정보통신기사(구)(2014. 3. 9.) 시험일자 : 2014년 3월 9일
1과목 : 디지털 전자회로
1. 정류회로에서 다이오드를 병렬로 여러 개 접속시킬 경우에 나타나는 특성으로 옳은 것은?
- ① 과전압으로부터 보호할 수 있다.
- ② 과전류로부터 보호할 수 있다.
- ③ 정류기의 역방향 전류가 감소한다.
- ④ 부하출력에서 맥동률을 감소시킬 수 있다.
등록된 댓글이 없습니다.
2. 다음 중 정류회로를 평가하는 파라미터에 해당되지 않는 것은?
- ① 최대역전압
- ② 궤환율
- ③ 전압변동률
- ④ 정류효율
등록된 댓글이 없습니다.
3. 다음과 같은 용량성 캐패시터를 이용한 평활회로의 특징으로 옳지 않은 것은?

- ① 정류파형의 주파수가 높을수록 맥동률은 적어진다.
- ② 부하저항이 클수록 맥동률은 적어진다.
- ③ 정류파형의 주파수는 맥동률과 무관하다.
- ④ 캐패시터 용량값이 클수록 맥동률은 적어진다.
등록된 댓글이 없습니다.
4. 잡음지수가 3[dB]이고 증폭도가 20[dB]인 전치 증폭기를 잡음지수가 5[dB]인 종속 증폭기에 연결하면 종합잡음지수는 얼마가 되는가?
- ① 3[dB]
- ② 3.2[dB]
- ③ 5[dB]
- ④ 5.2[dB]
등록된 댓글이 없습니다.
5. 다음 중 증폭기에 대한 설명으로 옳은 것은?
- ① 교류성분을 직류성분으로 변환하기 위한 전기 회로다.
- ② 다이오드를 사용하여 교류 전압원의 (+) 또는 (-)의 반 사이클을 정류하고, 부하에 직류 전압을 흘리도록 한다.
- ③ 교류(AC)를 직류(DC)로 바꾸는 여러 과정 가운데 맥류를 완전한 직류로 바꾸어 준다.
- ④ 입력의 신호변화 형상이 출력단에 확대되어 복사시킨다.
등록된 댓글이 없습니다.
6. 다음 중 트랜지스터 증폭 특성에 대한 설명으로 틀린 것은?
- ① 공통 베이스 회로의 입력 임피던스는 작고 출력 임피던스는 크다.
- ② 공통 베이스 회로의 전류 이득과 공통 컬렉터 회로의 전압 이득은 모두 1보다 크다.
- ③ 공통 컬렉터 회로의 입력 임피던스는 크고 출력 임피던스는 작아 임피던스 매칭 회로로 사용된다.
- ④ 증폭 회로의 입출력 위상관계는 공통 베이스 및 컬렉터 회로의 경우 동일 위상이고 공통 이미터의 경우 반전된 위상이다.
등록된 댓글이 없습니다.
7. 다음 증폭기 회로에서 β=200인 경우 컬렉터 전류 IC는 얼마인가?

- ① 1.25[mA]
- ② 2.00[mA]
- ③ 10.1[mA]
- ④ 1.86[mA]
등록된 댓글이 없습니다.
8. 외부로부터의 전기적인 신호가 없어도 회로 내에서 전기진동을 발생하는 회로를 무엇이라 하는 가?
- ① 발진회로
- ② 변조회로
- ③ 정류회로
- ④ 전원회로
등록된 댓글이 없습니다.
9. 발진회로에서 발진을 지속하기 위해 필요한 과정은?
- ① 출력신호의 일부분을 부궤환시킨다.
- ② 출력신호의 일부분을 정궤환시킨다.
- ③ 외부로부터 지속적으로 입력신호를 제공한다.
- ④ L과 C 성분을 제거한다.
등록된 댓글이 없습니다.
10. FM에서 최대 주파수편이가 60[kHz]이고 최대 변조주파수가 6[kHz]라 하면 변조도는 얼마인가? (단, 변조지수는 8이다.)
- ① 6[%]
- ② 60[%]
- ③ 80[%]
- ④ 120[%]
등록된 댓글이 없습니다.
11. 다음 중 변조과정에 대한 설명으로 옳은 것은?
- ① 반송파에 정보신호(음성ㆍ화상ㆍ데이터 등)를 싣는 것을 변조라 한다.
- ② 변조된 높은 주파수의 파를 반송파라 한다.
- ③ 변조는 소신호로 대전류를 제어하는 것이다.
- ④ 저주파는 음성 신호파를 운반하는 역할을 하므로 피변조파라 한다.
등록된 댓글이 없습니다.
12. 트랜지스터의 스위칭 시간으로 Turn-on 시간은?
- ① 하강시간
- ② 하강시간+축적시간
- ③ 축적시간
- ④ 상승시간+지연시간
등록된 댓글이 없습니다.
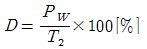
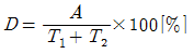
13. 다음 그림은 이상적인 펄스를 나타낸 것이다. 펄스의 듀티 싸이클(Duty Cycle) D의 식으로 맞는 것은?

- ①

- ②

- ③

- ④

등록된 댓글이 없습니다.
14. 다음 그림과 같은 논리회로 출력의 값과 그 기능은?

- ① 11011, 패리티 점검
- ② 11000, 양수/음수 점검
- ③ 11111, 코드 변환
- ④ 100000, 패리티 변환
등록된 댓글이 없습니다.
15. 3(10)을 Gray Code로 변환하면?
- ① 0010
- ② 0001
- ③ 0100
- ④ 0110
등록된 댓글이 없습니다.
16. 0과 1의 조합에 의하여 어떤한 기호라도 표현될 수 있도록 부호화를 행하는 회로를 무엇이라 하는가?
- ① Decoder
- ② Detector
- ③ Encoder
- ④ Comparator
등록된 댓글이 없습니다.
17. 다음 중 환형 계수기(Ring Counter)와 같은 기능을 갖는 것은?
- ① BCD 계수기
- ② 가역 계수기
- ③ 시프트 레지스터
- ④ 순환 시프트 레지스터
등록된 댓글이 없습니다.
18. 기억된 내용을 자외선을 비추어 소거시키는 ROM은?
- ① EPROM
- ② EAROM
- ③ MASK ROM
- ④ EEPROM
등록된 댓글이 없습니다.
19. 디지털 논리 소자에서 회로 동작을 손상시키지 않으면서 출력에 연결할 수 있는 동일한 논리 게이트의 수를 무엇이라고 하는가?
- ① Settling
- ② Fan-Out
- ③ Hold
- ④ Setup
등록된 댓글이 없습니다.
20. 카운터(Counter)를 이용하여 컨베이어 벨트를 통과하는 생산품의 개수를 파악하려고 한다. 최대 500개의 생산품을 카운트하기 위한 카운트를 플립플롭을 이용 제작할 때 최소한 몇 개의 플립플롭이 필요한가?
- ① 5
- ② 7
- ③ 9
- ④ 11
등록된 댓글이 없습니다.
2과목 : 정보통신 시스템
21. 다음의 정보통신망 구성 요소 중 일반 전화기는 어디에 속하는가?
- ① 단말장치
- ② 교환장치
- ③ 전송장치
- ④ 중계장치
등록된 댓글이 없습니다.
22. 다음 중 혼합형 동기식 전송방식에 대한 설명으로 옳지 않는 것은?
- ① 동기식 전송과 비동기식 전송을 혼합한 것이다.
- ② 문자와 문자 사이에 휴지 시간이 있다.
- ③ 송신측과 수신측이 비동기 상태에 있어야 한다.
- ④ 비동기식보다는 전송 속도가 빠르다.
등록된 댓글이 없습니다.
23. 아날로그 전송 회선에서 BPSK 변조 방식을 사용하여 4,800[bps]의 전송 속도로 데이터를 전송하려 할 때 필요한 주파수대역폭은? (단, 잡음이 없는 채널인 경우)
- ① 1,200[Hz]
- ② 2,400[Hz]
- ③ 4,800[Hz]
- ④ 9,600[Hz]
등록된 댓글이 없습니다.
24. 다음 중 BSC 프로토콜에서 사용되지 않는 방식은?
- ① 루프(Loop) 방식
- ② 반이중(Half Duplex) 방식
- ③ 포인트 투 포인트(Point-to-Point) 방식
- ④ 셀렉션(Selection) 방식
등록된 댓글이 없습니다.
25. 표준화 기구 중에서 주로 데이터 통신의 물리적인 연결 인터페이스와 전자신호의 규격을 규정하는 기관은?
- ① RFC
- ② EIA
- ③ IEEE
- ④ ITU-R
등록된 댓글이 없습니다.
26. 데이터에 통신국의 주소, 에러 검출 부호, 프로토콜 제어 등의 제어정보인 헤더(Header)를 부착하는 기능은?
- ① 흐름제어
- ② 주소지정
- ③ 다중화
- ④ 캡슐화
등록된 댓글이 없습니다.
27. 프로토콜의 구성요소 중 통신할 ‘신호들의 실제 의미’란 뜻으로 상호협상과 오류처리에 대한 제어정보 등이 포함되는 것은?
- ① 의미(Semantics)
- ② 구문(Syntax)
- ③ 동기(Timing)
- ④ 포맷(Format)
등록된 댓글이 없습니다.
28. 전자우편이나 파일 전송과 같은 사용자 서비스를 제공하는 계층은?
- ① 물리계층
- ② 데이터링크계층
- ③ 표현계층
- ④ 응용계층
등록된 댓글이 없습니다.
29. LAN의 전송방식에서 원래의 신호를 다른 주파수대역으로 옮기지 않고 전송하는 방식은?
- ① 브로드밴드 방식
- ② 링 방식
- ③ 루프 방식
- ④ 베이스밴드 방식
등록된 댓글이 없습니다.
30. 다음 중 유선 홈네트워킹 기술로 적합하지 않는 것은?
- ① Home PNA
- ② PLC(Power Line Communication)
- ③ UWB
- ④ IEEE 1394
등록된 댓글이 없습니다.
31. 이동통신에서 반사나 회절 등으로 전파 전송경로가 다르게 되어 수신신호의 레벨이 변동이 생기는데 이러한 현상을 무엇이라 하는가?
- ① 페이딩 현상
- ② 도플러 현상
- ③ 채널간섭 현상
- ④ 지연확산 현상
등록된 댓글이 없습니다.
32. 무선통신시스템에 적용되는 슈퍼헤테로다인 방식의 수신부를 신호 흐름 순서대로 올바르게 구성한 것은?
- ① 믹서 - IF증폭기 - 복조기 - 재생기
- ② 복조기 - 믹서 - IF증폭기 - 재생기
- ③ 재생기 - IF증폭기 - 믹서 - 복조기
- ④ IF증폭기 - 믹서 - 재생기 - 복조기
등록된 댓글이 없습니다.
33. 우주 잡음, 대기 가스, 강우에 의한 감쇠 및 열잡음 등의 영향이 적은 전파의 창(Radio Window)에 해당하는 주파수 대역으로 옳은 것은?
- ① 1[GHz] 이하
- ② 1 ~ 10GHz]
- ③ 10 ~15GHz]
- ④ 30 GHz] 이상
등록된 댓글이 없습니다.
34. 광대역통합망(BcN : Broadband Convergency Network)의 계층구조 중 전달망 계층에 대한 설명으로 옳지 않은 것은?
- ① 광대역(Broadband) 서비스 제공
- ② 이동망 사용자의 이동성(Mobility)
- ③ 서비스 보장(QoS) 및 정보보안
- ④ 소프트위치에 의한 다양한 서비스 구현
등록된 댓글이 없습니다.
35. 종합정보통신망(ISDN)에서 사용자-망간 인터페이스의 기본 채널구조인 2B+D의 전송용량은?
- ① 48[kbps]
- ② 96[kbps]
- ③ 144[kbps]
- ④ 192[kbps]
등록된 댓글이 없습니다.
36. 광케이블을 집안까지 연결함으로써 기존 방식에 비해 빠르고 안정된 품질의 서비스가 가능한 초고속 인터넷 설비 방식을 무엇이라 하는가?
- ① FTTH
- ② HFC
- ③ FTTO
- ④ FTTC
등록된 댓글이 없습니다.
37. 정보통신 시스템 구축 시 네트워크에 관한 고려사항이 아닌 것은?
- ① 파일 데이터의 종류 및 측정방법
- ② 백업회선의 필요성 여부
- ③ 단독 및 다중화 등 조사
- ④ 분기회선 구성 필요성
등록된 댓글이 없습니다.
38. 시스템을 구성하는 각 장비의 기능에 따라 정상상태를 시험할 목적으로 사용되는 프로그램은?
- ① 프로그램 보수 프로그램
- ② 장애해석 프로그램
- ③ 시스템 가동 통계 프로그램
- ④ 보수시험 프로그램
등록된 댓글이 없습니다.
39. 다음 중 TMN(Telecommunication Management Network)에서 정의 하고 있는 5가지 관리 기능에 해당하지 않는 것은?
- ① 성능관리
- ② 보안관리
- ③ 조직관리
- ④ 구성관리
등록된 댓글이 없습니다.
40. 20개의 전화국 간을 메시(Mesh)형으로 연결하려면 필요한 회선 수는?
- ① 190개
- ② 200개
- ③ 260개
- ④ 380개
등록된 댓글이 없습니다.
3과목 : 정보통신 기기
41. 어떤 펄스의 펄스시간이 1,000×10-6[sec]일 때, 이 펄스의 변조속도[baud]는?
- ① 1[baud]
- ② 10[baud]
- ③ 100[baud]
- ④ 1,000[baud]
등록된 댓글이 없습니다.
42. 다음 중 정보통신시스템의 구성요소가 아닌 것은?
- ① 통신회선
- ② 통신제어장치
- ③ 단말장치
- ④ 전송통제기
등록된 댓글이 없습니다.
43. 터미널과 데이터 전송회선을 연결해주는 부분으로 터미널 내부의 전기적 신호레벨과의 상호변환 역할은 어느 부분에서 담당하는가?
- ① 회선 접속부
- ② 회선 제어부
- ③ 입출력 제어부
- ④ 신호 제어부
등록된 댓글이 없습니다.
44. 두 개의 음성급 회선을 이용하여 고속의 전송속도를 얻을 수 있는 것은?
- ① 집중화기
- ② 다중화기
- ③ 역 다중화기
- ④ 포트 공동 이용기
등록된 댓글이 없습니다.
45. TDM에서 n개의 신호 출처가 있다면 각 프레임이 포함하는 시간 슬롯(Time Slot)은 최소 몇 개 인가?
- ① n-1개
- ② n개
- ③ n+1개
- ④ n+2개
등록된 댓글이 없습니다.
46. 어느 센터의 최번시 통화량을 측정하니 1시간동안에 3분짜리 100개가 측정되었다. 이 센터의 최번시 통화량은 몇 [Erl]인가?
- ① 4[Erl]
- ② 5[Erl]
- ③ 6[Erl]
- ④ 7[Erl]
등록된 댓글이 없습니다.
47. 다음 중 포트 공용 이용기(Port Sharing Unit)의 특징이 아닌 것은?
- ① 여러 대의 터미널이 하나의 포트를 이용하므로 포트의 비용을 줄일 수 있다.
- ② 폴링과 셀렉션 방식에 의한 통신이다.
- ③ 컴퓨터와 가까운 곳에 있는 터미널이나 원격지 터미널에 모두 이용 할 수 있다.
- ④ 컴퓨터 포트의 평균 사용률이 낮으므로 낮은 개선을 위해 사용한다.
등록된 댓글이 없습니다.
48. 다음 중 집중화기에 대한 설명으로 옳지 않은 것은?
- ① 개개의 입력회선을 n개의 출력회선으로 집중화하는 장치이다.
- ② 입력회선의 수는 출력회선의 수보다 같거나 많다.
- ③ 하나의 고속 통신회선에 여러 개의 저속 통신회선을 접속하기 위해 사용한다.
- ④ 동기식인 비트 삽입식과 비동기식인 문자 삽입식으로 분류된다.
등록된 댓글이 없습니다.
49. 제공되는 프로그램 패키지를 횟수에 관계없이 일정기간 시청하고 정액제 방식으로 VOD콘텐츠를 과금하는 방식을 무엇이라 하는가?
- ① Real VOD
- ② Subscription VOD
- ③ Near VOD
- ④ Free VOD
등록된 댓글이 없습니다.
50. 전화기와 교환기 간의 접속 제어 정보를 전달하는 신호방식은?
- ① 가입자선 신호 방식
- ② 중계선 신호 방식
- ③ No.6 신호 방식
- ④ No.7 신호 방식
등록된 댓글이 없습니다.
51. 현재 방송장비에서 많이 사용하는 전송 방식으로 아날로그 CCTV 카메라 에서도 기존에 설치되어 있는 동축케이블을 활용해 고화질 영상전송이 가능하게 한 방식은?
- ① DNR
- ② HD-SDI
- ③ HDMI
- ④ WDR
등록된 댓글이 없습니다.
52. 다음 중 CCTV의 기본 구성에 해당하지 않는 것은?
- ① 촬상 장치
- ② 전송 장치
- ③ 스펙트럼 분석 장치
- ④ 표시 장치
등록된 댓글이 없습니다.
53. H.323 또는 SIP(Session Initiation Protocol)의 프로토콜을 이용하여 인터넷 상에서 음성 전화 서비스를 제공하는 것을 무엇이라 하는가?
- ① VoIP
- ② Zigbee
- ③ Bluetooth
- ④ WPAN
등록된 댓글이 없습니다.
54. 다음 중 강우로 인한 위성통신 신호의 감쇠를 보상하기 위한 방법이 아닌 것은?
- ① Site Diversity
- ② Angle Diversity
- ③ Orbit Diversity
- ④ Frequency Diversity
등록된 댓글이 없습니다.
55. 다음 중 정지위성에 대한 설명으로 옳지 않은 것은?
- ① 지구 전체 커버 위성 수는 90도 간격으로 최소 4개이다.
- ② 지구표면으로부터 정지 궤도의 고도는 약 36,000[km]이다.
- ③ 지구 중심으로부터 고도는 약 42,000[km]이다.
- ④ 지구의 인력과 위성의 원심력이 일치하는 공간에 위치한다,
등록된 댓글이 없습니다.
56. 자유 공간에서 송수신 안테나간 거리 2[km],에 10[GHz]의 주파수로 통신 링크를 구성하고자 한다. 이에 대한 전송경로 손실은 대략 얼마인가?
- ① 106.52[dB]
- ② 112.52[dB]
- ③ 118.52[dB]
- ④ 124.52[dB]
등록된 댓글이 없습니다.
57. 이동전화망의 위치등록 장치인 HLR(Home Location Register)의 기능이 아닌 것은?
- ① 등록인식
- ② 위치확인
- ③ 채널할당
- ④ 루팅정보조회
등록된 댓글이 없습니다.
58. 고품질의 음성 및 영상 서비스를 제공할 수 있는 이동형 멀티미디어 방송은?
- ① HDTV(High Definition Television)
- ② DMB(Digital Multimedia Broadcasting)
- ③ TRS(Trunked Radio System)
- ④ IS-95C
등록된 댓글이 없습니다.
59. 다음 중 비디오텍스의 하드웨어 구성요소가 아닌 것은?
- ① 정보 통신망
- ② 사용자 단말기
- ③ 중앙 정보 센터
- ④ 헤드엔드
등록된 댓글이 없습니다.
60. 다음 중 메시지 처리시스템(MHS)의 구성 요소가 아닌 것은?
- ① MS(Message Store)
- ② UA(User Agent)
- ③ AU(Access Unit)
- ④ MH(Message Host)
등록된 댓글이 없습니다.
4과목 : 정보전송 공학
61. 한 개의 광섬유에 파장이 다른 신호를 단일 빔으로 모사서 전송하는 광 다중 전송방식은?
- ① WCM
- ② TDM
- ③ FDM
- ④ WDM
등록된 댓글이 없습니다.
62. 다음 중 통신속도와 채널용량에 대한 설명으로 맞는 것은?
- ① 변조속도는 통신회선에 1초 동안 전송 할 수 있는 비트 수이다.
- ② 신호속도는 1분 동안에 통신회선에 전달 할 수 있는 비트 수이다.
- ③ 전송속도는 1분 동안에 통신회선에 전송 할 수 있는 문자 수이다.
- ④ 전송로에 단위 시간당 전달할 수 있는 최대 전송률을 Shannon의 채널용량이라고 한다.
등록된 댓글이 없습니다.
63. 16진 PSK를 사용하는 시스템에서 데이터 신호속도가 12,400[bps]라면 변조속도는 얼마인가?
- ① 775[baud]
- ② 1,550[baud]
- ③ 3,100[baud]
- ④ 6,200[baud]
등록된 댓글이 없습니다.
64. 5[kHz]의 음성신호를 재생시키기 위한 표본화 주기는?
- ① 225[μs]
- ② 200[μs]
- ③ 125[μs]
- ④ 100[μs]
등록된 댓글이 없습니다.
65. CDMA 통신망에서 주파수 재사용 패턴(Frequency Reuse Pattern) K=1을 적용할 수 있는 것은 어떤 기술에 의하여 가능하게 되는가?
- ① Orthogonal Code
- ② 채널 코딩(Channel Coding)
- ③ 소스 코딩(Source Coding)
- ④ Equalizing
등록된 댓글이 없습니다.
66. 다음 문장의 괄호 a-b-c-d-e가 순서대로 바르게 짝지어진 것은?

- ① 토플로지 - 중계기 - 스위치 - 교환기 - 증폭기
- ② 링크 - 집중화기 - 다중화기 - MUX - 안테나
- ③ 네트워크 - 이더넷 - 무선통신망 - 전화선 - 발진기
- ④ 전송매체 - 유도전송매체 - 비유도전송매체 - 유선 - 공기
등록된 댓글이 없습니다.
67. 가장 널리 사용되는 100[Mbps] 디지털 전송용 UTP 케이블의 접속에 사용되는 8핀 커넥터 표준 규격은?
- ① RS-22
- ② RS-45
- ③ RJ-22
- ④ RJ-45
등록된 댓글이 없습니다.
68. Hub(허브)등이 없는 상태에서 동종 장비 간, 예를 들어 컴퓨터와 컴퓨터 간에 직접 연결하여 정보를 교환 할 때 사용하는 케이블은?
- ① Cross 케이블
- ② Link 케이블
- ③ Hub 케이블
- ④ Extend 케이블
등록된 댓글이 없습니다.
69. 블록동기 방식 중 문자동기 방식에 대한 설명으로 옳지 않은 것은?
- ① 데이터블록 앞에 데이터의 시작을 알리는 전송제어 코드 ‘STX’사용
- ② 전송 시 동기용 전송 제어코드 ‘SYN’ 2개 이상 사용
- ③ 데이터 전송의 끝을 의미하는 ‘END’ 제어신호 사용
- ④ 에러를 체크하기 위한 에러제어코드 ‘BCC’사용
등록된 댓글이 없습니다.
70. ‘TEST’라는 문자를 아스키(ASKII) 코드 형태로 변환하여 비동기 방식으로 전송할 때 스타트 비트, 스톱 비트를 각각 1비트로 할 경우 전송되는 총 비트수는?
- ① 6[bit]
- ② 28[bit]
- ③ 32[bit]
- ④ 40[bit]
등록된 댓글이 없습니다.
71. 다음 중 통화로 신호방식에 대한 설명으로 옳지 않은 것은?
- ① 개별선 신호방식 또는 CAS 방식으로 불린다.
- ② 통화로와 신호로가 개별회선에 중첩되는 방식이다.
- ③ 통신선로를 송신 및 수신선로로 구분할 필요가 없다.
- ④ 대표적으로 R1, R2, No.1~5을 들 수 있다.
등록된 댓글이 없습니다.
72. 다음 중 디지털 통신망에서 발생하는 Slip에 대한 설명으로 옳지 않은 것은?
- ① 일종의 버퍼인 ES의 오버플로우나 언더플로우에 의한 데이터 손실을 Slip이라고 한다.
- ② Slip이 제어되지 않으면 프레임 동기 손실을 유발한다.
- ③ 1프레임 단위로 발생하는 Slip을 Controlled Slip이라 한다.
- ④ Slip를 방지하는 방법으로 SSB(Single Side Band)방법을 사용한다.
등록된 댓글이 없습니다.
73. 다음 중 서브넷팅(Subnetting)을 하는 이유로 옳지 않은 것은?
- ① IP주소를 효율적으로 사용할 수 있다.
- ② 트래픽의 관리 및 제어가 가능하다.
- ③ 불필요한 브로드캐스팅 메시지를 제한할 수 있다.
- ④ 서브넷 분할을 하면 호스트 ID를 사용하지 않아도 된다.
등록된 댓글이 없습니다.
74. IPv4와 IPv6의 특징에 대한 설명으로 틀린 것은?
- ① IPv6는 IPv4 주소공간의 4배인 128비트의 주소 공간을 갖는다.
- ② IPv4의 주소는 10진수로 표시되고 IPv6의 주소는 16진수로 표시된다.
- ③ IPv6는 A, B, C, D 등의 클래스 단위로 비순차적 주소 할당방식을 사용한다.
- ④ IPv4는 별도로 IPSec과 같은 보안 관련 프로토콜을 설치해야 한다.
등록된 댓글이 없습니다.
75. 다음 중 VLAN의 설명으로 옳은 것은?
- ① 유니캐스트 도메인(Unicast Domain)을 분리한다.
- ② 브로드캐스트 도메인(Broadcast Domain)을 분리한다.
- ③ 애니캐스트 도메인(Anycast Domain)을 분리한다.
- ④ 멀티캐스트 도메인(Multicast Domain)을 분리한다.
등록된 댓글이 없습니다.
76. 다음 중 IPv4의 주소 구성을 나타낸 것으로 옳은 것은?(오류 신고가 접수된 문제입니다. 반드시 정답과 해설을 확인하시기 바랍니다.)
- ①

- ②

- ③

- ④

등록된 댓글이 없습니다.
77. IP 통신망의 경로 지정 통신 규약의 하나로서 경유하는 라우터의 대수(또는 홉)에 따라 최단 경로를 동적으로 결정하는 거리 벡터 알고리즘을 사용하는 프로토콜은?
- ① RIP(Routing Information Protocol)
- ② OSPF(Open Shortest Path First)
- ③ BGP(Border Gateway Protocol)
- ④ DHCP(Dynamic Host Configuration Protocol)
등록된 댓글이 없습니다.
78. 인터넷 전화(VoIP)망과 유선 전화망(PSTN) 간을 상호 연동시키는데 시용되는 시그널링 프로토콜은?
- ① SIGTRAN
- ② No.7 CSS
- ③ R2 CAS
- ④ H.323
등록된 댓글이 없습니다.
79. 전송제어 프로토콜 중 HDLC 프로토콜의 시작 플래그(Opening Flag)가 ‘01111110’이면, 종료 플래그(Closing Flag)는 어느 것인가?
- ① 11111110
- ② 01111111
- ③ 01111110
- ④ 11111111
등록된 댓글이 없습니다.
80. 다음 중 FEC(Forward Error Correction)의 특징이 아닌 것은?
- ① 역 채널을 사용하지 않는다.
- ② 연속적 데이터 전송이 가능하다.
- ③ 기기와 코딩 방식이 단순하다.
- ④ 잉여 비트에 의한 전송채널 대역이 낭비된다.
등록된 댓글이 없습니다.
5과목 : 전자계산기일반 및 정보통신설비기준
81. 제어장치를 마이크로프로그래밍(Microprogramming)으로 구현하였을 때 하드와이어(Hardwired) 제어장치에 비하여 장점이 되지 않는 것은?
- ① 제어 속도가 빠르다.
- ② 제어 장치의 설계를 단순화 할 수 있다.
- ③ 오류 발생률이 낮다.
- ④ 구현 비용이 적게 든다.
등록된 댓글이 없습니다.
82. 다음 중 인터넷 응용에 적합한 객체지향 언어는?
- ① Fortran
- ② Ada
- ③ Java
- ④ Lisp
등록된 댓글이 없습니다.
83. 다음 중 I/O 채널(Channel)에 대한 설명으로 틀린 것은?
- ① CPU는 일련의 I/O 동작을 지시하고 그 동작 전체가 완료된 시점에서만 인터럽트를 받는다.
- ② 입출력 동작을 위한 명령문 세트를 가진 프로세서를 포함하고 있다.
- ③ 선택기 채널(Selector Channel)은 여러 개의 고속 장치들을 제어한다.
- ④ 멀티플렉서 채널(Multiplexer Channel)은 복수개의 입ㆍ출력 장치를 동시에 제어할 수 없다.
등록된 댓글이 없습니다.
84. 다음 진수 표현 중 가장 큰 수는?
- ① FF(16)
- ② 257(10)
- ③ 11111111(2)
- ④ 377(8)
등록된 댓글이 없습니다.
85. 다음 중 컴퓨터에서 수를 표현하는 방식이 아닌 것은?
- ① 양자화 표현
- ② 1의 보수 표현
- ③ 2의 보수 표현
- ④ 부호화 - 절대치 표현
등록된 댓글이 없습니다.
86. 다음 중 운영체제에 대한 설명으로 틀린 것은?
- ① 시스템을 관리하고 제어하는 기능을 가진다.
- ② 윈도우나 유닉스는 명령어 실행과 수행방법이 같다.
- ③ 대표적인 운영체제는 윈도우 XP, 윈도우 7, 리눅스 등이 있다.
- ④ 컴퓨터와 사용자 간에 중재적인 역할은 한다.
등록된 댓글이 없습니다.
87. 10진수 56789에 대한 BCD코드(Binary Coded Decimal)는 어느 것인가?
- ① 0101 0110 0111 1000 1001
- ② 0011 0110 0111 1000 1001
- ③ 0111 0110 0111 1000 1001
- ④ 1001 0110 0111 1000 1001
등록된 댓글이 없습니다.
88. 마이크로프로세서를 구성하는 요소 장치로 데이터 처리과정에서 필수적으로 요구되는 것끼리 올바르게 짝지어진 것은?
- ① 제어장치, 저장장치
- ② 연산장치, 제어장치
- ③ 저장장치, 산술장치
- ④ 논리장치, 산술장치
등록된 댓글이 없습니다.
89. 다음 프로세스간 통신에 있어서 직접통신과 관련이 없는 사항은?
- ① 각 쌍의 프로세스에 대해서 정확히 하나의 통로만 존재한다.
- ② 한 통로는 두개 이상의 프로세스와 연관될 수 있다.
- ③ 프로세스들이 서로 통신을 하기 위해서는 상대방의 이름만 알면 된다.
- ④ 통로는 보통 단일 방향이거나 양쪽 방향일 수 있다.
등록된 댓글이 없습니다.
90. 최근 운영체제들은 다양한 기능과 사용자의 편의성을 개선한 GUI가 개발되고 있으며 컴퓨터 시스템의 운영에 필요한 자원관리기능을 향상시키기 위한 연구도 진행되고 있다. 이와 같은 운영체제의 자원관리기능에 속하지 않는 것은?
- ① 메모리
- ② 컴파일러
- ③ 주변장치
- ④ 데이터
등록된 댓글이 없습니다.
91. 정보통신공사업의 등록기준에 있어서 법인인 경우 자본금은 얼마 이상이어야 하는가?
- ① 5천만원
- ② 1억원
- ③ 1억 5천만원
- ④ 2억 5천만원
등록된 댓글이 없습니다.
92. 다음 중 전기통신사업법령이 정하는 사항을 갖추어 미래창조과학부장관에게 등록하면 경영할 수 있는 전기통신사업은?(오류 신고가 접수된 문제입니다. 반드시 정답과 해설을 확인하시기 바랍니다.)
- ① 기간통신사업
- ② 별정통신사업
- ③ 통합통신사업
- ④ 부가통신사업
등록된 댓글이 없습니다.
93. 다음 중 정보통신공사의 설계 및 시공에 관한 설명으로 틀린 것은?
- ① 공사를 설계하는 자는 기술기준에 적합하도록 설계하여야 한다.
- ② 설계도서를 작성하는 자는 그 설계도서에 서명또는 기명날인하여야 한다.
- ③ 감리원은 설계도서 및 관련 규정에 적합하도록 공사를 감리하여야 한다.
- ④ 감리업체는 그가 감리한 공사의 준공설계도서를 준공 후 5년간 보관하여야 한다.
등록된 댓글이 없습니다.
94. 정보통신의 표준화에 관한 업무를 효율적으로 추진하기 위하여 미래창조과학부장관의 인가를 받아 설립된 기관은?
- ① 한국정보통신기술협회
- ② 한국정보화진흥원
- ③ 국립전파연구원
- ④ 한국방송통신전파진흥원
등록된 댓글이 없습니다.
95. 다음 중 구내통신선로설비에서 충분한 회선을 확보하여야 하는 경우와 관계없는 것은?
- ① 옥외로 인입되는 국선의 구성
- ② 구내로 인입되는 국선의 수용
- ③ 구내회선의 구성
- ④ 단말장치 등의 증설
등록된 댓글이 없습니다.
96. 해킹, 컴퓨터 바이러스, 논리폭탄, 메일폭탄, 서비스 거부 또는 고출력 전자기파 등의 방법으로 정보통신망 또는 이와 관련된 정보시스템을 공격하는 행위를 하여 발생한 사태를 무엇이라 하는가?
- ① 인터넷 사태
- ② 정보통신 사태
- ③ 침해사고
- ④ 통신사고
등록된 댓글이 없습니다.
97. 국선 수용 회선이 100회선 이하인 주배선반선의 접지저항 허용범위는 얼마인가?
- ① 1,000[Ω] 이하
- ② 100[Ω] 이하
- ③ 10[Ω] 이하
- ④ 1[Ω] 이하
등록된 댓글이 없습니다.
98. 방송통신설비의 기술기준에 관한 규정에서 정의한 ‘특고압’은?
- ① 7,000볼트를 초과하는 전압
- ② 5,000볼트를 초과하는 전압
- ③ 2,500볼트를 초과하는 전압
- ④ 직류는 750볼트, 교류는 600볼트를 초과하는 전압
등록된 댓글이 없습니다.
99. 정보통신공사업법에서 정하는 용어의 정의로 옳지 않은 것은?
- ① ‘정보통신설비’란 유선, 무선, 광선, 그 밖의 전자적 방식으로 정보를 저장ㆍ제어ㆍ처리하거나 송수신하기 위한 설비를 말한다.
- ② ‘설계’란 공사에 관한 계획서, 설계도면, 시방서(示方書), 공사비명세서, 기술계산서 및 이와 관련된 서류를 작성하는 행위를 말한다.
- ③ ‘용역’이란 다른 사람의 위탁을 받아 공사에 관한 조사, 설계, 감리, 사업관리 및 유지관리 등의 역무를 하는 것을 말한다.
- ④ ‘감리’란 품질관리ㆍ시공관리에 대한 지도 등에 관한 시공자의 권한을 대행하는 것을 말한다.
등록된 댓글이 없습니다.
100. 다음 중 정보통신설비의 사용전검사에 관한 100.설명으로 옳지 않은 것은?
- ① 사용점검사를 받으려는 자는 신청서를 제출하여야 한다.
- ② 사용전검사 신청을 받은 지자체의 장은 검사를 실시하여야 한다.
- ③ 검사 결과가 부적합하다고 판정받으면 즉시 시설물을 해체하여야 한다.
- ④ 검사 결과가 적합하면 지자체의 장은 가용전검사필증을 발급한다.
등록된 댓글이 없습니다.