린 것은?
- ① 형식에는 일반적으로 벨로즈식과 다이어프램식이 있다.
- ② 구조는 크게 감온부와 작동부로 구성된다.
- ③ 만액식 증발기나 건식 증발기에 모두 사용이 가능하다.
- ④ 증발기 내 압력을 일정하게 유지하도록 냉매유량을 조절한다.
등록된 댓글이 없습니다.
40. 다음 중 검사질량의 가역 열전달 과정에 관한 설명으로 옳은 것은?
- ① 열전달량은 와 같다.

- ② 열전달량은 보다 크다.

- ③ 열전달량은 와 같다.

- ④ 열전달량은 보다 크다.

등록된 댓글이 없습니다.
3과목 : 시운전 및 안전관리
41. 고압가스 안전관리법령에 따라 ( ) 안의 내용으로 옳은 것은?

- ① ㉠ 2분의 1 이상, ㉡ 2분의 1 미만
- ② ㉠ 2분의 1 초과, ㉡ 2분의 1 이하
- ③ ㉠ 5분의 2 이상, ㉡ 5분의 2 미만
- ④ ㉠ 5분의 2 초과, ㉡ 5분의 2 이하
등록된 댓글이 없습니다.
42. 기계설비법령에 따라 기계설비 발전 기본계획은 몇 년마다 수립·시행하여야 하는가?
- ① 1
- ② 2
- ③ 3
- ④ 5
공조냉동기계기사2024. 5. 20. 20:21삭제
ㅎㅅ 42
43. 기계설비법령에 따라 기계설비 유지관리교육에 관한 업무를 위탁받아 시행하는 기관은?
- ① 한국기계설비건설협회
- ② 대한기계설비건설협회
- ③ 한국공작기계산업협회
- ④ 한국건설기계산업협회
등록된 댓글이 없습니다.
44. 고압가스 안전관리법령에서 규정하는 냉동기 제조 등록을 해야 하는 냉동기의 기준은 얼마인가?
- ① 냉동능력 3톤 이상인 냉동기
- ② 냉동능력 5톤 이상인 냉동기
- ③ 냉동능력 8톤 이상인 냉동기
- ④ 냉동능력 10톤 이상인 냉동기
등록된 댓글이 없습니다.
45. 다음 중 고압가스 안전관리법령에 따라 500만원 이하의 벌금 기준에 해당하는 경우는?

- ① ㉠
- ② ㉠, ㉡
- ③ ㉠, ㉡, ㉢
- ④ ㉠, ㉡, ㉢, ㉣
등록된 댓글이 없습니다.
46. 전류의 측정 범위를 확대하기 위하여 사용되는 것은?
- ① 배율기
- ② 분류기
- ③ 저항기
- ④ 계기용변압기
난 포기 할란다 ㅅㅂ2025. 12. 12. 09:36삭제
해설 진짜 뭣 같네 뭔 저따구냐
죠오옹2024. 7. 1. 15:55삭제
정답은 분류기
공조냉동기계기사2024. 5. 20. 20:20삭제
ㅎㅅ 46
47. 절연저항 측정 시 가장 적당한 방법은?
- ① 메거에 의한 방법
- ② 전압, 전류계에 의한 방법
- ③ 전위차계에 의한 방법
- ④ 더블브리지에 의한 방법
등록된 댓글이 없습니다.
48. 저항 100Ω의 전열기에 5A의 전류를 흘렀을 때 소비되는 전력은 몇 W 인가?
- ① 500
- ② 1000
- ③ 1500
- ④ 2500
hb2024. 12. 5. 15:00삭제
p = i^2 * r
공조냉동기계기사2024. 5. 20. 20:18삭제
ㅎㅅ 48
49. 유도전동기에서 슬립이 “0”이라고 하는 것은?
- ① 유도전동기가 정지 상태인 것을 나타낸다.
- ② 유도전동기가 전부하 상태인 것을 나타낸다.
- ③ 유도전동기가 동기속도로 회전한다는 것이다.
- ④ 유도전동기가 제동기의 역할을 한다는 것이다.
공비2023. 7. 15. 03:50삭제
S=0 무부하, 동기속도
S=1 정지
50. 논리식 중 동일한 값을 나타내지 않는 것은?
- ①

- ②

- ③

- ④

등록된 댓글이 없습니다.
51. it = Im sinwt 인 정현파 교류가 있다. 이 전류보다 90° 앞선 전류를 표시하는 식은?
- ① Im coswt
- ② Im sinwt
- ③ Im cos(wt+90°)
- ④ Im sin(wt-90°)
공2023. 7. 15. 03:51삭제
cos 이 sin 보다 90도 빠름
52. i = Im1 sinwt + Im2 sin(2wt+θ)의 실효값은?
- ①

- ②

- ③

- ④

등록된 댓글이 없습니다.
53. 그림과 같은 브리지 정류회로는 어느 점에 교류입력을 연결하여야 하는가?

- ① A-B점
- ② A-C점
- ③ B-C점
- ④ B-D점
등록된 댓글이 없습니다.
54. 추종제어에 속하지 않는 제어량은?
- ① 위치
- ② 방위
- ③ 자세
- ④ 유량
등록된 댓글이 없습니다.
55. 직류·교류 양용에 만능으로 사용할 수 있는 전동기는?
- ① 직권 정류자 전동기
- ② 직류 복권 전동기
- ③ 유도 전동기
- ④ 동기 전동기
공조냉동기계기사2024. 5. 20. 20:17삭제
ㅎㅅ 55
56. 배율기의 저항이 50kΩ, 전압계의 내부 저항이 25kΩ이다. 전압계가 100v를 지시하였을 때, 측정한 전압(V)은?
- ① 10
- ② 50
- ③ 100
- ④ 300
포기할란다2025. 12. 12. 13:14삭제
강수한테 비추 누른애 누구냐 맞는데
강수2023. 4. 21. 17:14삭제
I=V/R=실제전압/(50+25)=전압계전압/전압계내부저항=100/25
실제전압= 300
57. 아래 그림의 논리회로와 같은 진리값을 NAND소자만으로 구성하여 나타내려면 NAND소자는 최소 몇 개가 필요한가?

- ① 1
- ② 2
- ③ 3
- ④ 5
등록된 댓글이 없습니다.
58. 궤환제어계에 속하지 않는 신호로서 외부에서 제어량이 그 값에 맞도록 제어계에 주어지는 신호를 무엇이라 하는가?
- ① 목표값
- ② 기준 압력
- ③ 동작 신호
- ④ 궤환 신호
등록된 댓글이 없습니다.
59. 그림과 같은 전자릴레이회로는 어떤 게이트 회로인가?

- ① OR
- ② AND
- ③ NOR
- ④ NOT
등록된 댓글이 없습니다.
60. 제어량에 따른 분류 중 프로세스 제어에 속하지 않는 것은?
- ① 압력
- ② 유량
- ③ 온도
- ④ 속도
등록된 댓글이 없습니다.
4과목 : 유지보수 공사관리
61. 급수배관 시공 시 수격작용의 방지 대책으로 틀린 것은?
- ① 플래쉬 밸브 또는 급속 개폐식 수전을 사용한다.
- ② 관 지름은 유속이 2.0~2.5m/s 이내가 되도록 설정한다.
- ③ 역류 방지를 위하여 체크 밸브를 설치하는 것이 좋다.
- ④ 급수관에서 분기할 때에는 T 이음을 사용한다.
등록된 댓글이 없습니다.
62. 다음 중 사용압력이 가장 높은 동관은?
- ① L관
- ② M관
- ③ K관
- ④ N관
등록된 댓글이 없습니다.
63. 공조설비 중 덕트설계시 주의사항으로 틀린 것은?
- ① 덕트 내 정압손실을 적게 설계할 것
- ② 덕트의 경로는 가능한 최장거리로 할 것
- ③ 소음 및 진동이 적게 설계할 것
- ④ 건물의 구조에 맞드록 설계할 것
등록된 댓글이 없습니다.
64. 가스배관 시공에 대한 설명으로 틀린 것은?
- ① 건물 내 배관은 안전을 고려, 벽, 바닥 등에 매설하여 시공한다.
- ② 건축물의 벽을 관통하는 부분의 배관에는 보호관 및 부식방지 피복을 한다.
- ③ 배관의 경로와 위치는 장래의 계획, 다른 설비와의 조화 등을 고려하여 정한다.
- ④ 부식의 우려가 있는 장소에 배관하는 경우에는 방식, 절연조치를 한다.
등록된 댓글이 없습니다.
65. 증기배관 중 냉각 레그(cooling leg)에 관한 내용으로 옳은 것은?
- ① 완전한 응축수를 회수하기 위함이다.
- ② 고온증기의 동파 방지시설이다.
- ③ 열전도 차단을 위한 보온단열 구간이다.
- ④ 익스팬션 조인트이다.
등록된 댓글이 없습니다.
66. 보온재의 구비조건으로 틀린 것은?
- ① 표면시공이 좋아야 한다.
- ② 재질자체의 모세관 현상이 커야 한다.
- ③ 보냉 효율이 좋아야 한다.
- ④ 난연성이나 불연성이어야 한다.
쌉2023. 7. 4. 07:35삭제
작아야한다
67. 신축 이음쇠의 종류에 해당하지 않는 것은?
- ① 벨로즈형
- ② 플랜지형
- ③ 루프형
- ④ 슬리브형
등록된 댓글이 없습니다.
68. 고압 증기관에서 권장하는 유속기준으로 가장 적합한 것은?
- ① 5~10m/s
- ② 15~20m/s
- ③ 30~50m/s
- ④ 60~70m/s
등록된 댓글이 없습니다.
69. 증기난방의 환수방법 중 증기의 순환이 가장 빠르며 방열기의 설치위치에 제한을 받지 않고 대규모 난방에 주로 채택되는 방식은?
- ① 단관식 상향 증기 난방법
- ② 단관식 하향 증기 난방법
- ③ 진공환수식 증기 난방법
- ④ 기계환수식 증기 난방법
등록된 댓글이 없습니다.
70. 온수난방 배관 시 유의사항으로 틀린 것은?
- ① 온수 방열기마다 반드시 수동식 에어벤트를 부착한다.
- ② 배관 중 공기가 고일 우려가 있는 곳에는 에어벤트를 설치한다.
- ③ 수리나 난방 휴지시의 배수를 위한 드레인 밸브를 설치한다.
- ④ 보일러에서 팽창탱크에 이르는 팽창관에는 밸브를 2개 이상 부착한다.
등록된 댓글이 없습니다.
71. 강관에서 호칭관경의 연결로 틀린 것은?
- ①

- ②

- ③

- ④

1232024. 1. 21. 01:21삭제
1/2B = 15A
3/4B = 20A
1B = 25A
1 1/4B = 32A
1 1/2B = 40A
2B = 50A
72. 펌프주위 배관에 관한 설명으로 옳은 것은?(문제 오류로 가답안 발표시 3번으로 발표되었지만 확정답안 발표시 2, 3번 정답 처리 되었습니다. 여기서는 가답안인 3번을 누르면 정답 처리 됩니다.)
- ① 펌프의 흡입측에는 압력계를, 토출측에는 진공계(연성계)를 설치한다.
- ② 흡입관이나 토출관에는 펌프의 진동이나 관의 열팽창을 흡수하기 위하여 신축이음을 한다.
- ③ 흡입관의 수평배관은 펌프를 향해 1/50~1/100의 올림구배를 준다.
- ④ 토출관의 게이트밸브 설치높이는 1.3m 이상으로 하고 바로 위에 체크밸브를 설치한다.
등록된 댓글이 없습니다.
73. 중·고압 가스배관의 유량(Q)을 구하는 계산식으로 옳은 것은? (단, P1 : 처음압력, P2 : 최종압력, d : 관 내경, l : 관 길이, s : 가스비중, K : 유량계수 이다.)
- ①

- ②

- ③

- ④

등록된 댓글이 없습니다.
74. 보온재의 열전도율이 작아지는 조건으로 틀린 것은?
- ① 재료의 두께가 두꺼울수록
- ② 재질 내 수분이 작을수록
- ③ 재료의 밀도가 클 수록
- ④ 재료의 온도가 낮을수록
등록된 댓글이 없습니다.
75. 다음 중 증기사용 간접가열식 온수공급 탱크의 가열관으로 가장 적절한 관은?
- ① 납관
- ② 주철관
- ③ 동관
- ④ 도관
등록된 댓글이 없습니다.
76. 펌프의 양수량이 60m3/min이고 전양정이 20m일 때, 벌류트 펌프로 구동할 경우 필요한 동력(kW)은 얼마인가? (단, 물의 비중량은 9800 N/m3이고, 펌프의 효율은 60%로 한다.)
- ① 196.1
- ② 200.2
- ③ 326.7
- ④ 405.8
시나브로2023. 8. 25. 13:04삭제
동력(kW)=(비중량x유량x전양정)/(102x효율x60)
1000x60x20 / 102x0.6x60 = 326.797 =326.8
강수2023. 4. 21. 13:36삭제
1kg=9.8N, 9800N=1000kg
Lw=1000kg*9.8m/s2* 60m3/min*1min/60s*20m/0.6=326666[W]=326.7[kW]
77. 다음 중 주철관 이음에 해당되는 것은?
- ① 납땜 이음
- ② 열간 이음
- ③ 타이튼 이음
- ④ 플라스턴 이음
또다르노2025. 8. 6. 18:33삭제
해설과 답이 달라요
78. 전기가 정전되어도 계속하여 급수를 할 수 있으며 급수오염 가능성이 적은 급수방식은?
- ① 압력탱크 방식
- ② 수도직결 방식
- ③ 부스터 방식
- ④ 고가탱크 방식
등록된 댓글이 없습니다.
79. 도사가스의 공급설비 중 가스 홀더의 종류가 아닌 것은?
- ① 유수식
- ② 중수식
- ③ 무수식
- ④ 고압식
공조냉동기계기사2024. 5. 20. 20:17삭제
ㅎㅅ 79
80. 강관의 두께를 선정할 때 기준이 되는 것은?
- ① 곡률반경
- ② 내경
- ③ 외경
- ④ 스케줄번호
등록된 댓글이 없습니다.