에너지관리기사(2022. 4. 24.) 시험일자 : 2022년 4월 24일
1과목 : 연소공학
1. 세정 집진장치의 입자 포집원리에 대한 설명으로 틀린 것은?
- ① 액적에 입자가 충동하여 부착한다.
 - ② 입자를 핵으로 한 증기의 응결에 의하여 응집성을 증가시킨다.
 - ③ 마립자의 확산에 의하여 액적과의 접촉을 좋게 한다.
 - ④ 배기의 습도 감소에 의하여 입자가 서로 응집한다.
 
에관기박사2025. 8. 4. 07:29삭제
습도가 감소하면 입자 응집이 줄어듬
세정 집진장치는 물을 뿌려 미세 물방울로 먼지, 분진을 포집하는 방식이므로, 습도 증가해야 입자가 서로 응집함
왕초보2023. 8. 8. 14:05삭제
세정집진장치 = 배기가스에 물 뿌려서, 배기가스를 깨끗하게 바꿔주는 장치
2. 저위발열량 93766kI/Nm3의 C3H8을 공기비 1.2로 연소시킬 때 이론 연소온도는 약 몇 K인가? (단, 배기가스의 평균비열은 1.653kJ/Nm3ㆍK이고 다른 조건은 무시한다.)
- ① 1656
 - ② 1756
 - ③ 1856
 - ④ 1956
 
Sdy2024. 12. 5. 22:12삭제
×
이름2023. 8. 5. 01:28삭제
Hl=G*C*Δt=G*C*(t2-t1)
∴ t2=Hl/G*C* +t1
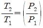
C3H8+5O2→3CO2+4H2O
G=(m-0.21)Ao+연소생성물
   =m-0.21)*Oo/0.21+연소생성물
  = (1.2-0.21)*5/0.21+7=30.57
∴ 이론 연소온도
 t2=Hl/G*C* +t1
    =93766/30.57*1.653=1855.57
     ≒ 1856
낙방만3번2023. 3. 31. 09:54삭제
Q=GCdt,   G( 배기사스량)=이론배기가스량+과잉공기비(B)
1.이론배기가스량 ( C3H8+5O2->3Co2+4H20 + N2)로부터
    3+4+5*3.76 = 25.8 [Nm3/Nm3],
2.과잉비 B=A-A0 = mA0-A0 =A0(m-1) = (5/0.21)*(1.2-1) = 4.76
따라서,  실제배기사스량G = 25.8 + 4.76 =30.56 [Nm3/Nm3]
Q=G*C*dt => dt =Q/G*c  = 93766/ 30.56*1.653 = 1856.17 
3. 탄소(C) 84w%, 수소(H) 12w%, 수분 4w의 중량조성을 갖는 액체연료에서 수분을 완전히 제거한 다음 1시간당 5kg을 완전연소시키는데 필요한 이론공기량은 약 몇 Nm3/h인가?
- ① 55.6
 - ② 65.8
 - ③ 73.5
 - ④ 89.2
 
Sdy2024. 12. 5. 22:13삭제
X
이름2024. 2. 19. 17:16삭제
Ao=(1.867(84/84+12)*5.6(12/84+12)/0.21)*5=55.5625=55.6Nm3/h
4. 다음 체적비(%)의 코크스로 가스 1Nm3를 완전연소시키기 위하여 필요한 이론공기량은 약 몇 Nm3인가?

- ① 0.97
 - ② 2.97
 - ③ 4.97
 - ④ 6.97
 
12024. 4. 9. 09:23삭제
C2H4+3O2 → 2C02+2H20(3.4%)
CO+1/2O2 → C02(6.6%)
H2+1/2O2 → H2O(52%)
CH4+2O2 → C02+2H2O(32.5%)
Ao=Oo/0.21=3*0.034+0.5*0.066+0.5*0.52+2*0.325/0.21=4.976 Nm3
강수2023. 8. 13. 00:45삭제
불연소분 빼고, 3.4%*3-0.1%+6.6%*0.5+32.5%*2+52%*0.5=1.044
1.044/0.21=4.9714
5. 표준 상태에서 메탄 1mol이 연소할 때 고위발열량과 저위발열량의 차이는 약 몇 kJ인가? (단, 물의 증발잠열은 44kJ/mol이다.)
- ① 42
 - ② 68
 - ③ 76
 - ④ 88
 
이름2023. 7. 25. 03:11삭제
CH4+2O2 →CO+2H2O
ΔH=발생수증기량(MOL)*물의 증발잠열(KJ/MOL)
    =2*44=88KJ
6. 가연성 혼합 가스의 폭발한계 측정에 영향을 주는 요소로 가장 거리가 먼 것은?
- ① 온도
 - ② 산소농도
 - ③ 점화에너지
 - ④ 용기의 두께
 
등록된 댓글이 없습니다.
7. 가스폭발 위험 장소의 분류에 속하지 않은 것은?
- ① 제0종 위험장소
 - ② 제1종 위험장소
 - ③ 제2종 위험장소
 - ④ 제3종 위험장소
 
등록된 댓글이 없습니다.
8. 기계분(스토커) 화격자 중 연소하고 있는 석탄의 화층 위에 석탄을 기계적으로 산포하는 방식은?
- ① 횡입(쇄상)식
 - ② 상입식
 - ③ 하입식
 - ④ 계단식
 
ㄱ2024. 1. 20. 09:10삭제
화층위 =상입식
9. 중유를 연소하여 발생된 가스를 분석하였더니 체적비로 CO2는 14%, O2는 7%, N2는 79%이었다. 이 때 공기비는 약 얼마인가? (단, 연료에 질소는 포함하지 않는다.)
- ① 1.4
 - ② 1.5
 - ③ 1.6
 - ④ 1.7
 
Skdyseo 2024. 12. 5. 22:29삭제
중요
이름2023. 7. 25. 03:13삭제
M=21/21-O2(%)=21/21-7=1.5
10. 일반적인 천연가스에 대한 설명으로 가장 거리가 먼 것은?
- ① 주성분은 메탄이다.
 - ② 옥탄가가 높아 자동차 연료로 사용이 가능하다.
 - ③ 프로판가스보다 무겁다.
 - ④ LNG는 대기압 하에서 비등점이 -162℃인 액체이다.
 
등록된 댓글이 없습니다.
11. 다음 중 일반적으로 연료가 갖추어야 할 구비조건이 아닌 것은?
- ① 연소 시 배출물이 많아야 한다.
 - ② 저장과 운반이 편리해야 한다.
 - ③ 사용 시 위험성이 적어야 한다.
 - ④ 취급이 용이하고 안전하며 무해하여야 한다.
 
등록된 댓글이 없습니다.
12. 코크스의 적정 고온 건류온도(℃)는?
- ① 500~600
 - ② 1000~1200
 - ③ 1500~1800
 - ④ 2000~2500
 
ㄱ2024. 1. 20. 09:12삭제
코크스의 적정온도는 1000~1200이다
13. 수소 4kg을 과잉공기계수 1.4의 공기로 완전 연소시킬 때 발생하는 연소가스 중의 산소량은 약 몇 kg인가?
- ① 3.20
 - ② 4.48
 - ③ 6.40
 - ④ 12.8
 
산그린2025. 4. 15. 11:17삭제
0.5mol*(1.4-1)*32kg/2kg *4(kg) = 12.8(kg)
이름2023. 7. 25. 03:14삭제
32*0.4=12.8
14. 액화석유가스(LPG)의 성질에 대한 설명으로 틀린 것은?
- ① 인화폭발의 위험성이 크다.
 - ② 상온, 대기압에서는 액체이다.
 - ③ 가스의 비중은 공기보다 무겁다.
 - ④ 기화잠열이 커서 냉각제로도 이용 가능하다.
 
에관기박사2025. 8. 7. 22:07삭제
상온, 상압에서 기체이며, 압력을 가해야 액화가된다
ㄱ2024. 1. 20. 09:13삭제
상온에서는 기체이다
15. 다음 대기오염 방지를 위한 집진장치 중 습식집진장치에 해당하지 않는 것은?
- ① 백필터
 - ② 층진탑
 - ③ 벤투리 스크러버
 - ④ 사이클론 스크러버
 
에관기박사2025. 7. 23. 16:07삭제
백필터는 건식
나머지는 습식
16. 황(S) 1kg을 이론공기량으로 완전연소시켰을 때 발생하는 연소가스량은 약 몇 Nm3인가?
- ① 0.70
 - ② 2.00
 - ③ 2.63
 - ④ 3.33
 
지나감2025. 4. 15. 12:09삭제
( N2 몰 +  SO2몰 )* S (몰체적/몰질량) * 1Kg
(0.79/0.21 * 1 + 1 ) * 22.4M3/32Kg * 1Kg = 3.332M3/KG
이름2023. 7. 25. 03:22삭제
GOD=(1-0.21)Ao+연소생성물
         =0.79*0.7/0.21+0.7=3.33
17. 대도시의 광화학 스모그(smog) 발생의 원인 물질로 문제가 되는 것은?
- ① NOX
 - ② He
 - ③ CO
 - ④ CO2
 
등록된 댓글이 없습니다.
18. 기체연료의 일반적인 특징으로 틀린 것은?
- ① 연소효율이 높다.
 - ② 고온을 얻기 쉽다.
 - ③ 단위 용적당 발열량이 크다.
 - ④ 누출되기 쉽고 폭발의 위험성이 크다.
 
에관기박사2025. 8. 7. 22:11삭제
기체는 부피용량이 커져서 단위용적이 커지므로, 단위용적당 발열량은 작다
ㄱ2024. 1. 20. 09:17삭제
용적당 발열량이 작다가 맞다
19. 다음 반응식으로부터 프로판 1kg의 발열량은 약 몇 Mj인가?

- ① 33.1
 - ② 40.0
 - ③ 49.6
 - ④ 65.8
 
이름2023. 7. 25. 03:18삭제
C3H8+5O2→3CO2+4H2O
=3*406+4*241=2182KJ
프로판 1G의 발열량=2182*MOL/44G=49.45KJ/G
프로판 1KG의 발열량=49..45*1000G/1KG=49.6MJ/KG
해설2022. 9. 21. 08:20삭제
https://ywpop.tistory.com/22279
20. 석탄, 코크스, 목재 등을 직열상태로 가열하고, 공기로 불완전 연소시켜 얻는 연료는?
- ① 천연가스
 - ② 수성가스
 - ③ 발생로가스
 - ④ 오일가스
 
등록된 댓글이 없습니다.
2과목 : 열역학
21. 다음 중 물의 임계압력에 가장 가까운 값은?
- ① 1.03 kPa
 - ② 100 kPa
 - ③ 22 kPa
 - ④ 63 kPa
 
에관기박사2025. 7. 23. 16:22삭제
22 Mpa 인데, 문제가 잘못된듯...
22. 27℃, 100kPa에 있는 이상기체 1kg을 700 kPa까지 가역 단열압축 하였다. 이 때 소요된 일의 크기는 몇 kJ인가? (단, 이 기체의 비열비는 1.4, 기체상수는 0.287 kJ/kgㆍK이다.)
- ① 100
 - ② 160
 - ③ 320
 - ④ 400
 
12024. 5. 13. 10:35삭제
dQ=du+W 단열(dQ=0)
소요된 일(W)=-du=CvdT=Cv*(T2-T1)
Cv=R/K-1=0.287/1.4-1=0.7175 ↔ R=Cp-Cv=KCv-Cv=(K-1)Cv
T2/T1=(P2/P1)^K-1/K
273+t2/273+27=(700/100)^1.4-1/1.4
t2=250℃
※ 소요된 일(W)=-du=-CvdT=-Cv*(T2-T1)=-0.7175*(250-27)=-160
강수2023. 8. 10. 13:59삭제
가역단열과정 T2/T1=(v1/v2)^(k-1)=(P2/P1)^((k-1)/k), T2=T1*(P2/P1)^((k-1)/k)=(273+27)*(700/100)^((1.4-1)/1.4)=523K
W=mR/(k-1)*(T2-T1)=1*0.287/(1.4-1)*(523-300)=160kJ
23. “PVn=일정”인 과정에서 밀폐계가 하는 일을 나타낸 것은? (단, P는 압력, V는 부피, n은 상수이며, 첨자 1, 2는 각각 과정 전ㆍ후 상태를 나타낸다.)
- ① P2V2-P1V1
 - ② 

 - ③ 

 - ④ P1V1n(V2-V1)
 
등록된 댓글이 없습니다.
24. 압력 1MPa인 포화액의 비체적 및 비엔탈피는 각각 0.0012m3/kg, 762.8kJ/kg이고, 포화증기의 비체적 및 비엔탈피는 각각 0.1944m3/kg, 2778.1kJ/kg이다. 이 압력에서 건도가 0.7인 습증기의 단위 질량당 내부에너지는 약 몇 kJ/kg인가?
- ① 2037.1
 - ② 2173.8
 - ③ 2251.3
 - ④ 2393.5
 
`2024. 5. 13. 12:05삭제
① 습증기의 비엔탈피 hx=h1+x(h2-h1)=762.8kJ/kg+0.7(2778.1kJ/kg-762.8kJ/kg)=2173.5kJ/kg
② 습증기의 비체적 : vx=v1+x(v2-v1)=0.0012m3/kg+0.7(0.1944m3/kg-0.0012m3/kg)=0.1364m3/kg
 ※ 건도 x인 습증기의 내부 에너지 h(엔탈피)=u(내부에너지)+pv 
                                                          U(내부에너지) =hx-Pvx=2173.5-1000*0.1364=2173.4-1000*0.1364=2037.1kJ/kg
ㅇㅇ2023. 9. 15. 10:57삭제
H = U + PV 입니다. P는 1MPA 이고 문제의 조건에 따라 H 와 V를 각각 구할수있으니 대입하면 U 가 나옵니다.  ( h = hf + 건도*hfg)
25. 냉동능력을 나타내는 단위로 0℃의 물 1000kg을 24시간 동안에 0℃의 얼음으로 만드는 능력을 무엇이라 하는가?
- ① 냉동계수
 - ② 냉동마력
 - ③ 냉동톤
 - ④ 냉동률
 
에관기박사2025. 7. 23. 16:34삭제
1000kg 이니깐 냉동'톤'
26. 압축비가 5인 오토 사이클기관이 있다. 이 기관이 15~1500℃의 온도범위에서 작동할 때 최고압력은 약 몇 kPa인가? (단, 최저압력은 100kPa, 비열비는 1.4이다.)
- ① 3090
 - ② 2650
 - ③ 1961
 - ④ 1247
 
TKS2025. 4. 16. 17:54삭제
Pmax=P2*(T3/T2)=P1*e^K*(T3/(T1*e^(K-1)))     <<<< e^k/e^(k-1) = e^(k-(k-1))
=P1*e^(K-K+1)*(T3/T1)        <<< e^(k-k+1) =e^1= e
=100*5*{(1500+273)/(15+273)}=3,078.125
결과적으로 Pmax=P1*e*(T3/T1)
12024. 5. 13. 15:03삭제
1. 압축후 온도계산(T2)
T2/T1=(V1/V2)^K-1=(ε=압축비)^K-1
T2=T1*ε^K-1=(273+15)*5^1.4-1=548K
T2=548K
2. 압축후 압력계산(P2)
P2/P1=(V1/V2)^K=ε^K
P2=P1*ε^K=100*5^1.4=951.83kPa
3. 최고압력(Pmax)=P3=P2*T3/T2=951.83*(1500+273)K/548K=3080kPa
강수2023. 8. 11. 02:14삭제
압축비=V1/V2, T2/T1=(V1/V2)^(k-1)=(P2/P1)^((k-1)/K)
T2=T1(V1/V2)^(k-1)=(273+15)*5^(1.4-1)=548K
P2=P1(V1/V2)^k=100kPa*5^1.4=951.83kPa
Pmax=P3=P2(T3/T2)=951.83*((1500+273)/548)=3080kPa
27. 온도 30℃, 압력 350kPa에서 비체적이 0.449m3/kg인 이상기체의 기체상수는 약 몇 kJ/kgㆍK인가?
- ① 0.143
 - ② 0.287
 - ③ 0.518
 - ④ 0.842
 
12024. 6. 17. 08:44삭제
PV=GRT
P*V/G=RT
350*0.449=R*(273+30)
R=0.518kJ/kgㆍK
이름2023. 7. 25. 03:26삭제
PV=MRT
RT=P*V/M
R=P*Vs/T=350*0.449/273+30=0.518
28. 브레이튼 사이클의 이론 열효율을 높일 수 있는 방법으로 틀린 것은?
- ① 공기의 비열비를 감소시킨다.
 - ② 터빈에서 배출되는 공기의 온도를 낮춘다.
 - ③ 연소기로 공급되는 공기의 온도를 낮춘다.
 - ④ 공기압축기의 압력비를 증가시킨다.
 
연소2024. 4. 23. 11:05삭제
정답: 1.3번 두개입니다
ㄱ2024. 1. 20. 13:17삭제
공기비열비를 감소가아니고 증가
29. 다음 중 이상적인 랭킨 사이클의 과정으로 옳은 것은?
- ① 단열압축→정적가열→단열팽창→정압방열
 - ② 단열압축→정압가열→단열팽창→정적방열
 - ③ 단열압축→정압가열→단열팽창→정압방열
 - ④ 단열압축→정적가열→단열팽창→정적방열
 
등록된 댓글이 없습니다.
30. 열역학 제1법칙을 설명한 것으로 옳은 것은?
- ① 절대 영도 즉 0K에는 도달할 수 없다.
 - ② 흡수한 열을 전부 일로 바꿀 수는 없다.
 - ③ 열을 일로 변환할 때 또는 일을 열로 변환할 때 전체 계의 에너지 총량은 변하지 않고 일정하다.
 - ④ 제3의 물체와 열평형에 있는 두 물체는 그들 상호간에도 열평형에 있으며, 물체의 온도는 서로 같다.
 
등록된 댓글이 없습니다.
31. 냉매가 구비해야 할 조건 중 틀린 것은?
- ① 증발열이 클 것
 - ② 비체적이 작을 것
 - ③ 임계온도가 높을 것
 - ④ 비열비가 클 것
 
에관기박사2025. 8. 4. 07:27삭제
정적비열 (부피를 일정하게 유지하며 가열 시 필요한 열량)
비열비가 클수록 압축 시 온도 상승이 크고, 냉매에 불리
따라서 냉매는 비열비가 작을수록 이상적
32. 성능계수가 4.3인 냉동기가 1시간 동안 30MJ의 열을 흡수한다. 이 냉동기를 작동하기 위한 동력은 약 몇 kW인가?
- ① 0.25
 - ② 1.94
 - ③ 6.24
 - ④ 10.4
 
에관기박사2025. 8. 4. 07:18삭제
COP=Q2/W
4.3=30×1000KJ / W
W= 6976.44KJ
1KWH=3600KJ 이므로
6976.44 ÷ 3600 = 1.9379
12024. 6. 17. 11:01삭제
cop=q2/w
4.3=30^e10^3/3600/w
w=1.94
이름2023. 7. 25. 06:27삭제
W=Q2/COPr=30*10^3/4.3*3,600=1.94kW
33. 단열 밀폐되어 있는 탱크 A, B가 밸브로 연결되어 있다. 두 탱크에 들어있는 공기(이상기체)의 질량은 같고, A탱크의 체적은 B탱크 체적의 2배, A탱크의 압력은 200kPa, B탱크의 압력은 100kPa이다. 밸브를 열어서 평형이 이루어진 후 최종 압력은 약 몇 kPa인가?

- ① 120
 - ② 133
 - ③ 150
 - ④ 167
 
이름2023. 7. 25. 05:23삭제
P=(P1V1+P2V2)/(V1+V2)=((200*2)+(100*1))/2+1=166.67≒166.7
34. 한 과학자가 자기가 만든 열기관이 80℃와 10℃ 사이에서 작동하면서 100kJ의 열을 받아 20kJ의 유용한 일을 할 수 있다고 주장한다. 이 주장에 위배되는 열역학 법칙은?
- ① 열역학 제0법칙
 - ② 열역학 제1법칙
 - ③ 열역학 제2법칙
 - ④ 열역학 제3법칙
 
에관기박사2025. 8. 7. 23:25삭제
만든 열기관 효율
1-(283÷353)= 0.1983 -> 19.83%
문제의 열기관
20KJ ÷ 100KJ = 0.2 -> 20%
이론적으로 가능한 최대 효율보다 높은 효율을 주장하고 있음 -> 이는 열역학 제2법칙 위배
35. 랭킨 사이클로 작동하는 증기 동력 사이클에서 효율을 높이기 위한 방법으로 거리가 먼 것은?
- ① 복수기(응축기)에서의 압력을 상승시킨다.
 - ② 터빈 입구의 온도를 높인다.
 - ③ 보일러의 압력을 상승시킨다.
 - ④ 재열 사이클(reheat cycle)로 운전한다.
 
규2024. 1. 20. 13:21삭제
복수기 압력은 낮게유지시킨다
이름2023. 7. 25. 05:25삭제
① 복수기의 압력을 낮게 유지시켜야 효율이 증대함.
36. CH4의 기체상수는 약 몇 kJ/kgㆍㆍ인가?
- ① 3.14
 - ② 1.57
 - ③ 0.83
 - ④ 0.52
 
이름2023. 7. 25. 05:36삭제
R=8.314/16=0.519≒0.52
37. 압력 300kPa인 이상기체 150kg이 있다. 온도를 일정하게 유지하면서 압력을 100kPa로 변화시킬 때 엔트로피 변화는 약 몇 kJ/K인가? (단, 기체의 정적비열은 1.735kJ/kgㆍK, 비열비는 1.299이다.)
- ① 62.7
 - ② 73.1
 - ③ 85.5
 - ④ 97.2
 
12024. 6. 17. 15:11삭제
T-P  이상기체의 엔트로피 변화량
ΔS=Cp*Ln(T2/T1)+R*Ln(P2/P1)
     등온 T1=T2=Cp*Ln(T2/T1)=0
ΔS=0+R*Ln(P2/P1)*m=(Cp-Cv)*Ln(P2/P1)*m
=(KCv-Cv)Ln(P2/P1)*m
=(K-1)Cv*Ln(P2/P1)*m
=(1.299-1)*1.735*Ln(300/100)*150=85.49
38. 밀폐계가 300kPa의 압력을 유지하면서 체적이 0.2m3에서 0.4m3로 증가하였고 이 과정에서 내부에너지는 20kJ 증가하였다. 이 때 계가 받은 열량은 약 몇 kJ인가?
- ① 9
 - ② 80
 - ③ 90
 - ④ 100
 
이름2023. 7. 25. 05:35삭제
dQ=dU+Pdv=dU+P(V2-V1)=20+300*(0.4-0.2)=80kJ
39. 그림에서 이상기체를 A에서 가역적으로 단열압축시킨 후 정적과정으로 C까지 냉각시키는 과정에 해당되는 것은?

- ① A - B - C
 - ② A - C
 - ③ A - D - C
 - ④ A - E - C
 
이름2023. 7. 25. 05:31삭제
① 정적가열후 정압방열
③ 등온압축후 정적과정
40. 다음 식 줒ㅇ 이상기체 상태에서의 가역 단열과정을 나타내는 식으로 옳지 않은 것은? (단, P, T, V, k는 각각 압력, 온도, 부피, 비열비이고, 아래 첨자 1, 2는 과정 전ㆍ후를 나타낸다.
- ① 

 - ② 

 - ③ 

 - ④ 

 
등록된 댓글이 없습니다.
3과목 : 계측방법
41. 링밸런스식 압력계에 대한 설명으로 옳은 것은?
- ① 도압관은 가늘고 긴 것이 좋다.
 - ② 측정 대상 유체는 주로 액체이다.
 - ③ 계기를 압력원에 가깝게 설치해야 한다.
 - ④ 부식성 가스나 습기가 많은 곳에서도 정밀도가 좋다.
 
123132025. 5. 12. 10:27삭제
도압관을 굵고 짧을 것
측정대상은 주로 기체
부식성 가스나 습기가 많으면 정밀도 떨어짐
ㄱ2024. 1. 20. 17:21삭제
링밸런스식은 압력원에 가까이 설치해야한다
42. 다음과 같이 자동제어에서 응답속도를 빠르게하고 외란에 대해 안정적으로 제어하려 한다. 이 때 추가해야할 제어 동작은?

- ① 다위치동작
 - ② P동작
 - ③ I동작
 - ④ D동작
 
123132025. 5. 12. 10:28삭제
외란 제거, 동작성 향상은 D(미분) 동작
43. 가스 온도를 열전대 온도계를 사용하여 측정할 때 주의해야 할 사항이 아닌 것은?
- ① 열전대는 측정하고자 하는 곳에 정확히 삽입하며 삽입된 구멍에 냉기가 들어가지 않게 한다.
 - ② 주위의 고온체로부터의 복사열의 영향으로 인한 오차가 생기지 않도록 해야 한다.
 - ③ 단자와 보상도선의 +, -를 서로 다른 기호끼리 연결하여 감온부의 열팽창에 의한 오차가 발생하지 않도록 한다.
 - ④ 보호관의 선택에 주의한다.
 
2일의전사2025. 5. 17. 16:06삭제
감온부 열팽창에 의한 오차는 열전대 온도계와는 무관함 
ㄱ2024. 1. 20. 17:22삭제
보상도선은 같은 기호끼리 연결해야 된다
44. 다음 중에서 측온저항체로 사용되지 않는 것은?
- ① Cu
 - ② Ni
 - ③ Pt
 - ④ Cr
 
등록된 댓글이 없습니다.
45. 다음 중 용적식 유량계에 해당하는 것은?
- ① 오리피스미터
 - ② 습식가스미터
 - ③ 로터미터
 - ④ 피토관
 
나만의나그네2025. 4. 11. 13:48삭제
오리피스미터 - 차압식유량계
로터미터 - 면적식유량계
피토관 - 속도수두식 유량계
46. 측정온도범위가 약 0~700℃정도이며, (-)측이 콘스탄탄으로 구성된 열전대는?
- ① J형
 - ② R형
 - ③ K형
 - ④ S형
 
123132025. 5. 12. 10:31삭제
J 0-700 콘스탄탄
R 0-1600 백금(진공, 환원 금속증기 내 사용불가)
K -20 - 1250 알루멜
S 0-1600 백금
47. 측온 저항체에 큰 전류가 흐를 때 중열에 의해 측정하고자 하는 온도보다 높아지는 현상인 자기가열(自己加熱) 현상이 있는 온도계는?
- ① 열전대 온도계
 - ② 압력식 온도계
 - ③ 서미스터 온도계
 - ④ 광고온계
 
ㄱ2024. 1. 20. 17:24삭제
자기가열현상있는 온도계는 서미스터이다
48. 중유를 사용하는 보일러의 배기가스를 오르자트 가스분석계의 가스뷰렛에 시료 가스량을 50mL채취하였다. CO2 흡수피펫을 통과한 후 가스뷰렛에 남은 시료는 44mL이었고, O2 흡수피펫에 통과한 후에는 41.8mL, CO2 흡수피펫에 통과한 후 남은 시료량은 41.4mL이었다. 배기가스 중에 CO2, O2, CO는 각각 몇 vol%인가?
- ① 6, 2.2, 0.4
 - ② 12, 4.4, 0.8
 - ③ 15, 6.4, 1.2
 - ④ 18, 7.4, 1.8
 
12024. 5. 14. 11:34삭제
오르자트 가스분석계 순서 : CO2 → O2 → CO
CO2=(50-44)/50*100%=12%
O2=(44-41.8)/50*100%=4.4%
CO=(41.8-41.4)/50*100%=0.8%
ㅇㅇ2023. 9. 15. 13:45삭제
부피분율을 물어보는 문제입니다. 예를 들어 CO2는 6ml 가 흡수되었고 전체는 50ml 이므로 (6/50)*100 = 12 를 차지합니다.
49. 세라믹(ceramic)식 O2 계의 세라믹 주원료는?
- ① Cr2O3
 - ② Pb
 - ③ P2O5
 - ④ ZrO2
 
등록된 댓글이 없습니다.
50. 국제단위계(SI)에서 길이의 설명으로 틀린 것은?
- ① 기본단위이다.
 - ② 기호는 m이다.
 - ③ 명칭은 미터이다.
 - ④ 소리가 진공에서 1/229792458초 동안 진행한 경로의 길이이다.
 
2일의전사2025. 5. 17. 16:09삭제
소리가 아니라 빛
51. 오벌(oval)식 유량계로 유량을 측정할 때 지시값의 오차 중 히스테리시스 차의 원인이 되는 것은?
- ① 내부 기어의 마모
 - ② 유체의 압력 및 점성
 - ③ 측정자의 눈의 위치
 - ④ 온도 및 습도
 
ㄱ2024. 1. 20. 17:28삭제
오벌식 유량계의 히스테리시스차 원인은
내부기어의 마모이다
52. 다음 중 압전 저항효과를 이용한 압력계는?
- ① 액주형 압력계
 - ② 아네로이드 압력계
 - ③ 박막식 압력계
 - ④ 스트레인게이지식 압력계
 
규2024. 2. 14. 10:55삭제
압전저항효과 는 닥터스트레인지(스트레인게이지)
53. 가스분석계에서 연소가스 분석 시 비중을 이용하여 가장 측정이 용이한 기체는?
- ① NO2
 - ② O2
 - ③ CO2
 - ④ H2
 
등록된 댓글이 없습니다.
54. 전자유량계에서 안지름이 4cm인 파이프에 3L/s의 액체가 흐르고, 자속밀도 1000gauss의 평등자계 내에 있다면 이 때 검출되는 전압은 약 mV인가? (단, 자속분포의 수정 계수는 1이고, 액체의 비중은 1이다.)
- ① 5.5
 - ② 7.5
 - ③ 9.5
 - ④ 11.5
 
강수2023. 8. 12. 12:54삭제
E=BDv, Q=vA, v=Q/A=3/(3.14/4*0.04^2)=2388, E=0.1*0.04*2388=9.5 (1000가우스= 0.1Wb/m2, 나머지 1무시)
55. 액주형 압력계 중 경사관식 압력계의 특정에 대한 설명으로 옳은 것은?
- ① 일반적으로 U자관보다 정밀도가 낮다.
 - ② 눈금을 확대하여 읽을 수 있는 구조이다.
 - ③ 통풍계로는 사용할 수 없다.
 - ④ 미세압 측정이 불가능하다.
 
ㄱ2024. 1. 20. 17:31삭제
경광식 압력계는 확대가가능하다
56. 자동제어에서 비례동작에 대한 설명으로 옳은 것은?
- ① 조작부를 측정값의 크기에 비례하여 움직이게 하는 것
 - ② 조작부를 편차의 크기에 비례하여 움직이게 하는 것
 - ③ 조작부를 목표값의 크기에 비례하여 움직이게 하는 것
 - ④ 조작부를 외란의 크기에 비례하여 움직이게 하는 것
 
2일의전사2025. 5. 17. 16:09삭제
PID 제어에서 P에 해당
57. 흡착제에서 관을 통해 각각 기체의 독자적인 이동속도에 의해 분리시키는 방법으로, CO2, CO, N2, H2, CH4 등을 모두 분석할 수 있어 분리 능력과 선택성이 우수한 가스분석계는?
- ① 밀도법
 - ② 기체크로마토그래피법
 - ③ 세라믹법
 - ④ 오르자트법
 
등록된 댓글이 없습니다.
58. 보일러의 자동제어에서 인터록 제어의 종류가 아닌 것은?
- ① 고온도
 - ② 저연소
 - ③ 불착화
 - ④ 압력초과
 
등록된 댓글이 없습니다.
59. 광고온계의 특징에 대한 설명으로 옳은 것은?
- ① 비접촉식 온도 측정법 중 가장 정밀도가 높다.
 - ② 넓은 특정온도(0~3000℃) 범위를 갖는다.
 - ③ 측정이 자동적으로 이루어져 개인오차가 발생하지 않는다.
 - ④ 방사온도계에 비하여 방사율에 대한 보정량이 크다.
 
등록된 댓글이 없습니다.
60. 열전대 온도계의 보호관으로 석영관을 사용하였을 때의 특징으로 틀린 것은?
- ① 급냉, 급열에 잘 견딘다.
 - ② 기계적 충격에 약하다.
 - ③ 산성에 대하여 약하다.
 - ④ 알칼리에 대하여 약하다.
 
에관기박사2025. 8. 4. 18:53삭제
석영관 만드는 회사 사이트 설명
다른 산과 거의 반응하지 않습니다. 세라믹보다 내산성이 30배, 스테인레스보다 150배 더 강합니다.
ㄱ2024. 1. 23. 23:15삭제
석영관은 산성에 강하다
4과목 : 열설비재료 및 관계법규
61. 다음은 보일러의 급수밸브 및 체크밸브 설치기준에 관한 설명이다. ()안에 알맞은 것은?

- ① ㉠ 5A, ㉡ 10A
 - ② ㉠ 10A, ㉡ 15A
 - ③ ㉠ 15A, ㉡ 20A
 - ④ ㉠ 20A, ㉡ 30A
 
등록된 댓글이 없습니다.
62. 에너지이용 합리화법령상 에너지사용계획을 수립하여 산업통상자원부장관에게 제출하여야 하는 공공사업주관자의 설치 시설 기준으로 옳은 것은?
- ① 연간 2천5백 티오이 이상의 연료 및 열을 사용하는 시설
 - ② 연간 5천 티오이 이상의 연료 및 열을 사용하는 시설
 - ③ 연간 2천5백만 킬로와트시 이상의 전력을 사용하는 시설
 - ④ 연간 5천만 킬로와트시 이상의 전력을 사용하는 시설
 
12024. 5. 14. 12:10삭제
1.공공사업주관자의 설치 시설 기준
① 연간 2천5백 티오이 이상의 연료 및 열을 사용하는 시설(2.5 toe)
② 연간 1천만 킬로와트시 이상의 전력을 사용하는 시설(1천만)
  ↓← 민간사업주관자= 공공사업주관자*2배
2.민간사업주관자의 설치 시설 기준
① 연간 5천 티오이 이상의 연료 및 열을 사용하는 시설(5.0 toe)
② 연간 2천만 킬로와트시 이상의 전력을 사용하는 시설(2천만)
63. 에너지이용 합리화법령에 따라 에너지관리산업기사 자격을 가진 자는 관리가 가능하나, 에너지관리기능사 자격을 가진 자는 관리할 수 없는 보일러 용량의 범위는?
- ① 5t/h 초과 10t/h 이하
 - ② 10t/h 초과 30t/h 이하
 - ③ 20t/h 초과 40t/h 이하
 - ④ 30t/h 초과 60t/h 이하
 
등록된 댓글이 없습니다.
64. 터널가마의 일반적인 특징이 아닌 것은?
- ① 소성이 균일하여 제품의 품질이 좋다.
 - ② 온도조절의 자동화가 쉽다.
 - ③ 열효율이 좋아 연료비가 절감된다.
 - ④ 사용연료의 제한을 받지 않고 전력소비가 적다.
 
등록된 댓글이 없습니다.
65. 점토질 단열재의 특징으로 틀린 것은?
- ① 내스폴링성이 작다.
 - ② 노벽이 얇아져서 노의 중량이 적다.
 - ③ 내화재와 단열재의 역할을 동시에 한다.
 - ④ 안전사용온도는 1300~1500℃ 정도이다.
 
ㄱ2024. 1. 20. 19:41삭제
점토질 단열재는 내스 폴링이 우수합니다
66. 에너지이용 합리화법령상 에너지다소비 사업자는 산업통상자원부령으로 정하는 바에 따라 에너지사용기자재의 현황을 매년 언제까지 시ㆍ도지사에게 신고하여야 하는가?
- ① 12월 31일까지
 - ② 1월 31일까지
 - ③ 2월 말까지
 - ④ 3월 31일까지
 
등록된 댓글이 없습니다.
67. 글로브밸브(globe valve)에 대한 설명으로 틀린 것은?
- ① 밸브 디스크 모양은 평면형, 반구형, 원뿔형, 반원형이 있다.
 - ② 유체의 흐름방향이 밸브 몸통 내부에서 변한다.
 - ③ 디스크 형상에 따라 앵글밸브, Y형밸브, 니들밸브 등으로 분류된다.
 - ④ 조작력이 적어 고압의 대구경 밸브에 적합하다.
 
ㄱ2024. 1. 20. 19:43삭제
글로브밸브는 대구경에는 적합하지 않다
68. 에너지법령에 의한 에너지 총조사는 몇 년 주기로 시행하는가? (단, 간이조사는 제외한다.)
- ① 2년
 - ② 3년
 - ③ 4년
 - ④ 5년
 
ㄱ2024. 1. 20. 19:47삭제
에너지 총조사의 주기는 3년이다
69. 캐스터블 내화물의 특징이 아닌 것은?
- ① 소성할 필요가 없다.
 - ② 접합부 없이 노체를 구축할 수 있다.
 - ③ 사용 현장에서 필요한 형상으로 성형할 수 있다.
 - ④ 온도의 변동에 따라 스폴링을 일으키기 쉽다.
 
ㄱ2024. 1. 20. 19:46삭제
온도변동으로 스폴링을 일으키키는 어렵다
70. 다음 중 보냉재가 구비해야 할 조건이 아닌 것은?
- ① 탄력성이 있고 가벼워야 한다.
 - ② 흡수성이 적어야 한다.
 - ③ 열전도율이 적어야 한다.
 - ④ 복사열의 투과에 대한 저항성이 없어야 한다.
 
t2024. 1. 20. 19:47삭제
복사열 투과 에대한 저항성이 잇어야 한다
71. 열팽창에 의한 배관의 측면 이동을 구속 또는 제한하는 장치가 아닌 것은?
- ① 앵커
 - ② 스토퍼
 - ③ 브레이스
 - ④ 가이드
 
sigong2023. 4. 27. 00:58삭제
브레이스: 진동 흡수
72. 다음 중 에너지이용 합리화법령에 따라 에너지다소비사업자에게 에너지관리 개선명령을 할 수 있는 경우는?
- ① 목표원단위보다 과다하게 에너지를 사용하는 경우
 - ② 에너지관리지도 결과 10% 이상의 에너지효율 개선이 기대되는 경우
 - ③ 에너지 사용실적이 전년도보다 현저히 증가한 경우
 - ④ 에너지 사용계획 승인을 얻지 아니한 경우
 
등록된 댓글이 없습니다.
73. 에너지이용 합리화법령에 따라 에너지사용계획에 대한 검토결과 공공사업주관자가 조치 요철을 받은 경우, 이를 이행하기 위하여 제출하는 이행계획에 포함되어야 할 내용이 아닌 것은? (단, 산업통상자원부장관으로부터 요청 받은 조치의 내용은 제외한다.)
- ① 이행 주체
 - ② 이행 방법
 - ③ 이행 장소
 - ④ 이행 시기
 
등록된 댓글이 없습니다.
74. 도염식요는 조업방법에 의해 분류할 경우 어떤 형식인가?
- ① 불연속식
 - ② 반연속식
 - ③ 연속식
 - ④ 불연속식과 연속식과 절충형식
 
규2024. 2. 14. 11:05삭제
1번.  도염식은 도불
75. 에너지이용 합리화법에 따라 산업통상자원부장관이 국내외 에너지 사정의 변동으로 에너지 수급에 중대한 차질이 발생될 결루 수급안정을 위해 취할 수 있는 조치 사항이 아닌 것은?
- ① 에너지의 배급
 - ② 에너지의 비축과 저장
 - ③ 에너지의 양도ㆍ양수의 제한 또는 금지
 - ④ 에너지 수급의 안정을 위하여 산업통상자원부령으로 정하는 사항
 
등록된 댓글이 없습니다.
76. 에너지이용 합리화법령에 따라 효율관리기자재의 제조업자는 효율관리시험기관으로부터 측정 결과를 통보받은 날부터 며칠 이내에 그 측정 결과를 한국에너지공단에 신고하여야 하는가?
- ① 15일
 - ② 30일
 - ③ 60일
 - ④ 90일
 
등록된 댓글이 없습니다.
77. 에너지이용 합리화법령에 따라 산업통상자원부장관이 위생 접객업소 등에 에너지사용의 제한 조치를 할 때에는 며칠 이전에 제한 내용을 예고하여야 하는가?
- ① 7일
 - ② 10일
 - ③ 15일
 - ④ 20일
 
등록된 댓글이 없습니다.
78. 에너지이용 합리화법상 에너지다소비사업자의 신고와 관련하여 다음 ()에 들어갈 수 없는 것은? (단, 대통령령은 제외한다.)

- ① 한국전력공사
 - ② 한국가스공사
 - ③ 한국가스안전공사
 - ④ 한국지역난방공사
 
등록된 댓글이 없습니다.
79. 다음 보온재 중 재질이 유기질 보온재에 속하는 것은?
- ① 우레탄폼
 - ② 펄라이트
 - ③ 세라믹 파이버
 - ④ 규산칼슘 보온재
 
등록된 댓글이 없습니다.
80. 다음 중 제강로가 아닌 것은?
- ① 고로
 - ② 전로
 - ③ 평로
 - ④ 전기로
 
나만의나그네2025. 4. 11. 12:52삭제
고로(용광로)는 선처를 제조하는 제련로
꺼먹산2025. 1. 12. 22:13삭제
제강로가 아닌 것은 1) 고로 입니다.
5과목 : 열설비설계
81. 급수처리 방법 중 화학적 처리방법은?
- ① 이온교환법
 - ② 가열연화법
 - ③ 증류법
 - ④ 여과법
 
등록된 댓글이 없습니다.
82. 서로 다른 고체 물질 A, B, C인 3개의 평판이 서로 밀착되어 복합체를 이루고 있다. 젖상 상태에서의 온도 분포가 [그림]과 같을 때, 어느 물질의 열전도도가 가장 적은가? (단, 온도 T1=1000℃, T2=800℃, T3=550℃, T4=250℃ 이다.)

- ① A
 - ② B
 - ③ C
 - ④ 모두 같다.
 
낙방만3번2023. 3. 31. 12:45삭제
각각의 A,B,C물질에서의 열전달열량 Q1=Q2=Q3가 같습니다.
Q=k*A*dT에서   Q  가 일정하므로, k와 dT는 상호반비례관계에 있으므로
온도차가 큰 C구간에서 열전도가 가장 작을것이다..
83. 다음 중 사이폰관이 직접 부착된 장치는?
- ① 수면계
 - ② 안전밸브
 - ③ 압력계
 - ④ 어큐물레이터
 
등록된 댓글이 없습니다.
84. 파이프 내경 D(mm)를 유량 Q(m3/s)와 평균속도 C(m/s)로 표시한 식으로 옳은 것은?
- ① 

 - ② 

 - ③ 

 - ④ 

 
등록된 댓글이 없습니다.
85. 수관 보일러와 비교한 원통 보일러의 특징에 대한 설명으로 틀린 것은?
- ① 구조상 고압용 및 대용량에 적합하다.
 - ② 구조가 간단하고 취급이 비교적 용이하다.
 - ③ 전열면적당 수부의 크기는 수관보일러에 비해 크다.
 - ④ 형상에 비해서 전열면적이 작고 열효율은 낮은 편이다.
 
2일의전사2025. 5. 17. 16:20삭제
해설 틀림
수관 보일러는 관 내부에 물이 차있기 때문에 고압 고온에 더 견디기 쉬움
86. 보일러의 강도 계산에서 보일러 동체 속에 압력이 생기는 경우 원주방향의 응력은 축방향 응력의 몇 배 정도인가? (단, 동체 두께는 매우 얇다고 가정한다.)
- ① 2배
 - ② 4배
 - ③ 8배
 - ④ 16배
 
등록된 댓글이 없습니다.
87. 다음 중 특수열매체 보일러에서 가열 유체로 사용되는 것은?
- ① 폴리아미드
 - ② 다우섬
 - ③ 덱스트린
 - ④ 에스테르
 
등록된 댓글이 없습니다.
88. 다음 중 보일러 안정장치로 가장 거리가 먼 것은?
- ① 방폭문
 - ② 안전밸브
 - ③ 체크밸브
 - ④ 고저수위경보기
 
등록된 댓글이 없습니다.
89. 보일러의 만수보존법에 대한 설명으로 틀린 것은?
- ① 밀폐 보존방식이다.
 - ② 겨울철 동결에 주의하여야 한다.
 - ③ 보통 2~3개월의 단기보존에 사용된다.
 - ④ 보일러 수는 pH6 정도 유지되도록 한다.
 
sigong2023. 4. 27. 01:57삭제
pH11
90. 유체의 압력손실에 대한 설명으로 틀린 것은? (단, 관마찰계수는 일정하다.)
- ① 유체의 점성으로 인해 압력손실이 생긴다.
 - ② 압력손실은 유속의 제곱에 비례한다.
 - ③ 압력손실은 관의 길에에 반비례한다.
 - ④ 압력손실은 관의 내경에 반비레한다.
 
r2024. 1. 20. 19:51삭제
압력손실은 관의 길이에 비례함
91. 다음 중 고압보일러용 탈산소제로서 가장 적합한 것은?
- ① (C6H10O5)n
 - ② Na2SO3
 - ③ N2H4
 - ④ NaHSO3
 
t2024. 1. 20. 19:52삭제
하이드라진 
n2h4
sigong2023. 4. 27. 02:01삭제
히드라진(N2H4)
92. 인젝터의 특징으로 틀린 것은?
- ① 급수온도가 높으면 작동이 불가능하다.
 - ② 소형 저압보일러용으로 사용된다.
 - ③ 구조가 간단하다.
 - ④ 열효율은 좋으나 별도의 소요 동력이 필요하다.
 
sigong2023. 4. 27. 02:08삭제
인젝터: 펌프를 이용하지 않고 보일러 자신의 압력으로 급수하는 장치
93. 일반적인 주철제 보일러의 특징으로 적절하지 않은 것은?
- ① 내식성이 좋다.
 - ② 인장 및 충격에 강하다.
 - ③ 복잡한 구조라도 제작이 가능하다.
 - ④ 좁은 장소에서도 설치가 가능하다.
 
등록된 댓글이 없습니다.
94. 프라이밍 및 포밍 발생 시 조치사항에 대한 설명으로 틀린 것은?
- ① 안전밸브를 전개하여 압력을 강하시킨다.
 - ② 증기 취출을 서서히 한다.
 - ③ 연소량을 줄인다.
 - ④ 수위를 안정시킨 후 보일러수의 농도를 낮춘다.
 
에관기박사2025. 7. 23. 20:56삭제
안전밸브는 비정상 압력 상승시 사용, 안전밸브를 개방한다해도 프라이임, 포밍이 잡히지 않음
95. 이온 교환체에 의한 경수의 연화 원리에 대한 설명으로 옳은 것은?
- ① 수지의 성분과 Na형의 양이온과 결합하여 경도성분 제거
 - ② 산소 원자와 수지가 결합하여 경도성분 제거
 - ③ 물속의 음이온과 양이온이 동시에 수지와 결합하여 경도성분 제거
 - ④ 수지가 물속의 모든 이물질과의 결합하여 경도성분 제거
 
등록된 댓글이 없습니다.
96. 수관 1개의 길이가 2200mm, 수관의 내경이 60mm, 수관의 두께가 4mm인 수관 100개를 갖는 수관 보일러의 전열면적은 약 몇 m2인가?

- ① 42
 - ② 47
 - ③ 52
 - ④ 57
 
낙방만3번2023. 3. 31. 13:40삭제
수관보일러의 전열면적 산정시 외경을 선정하여야한다.
d=0.06+(0.004*2),   A=파이*d-L*n = 46.998 m2
97. 방사 과열기에 대한 설명 중 틀린 것은?
- ① 주로 고온, 고압 보일러에서 접촉 과열기와 조합해서 사용한다.
 - ② 화실의 천장부 또는 노벽에 설치한다.
 - ③ 보일러 부하와 함께 등기온도가 상승한다.
 - ④ 과열온도의 변동을 적게 하는데 사용된다.
 
sigong2023. 4. 27. 02:42삭제
오타: 3. 등기온도 -> 증기온도
98. 내압을 받는 어떤 원통형 탱크의 압력이 0.3MPa, 직경이 5m, 강판 두께가 10mm이다. 이 탱크의 이음 효율을 75%로 할 때, 강판의 인장응력(N/mm2)는 얼마인가? (단, 탱크의 반경방향으로 두께에 응력이 유기되지 않는 이론값을 계산한다.)
- ① 200
 - ② 100
 - ③ 20
 - ④ 10
 
용요2025. 4. 18. 12:59삭제
내압: P=0.3 MPa=0.3 N/mm2P=0.3MPa=0.3N/mm2
탱크 직경: D=5 m=5000 mmD=5m=5000mm
강판 두께: t=10 mmt=10mm
이음 효율: η=75%=0.75η=75%=0.75
σ=PxD/(2xtxη)
σ=0.3x5000(2x10x0.75)=1500/15=100
99. 물을 사용하는 설비에서 부식을 초래하는 인자로 가장 거리가 먼 것은?
- ① 용존 산소
 - ② 용존 탄산가스
 - ③ pH
 - ④ 실리카
 
sigong2023. 5. 8. 09:19삭제
실리카(SiO2): 스케일 
100. 보일러의 모리슨형 파형노통에서 노통의 최소 안지름이 950mm, 최고사용압력을 1.1MPa이라 할 때 노통의 최소두께는 몇 mm인가? (단, 평형부 길이가 230mm미만이며, 상수 C는 1100이다.)
- ① 5
 - ② 8
 - ③ 10
 - ④ 13
 
산아래2025. 4. 23. 14:43삭제
파형노통 t=10PD/C (단 모리슨은 D에 50mm를더한 값, P:Mpa, D: mm, C: 상수)
                t  = 10*1.1*(950+50)/C =10