소방설비기사(전기분야)(2019. 3. 3.) 시험일자 : 2019년 3월 3일
1과목 : 소방원론
1. 불활성 가스에 해당하는 것은?
- ① 수증기
- ② 일산화탄소
- ③ 아르곤
- ④ 아세틸렌
등록된 댓글이 없습니다.
2. 이산화탄소소화약제의 임계온도로 옳은 것은?
- ① 24.4℃
- ② 31.1℃
- ③ 56.4℃
- ④ 78.2℃
등록된 댓글이 없습니다.
3. 분말소화약제 중 A급, B급, C급 화재에 모두 사용할 수 있는 것은?
- ① Na2CO3
- ② NH4H2PO4
- ③ KHCO3
- ④ NaHCO3
등록된 댓글이 없습니다.
4. 방화구획의 설치기준 중 스프링클러 기타 이와 유사한 자동식 소화설비를 설치한 10층 이하의 층은 몇 m2 이내마다 구획하여야 하는가?
- ① 1,000
- ② 1,500
- ③ 2,000
- ④ 3,000
등록된 댓글이 없습니다.
5. 탄화칼슘의 화재 시 물을 주수하였을 때 발생하는 가스로 옳은 것은?
- ① C2H2
- ② H2
- ③ O2
- ④ C2H6
나2021. 8. 27. 22:43삭제
아세틸렌
6. 이산화탄소의 질식 및 냉각 효과에 대한 설명 중 틀린 것은?
- ① 이산화탄소의 증기비중이 산소보다 크기 때문에 가연물과 산소의 접촉을 방해한다.
- ② 액체 이산화탄소가 기화되는 과정에서 열을 흡수한다.
- ③ 이산화탄소는 불연성 가스로서 가연물의 연소반응을 방해한다.
- ④ 이산화탄소는 산소와 반응하며 이 과정에서 발생한 연소열을 흡수하므로 냉각효과를 나타낸다.
등록된 댓글이 없습니다.
7. 증기비중의 정의로 옳은 것은? (단, 분자, 분모의 단위는 모두 g/mol이다.)
- ① 분자량/22.4
- ② 분자량/29
- ③ 분자량/44.8
- ④ 분자량/100
등록된 댓글이 없습니다.
8. 화재의 분류방법 중 유류화재를 나타낸 것은?
- ① A급 화재
- ② B급 화재
- ③ C급 화재
- ④ D급 화재
등록된 댓글이 없습니다.
9. 공기와 접촉되었을 때 위험도(H)가 가장 큰 것은?
- ① 에테르
- ② 수소
- ③ 에틸렌
- ④ 부탄
등록된 댓글이 없습니다.
10. 제2류 위험물에 해당하지 않는 것은?
- ① 유황
- ② 황화린
- ③ 적린
- ④ 황린
등록된 댓글이 없습니다.
11. 주요구조부가 내화구조로 된 건축물에서 거실 각 부분으로부터 하나의 직통계단에 이르는 보행거리는 피난자의 안전상 몇 m 이하이어야 하는가?
- ① 50
- ② 60
- ③ 70
- ④ 80
조2023. 8. 7. 11:39삭제
일반 30m
내화 50m
16층이상 공동주택 40m
12. 분말소화약제 분말입도의 소화성능에 관한설명으로 옳은 것은?
- ① 미세할수록 소화성능이 우수하다.
- ② 입도가 클수록 소화성능이 우수하다.
- ③ 입도와 소화성능과는 관련이 없다.
- ④ 입도가 너무 미세하거나 너무 커도 소화 성능은 저하된다.
조2023. 8. 7. 12:55삭제
분말입도 20~25가 적당
13. 마그네슘의 화재에 주수하였을 때 물과 마그네슘의 반응으로 인하여 생성되는 가스는?
- ① 산소
- ② 수소
- ③ 일산화탄소
- ④ 이산화탄소
등록된 댓글이 없습니다.
14. 물질의 취급 또는 위험성에 대한 설명 중 틀린 것은?
- ① 융해열은 점화원이다.
- ② 질산은 물과 반응시 발열 반응하므로 주의를 해야 한다.
- ③ 네온, 이산화탄소, 질소는 불연성 물질로 취급한다.
- ④ 암모니아를 충전하는 공업용 용기의 색상은 백색이다.
등록된 댓글이 없습니다.
15. 화재에 관련된 국제적인 규정을 제정하는 단체는?
- ① IMO(International Maritime Organiz-ation)
- ② SFPE(Society of Fire Protection En-gineers)
- ③ NFPA(Nation Fire Protection Associ-ation)
- ④ ISO(International Organization for Standardization) TC 92
등록된 댓글이 없습니다.
16. 위험물안전관리법령상 위험물의 지정수량이 틀린 것은?
- ① 과산화나트륨 - 50㎏
- ② 적린 - 100㎏
- ③ 트리니트로톨루엔 - 200㎏
- ④ 탄화알루미늄 - 400㎏
나다2023. 9. 3. 08:18삭제
300kg입니다.
Bj2023. 9. 3. 07:48삭제
탄화알루미늄 300
ㄴ2022. 3. 4. 20:26삭제
3000
17. 연면적이 1,000m2 이상인 목조건축물은 그외벽 및 처마 밑의 연소할 우려가 있는 부분을 방화구조로 하여야 하는데 이때 연소우려가 있는 부분은? (단, 동일한 대지 안에 2동 이상의 건물이 있는 경우이며, 공원ㆍ광장, 하천의 공지나 수면 또는 내화구조의 벽 기타 이와 유사한 것에 접하는 부분을 제외한다.)
- ① 상호의 외벽 간 중심선으로부터 1층은 3m이내의 부분
- ② 상호의 외벽 간 중심선으로부터 2층은 7m 이내의 부분
- ③ 상호의 외벽 간 중심선으로부터 3층은 11m 이내의 부분
- ④ 상호의 외벽 간 중심선으로부터 4층은 13m 이내의 부분
Bj2023. 9. 8. 07:53삭제
1층 3m이내
2층 이상 5m이내
18. 물의 기화열이 539.6cal/g인 것은 어떤 의미인가?
- ① 0℃의 물 1g이 얼음으로 변화하는데 539.6cal의 열량이 필요하다.
- ② 0℃의 얼음 1g이 물로 변화하는데 539.6cal의 열량이 필요하다.
- ③ 0℃의 물 1g이 100℃의 물로 변화하는데 539.6cal의 열량이 필요하다.
- ④ 100℃의 물 1g이 수증기로 변화하는데 539.6cal의 열량이 필요하다.
등록된 댓글이 없습니다.
19. 인화점이 40℃ 이하인 위험물을 저장, 취급하는 장소에 설치하는 전기설비는 방폭구조로 설치하는데, 용기의 내부에 기체를 압입하여 압력을 유지하도록 함으로써 폭발성가스가 침입하는 것을 방지하는 구조는?
- ① 압력 방폭구조
- ② 유입 방폭구조
- ③ 안전증 방폭구조
- ④ 본질안전 방폭구조
등록된 댓글이 없습니다.
20. 화재하중에 대한 설명 중 틀린 것은?
- ① 화재하중이 크면 단위면적당의 발열량이 크다.
- ② 화재하중이 크다는 것은 화재구획의 공간이 넓다는 것이다.
- ③ 화재하중이 같더라도 물질의 상태에 따라 가혹도는 달라진다.
- ④ 화재하중은 화재구획실 내의 가연물 총량을 목재 중량당비로 환산하여 면적으로 나눈 수치이다.
등록된 댓글이 없습니다.
2과목 : 소방전기회로
21. R=10Ω, C=33㎌, L=20mH인 RLC 직렬회로의 공진주파수는 약 몇 ㎐인가?
- ① 169
- ② 176
- ③ 196
- ④ 206
조2023. 8. 12. 10:17삭제
f=1/2파이×루트LC
22. PNPN 4층 구조로 되어 있는 소자가 아닌것은?
- ① SCR
- ② TRIAC
- ③ Diode
- ④ GTO
등록된 댓글이 없습니다.
23. 역률 80%, 유효전력 80㎾일 때, 무효전력 [kVar]은?
- ① 10
- ② 16
- ③ 60
- ④ 64
Bj2023. 9. 3. 09:21삭제
Q=P×tan@
tan@=sin@/cos@
ㄱ2022. 3. 4. 20:33삭제
sin = 루트1-0.8^2
0.6
역률 80/0.8
10
10×0.6=60
24. 전자회로에서 온도보상용으로 많이 사용되고 있는 소자는?
- ① 저항
- ② 리액터
- ③ 콘덴서
- ④ 서미스터
등록된 댓글이 없습니다.
25. 서보전동기는 제어기기의 어디에 속하는가?
- ① 검출부
- ② 조절부
- ③ 증폭부
- ④ 조작부
등록된 댓글이 없습니다.
26. 자동제어계를 제어목적에 의해 분류한 경우, 틀린 것은?
- ① 정치제어 : 제어량을 주어진 일정목표로 유지시키기 위한 제어
- ② 추종제어 : 목표치가 시간에 따라 변화하는 제어
- ③ 프로그램제어 : 목표치가 프로그램대로 변하는 제어
- ④ 서보제어 : 선박의 방향제어계인 서보제어는 정치제어와 같은 성질
등록된 댓글이 없습니다.
27. 그림의 논리기호를 표시한 것으로 옳은 식은?

- ① X=(AㆍBㆍC)ㆍD
- ② X=(A+B+C)ㆍD
- ③ X=(AㆍBㆍC)+D
- ④ X=A+B+C+D
등록된 댓글이 없습니다.
28. 20Ω과 40Ω의 병렬회로에서 20Ω에 흐르는 전류가 10A라면, 이 회로에 흐르는 총 전류는 몇 A인가?
- ① 5
- ② 10
- ③ 15
- ④ 20
을숙2020. 6. 4. 16:03삭제
I1=R2/(R1+R2) * I
29. 3상 유도전동기가 중부하로 운전되던 중 1선이 절단되면 어떻게 되는가?
- ① 전류가 감소한 상태에서 회전이 계속된다.
- ② 전류가 증가한 상태에서 회전이 계속된다.
- ③ 속도가 증가하고 부하전류가 급상승한다.
- ④ 속도가 감소하고 부하전류가 급상승한다.
등록된 댓글이 없습니다.
30. SCR의 양극 전류가 10A일 때 게이트 전류를 반으로 줄이면 양극 전류는 몇 A인가?
- ① 20
- ② 10
- ③ 5
- ④ 0.1
등록된 댓글이 없습니다.
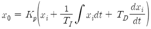
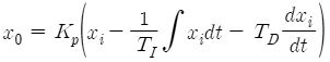
31. 비례+적분+미분동작(PID동작)식을 바르게 나타낸 것은?
- ①

- ②

- ③

- ④

등록된 댓글이 없습니다.
32. 그림과 같은 회로에서 분류기의 배율은? (단, 전류계 A의 내부저항은 RA이며 RS는 분류기 저항이다.)

- ①

- ②

- ③

- ④

등록된 댓글이 없습니다.
33. 어떤 옥내배선에 380V의 전압을 가하였더니 0.2㎃의 누설전류가 흘렀다. 이 배선의 절연저항은 몇 ㏁인가?
- ① 0.2
- ② 1.9
- ③ 3.8
- ④ 7.6
등록된 댓글이 없습니다.
34. 변류기에 결선된 전류계가 고장이 나서 교체하는 경우 옳은 방법은?
- ① 변류기의 2차를 개방시키고 전류계를 교체한다.
- ② 변류기의 2차를 단락시키고 전류계를 교체한다.
- ③ 변류기의 2차를 접지시키고 전류계를 교체한다.
- ④ 변류기에 피뢰기를 연결하고 전류계를 교체한다.
등록된 댓글이 없습니다.
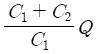
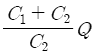
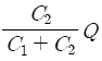
35. 두 콘덴서 C1, C2를 병렬로 접속하고 전압을 인가하였더니 전체 전하량이 Q[C]이었다. C2에 충전된 전하량은?
- ①

- ②

- ③

- ④

을숙2020. 6. 5. 14:30삭제
https://blog.naver.com/advan2011/221862322423
36. 논리식 를 간략화 한 것은?
- ①

- ②

- ③

- ④

KKK2023. 5. 20. 11:08삭제
논리식=X'+XY
고척돔2022. 4. 19. 12:27삭제
x+xy (첫 x바)
S2021. 2. 23. 08:10삭제
문제가 안보임
37. 전기화재의 원인이 되는 누전전류를 검출하기 위해 사용되는 것은?
- ① 접지계전기
- ② 영상변류기
- ③ 계기용변압기
- ④ 과전류계전기
등록된 댓글이 없습니다.
38. 공기 중에 2m의 거리에 10μC, 20μC의 두 점전하가 존재할 때 이 두 전하 사이에 작용하는 정전력은 약 몇 N인가?
- ① 0.45
- ② 0.9
- ③ 1.8
- ④ 3.6
조2023. 8. 7. 13:18삭제
F=9×10⁹×(Q1×Q2)/r²
=9×10⁹×(10×10-⁶×20×10-⁶)/2²=0.45
39. 100V, 1㎾의 니크롬선을 3/4의 길이로 잘라서 사용할 때 소비전력은 약 몇 W인가?
- ① 1,000
- ② 1,333
- ③ 1,430
- ④ 2,000
등록된 댓글이 없습니다.
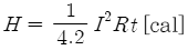
40. 줄의 법칙에 관한 수식으로 틀린 것은?
- ① H=I2Rt[J]
- ② H=0.24I2 Rt [cal]
- ③ H=0.12 VIt [J]
- ④

멍멍이2021. 3. 6. 19:59삭제
2번과 4번은 같은 식이다.
3과목 : 소방관계법규
41. 아파트로 층수가 20층인 특정소방대상물에서 스프링클러설비를 하여야 하는 층수는? (단, 아파트는 신축을 실시하는 경우이다.)
- ① 전층
- ② 15층 이상
- ③ 11층 이상
- ④ 6층 이상
KKK2023. 5. 20. 11:13삭제
변경됨=6층이상 모든층
42. 1급 소방안전관리대상물이 아닌 것은?
- ① 15층인 특정소방대상물(아파트는 제외)
- ② 가연성가스를 2,000톤 저장ㆍ취급하는 시설
- ③ 21층인 아파트로서 300세대인 것
- ④ 연면적 20,000m2인 문화집회 및 운동시설
조2023. 8. 8. 02:29삭제
연면적 15000m²이상
11층이상
가스 1000톤이상
아파트 30층 120m이상
43. 다음 중 중급기술자의 학력ㆍ경력자에 대한 기준으로 옳은 것은? (단, 학력ㆍ경력자란고등학교ㆍ대학 또는 이와 같은 수준 이상의 교육기관의 소방관련학과의 정해진 교육 과정을 이수하고 졸업하거나 그 밖의 관계 법령에 따라 국내 또는 외국에서 이와 같은 수준 이상의 학력이 있다고 인정되는 사람을 말한다.)
- ① 고등학교를 졸업 후 10년 이상 소방 관련 업무를 수행한 자
- ② 학사업무를 취득한 후 6년 이상 소방 관련 업무를 수행한 자
- ③ 석사학위를 취득한 후 2년 이상 소방 관련 업무를 수행한 자
- ④ 박사학위를 취득한 후 1년 이상 소방 관련 업무를 수행한 자
용이2025. 2. 22. 16:19삭제
문제 틀림
고등학교(소방) 10년
학사 5년
석사 2년
박사
정답 3
44. 소방특별조사 결과에 따른 조치명령으로 손실을 입어 손실을 보상하는 경우 그 손실을 입은 자는 누구와 손실보상을 협의하여야 하는가?
- ① 소방서장
- ② 시ㆍ도지사
- ③ 소방본부장
- ④ 행정안전부장관
등록된 댓글이 없습니다.
45. 소방기본법령상 특수가연물의 저장 및 취급 기준 중 석탄ㆍ목탄류를 발전용으로 저장하는 경우 쌓는 부분의 바닥면적은 몇 m2 이하인가? (단, 살수설비를 설치하거나 방사능력 범위에 해당 특수가연물이 포함되도록 대형수동식소화기를 설치하는 경우이다.) (문제 오류로 실제 시험에서는 모두 정답처리 되었습니다. 여기서는 1번을 누르면 정답 처리 됩니다.)
- ① 200
- ② 250
- ③ 300
- ④ 350
조2023. 8. 8. 02:21삭제
기본 10m이하 먼적 50m²(석탄,목탄 200m²이하), 살수,대형소화기 15m이하, 면적 200m²(석,목탄300m²이하
Yjm4252021. 9. 11. 14:07삭제
기본은 200m2 이하 .. 살수설비 설치시 300m2이하
46. 소방기본법상 명령권자가 소방본부장, 소방서장 또는 소방대장에게 있는 사항은?
- ① 소방 활동을 할 때에 긴급한 경우에는 이웃한 소방본부장 또는 소방서장에게 소방 업무의 응원을 요청할 수 있다.
- ② 화재, 재난ㆍ재해, 그 밖의 위급한 상황이 발생한 현장에서 소방활동을 위하여 필요할 때에는 그 관할구역에 사는 사람 또는 그 현장에 있는 사람으로 하여금 사람을 구출하는 일 또는 불을 끄거나 불이 번지지 아니하도록 하는 일을 하게 할 수 있다.
- ③ 수사기관이 방화 또는 실화의 혐의가 있어서 이미 피의자를 체포하였거나 증거 물을 압수하였을 때에 화재조사를 위하여 필요한 경우에는 수사에 지장을 주지 아니하는 범위에서 그 피의자 또는 압수된 증거물에 대한 조사를 할 수 있다.
- ④ 화재, 재난ㆍ재해, 그 밖의 위급한 상황이 발생하였을 때에는 소방대를 현장에 신속하게 출동시켜 화재진압과 인명구조, 구급 등 소방에 필요한 활동을 하게하여야 한다.
등록된 댓글이 없습니다.
47. 경유의 저장량이 2,000리터, 중유의 저장량이 4,000리터, 등유의 저장량이 2,000리터인 저장소에 있어서 지정수량의 배수는?
- ① 동일
- ② 6배
- ③ 3배
- ④ 2배
AA2026. 2. 8. 14:12삭제
저장소에 여러 종류의 위험물을 함께 저장할 경우,
각 배수의 합을 전체 배수로 계산합니다. 총 배수=2+2+2=6
Bj2023. 9. 3. 08:20삭제
등유, 경유 1000
중유 2000
48. 소방용수시설 중 소화전과 급수탑의 설치기준으로 틀린 것은?
- ① 급수탑 급수배관의 구경은 100㎜ 이상으로 할 것
- ② 소화전은 상수도와 연결하여 지하식 또는 지상식의 구조로 할 것
- ③ 소방용호스와 연결하는 소화전의 연결금속구의 구경은 65㎜로 할 것
- ④ 급수탑의 개폐밸브는 지상에서 1.5m 이상 1.8m 이하의 위치에 설치할 것
나다2023. 9. 4. 00:00삭제
급수탑 밸브 높이 1.5m ~1.7m 이하
49. 특정소방대상물의 관계인이 소방안전관리자를 해임한 경우 재선임 신고를 해야 하는 기준은? (단, 해임한 날부터를 기준일로 한다.) (문제 오류로 실제 시험에서는 모두 정답처리 되었습니다. 여기서는 1번을 누르면 정답 처리 됩니다.)
- ① 10일 이내
- ② 20일 이내
- ③ 30일 이내
- ④ 40일 이내
멍멍이2021. 3. 6. 20:14삭제
해임한 날로부터 30이내 선임신고, 3번
50. 화재예방, 소방시설 설치ㆍ유지 및 안전관리에 관한 법령상 소방안전관리대상물의 소방안전관리자 업무가 아닌 것은? (문제 오류로 실제 시험에서는 모두 정답처리 되었습니다. 여기서는 1번을 누르면 정답 처리 됩니다.)
- ① 소방훈련 및 교육
- ② 피난시설, 방화구획 및 방화시설의 유지ㆍ관리
- ③ 자위소방대 및 초기대응체계의 구성ㆍ운영ㆍ교육
- ④ 피난계획에 관한 사항과 대통령령으로 정하는 사항이 포함된 소방계획서의 작성 및 시행
나다2023. 9. 4. 00:10삭제
정답 없음 모두 소방안전 관리자 업무
51. 문화재보호법의 규정에 의한 유형문화재와 지정문화재에 있어서는 제조소 등과의 수평거리를 몇 m 이상 유지하여야 하는가?
- ① 20
- ② 30
- ③ 50
- ④ 70
조2023. 8. 8. 02:33삭제
문화재 50
학교,병원 30
가스 20
주거 10
특고압 35000V 5m
7000~35000 3m
52. 화재예방, 소방시설 설치ㆍ유지 및 안전관리에 관한 법령상 소방시설 등에 대한 자체 점검을 하지 아니하거나 관리업자 등으로 하여금 정기적으로 점검하게 하지 아니한자에 대한 벌칙 기준으로 옳은 것은?
- ① 1년 이하의 징역 또는 1,000만 원 이하의 벌금
- ② 3년 이하의 징역 또는 1,500만 원 이하의 벌금
- ③ 3년 이하의 징역 또는 3,000만 원 이하의 벌금
- ④ 6개월 이하의 징역 또는 1,000만 원 이하의 벌금
등록된 댓글이 없습니다.
53. 소방기본법령상 소방본부 종합상황실 실장이 소방청의 종합상황실에 서면ㆍ모사전송 또는 컴퓨터통신 등으로 보고하여야 하는 화재의 기준에 해당하지 않는 것은?
- ① 항구에 매어둔 총 톤수가 1,000톤 이상인 선박에서 발생한 화재
- ② 연면적 15,000m2 이상인 공장 또는 화재경계지구에서 발생한 화재
- ③ 지정수량의 1,000배 이상의 위험물의 제조소ㆍ저장소ㆍ취급소에서 발생한 화재
- ④ 층수가 5층 이상이거나 병상이 30개 이상인 종합병원ㆍ정신병원ㆍ한방병원ㆍ요양소에서 발생한 화재
등록된 댓글이 없습니다.
54. 소방시설공사업법령상 상주공사감리 대상기준 중 다음 ㉠, ㉡, ㉢에 알맞은 것은?

- ① ㉠ 10,000, ㉡ 11, ㉢ 600
- ② ㉠ 10,000, ㉡ 16, ㉢ 500
- ③ ㉠ 30,000, ㉡ 11, ㉢ 600
- ④ ㉠ 30,000, ㉡ 16, ㉢ 500
등록된 댓글이 없습니다.
55. 화재예방, 소방시설 설치ㆍ유지 및 안전관리에 관한 법령상 소방특별조사위원회의 위원에 해당하지 아니하는 사람은?
- ① 소방기술사
- ② 소방시설관리사
- ③ 소방 관련 분야의 석사학위 이상을 취득한 사람
- ④ 소방 관련 법인 또는 단체에서 소방 관련업무에 3년 이상 종사한 사람
나다2023. 9. 4. 00:46삭제
5년
56. 제3류 위험물 중 금수성 물품에 적응성이 있는 소화약제는?
- ① 물
- ② 강화액
- ③ 팽창질석
- ④ 인산염류분말
등록된 댓글이 없습니다.
57. 화재가 발생하는 경우 인명 또는 재산의 피해가 클 것으로 예상되는 때 소방대상물의 개수ㆍ이전ㆍ제거, 사용금지 등의 필요한 조치를 명할 수 있는 자는?
- ① 시ㆍ도지사
- ② 의용소방대장
- ③ 기초자치단체장
- ④ 소방본부장 또는 소방서장
등록된 댓글이 없습니다.
58. 소방기본법령상 소방본부장 또는 소방서장은 소방상 필요한 훈련 및 교육을 실시하고자 하는 때에는 화재경계지구 안의 관계인에게 훈련 또는 교육 며칠 전까지 그 사실을 통보하여야 하는가?
- ① 5
- ② 7
- ③ 10
- ④ 14
등록된 댓글이 없습니다.
59. 소방기본법상 보일러, 난로, 건조설비, 가스ㆍ전기시설, 그 밖에 화재 발생 우려가 있는 설비 또는 기구 등의 위치ㆍ구조 및 관리와 화재 예방을 위하여 불을 사용할 때 지켜야 하는 사항은 무엇으로 정하는가?
- ① 총리령
- ② 대통령령
- ③ 시ㆍ도 조례
- ④ 행정안전부령
등록된 댓글이 없습니다.
60. 위험물운송자 자격을 취득하지 아니한 자가 위험물 이송탱크저장소 운전 시의 벌칙으로 옳은 것은?
- ① 100만 원 이하의 벌금
- ② 300만 원 이하의 벌금
- ③ 500만 원 이하의 벌금
- ④ 1,000만 원 이하의 벌금
등록된 댓글이 없습니다.
4과목 : 소방전기시설의 구조 및 원리
61. 경계전로의 누설전류를 자동적으로 검출하여 이를 누전경보기의 수신부에 송신하는 것을 무엇이라고 하는가?
- ① 수신부
- ② 확성기
- ③ 변류기
- ④ 증폭기
등록된 댓글이 없습니다.
62. 누전경보기의 5~10회로까지 사용할 수 있는 집합형 수신기 내부결선도에서 구성요소가 아닌 것은?
- ① 제어부
- ② 증폭부
- ③ 조작부
- ④ 자동입력 절환부
등록된 댓글이 없습니다.
63. 비상콘센트설비의 화재안전기준에서 정하고 있는 저압의 정의는?
- ① 직류는 750V 이하, 교류는 600V 이하인 것
- ② 직류는 750V 이하, 교류는 380V 이하인 것
- ③ 직류는 750V를, 교류는 600V를 넘고 7,000V 이하인 것
- ④ 직류는 750V를, 교류는 380V를 넘고 7,000V 이하인 것
Yjm4252021. 9. 6. 22:18삭제
저압 직류 1500V 이하 교류 1000V이하 변경
64. 비상방송설비의 음향장치는 정격전압의 몇 % 전압에서 음향을 발할 수 있는 것으로 하여야 하는가?
- ① 80
- ② 90
- ③ 100
- ④ 110
등록된 댓글이 없습니다.
65. 자가발전설비, 비상전원수전설비 또는 전기저장장치(외부 전기에너지를 저장해 두었다가 필요한 때 전기를 공급하는 장치)를 비상콘센트설비의 비상전원으로 설치하여야하는 특정소방대상물로 옳은 것은?
- ① 지하층을 제외한 층수가 4층 이상으로서 연면적 600m2 이상인 특정소방대상물
- ② 지하층을 제외한 층수가 5층 이상으로서 연면적 1,000m2 이상인 특정소방대상물
- ③ 지하층을 제외한 층수가 6층 이상으로서 연면적 1,500m2 이상인 특정소방대상물
- ④ 지하층을 제외한 층수가 7층 이상으로서 연면적 2,000m2 이상인 특정소방대상물
등록된 댓글이 없습니다.
66. 불꽃감지기의 설치기준으로 틀린 것은?
- ① 수분이 많이 발생할 우려가 있는 장소에는 방수형으로 설치할 것
- ② 감지기를 천장에 설치하는 경우에는 감지기는 천장을 향하여 설치할 것
- ③ 감지기는 화재감지를 유효하게 감지할 수있는 모서리 또는 벽 등에 설치할 것
- ④ 감지기는 공칭감시거리와 공칭시야각을 기준으로 감시구역이 모두 포용될 수 있도록 설치할 것
등록된 댓글이 없습니다.
67. 무선통신보조설비의 무선기기 접속단자 중 지상에 설치하는 접속단자는 보행거리 최대 몇 m 이내마다 설치하여야 하는가?
- ① 5
- ② 50
- ③ 150
- ④ 300
등록된 댓글이 없습니다.
68. 정온식 감지선형 감지기에 관한 설명으로 옳은 것은?
- ① 일국소의 주위온도 변화에 따라서 차동 및 정온식의 성능을 갖는 것을 말한다.
- ② 일국소의 주위온도가 일정한 온도 이상이 되었을 때 작동하는 것으로서 외관이 전선으로 되어 있는 것을 말한다.
- ③ 그 주위온도가 일정한 온도상승률 이상이 되었을 때 작동하는 것을 말한다.
- ④ 그 주위온도가 일정한 온도상승률 이상이 되었을 때 작동하는 것으로서 광범위한 열효과의 누적에 의하여 동작하는 것을 말한다.
등록된 댓글이 없습니다.
69. 축전지의 자기방전을 보충함과 동시에 상용 부하에 대한 전력공급은 충전기가 부담하도록 하되 충전기가 부담하기 어려운 일시적인 대전류는 부하는 축전지로 하여금 부담하게 하는 충전방식은?
- ① 과충전방식
- ② 균등충전방식
- ③ 부동충전방식
- ④ 세류충전방식
등록된 댓글이 없습니다.
70. 단독경보형 감지기 중 연동식감지기의 무선 기능에 대한 설명으로 옳은 것은?
- ① 화재신호를 수신한 단독경보형 감지기는 60초 이내에 경보를 발해야 한다.
- ② 무선통신 점검은 단독경보형 감지기가 서로 송수신하는 방식으로 한다.
- ③ 작동한 단독경보형 감지기는 화재경보가 정지하기 전까지 100초 이내 주기마다 화재신호를 발신해야 한다.
- ④ 무선통신 점검은 168시간 이내에 자동으로 실시하고 이때 통신이상이 발생하는 경우에는 300초 이내에 통신이상 상태의 단독경보형 감지기를 확인할 수 있도록 표시 및 경보를 해야 한다.
Bj2023. 9. 8. 08:13삭제
1.10초 이내
3. 60초 이내
4. 168시간 이내, 200초 이내
71. 정온식감지기의 설치 시 공칭작동온도가 최고주위온도보다 최소 몇 ℃ 이상 높은 것으로 설치하여야 하나?
- ① 10
- ② 20
- ③ 30
- ④ 40
등록된 댓글이 없습니다.
72. 무선통신보조설비의 누설동축케이블의 설치기준으로 틀린 것은?
- ① 끝부분에는 반사 종단저항을 견고하게 설치할 것
- ② 고압의 전로로부터 1.5m 이상 떨어진 위치에 설치할 것
- ③ 금속판 등에 따라 전파의 복사 또는 특성이 현저하게 저하되지 아니하는 위치에 설치할 것
- ④ 불연 또는 난연성의 것으로서 습기에 따라 전기의 특성이 변질되지 아니하는 것으로 설치할 것
등록된 댓글이 없습니다.
73. 소화활동 시 안내방송에 사용하는 증폭기의 종류로 옳은 것은?
- ① 탁상형
- ② 휴대형
- ③ Desk형
- ④ Rack형
등록된 댓글이 없습니다.
74. 계단통로유도등은 각 층의 경사로 참 또는 계단참마다 설치하도록 하고 있는데 1개 층에 경사로 참 또는 계단참이 2 이상 있는 경우에는 몇 개의 계단참마다 계단통로유도 등을 설치하여야 하는가?
- ① 2개
- ② 3개
- ③ 4개
- ④ 5개
등록된 댓글이 없습니다.
75. 자동화재탐지설비의 수신기의 각 회로별 종단에 설치되는 감지기에 접속되는 배선의 전압은 감지기 정격전압의 최소 몇 % 이상이어야 하는가?
- ① 50
- ② 60
- ③ 70
- ④ 80
등록된 댓글이 없습니다.
76. 비상벨설비 또는 자동식 사이렌설비에는 그 설비에 대한 감시상태를 몇 시간 지속한 후 유효하게 10분 이상 경보할 수 있는 축전지 설비(수신기에 내장하는 경우를 포함한다)를 설치하여야 하는가?
- ① 1시간
- ② 2시간
- ③ 4시간
- ④ 6시간
조2023. 8. 8. 02:52삭제
60분 감시 10분 경보
경보설비 : 비상경보,비상방송,자동화재탐지,자동화재속보,누전경보기
77. 자동화재속보설비의 설치기준으로 틀린 것은?
- ① 조작스위치는 바닥으로부터 1m 이상 1.5m 이하의 높이에 설치할 것
- ② 속보기는 소방관서에 통신망으로 통보하도록 하며, 데이터 또는 코드전송방식을 부가적으로 설치할 수 있다.
- ③ 자동화재탐지설비와 연동으로 작동하여 자동적으로 화재발생 상황을 소방관서에 전달되는 것으로 할 것
- ④ 속보기는 소방청장이 정하여 고시한「자동화재속보설비의 속보기의 성능인증 및 제품검사의 기술기준」에 적합한 것으로 설치하여야 한다.
등록된 댓글이 없습니다.
78. 휴대용비상조명등 설치 높이는?
- ① 0.8m ~ 1.0m
- ② 0.8m ~ 1.5m
- ③ 1.0m ~ 1.5m
- ④ 1.0m ~ 1.8m
등록된 댓글이 없습니다.
79. 자동화재탐지설비의 화재안전기준에서 사용하는 용어가 아닌 것은?
- ① 중계기
- ② 경계구역
- ③ 시각경보장치
- ④ 단독경보형 감지기
등록된 댓글이 없습니다.
80. 비상경보설비를 설치하여야 할 특정소방대상물로 옳은 것은? (단, 지하구, 모래ㆍ석재 등 불연재료 창고 및 위험물 저장ㆍ처리 시설 중 가스시설은 제외한다.)
- ① 지하가 중 터널로서 길이가 400m 이상인 것
- ② 30명 이상의 근로자가 작업하는 옥내작업장
- ③ 지하층 또는 무창층의 바닥면적이 150m2(공연장의 경우 100m2) 이상인 것
- ④ 연면적 300m2(지하가 중 터널 또는 사람이 거주하지 않거나 벽이 없는 축사 등 동ㆍ식물 관련시설은 제외) 이상인 것
조2023. 8. 9. 00:38삭제
연면적 400m²이상
자하,무창층150(공연장 100m²)
터널 500m. 옥내장업장 50인이상