산업위생관리산업기사(2016. 5. 8.) 시험일자 : 2016년 5월 8일
1과목 : 산업위생학 개론
1. 산업스트레스의 관리에 있어서 개인차원에서의 관리 방법으로 맞는 것은?
- ① 긴장 이완훈련
- ② 사회적 지원의 제공
- ③ 개인의 적응수준 제고
- ④ 조직구조와 기능의 변화
등록된 댓글이 없습니다.
2. 산업재해의 기본원인인 4M에 해당하지 않는 것은?
- ① Man
- ② Media
- ③ Management
- ④ Material
등록된 댓글이 없습니다.
3. 작업강도와 작업대사율의 연결이 적절한 것은?
- ① 경작업 : 0 ~ 4
- ② 중등작업 : 4 ~ 5
- ③ 중(重)작업 : 5 ~ 6
- ④ 격심한 작업 : 10이상
등록된 댓글이 없습니다.
4. 소음의 정의를 설명한 것 중 맞는 것은?
- ① 불쾌하고 원하지 않는 소리
- ② 일정 범위의 강도를 갖는 소리
- ③ 주파수가 높고 규칙적으로 발생하는 소리
- ④ 주파수가 낮고 불규칙적으로 발생하는 소리
등록된 댓글이 없습니다.
5. 질병 발생의 요인을 제거하면 질병 발생이 얼마나 감소될 것인가를 말해주는 위험도를 나타내는 것은?
- ① 기여위험도
- ② 상대위험도
- ③ 절대위험도
- ④ 비교위험도
등록된 댓글이 없습니다.
6. 산업위생의 역사적 인물과 업적을 잘못 연결한 것은?
- ① Galen – 광산에서의 산 증기 위험성 보고
- ② Robert Owen – 굴뚝청소부의 제정에 기여
- ③ Alice Hamilton – 유해물질 노출과 질병의 관계를 확인
- ④ Sir George Baker – 사이다 공장에서 납에 의한 복통 발표
등록된 댓글이 없습니다.
7. 미국산업위생학술원(AAIH)은 산업위생분야에 종사하는 사람들이 지켜야 할 윤리강령을 채택하였다. 윤리강령의 주요사항과 거리가 먼 것은?
- ① 전문가로서의 책임
- ② 근로자에 대한 책임
- ③ 일반대중에 대한 책임
- ④ 환경관리에 대한 책임
등록된 댓글이 없습니다.
8. 사업안전보건법령상 제조ㆍ수입ㆍ양도ㆍ제공 또는 사용이 금지되는 유해물질에 해당하는 것은?
- ① 베릴륨
- ② 황린(黃燐)성냥
- ③ 염화비닐
- ④ 휘발성 콜타르피치
등록된 댓글이 없습니다.
9. 일반적으로 성인 남성근로자가 운동할 떄의 산소소비량(oxygen uptake)은 약 얼마까지 증가하는가?
- ① 0.25L/min
- ② 2.5L/min
- ③ 5L/min
- ④ 10L/min
등록된 댓글이 없습니다.
10. 권장무게한계가 3.1kg이고, 물체의 무게가 8kg 일 때 중량물 취급지수는 약 얼마인가?
- ① 1.91
- ② 2.12
- ③ 2.58
- ④ 2.90
등록된 댓글이 없습니다.
11. 인체가 외부의 환경 및 자극에 대하여 적응하고 인간의 신체 상태를 일정하게 유지하려는 경향을 무엇이라 하는가?
- ① 반응(Reaction)
- ② 조화(Harmony)
- ③ 보상(Compensation)
- ④ 항상성(Homeostasis)
등록된 댓글이 없습니다.
12. 피로의 증상과 거리가 먼 것은?
- ① 소변의 양이 줄고 진한 갈색을 나타낸다.
- ② 맥박이 빨라지고 회복되기까지 시간이 걸리낟.
- ③ 체온이 높아지나 피로정도가 심해지면 도리어 낮아진다.
- ④ 혈당치가 낮아지고 젖산과 탄산양이 감소한다.
등록된 댓글이 없습니다.
13. 산업위생활동의 기본 4요소와 거리가 먼 것은?
- ① 행정
- ② 예측
- ③ 평가
- ④ 관리
등록된 댓글이 없습니다.
14. 산업피로를 예방하기 위한 개선대책으로 적당하지 않는 것은?
- ① 충분한 수면은 피로에방과 회복에 효과적이다.
- ② 작업속도를 빨리하여 되도록 작업시간을 단축시킨다.
- ③ 적절한 작업시간과 적절한 간격으로 휴식시간을 두어야 한다.
- ④ 과중한 육체적 노동은 기계화하여 육체적 부담을 줄이고, 너무 정적인 작업은 적정한 동적인 작업으로 전환한다.
등록된 댓글이 없습니다.
15. 육체적 작업능력이 15kcal/min인 성인 남성 근로자가 1일 8시간 동안 물체를 운반하고 있다. 작업대사량이 6.5kcal/min, 휴식시의 대사량이 1.5kcal/min일 때 매시간별 휴식시간과 작업시간으로 가장 적합한 것은?(단, Hertig의 산시기을 적용한다.)
- ① 12분 휴식, 48분 작업
- ② 18분 휴식, 42분 작업
- ③ 24분 휴식, 36분 작업
- ④ 30분 휴식, 30분 작업
등록된 댓글이 없습니다.
16. 20℃, 1기압에서 MEK 50ppm은 약 몇 mg/m3인가?(단, MEK의 그램분자량 72.06이다.)
- ① 139.9
- ② 149.9
- ③ 249.7
- ④ 299.7
등록된 댓글이 없습니다.
17. 산소결핍장소에서의 관리 방법에 관한 내용으로 틀린 것은?
- ① 생체 중에서 산소결핍에 대하여 가장 민감한 조직은 뇌이다.
- ② 산소결핍이란 공기 중의 산소농도가 18% 미만인 상태를 말한다.
- ③ 산소결핍의 우려가 있는 경우에는 산소의 농도를 측정하는 사람을 지명하여 측정하도록 하여야 한다.
- ④ 맨홀 지하작업 등 산소결핍이 우려되는 장소에서는 근로자에게는 구명밧줄과 방독마스크를 착용하도록 하여야 한다.
등록된 댓글이 없습니다.
18. 크레졸의 노출기준에는 시간가중평균노출기준(TWA)외에 '피부(Skin)'표시가 표시되어 있다. 이 표시에 대한 설명으로 틀린 것은?
- ① 피부자극, 피부질환 및 감작 등과 관련이 깊다.
- ② 피부의 상처는 이러한 물질의 흡수에 큰 영향을 미친다.
- ③ 점막과 눈 그리고 경피로 흡수되어 전신 영향을 일으킬 수 있는 물질을 뜻한다.
- ④ 공기 중 노출농도의 측정과 함께 생물학적 지표가 되는 물질도 병행하여 측정한다.
등록된 댓글이 없습니다.
19. 산업안전보건법령산 사업주는 근골격계 부담 작업에 근로자를 종사하도록 하는 경우에는 몇 년마다 유해요인조사를 실시하여야 하는가?
- ① 1년
- ② 2년
- ③ 3년
- ④ 5년
등록된 댓글이 없습니다.
20. 직업병 발생요인 중 간접요인에 대한 설명과 거리가 먼 것은?
- ① 작업강도와 작업시간 모두 직업병 발생의 중요한 요인이다.
- ② 작업장의 환경은 직업병의 발생과 증세의 악화를 조장하는 원인이 될 수 있다.
- ③ 일반적으로 연소자의 직업병 발병률은 성인 보다 낮게 나타나는 것으로 알려져 있다.
- ④ 작업의 종류가 같더라도 작업방법에 따라서 해당 직장에서 발생하는 질병의 종류와 발생빈도는 달라질 수 있다.
등록된 댓글이 없습니다.
2과목 : 작업환경측정 및 평가
21. 납이 발생되는 공정에서 공기 중 납 농도를 측정하기 위해 공기시료를0.550m3 채취하였고 이 시료를 10mL의 10% HNO3에 용해시켰다. 원자흡광분석기를 이용하여 시료 중 납을 분석하여 검량선과 비교한 결과 시료 용액 중 납의 농도가 49ug/mL로 나타났다면 채취한 시간 동안의 공기 중 납의 농도(mg/m3)는?
- ① 0.29
- ② 0.49
- ③ 0.69
- ④ 0.89
등록된 댓글이 없습니다.
22. 미국 ACGIH에서 정의한 흉곽성 입자상 물질의 평균 입경(μm)은?
- ① 3
- ② 4
- ③ 5
- ④ 10
등록된 댓글이 없습니다.
23. 작업장의 작업환경 측정결과가 보기와 같았다면 이 작업장에 대한 평가로 가장 알맞은 것은?(단, 측정농도는 시간가중평규농도를 의미한다.)

- ① 각각의 측정결과가 TLV를 초과하지 않으므로 노출기준농도를 초과하지 않는다.
- ② 각각의 측정결과가 노출기준 농도를 초과하지는 않지만 여러 가지 유해물질이 공존하고 있으므로 노출기준을 초과한다고 보아야 한다.
- ③ 평가는 으로 계산하여 계산치로 볼 때 노출기준 농도를 초과하고 있다. ( C: 측정농도, T : TLV)

- ④ 혼합물의 측정결과는 으로 평가하여 계산치를 볼 떄 노출기준 농도를 초과하고 있다. (C : 측정농도, T : 측정시간)

등록된 댓글이 없습니다.
24. 허용기준 대상 유해인자의 노출 농도 측정 및 분석을 위한 화학시험의 일반사항 중 용어에 관한 내용으로 틀린 것은?(단, 고용노동부 고시 기준)
- ① “회수율”이란 흡착제에 흡착된 성분을 추출과정을 거쳐 분석 시 실제 검출되는 비율을 말하낟.
- ② “진공”이란 따로 규정이 없는 한 15mmHg이하를 뜻한다.
- ③ 시험조작 중 “즉시”란 30초 이내에 표시된 조작을 하는 것을 말한다.
- ④ “약”이란 그 무게 또는 부피에 대하여 ±10%이상의 차이가 있지 아니한 것을 말한다.
등록된 댓글이 없습니다.
25. 우리나라 작업장 내 공기중의 석면섬유, 먼지, 입자상물질, 벤젠 그리고 방사성물질 등의 농도와 대기 중 이산화황 농도의 측정 결과를 분포화시킬 때 볼 수 있는 산업위생통계의 일반적인 분포는?
- ① 정규분포
- ② 대수 정규분포
- ③ t-분포
- ④ f-분포
등록된 댓글이 없습니다.
26. 직접포집방법에 사용되는 시료채취백의 특징으로 가장 거리가 먼 것은?
- ① 가볍고 가격이 저렴할 뿐 아니라 깨질 염려가 없다.
- ② 개인시료 포집도 가능하다.
- ③ 연속시료채취가 가능하다.
- ④ 시료채취 후 장시간 보관이 가능하다.
등록된 댓글이 없습니다.
27. 크롬에 대한 흡광광도 분석법에 사용되는 발색액은?
- ① 디티존
- ② 디페닐카바지드
- ③ 알리자린콤플렉손
- ④ 디에틸디티오카바민산나트륨
등록된 댓글이 없습니다.
28. 공기 중 벤젠(분자량=78.1)을 활성탄관에 0.1L/분의 유량으로 2시간 동안 채취하여 분석한 결과 2.5mg이 나왔다. 공기 중 벤젠의 농도(ppm)은? (단, 공시료에서는 벤젠이 검출되지 않았으며 25℃, 1기압 기준)
- ① 약 65
- ② 약 85
- ③ 약 115
- ④ 약 135
등록된 댓글이 없습니다.
29. 납 분석 시 구연산 및 시안염을 가하여 약알칼리성으로 조제한 납용액에 디페닐티오카아비죤을 가하면 납이온과의 반응에 의하여 생성되는 적색의 킬레이트 화합물을 유기용매로 추출해서 흡광도를 정량하는 분석법은?
- ① 디티죤분석법
- ② 폴라로그래프분석법
- ③ 현광광도분석법
- ④ 이온분석법
등록된 댓글이 없습니다.
30. 가스상 물질의 분석 및 평가를 위해 [알고 있는 공기 중 농도]를 만드는 방법인 Dynamic Method에 관한 설명으로 옳지 않은 것은?
- ① 매우 일정한 농도를 유지하기 용이하다.
- ② 지속적인 모니터링이 필요하다.
- ③ 만들기가 복잡하고 가격이 고가이다.
- ④ 소량의 누출이나 벽면에 의한 손실은 무시할 수 있다.
등록된 댓글이 없습니다.
31. 활성탄관에 비하여 실리카겔관(흡착)을 사용하여 채취하기 용이한 시료는?
- ① 알코올류
- ② 방향족 탄화수소류
- ③ 나프타류
- ④ 니트로벤젠류
등록된 댓글이 없습니다.
32. 입경이 14μm이고, 밀도가 1.5g/cm3인 입자의 침강속도(cm/s)는?
- ① 0.55
- ② 0.68
- ③ 0.72
- ④ 0.88
등록된 댓글이 없습니다.
33. 음압도 측정시 정상청력을 가진 사람이 1000Hz에서 가청할 수 있는 최소 음압 실효치(N/m2)는?
- ① 0.002
- ② 0.0002
- ③ 0.00002
- ④ 0.000002
등록된 댓글이 없습니다.
34. 유기화합물을 운반기체와 함께 수소와 공기의 불꽃속에 도입함으로써 생기는 이온의 증가를 이용한 검출기는?
- ① 열전도도형 검출기(TCD)
- ② 불꽃이온화형 검출기(FID)
- ③ 전자포획형 검출기(ECD)
- ④ 불꽃광전자형 검출기(FPD)
등록된 댓글이 없습니다.
35. 작업장 내의 조명상태를 조사하고자 할 때 측정해야 되는 기본 항목에 포함되지 않는 것은?
- ① 조명도
- ② 흡광도
- ③ 휘도
- ④ 반사율
등록된 댓글이 없습니다.
36. 유해화학물질 분석 시 침전법을 이용한 적정이 아닌 것은?
- ① Volhard법
- ② Mohr법
- ③ Fajans법
- ④ Stiehler법
등록된 댓글이 없습니다.
37. 측정기구의 보정을 위한 비누거품미터(Soap bubble meter)의 활용 시 두 눈금 통과 측정시간의 정확성 범위와 눈금도달 시간 측정 시 초시계의 측정 한계범위가 바르게 표기된 것은?
- ① 측정시간의 정확성 ±1초 이내, 초시게로 1초까지 측정한다.
- ② 측정시간의 정확성 ±2초 이내, 초시게로 0.1초까지 측정한다.
- ③ 측정시간의 정확성 ±1초 이내, 초시게로 0.01초까지 측정한다.
- ④ 측정시간의 정확성 ±1초 이내, 초시게로 0.1초까지 측정한다.
등록된 댓글이 없습니다.
38. 가스크로마토그래피의 분리관은 성능은 분해능과 효율로 표시할 수 있다. 분해능을 높이려는 조작으로 틀린 것은?
- ① 분리관의 길이를 길게 한다.
- ② 고정상의 양을 크게 한다.
- ③ 고체지지체의 입자 크기를 작게 한다.
- ④ 일반적으로 저온에서 좋은 분해능을 보이므로 온도를 낮춘다.
등록된 댓글이 없습니다.
39. 실카겔에 대한 친화력이 가장 큰 물질은?
- ① 케톤류
- ② 올레핀류
- ③ 에스테르류
- ④ 방향족탄화수소류
등록된 댓글이 없습니다.
40. 고열 측정구분이 습구온도이고, 측정기기가 자연습구 온도계인 경우 측정시간 기준은? (단, 고용노동부 고시 기준)
- ① 5분 이상
- ② 10분 이상
- ③ 15분 이상
- ④ 25분 이상
등록된 댓글이 없습니다.
3과목 : 작업환경관리
41. 먼지의 한쪽 끝 가장자리와 다른쪽 끝 가장자리 사이의 거리를 측정함으로써 입자상물질의 크기를 과대평가 할 가능성이 있는 직경은?
- ① Martin 직경
- ② Feret 직경
- ③ 등면적 직경
- ④ 공기역학적 직경
등록된 댓글이 없습니다.
42. 공기 중에 트리클로로에틸렌(trichloroethylene)이 고농도로 존재하는 작업장에서 아크 용접을 실시하는 경우 트리클로로에틸렌이 어떠한 물질로 전환될 수 있는가?
- ① 사염화탄소
- ② 벤젠
- ③ 이산화질소
- ④ 포스겐
등록된 댓글이 없습니다.
43. B공장 집진기용 송풍기의 소음을 측정한 결과, 가동시는 90dB(A)였으나, 가동 중지상태에서는 85dB(A)였다. 이 송풍기의 실제 소음도는?
- ① 86.2dB(A)
- ② 87.1dB(A)
- ③ 88.3dB(A)
- ④ 89.4dB(A)
등록된 댓글이 없습니다.
44. 입자상 물질의 호흡기 내 침착기전에서 먼지의 운동속도가 낮은 미세기관지나 폐포에서는 어떠한 기전이 중요한 역할을 하는가?
- ① 충돌
- ② 중력침강
- ③ 확산
- ④ 간섭
등록된 댓글이 없습니다.
45. 질소의 마취작용에 관한 설명으로 옳지 않은 것은?
- ① 예방으로는 질소대신 마취현상이 적은 수소 또는 헬륨 같은 불활성 기체들로 대치한다.
- ② 대기압 조건으로 복귀 후에도 대뇌 장해 등 후유증이 발생된다.
- ③ 수심 90~120m에서 환청, 환시, 조울증, 기억력 감퇴 등이 나타난다.
- ④ 질소가스는 정상기압에서는 비활성이지만 4기압 이상에서는 마취작용을 나타낸다.
등록된 댓글이 없습니다.
46. 비전리 방사선인 극저주파 전자장에 관한 내용으로 옳지 않은 것은?
- ① 통상 1~300Hz의 주파수 범위를 극저주파 전자장이라 한다.
- ② 직업적으로 지하철 운전기사, 발전소 기사 등 고압 전선 가까이서 근무하는 근로자들의 노출이 크다.
- ③ 장기 노출시 피부장해와 안장해가 발생되는 것으로 알려져 있다.
- ④ 노출범위와 생물학적 영향면에서 가장 관심을 갖는 주파수 영역은 전력 공급계통의 교류와 관련되는 50~60Hz 범위이다.
등록된 댓글이 없습니다.
47. 감압병의 예방과 치료에 관한 설명으로 옳지 않은 것은?
- ① 특별히 잠수에 익숙한 사람을 제외하고는 1분에 10m 정도씩 잠수하는 것이 안전하다.
- ② 감압이 끝날 무렵 순수한 산소를 흡입시키면 에방적 효과가 있을 뿐 아니라 감압시간을 25% 가량 단축시킨다.
- ③ 감압병 증상이 발생하였을 때에는 환자를 바로 원래 고압환경에 복귀시키거나 인공적 고압실에 넣어 혈관 및 조직 속에 발생한 질소의 기포를 다시 용해시킨 다음 천천히 감압한다.
- ④ 헬륨은 질소보다 확산속도가 작고 체외로 배출되는 시간이 질소에 비하여 2배 가량이 길어 고압환경에서 작업할 때는 질소를 헬륨으로 대치한 공기를 호흡시킨다.
등록된 댓글이 없습니다.
48. 유해화학물질이 체내로 침투되어 해독되는 경우 해독반응에 가장 중요한 작용을 하는 것은?
- ① 적혈구
- ② 효소
- ③ 림프
- ④ 백혈구
등록된 댓글이 없습니다.
49. 다음의 가동 중인 시설에 대한 작업환경대책 중 성격이 다른 것은?
- ① 작업시간 변경
- ② 작업량 조절
- ③ 순환 배치
- ④ 공정 변경
등록된 댓글이 없습니다.
50. 자연조명을 하고자 하는 집에서 창의 면적은 바닥 면적의 몇 %로 만드는 것이 가장 이상적인가?
- ① 10~15%
- ② 15~20%
- ③ 20~25%
- ④ 25~30%
등록된 댓글이 없습니다.
51. 인체에 대한 유해물질의 유해성을 좌우하는 인자가 아닌 것은 다음 중 어느 것인가?
- ① 노출 농도
- ② 작업 강도
- ③ 노출 시간
- ④ 조명의 강도
등록된 댓글이 없습니다.
52. 작업환경 개선의 기본대책 중 하나인 대치의 방법과 가장 거리가 먼 것은?
- ① 시설의 변경
- ② 공정의 변경
- ③ 물질의 변경
- ④ 위치의 변경
등록된 댓글이 없습니다.
53. 피부 보호크림의 종류 중 광산류, 유기산, 염류 및 무기염류 취급작업 시 주로 사용하는 것은?(단, 적용화학물질은 밀랍, 탈수라노린, 파라핀, 유동파라핀, 탄산마그네슘)
- ① 친수성크림
- ② 소수성크림
- ③ 차광크림
- ④ 피막형크림
등록된 댓글이 없습니다.
54. 출력 0.01watt의 점음원으로부터 100m 떨어진 곳의 SPL은? (단, 무지향성 음원, 자유공간의 경우)
- ① 49dB
- ② 53dB
- ③ 59dB
- ④ 63dB
등록된 댓글이 없습니다.
55. 비교적 높은 증기압(vapor pressure)과 낮은 허용기준치를 갖는 유기용제를 사용하는 작업장을 관리할 때 가장 효과적인 방법은?
- ① 전체 환기를 실시한다.
- ② 국소 배기를 실시한다.
- ③ Fan을 설치한다.
- ④ 칸막이를 설치한다.
등록된 댓글이 없습니다.
56. 산업위생의 관리적 측면에서 대치 방법인 공정 또는 시설의 변경 내용으로 옳지 않은 것은?
- ① 가연성 물질을 저장할 경우 유리병보다는 철제통을 사용
- ② 페인트 도장 시 분사 대신 담금 도장으로 변경
- ③ 금속제품 이송 시 롤러의 재질을 철제에서 고무나 플라스틱을 사용
- ④ 큰 날개 저속의 송풍기 대신 작은 날개 고속 회전하는 송풍기 사용
등록된 댓글이 없습니다.
57. 작업장의 근로자가 NRR이 15인 귀마개를 착용하고 있다면 차음 효과(dB)는?
- ① 2
- ② 4
- ③ 6
- ④ 8
등록된 댓글이 없습니다.
58. 감압에 따른 기포형성량을 좌우하는 요인과 가장 거리가 먼 것은?
- ① 조직에 용해된 가스량
- ② 혈류를 변화시키는 상태
- ③ 감압 속도
- ④ 기포 순환 주기
등록된 댓글이 없습니다.
59. 분진으로 인한 진폐증을 예방하기 위한 대책으로서 적합하지 않은 것은?
- ① 분진발생원이 비교적 많고 분진농도가 높은 경우에는 국소배기장치의 설치보다 우선적으로 방진마스크 작용을 고려한다.
- ② 2차 비산분진이 발생하지 않도록 작업장 바닥을 청결히 한다.
- ③ 분진발생원과 근로자를 분리하는 방법으로 원격조정장치 등을 사용할 수 있다.
- ④ 연마, 분쇄, 주물작업시에는 습식으로 작업하여 부유분진을 감소시키도록 해야 하낟.
등록된 댓글이 없습니다.
60. 적외선 관한 설명으로 가장 거리가 먼 것은?
- ① 적외선은 대부분 화학작용을 수반하며 가시광선과 자외선 사이에 있다.
- ② 적외선에 강하게 노출되면 안검록염, 각막염, 홍채위축, 백내장 등 장애를 일으킬 수 있다.
- ③ 일명 열선이라고 하며 온도에 비례하여 적외선을 복사한다.
- ④ 적외선은 가시광선보다 긴 파장으로 가시광선과 가까운 쪽을 근적외선이라 한다.
등록된 댓글이 없습니다.
4과목 : 산업환기
61. 원형이나 정사각형의 후드인 경우 필요 환기량은 Dalla Valle 공식 (Q=V(10x2+A)을 활용한다. 이 공식은 오염원에서 후드까지의 거리가 닥트직경의 몇 배 이내일 때만 유효한가?
- ① 1.5배
- ② 2.5배
- ③ 3.5배
- ④ 5.0배
등록된 댓글이 없습니다.
62. 푸쉬-풀(push-pull)후드에 관한 설명으로 맞는 것은?
- ① push공기의 속도는 빠를수록 좋다.
- ② 일반적으로 상방흡인형 외부식 후드에 사용된다.
- ③ 후드와 작업지점과의 거리가 가까운 경우에 주로 활용된다.
- ④ 후드로부터 멀리 떨어져서 발생하는 유해물질을 후드 가까이 가도록 밀어준다.
등록된 댓글이 없습니다.
63. 일정 용적을 갖는 작업장 내에서 매시간 Mm3의 CO2가 발생할 때 필요환기량(m3/hr)공식으로 맞는 것은?(단, Cs는 작업환경 실내 CO2기준농도(%), CO는 작업환경 실외 CO2농도(%)를 나타낸다.)
- ①

- ②

- ③

- ④

등록된 댓글이 없습니다.
64. 덕트에서 공기흐름의 평균 속도압은 16mmH2O였다. 덕트에서의 반송속도(m/s)는 약 얼마인가?(단, 공기의 밀도는 1.21kg/m3으로 한다.)
- ① 10
- ② 16
- ③ 20
- ④ 25
등록된 댓글이 없습니다.
65. 송풍량이 증가해도 동력이 증가하지 않는 장점을 가지며 한계부하송풍기라고도 하는 송풍기는?
- ① 프로펠러형 송풍기
- ② 후향 날개형 송풍기
- ③ 축류 날개형 송풍기
- ④ 전향 날개형 송풍기
등록된 댓글이 없습니다.
66. 표준 상태에서 관내 속도압을 측정한 결과 10mmH2O였다면 관내 유속은 약 얼마인가?
- ① 10.0m/sec
- ② 12.8m/sec
- ③ 18.1m/sec
- ④ 40.0m/sec
등록된 댓글이 없습니다.
67. 플랜지가 부착된 슬롯형 후드의 필요송풍량은 플랜지가 없는 슬롯형 후드에 비하여 필요송풍량이 몇 % 가 감소되는가? (단, 기타 조건의 변화는 없다.)
- ① 15%
- ② 20%
- ③ 30%
- ④ 45%
등록된 댓글이 없습니다.
68. 유량이 600m3/min인 배기가스 중의 분진을 2m/min의 여과속도로 bag filter에서 처리하고자 할 때 필요한 여포집진기의 면적은 얼마인가?
- ① 100m2
- ② 200m2
- ③ 300m2
- ④ 400m2
등록된 댓글이 없습니다.
69. 톨루엔(분자량 92)의 증기 발생량은 시간당 300g 이다. 실내의 평균 농도를 노출기준(55ppm)이하로 하려면 유효 환기량은 약 몇 m3/min인가?(단, 안전계수는 4이고, 공기의 온도는 21℃이다.)
- ① 83.83
- ② 95.26
- ③ 104.78
- ④ 5715.42
등록된 댓글이 없습니다.
70. 덕트의 시작점에서 공기의 베나수축(vena contracta)이 일어난다. 베나수축이 일반적으로 붕괴되는 지점으로 맞는 것은?
- ① 덕트 직경의 약 2배쯤에서
- ② 덕트 직경의 약 3배쯤에서
- ③ 덕트 직경의 약 4배쯤에서
- ④ 덕트 직경의 약 5배쯤에서
등록된 댓글이 없습니다.
71. 전체환기시설을 설치하기에 가장 적절한 곳은?
- ① 오염물질의 독성이 높은 경우
- ② 근로자가 오염원에서 가까운 경우
- ③ 오염물질이 한 곳에 모여 있는 경우
- ④ 오염물질이 시간에 따라 균일하게 발생하는 경우
등록된 댓글이 없습니다.
72. 국소배기장치의 배기덕트 내 공기에 의한 마찰손실과 관련이 가장 적은 것은?
- ① 공기속도
- ② 덕트직경
- ③ 덕트길이
- ④ 공기조성
등록된 댓글이 없습니다.
73. 후드의 제어풍속을 측정하기에 가장 적합한 것은?
- ① 열선풍속계
- ② 피토관
- ③ 카타온도계
- ④ 마노미터
등록된 댓글이 없습니다.
74. 전기집진장치의 장점이 아닌 것은?
- ① 고온 가스의 처리가 가능하다.
- ② 압력손실이 낮고 대용량의 가스를 처리할 수 있다.
- ③ 설치면적이 적고, 기체상의 오염물질의 포집에 용이하다.
- ④ 0.01μm정도의 미세 입자의 포집이 가능하여 높은 집진효율을 얻을 수 있다.
등록된 댓글이 없습니다.
75. 21℃, 1기압에서 벤젠 1.36L가 증발 할 때 발생하는 증기의 용량은 약 몇 L 정도가 되겠는가?(단, 벤젠의 분자량은 78.11, 비중은 0.879이다.)
- ① 327.5
- ② 342.7
- ③ 368.8
- ④ 371.6
등록된 댓글이 없습니다.
76. 온도 95℃, 압력 720mmHg에서 부피 180m3인 기체가 있다. 21℃, 1기압에서 이 기체의 부피는 약 얼마가 되겠는가?
- ① 125.6m3
- ② 136.2m3
- ③ 151.4m3
- ④ 220.3m3
등록된 댓글이 없습니다.
77. 외부식 후드는 발생원과 어느 정도의 거리를 두게 됨으로 발생원 주위의 방해기류가 발생되어 후드의 흡인유량을 증가시키는 요인이 된다. 방해기류의 방지를 위해 설치하는 설비가 아닌 것은?
- ① 댐퍼
- ② 플랜지
- ③ 칸막이
- ④ 풍향관
등록된 댓글이 없습니다.
78. 국소배기시스템 설치 시 고려사항으로 적절하지 않은 것은?
- ① 가급적 원형덕트를 사용한다.
- ② 후드는 덕트보다 두꺼운 재질을 선택한다.
- ③ 송풍기를 연결할 때 에는 최소 덕트 반경의 6배 정도는 직선구간으로 하여야 한다.
- ④ 곡관의 곡률반경은 최소 덕트 직경의 1.5이상으로 하며, 주로 2.0을 사용한다.
등록된 댓글이 없습니다.
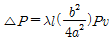
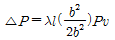
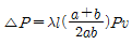
79. 정방형 송풍관의 압력손실()을 계산하는 식은? (단, λ : 마찰손실계수, l : 송풍관의 길이, Pv :속도압, a,b : 변의길이 이다.)
- ①

- ②

- ③

- ④

등록된 댓글이 없습니다.
80. 송풍기 성능곡선과 시스템 요구곡선이 만나는 송풍기 동작점은 현장의 상황에 따라 여러 형태로 변할 수 있다. 송풍기가 역회전하고 있거나 성능이 저하되어 회전수가 부족한 경우를 나타내는 그림은?
- ①

- ②

- ③

- ④

등록된 댓글이 없습니다.