산업위생관리산업기사(2002. 5. 26.) 시험일자 : 2002년 5월 26일
1과목 : 산업위생학 개론
1. 작업강도가 높은 근로자의 근육에 호기적 산화로 연소를 도와주는 영양소는?
- ① 비타민E
- ② 비타민A
- ③ 비타민B1
- ④ 비타민D
등록된 댓글이 없습니다.
2. 피로의 증상으로 틀린 것은?
- ① 혈압은 초기에는 높아지나 피로가 진행되면 도리어 낮아진다.
- ② 체온은 높아지나 피로정도가 심해지면 도리어 낮아진다.
- ③ 혈당치가 낮아지고 젖산과 탄산량이 증가하여 산혈증으로 된다.
- ④ 소변의 양이 줄고 뇨내의 단백질 또는 교질물질의 농도가 떨어진다.
등록된 댓글이 없습니다.
3. 각 작업을 수행하는데 필요한 직종간의 연결성,공장설계에 있어서의 기능적 특성, 경제적 효율, 제한점등을 고려하여 세부설계를 행하는 인간공학의 단계는?
- ① 준비단계
- ② 선택단계
- ③ 적용단계
- ④ 활용단계
등록된 댓글이 없습니다.
4. 환경속에서 중독을 일으키는 유해물질의 공기 중 농도(C)와 폭로시간(t)의 곱은 일정(k)하다는 법칙은?
- ① Halden의 법칙
- ② Lambert의 법칙
- ③ Henry의 법칙
- ④ Haber의 법칙
등록된 댓글이 없습니다.
5. 국소피로를 평가하는데에는 근전도(EMG)를 가장 많이 이용하고 있다. 피로한 근육에서 측정된 근전도의 특징을 바르게 짝지은 것은?
- ① 저주파(0-40Hz)힘의 감소 - 총전압의 감소
- ② 고주파(40-200Hz)힘의 감소 - 총전압의 감소
- ③ 저주파(0-40Hz)힘의 증가 - 평균주파수의 감소
- ④ 고주파(40-200Hz)힘의 증가 - 평균주파수의 감소
등록된 댓글이 없습니다.
6. 재해통계중 강도율에 관한 설명으로 알맞지 않은 것은?
- ① 재해의 경중, 즉 강도를 나타내는 척도이다.
- ② 연근로시간 1000시간당 재해에 의해서 잃어버린 근로손실일수를 말한다.
- ③ 사망시 근로손실일수(장해등급1급)는 7500일이다.
- ④ 재해발생건수와 재해자수는 동일 개념으로 적용한다.
등록된 댓글이 없습니다.
7. 산업위생분야에 관련된 단체와 약자를 잘못 짝지은 것은?
- ① NIOSH : 국립산업안전보건연구원(미국)
- ② ACGIH : 미국산업위생학회
- ③ OSHA : 산업안전보건청(미국)
- ④ BOHS : 영국산업위생학회
등록된 댓글이 없습니다.
8. 다음의 증상 중 전신진동에 의한 장해가 아닌 것은?
- ① 위장장해
- ② Raynaud 현상
- ③ 내장하수증
- ④ 척추이상
등록된 댓글이 없습니다.
9. 정상작업역(作業域)의 범위로 가장 알맞는 것은?
- ① 상지(上肢)를 뻗쳐서 닿는 작업범위.
- ② 상지(上肢)를 뻗쳐서 최대한으로 작업을 할 수 있는 범위.
- ③ 전박(前膊)과 손으로서 조작할 수 있는 범위.
- ④ 전박(前膊)과 상지(上肢)로서 최대한으로 작업할 수 범위.
등록된 댓글이 없습니다.
10. 반감기가 5시간이상으로 주중 작업을 통하여 체내에 축적될 수 있는 물질의 생물학적 노출지수를 평가하기 위한 시료 채취시기로 가장 적절한 것은?
- ① 작업전 또는 작업종료시 시료를 채취
- ② 작업이 종료된 후 1주일이 경과한 시점
- ③ 측정시기는 아무때나 할 수 있다.
- ④ 주초나, 주말에 시료를 채취
등록된 댓글이 없습니다.
11. 유해물질 노출과 질병과의 관계를 규명한 20세기 미국 최초의 산업위생 학자는?
- ① Ulrich Ellenbog
- ② Galen
- ③ George Baker
- ④ Alice Hamilton
등록된 댓글이 없습니다.
12. 산업피로에 관한 설명으로 합당하지 않은 것은?
- ① 피로는 곤비, 보통피로, 과로로 나눌 수 있다.
- ② 곤비는 주관적 피로감으로 단시간의 휴식으로 회복될 수 있다.
- ③ 보통피로는 하루밤 잠을자고 나면 완전히 회복되는 상태를 말한다.
- ④ 다음날까지도 피로 상태가 지속되는 것을 과로라고 한다.
등록된 댓글이 없습니다.
13. 다음은 영양소 부족에 의한 결핍증에 대한 사항이다. 연결이 잘못 된 것은?
- ① 비타민B1 - 구루병
- ② 비타민E - 생식기능
- ③ 비타민A - 야맹증
- ④ 비타민K - 혈액응고 작용
등록된 댓글이 없습니다.
14. 어떤물질의 독성에 관한 인체실험결과 안전흡수량이 체중㎏당 0.2㎎이었다. 체중 70㎏인 사람이 1일 8시간 작업시 이 물질의 체내흡수를 안전흡수량 이하로 유지하려면 이물질의 공기중 농도를 얼마이하로 규제하여야 하겠는가? (단, 작업시 폐환기율 1.25m3/hr, 체내잔류율 1.0)
- ① 0.8㎎/m3
- ② 1.4㎎/m3
- ③ 2.0㎎/m3
- ④ 2.6㎎/m3
등록된 댓글이 없습니다.
15. 미국산업위생전문가협의회와 우리나라 노동부에서는 작업시 소비열량에 따라 작업강도를 경작업, 중등작업, 심한작업(중작업)으로 구분하고 있다. 다음 중 중등도 작업에 해당하는 소비열량으로 가장 적절한 것은?
- ① 100 ∼ 250 ㎉/hr
- ② 200 ∼ 350 ㎉/hr
- ③ 300 ∼ 450 ㎉/hr
- ④ 400 ∼ 550 ㎉/hr
등록된 댓글이 없습니다.
16. 산업보건에 관한 최초의 법률로서 1833년 제정되어 실제로 효과를 거둔 최초의 법인 공장법(Factories Act)은 어느 나라에서 제정되었는가?
- ① 독일
- ② 영국
- ③ 미국
- ④ 프랑스
등록된 댓글이 없습니다.
17. 다음중 Shiminson이 말하는 산업피로 현상이 아닌 것은?
- ① 중간대사물질의 소모
- ② 활동자원의 소모
- ③ 조절기능의 장애
- ④ 체내의 물리화학적 변화
등록된 댓글이 없습니다.
18. 젊은 남성의 육체적 작업능력(PWC)은 16 kcal/min이다. 이때 하루 8시간동안 작업할 수 있는 작업의 강도는?
- ① 약 4.0 kcal/min
- ② 약 4.8 kcal/min
- ③ 약 5.3 kcal/min
- ④ 약 8.6 kcal/min
등록된 댓글이 없습니다.
19. 작업대사율에 의한 작업 강도의 분류 중 틀린 것은?
- ① 경작업 : 0∼1
- ② 중등(中等)작업 : 1∼2
- ③ 중(重)작업 : 2∼4
- ④ 격심작업 : 7 이상
등록된 댓글이 없습니다.
20. 어떤 작업의 강도를 알기 위하여 작업대사율(RMR)을 구하려고 한다. 작업시 소요된 열량이 5,000㎉, 기초대사량이 1200㎉, 안정시 열량이 기초대사량의 1.2배인 경우 작업대사율은?
- ① 약 1
- ② 약 2
- ③ 약 3
- ④ 약 4
등록된 댓글이 없습니다.
2과목 : 작업환경측정 및 평가
21. 옥외 작업장의 온열조건이 다음과 같을 때 습구흑구 온도지수(WBGT)를 계산하면? (단, 자연습구온도 : 20℃, 흑구온도 : 50℃, 건구온도 : 30℃)
- ① 27℃
- ② 32℃
- ③ 40℃
- ④ 53℃
등록된 댓글이 없습니다.
22. 자외선 허용기준(TLV)에 사용되는 단위는?
- ① Lux(럭스)
- ② mJ/㎝2
- ③ %
- ④ Å
등록된 댓글이 없습니다.
23. 석면분진을 포집할 때 사용하는 필터는?
- ① glassfiber 필터
- ② teflon 필터
- ③ membrane 필터
- ④ 종이 필터
등록된 댓글이 없습니다.
24. 작업환경 중의 공기시료를 측정하여 보니 TLV가 50ppm인 테트라클로로에틸렌이 30ppm 존재하고,TLV가 25ppm인 클로로포름이 20ppm존재하며,TLV가 50ppm인 트리클로로에틸렌이 30ppm존재하였다. 이러한 작업환경 공기의 복합노출지수는?
- ① 1.2
- ② 1.5
- ③ 1.8
- ④ 2.0
등록된 댓글이 없습니다.
25. 작업장내의 흑구온도계와 기온과의 차를 실효복사온도라 하며 실제환경의 복사온도를 평가할때는 평균복사온도가 이용된다. 평균복사온도를 구하는 식으로 옳은 것은? (단, Tg : 흑구온도, Ta : 기온, V : 기류속도, Tw : 평균복사온도 )
- ① Tw = Tg+0.24√V (Tg-Ta)
- ② Tw = Tg-0.24√V (Tg-Ta)
- ③ Tw = Tg+0.24√V (Tg+Ta)
- ④ Tw = Tg-0.24√V (Tg+Ta)
등록된 댓글이 없습니다.
26. 각각의 포집효율이 85%인 임핀저 2개를 직렬 연결하여 시료를 채취하는 경우 최종 얻어지는 포집효율은?
- ① 98%
- ② 96%
- ③ 94%
- ④ 92%
등록된 댓글이 없습니다.
27. NaF를 물에 녹여 용액 1㎖에 F-로서 1㎎ 함유된 표준액 1ℓ 를 만들고자 하면 얼마를 취해야 하는가? (단,원자량은 Na = 23, F = 19 이다.)
- ① 2323㎎
- ② 4200㎎
- ③ 1.000g
- ④ 2.210g
등록된 댓글이 없습니다.
28. PH = 2인 염산 수용액 800㎖속에 들어있는 순수한 HCl의 무게는? (단, HCl은 전량 해리된다, Cl원자량 : 35.5 )
- ① 0.292g
- ② 0.438g
- ③ 1.92g
- ④ 16.7g
등록된 댓글이 없습니다.
29. 다음은 작업환경 측정의 목적을 설명한 것이다. 목적과 관련이 가장 적은 것은?
- ① 질병에 대한 발병 원인 규명
- ② 법규상 허용농도 초과여부의 결정
- ③ 공학적 대책마련을 위한 자료나 시설의 유효성 평가
- ④ 작업환경에 존재하는 유해물질의 규명 및 정량
등록된 댓글이 없습니다.
30. 석면 측정에 이용되는 현미경으로 가장 많이 사용되는 것은?
- ① 광학 현미경
- ② 전자 현미경
- ③ 위상차 현미경
- ④ 초정밀 현미경
등록된 댓글이 없습니다.
31. 작업장에서 유해물질의 농도가 ppm 으로 표시되었을 때 질량농도(㎎/m3)로의 환산식은? (단, 25℃, 1기압 )
- ① 분자량 / (24.5 × 용량농도(ppm))
- ② 용량농도(ppm) / (24.5 × 분자량)
- ③ (24.5 × 분자량) / 용량농도(ppm)
- ④ (용량농도(ppm) × 분자량) / 24.5
등록된 댓글이 없습니다.
32. 어떤 작업장에서 일산화탄소의 오염도를 측정하여 대표치를 산출코자 한다. 일반적으로 어떤 통계치를 응용하는 것이 가장 적절한가?
- ① 기하가중 평균치
- ② 기하 평균치
- ③ 산술 평균치
- ④ 중앙치
등록된 댓글이 없습니다.
33. 산업위생 통계 자료 표에서 M ± SD 로 표시한 것은 무엇을 의미하는가?
- ① 평균치와 표준편차
- ② 평균치와 표준오차
- ③ 최빈치와 표준편차
- ④ 중앙치와 표준오차
등록된 댓글이 없습니다.
34. 작업장내의 조명상태를 조사하고자 할때 측정해야 되는 기본 항목에 포함되지 않는 것은?
- ① 조명도
- ② 흡광도
- ③ 휘도
- ④ 반사율
등록된 댓글이 없습니다.
35. 측정기기중 중금속 분석에 가장 많이 사용되는 것으로 가장 신속, 정확한 측정기기는?
- ① 흡광광도계
- ② 원자흡광광도계
- ③ 비분산적외선 가스분석계
- ④ 가스 크로마토그래피
등록된 댓글이 없습니다.
36. 입자상물질을 임핀저로 포집 할 경우의 주의사항으로 알맞지 않은 것은?
- ① 규정 유량대로 흡인한다. 규정대로 흡인을 지키지 않으면 포집률은 저하된다.
- ② 임핀저등은 바닥면에 대하여 수직으로 장치하고 경사되지 않게 한다.
- ③ 입도분포가 미세한 입자는 일반적으로 포집효율이 높으므로 포집정밀도에 주의한다.
- ④ 임핀저등의 저면과 노즐면을 평행으로 하고 그 간격을 5mm로 유지한다
등록된 댓글이 없습니다.
37. 작업장에서 시료를 채취할 때에 다음 방법들 중에서 가장 좋은 방법은?
- ① 전작업시간 동안의 단일시료채취 (Full-Period, Single Sample)
- ② 전작업시간 동안의 연속시료채취 (Full-Period, Consecutive Sample)
- ③ 전작업시간 간헐시료채취 (Partial-Period, Consecutive Sample)
- ④ 단시간 시료채취 (Grab Sample)
등록된 댓글이 없습니다.
38. 미국에서 사용하는 먼지수를 나타내는 방법으로서 mppcf의 단위를 사용한다. 1 mppcf는 ㎖ 당 몇개의 입자를 나타내는가?
- ① 20
- ② 35
- ③ 50
- ④ 75
등록된 댓글이 없습니다.
39. 다음에 열거한 분진 측정기기중 분진 입자에 의한 산란광의 강도를 측정하여 분진 농도를 측정하는 기기는?
- ① Digital Dust indicator
- ② Low volume air sampler
- ③ High volume air sampler
- ④ piezoblance indicator
등록된 댓글이 없습니다.
40. Kata온도계로 기류를 측정할 때 100℉에서 몇 ℉까지 내려가는 시간을 재는 것인가?
- ① 85℉
- ② 90℉
- ③ 95℉
- ④ 98℉
등록된 댓글이 없습니다.
3과목 : 작업환경관리
41. 소음을 측정한 결과 ㏈(A)의 값과 ㏈(C)의 값이 서로 별 차이가 없을때 이 소음의 특성은?
- ① 1000㎐ 이상인 고주파이다.
- ② 500㎐ 정도의 중저파이다
- ③ 암소음이다
- ④ 100Hz 이하의 저주파이다
등록된 댓글이 없습니다.
42. 위생보호구인 Goggle은 다음 어느 보호구에 속하는가?
- ① 방진보호구
- ② 호흡용보호구
- ③ 차광보호구
- ④ 피부보호구
등록된 댓글이 없습니다.
43. 다음중 자외선 투과율이 가장 높은 재료는?
- ① 보통유리
- ② 코렉스유리
- ③ 창호지
- ④ 비닐박막(film)
등록된 댓글이 없습니다.
44. 직포공장의 소음을 측정하였는데 0.2N/m2 였다. 음압도는 몇 ㏈인가? (단, 사람이 들을 수 있는 최소음압은 0.00002N/m2이다)
- ① 80㏈
- ② 90㏈
- ③ 100㏈
- ④ 110㏈
등록된 댓글이 없습니다.
45. 다음중 전리방사선이 아닌 것은?
- ① α - 선
- ② X - 선
- ③ γ - 선
- ④ 레이저
등록된 댓글이 없습니다.
46. 열경련의 주요원인이 되는 것은?
- ① 수분 및 혈중 염분 손실
- ② 뇌온도 상승
- ③ 순환기 부조화
- ④ 중추신경 이상
등록된 댓글이 없습니다.
47. 진폐증을 일으키는 분진중에서 폐암을 유발시키는 분진은 어느 것인가?
- ① 규산분진
- ② 석면분진
- ③ 활석분진
- ④ 규조토분진
등록된 댓글이 없습니다.
48. 인공 조명시 고려해야 할 사항과 가장 거리가 먼 것은?
- ① 소음수준
- ② 발화성, 폭발성
- ③ 경제성, 취급용이성
- ④ 균등한 조도
등록된 댓글이 없습니다.
49. 반복하여 쪼일 경우 피부가 건조해 지고 갈색을 띄게 하며 주름살이 많이 생기도록 작용하며, 눈의 각막과 결막에 흡수되므로 안질환을 일으키기도 하는 것은?
- ① 자외선
- ② 적외선
- ③ 가시광선
- ④ 레이저(Laser)
등록된 댓글이 없습니다.
50. 재질이 일정하지 않고 균일하지 않아 정확한 설계가 곤란 하며 처짐을 크게 할 수 없어 진동방지라기 보다는 고체음의 전파방지에 유익한 방진재료는?
- ① 방진고무
- ② 공기용수철
- ③ 코르크
- ④ 금속코일용수철
등록된 댓글이 없습니다.
51. 산소가 결핍된 환경 또는 유해물의 농도가 높거나 독성이 강한 작업장에서 사용해야할 마스크(보호구)로 적합한 것은?
- ① 방진마스크
- ② 방독마스크
- ③ 공기공급식마스크
- ④ 일반면마스크
등록된 댓글이 없습니다.
52. 공장에서 작업중 유해물질이 인체에 침입하는 경로이다. 가장 영향이 작은 것은?
- ① 호흡기
- ② 피부
- ③ 소화기
- ④ 경피흡수
등록된 댓글이 없습니다.
53. ( )에 알맞는 내용은?

- ① 음폐소음
- ② 실소음
- ③ 암소음
- ④ 현장소음
등록된 댓글이 없습니다.
54. 방진마스크의 밀착성 시험중 정량적인 방법에 관한 설명으로 알맞는 것은?
- ① 침입율을 1%이하까지 정확히 평가할 수 있다.
- ② 누설의 판정기준이 지극히 개인적이다.
- ③ 간단하게 실험할 수 있다.
- ④ 시험장치가 비교적 저가이며 측정조작이 쉽다.
등록된 댓글이 없습니다.
55. 다음 물질 중에서 독성이 제일 강한 것은?
- ① CCl4
- ② CH2Cl2
- ③ CH3Cl
- ④ CH4
등록된 댓글이 없습니다.
56. 다음 중금속 중 미나마타(Minamata)병과 관계가 깊은 것은?
- ① 납(pb)
- ② 아연(Zn)
- ③ 수은(Hg)
- ④ 카드뮴(Cd)
등록된 댓글이 없습니다.
57. 다음중 진동방지 대책이 아닌 것은?
- ① 완충물의 사용
- ② 공진점에 진동수를 맞춘다.
- ③ 진동원의 제거
- ④ 진동의 전파경로 차단
등록된 댓글이 없습니다.
58. 진동의 크기를 나타내는데 이용하는 단위가 아닌 것은?
- ① 주파수
- ② 변위진폭
- ③ 속도
- ④ 가속도
등록된 댓글이 없습니다.
59. 방진고무 1개에 대해 50kg 의 하중이 걸릴때 정적 스프링 정수가 10㎏/㎜인 방진고무를 사용하면 정적 수축량은?
- ① 0.5㎜
- ② 1.0㎜
- ③ 5.0㎜
- ④ 10.0㎜
등록된 댓글이 없습니다.
60. 강한 산이나 알카리등을 다루는 작업에서 사용되는 보호복의 재질로 가장 적당한 것은?
- ① 석면
- ② 알루미늄
- ③ 합성섬유
- ④ 고무
등록된 댓글이 없습니다.
4과목 : 산업환기
61. 정압과 속도압에 관한 설명중 맞지 아니한 것은?
- ① 정압 < 대기압이면 (-) 압력이다.
- ② 정압 > 대기압이면 (+) 압력이다.
- ③ 속도압은 언제나 (-) 값이다.
- ④ 정압과 속도압의 합이 전압이다.
등록된 댓글이 없습니다.
62. 자연환기에 대한 설명 중 가장 적합하지 않는 것은?
- ① 에너지 비용을 최소화할 수 있다.
- ② 지붕벤틸레이타, 창문, 출입문 등을 통한 환기방식이다.
- ③ 계절변화에 관계없이 안정적으로 사용할 수 있다.
- ④ 운전비용이 거의 들지 않는다.
등록된 댓글이 없습니다.
63. 국소환기장치의 성능검사시 갖추어야하는 시험장비와 가장 거리가 먼 것은?
- ① 연기 발생기
- ② 피토튜브
- ③ 습구 온도계
- ④ 회전계(RPM측정기)
등록된 댓글이 없습니다.
64. 송풍관의 곡관각이 60° 일때 압력손실 Δ P는? (단, θ가 90° 일때 Δ P는 6㎜H2O이다.)
- ① 4㎜H2O
- ② 5㎜H2O
- ③ 6㎜H2O
- ④ 7㎜H2O
등록된 댓글이 없습니다.
65. 송풍관 설계시 바람직하지 않는 것은?
- ① 마찰계수를 작게한다.
- ② 분지관을 주관에 접속할 때 90° 에 가깝도록 한다.
- ③ 곡관의 반경비 r/d를 크게 한다.
- ④ 분지관을 가급적 적게 한다.
등록된 댓글이 없습니다.
66. 덕트내를 흐르는 기체의 양이 20m3/min 일때 덕트의 압력손실이 15㎜H2O 였다면 동일한 덕트내를 30m3/min의 기체량을 흐르게 할때 압력손실(㎜H2O)은?
- ① 22.50
- ② 25.80
- ③ 33.75
- ④ 45.0
등록된 댓글이 없습니다.
67. 싸이크론의 집진 효율을 향상시키기 위해 Blow down방법을 이용할 때 더스트박스 또는 호퍼부에서 처리 가스량의 몇%를 흡입하는 것이 가장 이상적인가?
- ① 1 ~ 5%
- ② 5 ~ 10%
- ③ 10 ~ 20%
- ④ 20 ~ 30%
등록된 댓글이 없습니다.
68. 국소환기 장치 설계시 가장 먼저 실시하는 항목은?
- ① 후드의 형식선정
- ② 송풍기의 선정
- ③ 제어속도의 설정
- ④ 덕트의 위치 선정
등록된 댓글이 없습니다.
69. 송풍관내를 20℃의 공기가 20 m/sec의 속도로 흐를때 속도압을 구하면? (단, 공기의 밀도는 1.293 ㎏/Sm3, 기압 1 atm)
- ① 19.6 ㎜H2O
- ② 22.4 ㎜H2O
- ③ 24.6 ㎜H2O
- ④ 26.6 ㎜H2O
등록된 댓글이 없습니다.
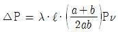
70. 방형 송풍관의 압력손실(Δ P)을 계산하는 식은? (단, λ : 마찰손실계수, ℓ : 송풍관의 길이, Pν : 속도압, a,b : 변의길이)
- ①

- ②

- ③

- ④

등록된 댓글이 없습니다.
71. 도장부스에서 발생된 유기용제 증기를 처리하기 위한 장치로 적당한 것은?
- ① 흡착탑
- ② 전기집진기
- ③ 여과집진기
- ④ 원심력 집진기
등록된 댓글이 없습니다.
72. 다음중 국소환기에서 제어속도가 가장 큰 경우는?
- ① 용접작업
- ② 액면에서 발생하는 가스
- ③ 블라스트작업
- ④ 도금작업
등록된 댓글이 없습니다.
73. 여과집진기의 탈진방식과 거리가 먼 것은?
- ① 진동형(Shaker)
- ② 가열형(Heating)
- ③ 역기류형(Reverse Air flow)
- ④ 펄스제트형(Pulse-Jet)
등록된 댓글이 없습니다.
74. 국소배기장치에 대한 압력측정장비가 아닌 것은?
- ① U자 마노미터
- ② 타코미터
- ③ 피토관
- ④ 경사 마노미터
등록된 댓글이 없습니다.
75. 크롬도금작업장에 가로 0.5m, 세로 2.0m인 부스식후드를 설치하여 크롬산미스트를 처리코자한다. 이때 제어풍속을 0.5㎧로 하면 송풍량은?
- ① 10(m3/min)
- ② 20(m3/min)
- ③ 30(m3/min)
- ④ 40(m3/min)
등록된 댓글이 없습니다.
76. 작업장내의 열부하량이 10,000Kcal/hr 이고 온도가 35℃였다. 외기의 온도가 20℃라면 필요환기량 (m3/hr)은?
- ① 2,222 m3/hr
- ② 3,500 m3/hr
- ③ 6,500 m3/hr
- ④ 15,000 m3/hr
등록된 댓글이 없습니다.
77. 전기 집진장치의 장점이 아닌 것은?
- ① 고온가스를 처리할 수 있어 보일러와 철강로 등에 설치할 수 있다.
- ② 압력손실이 낮아 송풍기의 가동비용이 저렴하다
- ③ 설치공간을 적게 차지한다
- ④ 운전 및 유지비가 저렴하다
등록된 댓글이 없습니다.
78. 터보송풍기의 운전회전수는 3000rpm 이고 송풍량는 300m3/min 이다. 이 송풍기의 회전수를 2000rpm으로 변화시키면 송풍량은? (단, 온도는 25℃로 일정하다.)
- ① 100 m3/min
- ② 200 m3/min
- ③ 300 m3/min
- ④ 400 m3min
등록된 댓글이 없습니다.
79. 다음 중 송풍기의 동력을 구할 때 필요한 인자가 아닌것은?
- ① 송풍기의 효율
- ② 풍량
- ③ 송풍기의 유효전압
- ④ 송풍기의 종류
등록된 댓글이 없습니다.
80. 송풍기의 풍량 조절법에 속하지 않는 것은?
- ① 회전수 변화법
- ② Vane Control법
- ③ Damper 부착법
- ④ 송풍기 풍향 변경법
등록된 댓글이 없습니다.