에너지관리기사(2022. 3. 5.) 시험일자 : 2022년 3월 5일
1과목 : 연소공학
1. 보일러 등의 연소장치에서 질소산화물(NOX)의 생성을 억제할 수 있는 연소 방법이 아닌 것은?
- ① 2단 연소
 - ② 저산소(저공기비) 연소
 - ③ 배기의 재순환 연소
 - ④ 연소용 공기의 고온 예열
 
등록된 댓글이 없습니다.
2. 다음 중 연료 연소 시 최대탄산가스농도(CO2 max) 가 가장 높은 것은?
- ① 탄소
 - ② 연료유
 - ③ 역청탄
 - ④ 코크스로가스
 
등록된 댓글이 없습니다.
3. 체적비로 메탄이 15%, 수소가 30%, 일산화탄소가 55%인 혼합기체가 있다. 각각의 폭발 상한계가 다음 표와 같을 때, 이 기체의 공기 중에서 폭발 상한계는 약 몇 vol% 인가?

- ① 46.7
 - ② 45.1
 - ③ 44.3
 - ④ 42.5
 
12024. 12. 29. 14:06삭제
연소 상한계(UFL : Upper Flammability Limit) 
100/UFL = ∑(V/L)
100/UFL = (15/15)+(30/75)+(55/74)
강수2023. 8. 13. 00:47삭제
100/L=15%/15+30%/75+55%/74
4. 어떤 고체연료를 분석하니 중량비로 수소 10%, 탄소 80%, 회분 10% 이었다. 이 연료 100kg을 완전연소시키기 위하여 필요한 이론공기량은 약 몇 Nm3 인가?
- ① 206
 - ② 412
 - ③ 490
 - ④ 978
 
12024. 4. 8. 08:31삭제
Ao=(1.867*0.8+5.6*0.1)/0.21*100=977.9
엑하누조2024. 4. 1. 20:30삭제
1.867c+5.6h+0.7s
강수2023. 8. 13. 01:03삭제
중량비이므로 10kg수소, 80kg탄소,  56+149.33=205.33 산소, 205.33/0.21=977.77
5. 점화에 대한 설명으로 틀린 것은?
- ① 연료가스의 유출속도가 너무 느리면 실화가 발생한다.
 - ② 연소실의 온도가 낮으면 연료의 확산이 불량해진다.
 - ③ 연료의 예열온도가 낮으면 무화불량이 발생한다.
 - ④ 점화시간이 늦으면 연소실 내로 역화가 발생한다.
 
등록된 댓글이 없습니다.
6. 고체연료의 일반적인 특징에 대한 설명으로 틀린 것은?
- ① 회분이 많고 발열량이 적다.
 - ② 연소효율이 낮고 고온을 얻기 어렵다.
 - ③ 점화 및 소화가 곤란하고 온도조절이 어렵다.
 - ④ 완전연소가 가능하고 연료의 품질이 균일하다.
 
등록된 댓글이 없습니다.
7. 등유, 경유 등의 휘발성이 큰 연료를 접시모양의 용기에 넣어 증발 연소시키는 방식은?
- ① 분해 연소
 - ② 확산 연소
 - ③ 분무 연소
 - ④ 포트식 연소
 
등록된 댓글이 없습니다.
8. 액체 연소장치 중 회전식 버너의 일반적인 특징으로 옳은 것은?
- ① 분사각은 20~50° 정도이다.
 - ② 유량조절범위는 1:3 정도이다.
 - ③ 사용 유압은 30~50kPa 정도이다.
 - ④ 화염이 길어 연소가 불안정하다.
 
에관기박사2025. 8. 5. 23:05삭제
다른 회차(07년도 2회차)에서는 
(사용 유압은 0.3~0.5kg/cm2 정도이다 )가 보기 정답으로 나왔었음
r2024. 1. 20. 20:02삭제
1.분사각은 30~60
2. 조절범위는 1:2
4.화염이길어 연소가 안정적이다
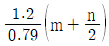
9. CmHn 1 Nm3를 공기비 1.2로 연소시킬 때 필요한 실제 공기량은 약 몇 Nm3 인가?
- ① 

 - ② 

 - ③ 

 - ④ 

 
풍무동2025. 5. 24. 10:43삭제
 (m+n/2)O2 => (m+n/4)O2로 수정해야 함.
(2m+n/2)O = (m+n/4)O2
풍무동2025. 5. 24. 10:37삭제
CmHn + (m+n/2)O2 -> mCO2 + n/2H2O
실제공기량=이론공기량x1.2에서
이론공기량 = (m+n/4)/0.21  따라서 
실제공기량= 1.2/0.21 x (m+n/4)
10. 메탄올(CH3OH) 1kg을 완전연소 하는데 필요한 이론공기량은 약 몇 Nm3인가?
- ① 4.0
 - ② 4.5
 - ③ 5.0
 - ④ 5.5
 
12024. 4. 6. 17:27삭제
CH3OH +1.5O2→CO2+2H2O
32      : 1.5*22.4
1        : Oo=1.5*22.4/32=1.05
Ao=Oo/0.21=1.05/0.21=5
양sp2023. 3. 1. 13:34삭제
2CH3OH + 3O2 ==> 2CO2+4H2O 
2CH3OH 64kg
3/0.21 × 22.4 =320
320/64 =5
11. 중량비가 C:87%, H:11%, S:2%인 중유를 공기비 1.3으로 연소할 때 건조배출가스 중 CO2의 부피비는 약 몇 % 인가?
- ① 8.7
 - ② 10.5
 - ③ 12.2
 - ④ 15.6
 
12024. 4. 8. 09:33삭제
CO2의 부피비=CO2/Gd=1.867*C /(m-0.21)Ao+1.867*C+0.7S
                  =1.867*C /(m-0.21)*(1.867C+5.6H)0.21+1.867*C+0.7S
                  =1.867*0.87 /(1.3-0.21)*(1.867*0.87+5.60*0.11)0.21+1.867*0.87+0.7*0.02
                  =0.1224=12.24%
강수2023. 8. 13. 13:23삭제
산소=1.624+0.616+0.014=2.254, A0=10.733, A=A0*1.3=13.95
연소생성물=1.624+0.014=1.638 (물제외)
연소생성물+질소+과잉공기=1.638+8.479+3.22=13.337
1.624/13.337=0.1217->%12.2%
12. 액체의 인화점에 영향을 미치는 요인으로 가장 거리가 먼 것은?
- ① 온도
 - ② 압력
 - ③ 발화지연시간
 - ④ 용액의 농도
 
등록된 댓글이 없습니다.
13. 고위발열량이 37.7MJ/kg인 연료 3kg이 연소할 때의 저위발열량은 몇 MJ인가? (단, 이 연료의 중량비는 수소 15%, 수분 1% 이다.)
- ① 52
 - ② 103
 - ③ 184
 - ④ 217
 
에관기박사2025. 7. 23. 23:19삭제
원래식은 Hl=Hh-600(9H+W) 이나, 이 공식은 kcal/kg 일때 적용되므로, 문제의 MJ/kg 기준으로 바꾸면. hl=Hh-2.51(9H+W) 로 바꿔야한다.(1MJ=239Kcal)
Hl= 37.7-2.51(9*0.15+0.01)= 34.2846
이것이 3kg 이므로 곱하기3하면, 약 103MJ/kg 이 나온다
ㅇ2025. 1. 24. 16:12삭제
저위발열량 Hl=Hh-2.9(9H+W)
Hl=37.7-2.9(9*0.15 + 0.01) * 3Kg = 102.9
12024. 4. 8. 15:29삭제
Hl=Hh-600(9H+W)={37.7*10^3-600*4.2(9*0.15+0.01)}*3=102818.4 KJ/kg
≒103 MJ/kg
14. 다음 중 고속운전에 적합하고 구조가 간단하며 풍량이 많아 배기 및 환기용으로 적합한 송풍기는?
- ① 다익형 송풍기
 - ② 플레이트형 송풍기
 - ③ 터보형 송풍기
 - ④ 축류형 송풍기
 
등록된 댓글이 없습니다.
15. 통풍방식 중 평형통풍에 대한 설명으로 틀린 것은?
- ① 통풍력이 커서 소음이 심하다.
 - ② 안정한 연소를 유지할 수 있다.
 - ③ 노내 정압을 임의로 조절할 수 있다.
 - ④ 중형 이상의 보일러에는 사용할 수 없다.
 
ㄱ2024. 1. 20. 20:05삭제
평형통풍 방식은 중형이상 보일러에 사용가능한 것이다
16. 저위발열량 7470kJ/kg의 석탄을 연소시켜 13200 kg/h의 증기를 발생시키는 보일러의 효율은 약 몇 % 인가? (단, 석탄의 공급은 6040 kg/h이고, 증기의 엔탈피는 3107 kJ/kg, 급수의 엔탈피는 96kJ/kg 이다.)
- ① 64
 - ② 74
 - ③ 88
 - ④ 94
 
에관기박사2025. 7. 23. 23:32삭제
입열량 : 7470kj/kg * 6040kg/h = 45118800kj/h
출열량 : 13200kg/h * (3107-96)kj/kg = 39745200kj/h
효율 = (39745200 / 45118800) * 100 = 88.1
12024. 4. 9. 08:38삭제
보일러의 효율(η)=Ga(h2-h1)/Gf*Hl=13200 ( 3107-96)/6040*7470=0.88
17. 불꽃연소(flaming combustion)에 대한 설명으로 틀린 것은?
- ① 연소속도가 느리다.
 - ② 연쇄반응을 수반한다.
 - ③ 연소사면체에 의한 연소이다.
 - ④ 가솔린의 연소가 이에 해당한다.
 
r2024. 1. 20. 20:07삭제
불꽃연소는 연소속도가 매우빠르다
18. 폭굉 유도거리(DID)가 짧아지는 조건으로 틀린 것은?
- ① 관지름이 크다.
 - ② 공급압력이 높다.
 - ③ 관 속에 방해물이 있다.
 - ④ 연소속도가 큰 혼합가스이다.
 
ㄱ2024. 1. 20. 20:07삭제
관지름이 작을수록 유도거리가 짧아진다
19. 버너에서 발생하는 역화의 방지대책과 거리가 먼 것은?
- ① 버너 온도를 높게 유지한다.
 - ② 리프트 한계가 큰 버너를 사용한다.
 - ③ 다공 버너의 경우 각각의 연료분출구를 작게 한다.
 - ④ 연소용 공기를 분할 공급하여 1차공기를 착화범위보다 적게 한다.
 
ㄱ2024. 1. 20. 20:08삭제
버너온도와 역화는 큰상관이 없다
20. 다음 기체 연료 중 단위질량당 고위발열량이 가장 큰 것은?
- ① 메탄
 - ② 수소
 - ③ 에탄
 - ④ 프로판
 
에관기박사2025. 8. 8. 07:27삭제
고위발열량이 가장큰것은 프로판이지만,
단위질량당으로 보면 가장 가벼운 수소가 가장큼
2과목 : 열역학
21. 순수물질로 된 밀폐계가 가역단열 과정 동안 수행한 일의 양과 같은 것은? (단, U는 내부에너지, H는 엔탈피, Q는 열량이다.)
- ① -△H
 - ② -△U
 - ③ 0
 - ④ Q
 
등록된 댓글이 없습니다.
22. 물체의 온도 변화 없이 상(phase, 相) 변화를 일으키는데 필요한 열량은?
- ① 비열
 - ② 점화열
 - ③ 잠열
 - ④ 반응열
 
등록된 댓글이 없습니다.
23. 다음 중 포화액과 포화증기의 비엔트로피 변화에 대한 설명으로 옳은 것은?
- ① 온도가 올라가면 포화액의 비엔트로피는 감소하고 포화증기의 비엔트로피는 증가한다.
 - ② 온도가 올라가면 포화액의 비엔트로피는 증가하고 포화증기의 베엔트로피는 감소한다.
 - ③ 온도가 올라가면 포화액과 포화증기의 비엔트로피는 감소한다.
 - ④ 온도가 올라가면 포화액과 포화증기의 비엔트로피는 증가한다.
 
자격증합격2024. 5. 9. 09:57삭제
해설에 "온도가 올라가면 포화액과 포화증기의 비엔트로피는 증가한다." 4번이 정답인 것 같은데요.
24. 다음 중 과열증기(superheated steam)의 상태가 아닌 것은?
- ① 주어진 압력에서 포화증기 온도보다 높은 온도
 - ② 주어진 비체적에서 포화증기 압력보다 높은 압력
 - ③ 주어진 온도에서 포화증기 비체적보다 낮은 비체적
 - ④ 주어진 온도에서 포화증기 엔탈피보다 낮은 엔탈피
 
칼마황2025. 8. 14. 15:10삭제
24. 다음 중 과열증기(superheated steam)의 상태가 아닌 것은?
① 주어진 압력에서 포화증기 온도보다 높은 온도
② 주어진 비체적에서 포화증기 압력보다 높은 압력
③ 주어진 온도에서 포화증기 비체적보다 낮은 비체적
④ 주어진 온도에서 포화증기 엔탈피보다 높은 엔탈피
산그린2025. 4. 24. 18:14삭제
선택4번 오류있음 : 4번 :큰 엔탈피,
고로, 온도,압력, 비체적, 엔탈피 모두 크다(높다)
25. 400K, 1MPa 의 이상기체 1 kmol이 700K, 1MPa으로 정압팽창할 때 엔트로피 변화는 약 몇 kJ/K 인가? (단, 정압비열은 28 kJ/kmol·K 이다.)
- ① 15.7
 - ② 19.4
 - ③ 24.3
 - ④ 39.4
 
ㅇ2025. 1. 24. 16:33삭제
△S=GC*ln(T2/T1)=1*28*ln(700/400)
=15.66
12022. 4. 21. 23:15삭제
Cp Ln (T2 / T1)
26. 체적이 일정한 용기에 400kPa 의 공기 1kg이 들어있다. 용기에 달린 밸브를 열고 압력이 300kPa이 될 때까지 대기 속으로 공기를 방출하였다. 용기 내의 공기가 가역단열 변화라면 용기에 남아있는 공기의 질량은 약 몇 kg 인가? (단, 공기의 비열비는 1.4 이다.)
- ① 0.614
 - ② 0.714
 - ③ 0.814
 - ④ 0.914
 
산그린2025. 4. 24. 18:31삭제
m2=m1*(p2/p1)*(1/K)=1*(300/400)^(1/1.4)=0.8143
ㅇㅇ2023. 9. 13. 07:07삭제
가역단열변화에서, P2/P1 = (v1/v2)^k   이고 v(비체적은) 부피/질량인데 부피가 일정하므로 이를 대입하면 P2/P1 = (m2/m1)^k   이 성립하므로 m2를 구할수있습니다.
27. 다음 중 이상기체에 대한 식으로 옳은 것은? (단, 각 기호에 대한 설명은 아래와 같다.)

- ① 

 - ② 

 - ③ 

 - ④ 

 
흰쏘랭이2025. 7. 19. 22:13삭제
Cp-Cv=R
Cp/Cv=K, Cp=Cv*K, Cv*K-Cv=R, Cv*(K-1)=R, Cv=R/K-1
풍무동2025. 5. 24. 21:30삭제
Cp=Cv+R => Cp/Cv=Cv/Cv+R/Cv (양변에 Cv로 나누어 주면)
k(Cp/Cv)=1+R/Cv => k-1=R/Cv => (k-1)Cv=R  따라서 Cv=R/(k-1)
28. 밀폐된 피스톤-실린더 장치 안에 들어 있는 기체가 팽창을 하면서 일을 한다. 압력 P[MPa]와 부피 V[L]의 관계가 아래와 같을 때, 내부에 있는 기체의 부피가 5L에서 두배로 팽창하는 경우 이 장치가 외부에 한 일은 약 몇 kJ 인가? (단, a = 3 MPa/L2,b = 2 MPa/L, c = 1 MPa)

- ① 4175
 - ② 4375
 - ③ 4575
 - ④ 4775
 
산그린2025. 4. 28. 11:08삭제
계산기 적분식 누르면 되네요. 
    10
5 s  (5x^2+ 2x + 1) dx =
    5
29. 다음 중 열역학 제2법칙에 대한 설명으로 틀린 것은?
- ① 에너지 보존에 대한 법칙이다.
 - ② 제2종 영구기관은 존재할 수 없다.
 - ③ 고립계에서 엔트로피는 감소하지 않는다.
 - ④ 열은 외부 동력 없이 저온체에서 고온체로 이동할 수 없다.
 
등록된 댓글이 없습니다.
30. 이상기체의 단위 질량당 내부에너지 u, 비엔탈피 h, 비엔트로피 s에 관한 다음의 관계식 중에서 모두 옳은 것은? (단, T는 온도, p는 압력, v는 비체적을 나타낸다.)
- ① Tds = du – vdp, Tds = dh - pdv
 - ② Tds = du + pdv, Tds = dh - vdp
 - ③ Tds = du – vdp, Tds = dh + pdv
 - ④ Tds = du + pdv, Tds = dh + vdp
 
등록된 댓글이 없습니다.
31. 폴리트로픽 과정에서의 지수(polytripic index)가 비열비와 같을 때의 변화는?
- ① 정적변화
 - ② 가역단열변화
 - ③ 등온변화
 - ④ 등압변화
 
산그린2025. 4. 28. 11:55삭제
n= 0,   1,   k,  무한
     압  온   단   적
ㄱ2024. 1. 20. 20:15삭제
폴리트포픽지수 = 가역단열
32. 체적 0.4m3인 단단한 용기 안에 100℃의 물 2kg이 들어있다. 이 물의 건도는 얼마인가? (단, 100℃의 물에 대해 포화수 비체적 vf=0.00104 m3/kg, 건포화증기 비체적 vg=1.672 m3/kg 이다.)
- ① 11.9%
 - ② 10.4%
 - ③ 9.9%
 - ④ 8.4%
 
풍무동2025. 5. 25. 14:04삭제
건포화증기 무게 = 부피 (0.4) / 건포화증기비체적 (1.672) = 0.239kg
건도 = 건포화증기 무게 (0.239 kg) / 물의무게 (2kg) = 0.1195 
따라서 11.95%
..2025. 2. 23. 17:54삭제
X= ((0.4/2)-0.00104)/(1.672-0.00104)=0.119
강수2023. 8. 14. 02:06삭제
0.4/2=(1-x)*0.00104+x*1.672
33. 그림과 같은 브레이튼 사이클에서 열효율(η)은? (단, P는 압력, v는 비체적이며, T1, T2, T3, T4는 각각의 지점에서의 온도이다. 또한, qin과 qout은 사이클에서 열이 들어오고 나감을 의미한다.)

- ① 

 - ② 

 - ③ 

 - ④ 

 
등록된 댓글이 없습니다.
34. 역카르노 사이클로 작동하는 냉동사이클이 있다. 저온부가 –10℃, 고온부가 40℃로 유지되는 상태를 A상태라고 하고, 저온부가 0℃, 고온부가 50℃로 유지되는 상태를 B상태라 할 때, 성능계수는 어느 상태의 냉동사이클이 얼마나 더 높은가?
- ① A상태의 사이클이 0.8만큼 더 높다.
 - ② A상태의 사이클이 0.2만큼 더 높다.
 - ③ B상태의 사이클이 0.8만큼 더 높다.
 - ④ B상태의 사이클이 0.2만큼 더 높다.
 
칼마황2025. 8. 14. 15:41삭제
A상태 : 저온부 –10℃+273=263K 고온부 40℃+273=313K
B상태 : 저온부 0℃+273=273K 고온부 50℃+273=323K
A상태 : 263 / 313-263=5.26
B상태 : 273 / 323-273=5.46
B상태의 사이클이 0.2만큼 더 높다.
35. 가솔린 기관의 이상 표준사이클인 오토 사이클(Otto cycle)에 대한 설명 중 옳은 것을 모두 고른 것은?

- ① ㄱ, ㄴ
 - ② ㄱ, ㄷ
 - ③ ㄴ, ㄷ
 - ④ ㄱ, ㄴ, ㄷ
 
12025. 1. 14. 11:22삭제
오토사이클(Otto Cycle)은 전기점화기관(가솔린 기관)의 이상 사이클로 가열과정(폭발)은 정적하에서, 동력이 발생되는 팽창과정은 단열상태에서 이루어진다.
압축비가 클수록 열효율은 증가하므로 열효율은 압축비의 함수이다
36. 다음과 같은 특징이 있는 냉매의 특징은?

- ① R-12
 - ② R-22
 - ③ R-134a
 - ④ NH3
 
등록된 댓글이 없습니다.
37. 압축기에서 냉매의 단위 질량당 압축하는데 요구되는 에너지가 200 kJ/kg 일 때, 냉동기에서 냉동능력 1kW당 냉매의 순환량은 약 몇 kg/h 인가? (단, 냉동기의 성능계수는 5.0 이다.)
- ① 1.8
 - ② 3.6
 - ③ 5.0
 - ④ 20.0
 
.2025. 2. 23. 17:59삭제
(1×3600)/(200×5) = 3.6
ㅇ2025. 1. 25. 09:26삭제
COPR=Q2/W 에서 
냉동력 Q2=COPR*W = 5*200 = 1000[KJ/Kg]
냉매순환량 1KW = 3600 [ KJ/h]
냉매순환량= 냉동능력/냉동력 = 1*3600 / 1000 = 3.6 Kg/h
Pass2024. 2. 12. 16:45삭제
3600/200*0.5
ㅇㅇ2023. 9. 13. 07:12삭제
성능계수 = 냉동능력 / W(해준일, 문제에서 말하는 요구되는 에너지)   이므로, 문제로부터 성능계수는5 , 냉동능력은 1 인것을 압니다.  이때 W란 200*냉매순환량*(1/3600)  [kw] 로 표현할수있습니다.
38. 40m3의 실냉에 있는 공기의 질량은 약 몇 kg 인가? (단, 공기의 압력은 100kPa, 온도는 27℃ 이며, 공기의 기체상수는 0.287 kJ/kg·K 이다.)
- ① 93
 - ② 46
 - ③ 10
 - ④ 2
 
산그린2025. 4. 29. 09:52삭제
표준상태에서 공기 1m^3의 질양은 1.295, 약, 1.3Kg 입니다. 온도 압력이 표준상태는 아니지만 객관식은
그냥 풀어서 40*1.3=52 이니... 
굳이 ,  40*1.295       *273/(273+27)  *100/101.325
.2025. 2. 23. 18:03삭제
(40×100)/((0.287×(273+27)) = 46.458
39. 동일한 최고 온도, 최저 온도 사이에 작동하는 사이클 중 최대의 효율을 나타내는 사이클은?
- ① 오토 사이클
 - ② 디젤 사이클
 - ③ 카르노 사이클
 - ④ 브레이튼 사이클
 
등록된 댓글이 없습니다.
40. 랭킨(Rankine) 사이클에서 응축기의 압력을 낮출 때 나타나는 현상으로 옳은 것은?
- ① 이론 열효율이 낮아진다.
 - ② 터빈 출구의 증기건도가 낮아진다.
 - ③ 응축기의 포화온도가 높아진다.
 - ④ 응축기내의 절대압력이 증가한다.
 
블랙대디2023. 3. 7. 10:08삭제
응축기의 압력이 낮아지면 터빈 출구의 증기건도가 낮아지며, 습기가 증가한다.
그래서 터빈 출구부에 부식문제가 생긴다.
1.배출열량이 작아지고, 이론 열효율이 높아진다.
2.응축기의 포화온도가 낮아진다.
3.티빈에서의 엔탈피 낙차가 커진다.
3과목 : 계측방법
41. 다음 가스 분석법 중 흡수식인 것은?
- ① 오르자트법
 - ② 밀도법
 - ③ 자기법
 - ④ 음향법
 
등록된 댓글이 없습니다.
42. 상온, 1기압에서 공기유속을 피토관으로 측정할 때 동압이 100mmAq 이면 유속은 약 몇 m/s 인가? (단, 공기의 밀도는 1.3 kg/m3 이다.)
- ① 3.2
 - ② 12.3
 - ③ 38.8
 - ④ 50.5
 
ㅇ2025. 1. 24. 21:51삭제
동압 100[mmAq]는 100[kgf/m^2]과 같고 피토관 계수 C는 1을 적용
V=C√2g*(P/ɤ)= 1* √ 2 * 9.8 * 100/1.3 = 38.829
ㅇㅇ2023. 9. 15. 14:29삭제
피토관은 베르누이 법칙을 이용합니다. 전 과 후 두지점으로 나누었을때, 동압이란 전 에서는 유체의 속도로 , 후 에서는 유체기둥으로 나타납니다. 따라서 동압이 100mm 의 물기둥 으로 주어졌으므로 이는 (100*10^-3)(9.81)(1000)=981pa 이고 이값이 전의 공기의 속도압과 같습니다 = (1.3)*(v^2)  / 2 
양sp2023. 3. 1. 15:35삭제
고체 압력 = 중량/면적
유체 P = 비중량 kgf/m3 × 높이 m
1 atm = 10332mmAg(H2O) = 10332 kgf/m2
Root ( 2 × 9.8 m/s2 × 100 kg/m2 / 1.3 kg/m3)
Root ( 1507.7 m2/s2) = 38.83 m/s
산물처럼2022. 10. 2. 00:03삭제
정압=101325pa 동압=100mmH2O=980.69pa 공식대입 v=38.84m/s
43. 유량 측정에 쓰이는 탭(tap)방식이 아닌 것은?
- ① 베나 탭
 - ② 코너 탭
 - ③ 압력 탭
 - ④ 플랜지 탭
 
등록된 댓글이 없습니다.
44. 보일러의 자동제어에서 제어장치의 명칭과 제어량의 연결이 잘못된 것은?
- ① 자동연소 제어장치 - 증기압력
 - ② 자동급수 제어장치 - 보일러수위
 - ③ 과열증기온도 제어장치 - 증기온도
 - ④ 캐스케이드 제어장치 – 노내압력
 
에관기박사2025. 8. 8. 08:13삭제
캐스케이드는 보통 수위, 증기온도 제어용
45. 측정하고자 하는 상태량과 독립적 크기를 조정할 수 있는 기준량과 비교하여 측정, 계측하는 방법은?
- ① 보상법
 - ② 편위법
 - ③ 치환법
 - ④ 영위법
 
등록된 댓글이 없습니다.
46. 다음 비례-적분동작에 대한 설명에서 ( ) 안에 들어갈 알맞은 용어는?

- ① 오프셋
 - ② 빠른 응답
 - ③ 지연
 - ④ 외란
 
ㅇ2025. 1. 14. 11:35삭제
잔류편차(Off set)
47. 안지름 1000mm의 원통형 물탱크에서 안지름 150mm인 파이프로 물을 수송할 때 파이프의 평균 유속이 3m/s 이었다. 이 때 유량(Q)과 물탱크 속의 수면이 내려가는 속도(V)는 약 얼마인가?
- ① Q = 0.053 m3/s, V = 6.75 cm/s
 - ② Q = 0.831 m3/s, V = 6.75 cm/s
 - ③ Q = 0.053 m3/s, V = 8.31 cm/s
 - ④ Q = 0.831 m3/s, V = 8.31 cm/s
 
꼬꼬쪼꼬2022. 9. 19. 05:08삭제
Q = A1×V1
    = ((3.14 × 0.15^2)/4 ) × 3
    = 0.053 m3/s
Q = A2×V2
0.053 = ((3.14×1^2)/4) × V2
V2 = 0.0675 m/s
      = 6.75 cm/s
48. 램 실린더, 기름탱크, 가압펌프 등으로 구성되어 있으며 탄성식 압력계의 일반교정용으로 주로 사용되는 압력계는?
- ① 분동식 압력계
 - ② 격막식 압력계
 - ③ 침종식 압력계
 - ④ 벨로스식 압력계
 
등록된 댓글이 없습니다.
49. 다음 측정관련 용어에 대한 설명으로 틀린 것은?
- ① 측정량 : 측정하고자 하는 양
 - ② 값 : 양의 크기를 함께 표현하는 수와 기준
 - ③ 제어편차 : 목표치에 제어량을 더한 값
 - ④ 양 : 수와 기준으로 표시할 수 있는 크기를 갖는 현상이나 물체 또는 물질의 성질
 
에관기박사2025. 7. 24. 01:26삭제
제어편차는 목표치와 실제 제어량의 차이
50. 부자식(float) 면적 유량계에 대한 설명으로 틀린 것은?
- ① 압력손실이 적다.
 - ② 정밀측정에는 부적합하다.
 - ③ 대유량의 측정에 적합하다.
 - ④ 수직배관에만 적용이 가능하다.
 
에관기박사2025. 7. 24. 01:28삭제
플로트(부자식) 면적유량계는 고정밀, 대유량에는 부적합
r2024. 1. 23. 09:56삭제
부자식은 대유량 측정에 적합하지 않다 
51. 액주식 압력계에 필요한 액체의 조건으로 틀린 것은?
- ① 점성이 클 것
 - ② 열팽창계수가 작을 것
 - ③ 성분이 일정할 것
 - ④ 모세관현상이 작을 것
 
r2024. 1. 20. 20:33삭제
1. 점섬이 작을것
52. 서미스터의 재질로서 적합하지 않은 것은?
- ① Ni
 - ② Co
 - ③ Mn
 - ④ Pb
 
등록된 댓글이 없습니다.
53. 저항식 습도계의 특징으로 틀린 것은?
- ① 저온도의 측정이 가능하다.
 - ② 응답이 늦고 정밀도가 좋지 않다.
 - ③ 연속기록, 원격측정, 자동제어에 이용된다.
 - ④ 교류전압에 의하여 저항치를 측정하여 상대습도를 표시한다.
 
등록된 댓글이 없습니다.
54. 가스미터의 표준기로도 이용되는 가스미터의 형식은?
- ① 오벌형
 - ② 드럼형
 - ③ 다이어프램형
 - ④ 로터리 피스톤형
 
등록된 댓글이 없습니다.
55. 물체의 온도를 측정하는 방소고온계에서 이용하는 원리는?
- ① 제백 효과
 - ② 필터 효과
 - ③ 원-프랑크의 법칙
 - ④ 스테판-볼츠만의 법칙
 
칼마황2025. 8. 14. 15:55삭제
55. 물체의 온도를 측정하는 방사고온계에서 이용하는 원리는?
sigong2023. 4. 23. 21:02삭제
오타: 방사온도계
56. 자동제어의 특성에 대한 설명으로 틀린 것은?
- ① 작업능률이 향상된다.
 - ② 작업에 따른 위험 부담이 감소된다.
 - ③ 인건비는 증가하나 시간이 절약된다.
 - ④ 원료나 연료를 경제적으로 운영할 수 있다.
 
등록된 댓글이 없습니다.
57. 1000℃ 이상인 고온인 노 내 온도측정을 위해 사용되는 온도계로 가장 적합하지 않은 것은?
- ① 제겔콘(seger cone) 온도계
 - ② 백금저항온도계
 - ③ 방사온도계
 - ④ 광고온계
 
에관기박사2025. 8. 8. 09:04삭제
백금저항온도계
안정적이고 정민측정 가능하나, 최고온도 600도 정도
58. 내열성이 우수하고 산화분위기 중에서도 강하며, 가장 높은 온도까지 측정이 가능한 열전대의 종류는?
- ① 구리-콘스탄탄
 - ② 철-콘스탄탄
 - ③ 크로멜-알루멜
 - ④ 백금-백금·로듐
 
등록된 댓글이 없습니다.
59. 열전대 온도계에 대한 설명으로 틀린 것은?
- ① 보호관 선택 및 유지관리에 주의한다.
 - ② 단자의 (+)와 보상도선의 (-)를 결선해야 한다.
 - ③ 주위의 고온체로부터 복사열의 영향으로 인한 오차가 생기지 않도록 주의해야 한다.
 - ④ 열전대는 측정하고자 하는 곳에 정확히 삽입하여 삽입한 구멍을 통하여 냉기가 들어가지 않게 한다.
 
칼마황2025. 8. 14. 15:58삭제
단자의 (+) (-) 는 각각 회로의 (+) (-) 에 연결해야 한다.
ㄱ2024. 1. 20. 20:35삭제
2번 같은극끼리 결선한다
60. 압력센서인 스트레인게이지의 응용원리로 옳은 것은?
- ① 온도의 변화
 - ② 전압의 변화
 - ③ 저항의 변화
 - ④ 금속선의 굵기 변화
 
에관기박사2025. 7. 24. 01:41삭제
스트레인게이지 :
압력이 가해지면 다이어프램이 미세하게 변형되고, 이 변형에 따라 스트레인 게이지의 저항값이 변함
저항값이 전기적 신호 변화로 변환되어 압력을 계산함
4과목 : 열설비재료 및 관계법규
61. 다음 중 중성내화물에 속하는 것은?
- ① 납석질 내화물
 - ② 고알루미나질 내화물
 - ③ 반규석질 내화물
 - ④ 샤모트질 내화물
 
칼마황2025. 8. 14. 16:09삭제
내화물--->규납샤점 고탄탄크 마마돌포
-산성: 규 납 샤 점
-중성: 고 탄 탄 크
-염기성: 마 마 돌 포
-산성: 규석, 납석, 샤모트, 점토
-중성: 고알루미나, 탄화규소, 탄소, 크롬
-염기성: 마그네시아, 마그네시아-크롬, 돌로마이트, 포스테라이트
62. 에너지이용 합리화법령상 검사대상기기에 대한 검사의 종류가 아닌 것은?
- ① 계속사용검사
 - ② 개방검사
 - ③ 개조검사
 - ④ 설치장소 변경검사
 
등록된 댓글이 없습니다.
63. 에너지이용 합리화법령상 규정된 특정열사용 기자재 품목이 아닌 것은?
- ① 축열식 전기보일러
 - ② 태양열 집열기
 - ③ 철금속 가열로
 - ④ 용광로
 
에관기박사2025. 8. 8. 09:24삭제
용광로 -> 용선로
64. 회전 가마(rotary kiln)에 대한 설명으로 틀린 것은?
- ① 일반적으로 시멘트, 석회석 등의 소성에 사용된다.
 - ② 온도에 따라 소성대, 가소대, 예열대, 건조대 등으로 구분된다.
 - ③ 소성대에는 황산염이 함유된 클링커가 용융되어 내화벽돌을 침식시킨다.
 - ④ 시멘트 클링커의 제조방벙베 따라 건식법, 습식법, 반건식법으로 분류된다.
 
ㄱ2024. 1. 20. 20:47삭제
소성대는 황산염이 함유된 클링커가 용융될수 없다
65. 에너지이용 합리화법령상 검사대상기기관리자를 해임한 경우 한국에너지공단 이사장에게 그 사유가 발생한 날부터 신고해야하는 기간은 며칠 이내인가? (단, 국방부장관이 관장하고 있는 검사대상기기관리자는 제외한다.)
- ① 7일
 - ② 10일
 - ③ 20일
 - ④ 30일
 
등록된 댓글이 없습니다.
66. 강관 이음 방법이 아닌 것은?
- ① 나사이음
 - ② 용접이음
 - ③ 플랜지이음
 - ④ 플레어이음
 
에관기박사2025. 7. 24. 02:05삭제
플레어이음은 동관(에어컨 냉매라인) 또는 알루미늄관에 쓰인다. 강관에 절대 사용 안함
sigong2023. 4. 26. 09:33삭제
플레어이음: 동관
67. 다이어프램 밸브(diaphragm valve)의 특징이 아닌 것은?
- ① 유체의 흐름이 주는 영향이 비교적 적다.
 - ② 기밀을 유지하기 위한 패킹이 불필요하다.
 - ③ 주된 용도가 유체의 역류를 방지하기 위한 것이다.
 - ④ 산 등의 화학 약품을 차단하는데 사용하는 밸브이다.
 
1일의 전사2025. 5. 17. 15:44삭제
역류방지는 체크밸브
68. 연속가마, 반연속가마, 불연속가마의 구분 방식은 어떤 것인가?
- ① 온도상승속도
 - ② 사용목적
 - ③ 조업방식
 - ④ 전열방식
 
등록된 댓글이 없습니다.
69. 다음 보온재 중 최고 안전 사용온도가 가장 낮은 것은?
- ① 유리섬유
 - ② 규조토
 - ③ 우레탄 폼
 - ④ 펄라이트
 
1일의 전사2025. 5. 17. 15:44삭제
우레탄 폼은 유기물 보온재라서 최고사용온도가 비교적 낮음
70. 윤요(ring kiln)에 대한 일반적인 설명으로 옳은 것은?
- ① 종이 칸막이가 있다.
 - ② 열효율이 나쁘다.
 - ③ 소성이 균일하다.
 - ④ 석회소성용으로 사용된다.
 
등록된 댓글이 없습니다.
71. 에너지이용 합리화법령상 에너지절약전문기업의 사업이 아닌 것은?
- ① 에너지사용시설의 에너지절약을 위한 관리·용역사업
 - ② 에너지절약형 시설투자에 관한 사업
 - ③ 신에너지 및 재생에너지원의 개발 및 보급사업
 - ④ 에너지절약 활동 및 성과에 대한 금융상·세제상의 지원
 
등록된 댓글이 없습니다.
72. 에너지이용 합리화법령상 검사대상기기의 계속사용검사 유효기간 만료일이 9월 1일 이후인 경우 계쏙사용검사를 연기할 수 있는 기간 기준은 몇 개월 이내인가?
- ① 2개월
 - ② 4개월
 - ③ 6개월
 - ④ 10개월
 
등록된 댓글이 없습니다.
73. 에너지이용 합리화법에 따라 에너지이용 합리화에 관한 기본계획 사항에 포함되지 않는 것은?
- ① 에너지절약형 경제구조로의 전환
 - ② 에너지이용 합리화를 위한 기술개발
 - ③ 열사용기자재의 안전관리
 - ④ 국가에너지정책목표를 달성하기 위하여 대통령령으로 정하는 사항
 
등록된 댓글이 없습니다.
74. 에너지이용 합리화법령상 시공업단체에 대한 설명으로 틀린 것은?
- ① 시공업자는 산업통상자원부장관의 인가를 받아 시공업자단체를 설립할 수 있다.
 - ② 시공업자단체는 개인으로 한다.
 - ③ 시공업자는 시공업자단체에 가입할 수 있다.
 - ④ 시공업자단체는 시공업에 관한 사업을 정부에 건의할 수 있다.
 
칼마황2025. 8. 14. 16:16삭제
시공업자단체 -->개인X  법인O
75. 에너지이용 합리화법령상 검사대상기기에 해당되지 않는 것은?
- ① 2종 관류보일러
 - ② 정격용량이 1.2MW인 철금속가열로
 - ③ 도시가스 사용량이 300W인 소형온수보일러
 - ④ 최고사용압력이 0.3MPa, 내부 부피가 0.04m3인 2종 압력용기
 
등록된 댓글이 없습니다.
76. 두께 230mm의 내화벽돌이 있다. 내면의 온도가 320℃이고 외면의 온도가 150℃일 때 이 벽면 10m2에서 손실되는 열량(W)은? (단, 내화벽돌의 열전도율은 0.96 W/m·℃ 이다.)
- ① 710
 - ② 1632
 - ③ 7096
 - ④ 14391
 
ㅇ2025. 1. 14. 16:09삭제
열전달율Q=k*A*(△t/△x)  k:열도전율, A:면적, △t:온도차이, △x:두꼐
Q=0,96*10*(320-150)/0.23 = 7095.652
77. 에너지법령상 에너지원별 에너지열량 환산기준으로 총발열량이 가장 낮은 연료는? (단, 1L 기준이다.)
- ① 윤활유
 - ② 항공유
 - ③ B-C유
 - ④ 휘발유
 
에관기박사2025. 7. 24. 02:22삭제
윤활유 39.6
항공유 36.5
b-c유 41.8
휘발유 32.4
https://www.law.go.kr/LSW/lsInfoP.do?lsId=007704&ancYnChk=0#AJAX
딥시크2025. 1. 31. 23:06삭제
윤활유: 약 38.5 MJ/L
항공유: 약 35.1 MJ/L
B-C유: 약 39.6 MJ/L
휘발유: 약 34.2 MJ/L
Skdyseo 2024. 12. 8. 03:37삭제
휘발유 32,2
Skdyseo 2024. 12. 8. 03:37삭제
휘발유 32,2
78. 보온재의 구비조건으로 가장 거리가 먼 것은?
- ① 밀도가 작을 것
 - ② 열전도율이 작을 것
 - ③ 재료가 부드러울 것
 - ④ 내열, 내약품성이 있을 것
 
ㄱ2024. 1. 20. 20:53삭제
재료는 강성이 있어야한다
79. 에너지이용 합리화법령상 연간 에너지사용량이 20만 티오이 이상인 에너지다소비사업자의 사업장이 받아야 하는 에너지진단주기는 몇 년인가? (단, 에너지진단은 전체진단이다.)
- ① 3
 - ② 4
 - ③ 5
 - ④ 6
 
sigong2023. 4. 26. 10:23삭제
20만 티오이 이상 부분진단만 3년
나머지는 5년
80. 감압밸브에 대한 설명으로 틀린 것은?
- ① 작동방식에는 직동식과 파일럿식이 있다.
 - ② 증기용 감압밸브의 유입측에는 안전밸브를 설치하여야 한다.
 - ③ 감압밸브를 설치할 때는 직관부를 호칭경의 10배 이상으로 하는 것이 좋다.
 - ④ 감압밸브를 2단으로 설치할 경우에는 1단의 설정압력을 2단보다 높게 하는 것이 좋다.
 
sigong2023. 4. 26. 10:24삭제
2. 유출측에 안전밸브
5과목 : 열설비설계
81. epm(equivalents per million)에 대한 설명으로 옳은 것은?
- ① 물 1L에 함유되어 있는 불순물의 양을 mg 으로 나타낸 것
 - ② 물 1톤에 함유되어 있는 불순물의 양을 mg 으로 나타낸 것
 - ③ 물 1L 중에 용해되어 있는 물질을 mg 당량수로 나타낸 것
 - ④ 물 1 gallon 중에 함유된 grain의 양을 나타낸 것
 
등록된 댓글이 없습니다.
82. 증기트랩장치에 관한 설명으로 옳은 것은?
- ① 증기관의 도중이나 상단에 설치하여 압력의 급상승 또는 급히 물이 들어가는 경우 다른 곳으로 빼내는 장치이다.
 - ② 증기관의 도중이나 말단에 설치하여 증기의 일부가 응축되어 고여 있을 때 자동적으로 빼내는 장치이다.
 - ③ 보일러 동에 설치하여 드레인을 빼내는 장치이다.
 - ④ 증기관의 도중이나 말단에 설치하여 증기를 함유한 침전물을 분리시키는 장치이다.
 
등록된 댓글이 없습니다.
83. 저온부식의 방지 방법이 아닌 것은?
- ① 과잉공기를 적게 하여 연소한다.
 - ② 발열량이 높은 황분을 사용한다.
 - ③ 연료첨가제(수산화마그네슘)를 이용하여 노점온도를 낮춘다.
 - ④ 연소 배기가스의 온도가 너무 낮지 않게 한다.
 
ㄱ2024. 1. 23. 10:28삭제
황분을 사용하는게 아니라 황이 생산되지 못하게 해야한다
84. 급수처리에서 양질의 급수를 얻을 수 있으나 비용이 많이 들어 보급수의 양이 적은 보일러 또는 선박보일러에서 해수로부터 정수(pure water)를 얻고자 할 때 주로 사용하는 급수처리 방법은?
- ① 증류법
 - ② 여과법
 - ③ 석회소다법
 - ④ 이온교환법
 
ㄱ2024. 1. 20. 20:57삭제
선박보일러에서 해수로부터 정수를 얻는것은 증류법이다
85. 보일러 설치·시공기준상 대형보일러를 옥내에 설치할 때 보일러 동체 최상부에서 보일러실 상부에 있는 구조물까지의 거리는 얼마 이상이어야 하는가? (단, 주철제보일러는 제외한다.)
- ① 60cm
 - ② 1m
 - ③ 1.2m
 - ④ 1.5m
 
등록된 댓글이 없습니다.
86. 보일러에 설치된 과열기의 역할로 틀린 것은?
- ① 포화증기의 압력증가
 - ② 마찰저항 감소 및 관내부식 방지
 - ③ 엔탈피 증가로 증기소비량 감소 효과
 - ④ 과열증기를 만들어 터빈의 효율 증대
 
칼마황2025. 8. 14. 16:27삭제
과열기--->포화증기를 온도만을 높여 과열증기로 만드는 장치
ㄱ2024. 1. 23. 10:29삭제
과열기와 포화증기는 관련이 없다
87. 지름이 d(cm), 두께가 t(cm)인 얇은 두께의 밀폐된 원통 안에 압력 P(MPa)가 작용할 때 원통에 발생하는 원주방향의 인장응력(MPa)을 구하는 식은?
- ① 

 - ② 

 - ③ 

 - ④ 

 
등록된 댓글이 없습니다.
88. 일반적으로 리벳이음과 비교할 때 용접이음의 장점으로 옳은 것은?
- ① 이음효율이 좋다.
 - ② 잔류응력이 발생되지 않는다.
 - ③ 진동에 대한 감쇠력이 높다.
 - ④ 응력집중에 대하여 민감하지 않다.
 
ㄱ2024. 1. 20. 21:00삭제
이음효율이 좋지않다는 용접이음의 단점이다
89. 보일러 설치검사기준에 대한 사항 중 틀린 것은?
- ① 5t/h 이하의 유류 보일러의 배기가스 온도는 정격 부하에서 상온과의 차가 300℃ 이하이어야 한다.
 - ② 저수위안전장치는 사고를 방지하기 위해 먼저 연료를 차단한 후 경보를 울리게 해야 한다.
 - ③ 수입 보일러의 설치검사의 경우 수압시험은 필요하다.
 - ④ 수압시험 시 공기를 빼고 물을 채운 후 천천히 압력을 가하여 규정된 시험 수압에 도달된 후 30분이 경과된 뒤에 검사를 실시하여 검사가 끝날 때까지 그 상태를 유지한다.
 
ㄱ2024. 1. 20. 21:01삭제
경보가 먼저울리고 연료를 차단한다
90. 열사용기자재의 검사 및 검사면제에 관한 기준상 보일러 동체의 최소 두께로 틀린 것은?
- ① 안지름이 900mm 이하의 것 : 6mm(단, 스테이를 부착할 경우)
 - ② 안지름이 900mm 초과 1350mm 이하의 것 : 8mm
 - ③ 안지름이 1350mm 초과 1850mm 이하의 것 : 10mm
 - ④ 안지름이 1850mm 초과하는 것 : 12mm
 
칼마황2025. 8. 14. 16:30삭제
안지름이 900mm 이하의 것 : 6mm(스테이를 부착할 경우 8mm)
나만의나그네2025. 4. 10. 17:09삭제
| 안지름 | 최소 두께 |
|---|---|
| 900mm 이하 | 8mm |
| 900mm 초과 1350mm 이하 | 8mm |
| 1350mm 초과 1850mm 이하 | 10mm |
| 1850mm 초과 | 12mm |
해설이 좀 잘못 된 듯 싶어요.
91. 노통보일러 중 원통형의 노통이 2개 설치된 보일러를 무엇이라고 하는가?
- ① 라몬트보일러
 - ② 바브콕보일러
 - ③ 다우섬보일러
 - ④ 랭커셔보일러
 
등록된 댓글이 없습니다.
92. 급수온도 20℃인 보일러에서 증기압력이 1MPa 이며 이 때 온도 300℃의 증기가 1 t/h씩 발생될 때 상당증발량은 약 몇 kg/h 인가? (단, 증기압력 1MPa에 대한 300℃의 증기엔탈피는 3052 kJ/kg, 20℃에 대한 급수엔탈피는 83kJ/kg 이다.)
- ① 1315
 - ② 1565
 - ③ 1895
 - ④ 2325
 
123132025. 5. 12. 12:08삭제
상당증발량 = 총 생산 열량/증발잠열=1000X(3052-83)/2256 = 1315
총 생산 열량 = 스팀유량x(스팀열량-급수열량) = 1000X(3052-83)
증발잠열 = 539kcal/kg = 2256kJ/kg
길동무2022. 4. 1. 10:50삭제
1t/h = 1000kg/h
1000(3052-83) / 2256 = 1315
93. 전열면에 비등 기포가 생겨 열유속이 급격하게 증대하며, 가열면상에 서로 다른 기포의 발생이 나타나는 비등과정을 무엇이라고 하는가?
- ① 단상액체 자연대류
 - ② 핵비등
 - ③ 천이비등
 - ④ 포밍
 
sigong2023. 4. 26. 11:27삭제
nuclear boiling
94. 고압 증기터빈에서 팽창되어 압력이 저하된 증기를 가열하는 보일러의 부속장치는?
- ① 재열기
 - ② 과열기
 - ③ 절탄기
 - ④ 공기예열기
 
r2024. 1. 20. 21:02삭제
압력이 저하된 증기를 과열하는것은 재열기이다
95. 보일러 슬러지 중에 염화마그네슘이 용존되어 있을 경우 180℃ 이상에서 강의 부식을 방지하기 위한 적정 pH는?
- ① 5.2±0.7
 - ② 7.2±0.7
 - ③ 9.2±0.7
 - ④ 11.2±0.7
 
등록된 댓글이 없습니다.
96. 다음 중 보일러 내처리에 사용하는 pH 조정제가 아닌 것은?
- ① 수산화나트륨
 - ② 탄닌
 - ③ 암모니아
 - ④ 제3인산나트륨
 
등록된 댓글이 없습니다.
97. 소용량주철제보일러에 대한 설명에서 ( ) 안에 들어갈 내용으로 옳은 것은?

- ① ㉠ 4, ㉡ 0.1
 - ② ㉠ 5, ㉡ 0.1
 - ③ ㉠ 4, ㉡ 0.5
 - ④ ㉠ 5, ㉡ 0.5
 
등록된 댓글이 없습니다.
98. 외경 30mm, 벽두께 2mm 의 관 내측과 외측의 열전달계수는 모두 3000W/m2·K 이다. 관 내부온도가 외부보다 30℃ 만큼 높고, 관의 열전도율이 100 W/m·K 일 때 관의 단위길이당 열손실량은 약 몇 W/m 인가?
- ① 2979
 - ② 3324
 - ③ 3824
 - ④ 4174
 
등록된 댓글이 없습니다.
99. 다음 그림과 같은 V형 용접이음의 인장응력(σ)을 구하는 식은?

- ① 

 - ② 

 - ③ 

 - ④ 

 
등록된 댓글이 없습니다.
100. 대향류 열교환기에서 고온 유체의 온도는 TH1에서 TH2로, 저온 유체의 온도는 TC1에서 TC2로 열교환에 의해 변화된다. 열교환기의 대수평균온도차(LMTD)를 옳게 나타낸 것은?

- ① 

 - ② 

 - ③ 

 - ④ 

 
등록된 댓글이 없습니다.