전자기사(2022. 4. 24.) 시험일자 : 2022년 4월 24일
1과목 : 전기자기학
1. 그림과 같이 점 O를 중심으로 반지름이 a(m)인 구도체 1과 안쪽 반지름이 b(m)이고 바깥쪽 반지름이 C(m)인 구도체 2가 있다. 이 도체계에서 전위계수 P11(1/F)에 해당하는 것은?

- ①

- ②

- ③

- ④

등록된 댓글이 없습니다.
2. 정전용량이 C0(μF)인 평행판의 공기 커패시터가 있다. 두 극판 사이에 극판과 평행하게 절반을 비유전율이 εr인 유전체로 채우면 커패시터의 정전용량 (μF)은?
- ①

- ②

- ③

- ④

등록된 댓글이 없습니다.
3. 유전율이 ε1과 ε2인 두 유전체가 경계를 이루어 평행하게 접하고 있는 경우 유전율이 ε1인 영역에 전하 Q가 존재할 때 이 전하와 ε2인 유전체 사이에 작용하는 힘에 대한 설명으로 옳은 것은?
- ① ε1 > ε2인 경우 반발력이 작용한다.
- ② ε1 > ε2인 경우 흡인력이 작용한다.
- ③ ε1과 ε2에 상관없이 반발력이 작용한다.
- ④ ε1과 ε2에 상관없이 흡인력이 작용한다.
등록된 댓글이 없습니다.
4. 정전용량이 20μF인 공기의 평행판 커패시터에 0.1C의 전하량을 충전하였다. 두 평행판 사이에 비유전율이 10인 유전체를 채웠을 때 유전체 표면에 나타나는 분극 전하량(C)은?
- ① 0.009
- ② 0.01
- ③ 0.09
- ④ 0.1
등록된 댓글이 없습니다.
5. 내구의 반지름이 a = 5cm, 외구의 반지름이 b = 10cm 이고, 공기로 채워진 동심구형 커패시터의 정전용량은 약 몇 pF 인가?
- ① 11.1
- ② 22.2
- ③ 33.3
- ④ 44.4
등록된 댓글이 없습니다.
6. 강자성체의 B-H 곡선을 자세히 관찰하면 매끈한 곡선이 아니라 자속밀도가 어느 순간 급격히 계단적으로 증가 또는 감소하는 것을 알 수 있다. 이러한 현상을 무엇이라 하는가?
- ① 퀴리점(Curie point)
- ② 자왜현상(Magneto-striction)
- ③ 바크하우젠 효과(Barkhausen effect)
- ④ 자기여자 효과(Magnetic after effect)
등록된 댓글이 없습니다.
7. 자성체의 종류에 대한 설명으로 옳은 것은? (단, χm는 자화율이고, μr는 비투자율이다.)
- ① χm > 0 이면, 역자성체이다.
- ② χm < 0 이면, 상자성체이다.
- ③ μr > 1 이면, 비자성체이다.
- ④ μr < 1 이면, 역자성체이다.
등록된 댓글이 없습니다.
8. 반지름이 2m이고, 권수가 120회인 원형코일 중심에서의 자계의 세기를 30 AT/m로 하려면 원형코일에 몇 A의 전류를 흘려야 하는가?
- ① 1
- ② 2
- ③ 3
- ④ 4
등록된 댓글이 없습니다.
9. εr = 81, μr = 1 인 매질의 고유 임피던스는 약 몇 Ω 인가? (단, εr은 비유전율이고, μr은 비투자율이다.)
- ① 13.9
- ② 21.9
- ③ 33.9
- ④ 41.9
등록된 댓글이 없습니다.
10. 그림과 같이 평행한 무한장 직선의 두 도선에 I(A), 4I(A)인 전류가 각각 흐른다. 두 도선 사이 점 P에서의 자계의 세기가 0 이라면 a/b 는?

- ① 2
- ② 4
- ③ 1/2
- ④ 1/4
등록된 댓글이 없습니다.
11. 내압 및 정전용량이 각각 1000V –2μF, 700V –3μF, 600V –4μF, 300V -8μF인 4개의 커패시터가 있다. 이 커패시터들을 직렬로 연결하여 양단에 전압을 인가한 후, 전압을 상승시키면 가장 먼저 절연이 파괴되는 커패시터는? (단, 커패시터의 재질이나 형태는 동일하다.)
- ① 1000V -2μF
- ② 700V -3μF
- ③ 600V -4μF
- ④ 300V –8μF
등록된 댓글이 없습니다.
12. 진공 중에서 점(1, 3)m의 위치에 -2×10-9C의 점전하가 있을 때 점(2, 1)m에 있는 1C의 점전하에 작용하는 힘은 몇 N 인가? (단, 는 단위벡터이다.)
- ①

- ②

- ③

- ④

등록된 댓글이 없습니다.
13. 진공 중에 무한 평면도체와 d(m)만큼 떨어진 곳에 선전하밀도 λ(C/m)의 무한 직선도체가 평행하게 놓여 있는 경우 직선 도체의 단위 길이당 받는 힘은 몇 N/m 인가?
- ①

- ②

- ③

- ④

등록된 댓글이 없습니다.
14. 그림은 커패시터의 유전체 내에 흐르는 변위전류를 보여준다. 커패시터의 전극 면적을 S(m2), 전극에 축적된 전하를 q(C), 전극의 표면전하 밀도를 σ(C/m2), 전극 사이의 전속밀도를 D(C/m2)라 하면 변위전류밀도 id(A/m2)는?

- ①

- ②

- ③

- ④

등록된 댓글이 없습니다.
15. 단면적이 균일한 환상철심에 권수 100회인 A코일과 권수 400회인 B코일이 있을 때 A코일의 자기 인덕턴스가 4H라면 두 코일의 상호 인덕턴스는 몇 H 인가? (단, 누설자속은 0 이다)
- ① 4
- ② 8
- ③ 12
- ④ 16
등록된 댓글이 없습니다.
16. 평행 극판 사이에 유전율이 각각 ε1, ε2 인 유전체를 그림과 같이 채우고, 극판 사이에 일정한 전압을 걸었을 때 두 유전체 사이에 작용하는 힘은? (단, ε1 > ε2)

- ① ⓐ의 방향
- ② ⓑ의 방향
- ③ ⓒ의 방향
- ④ ⓓ의 방향
등록된 댓글이 없습니다.
17. 평균 자로의 길이가 10cm, 평균 단면적이 2cm2인 환상 솔레노이드의 자기 인덕턴스를 5.4mH 정도로 하고자 한다. 이때 필요한 코일의 권선수는 약 몇 회인가? (단, 철심의 비투자율은 15000 이다)
- ① 6
- ② 12
- ③ 24
- ④ 29
등록된 댓글이 없습니다.
18. 구좌표계에서 ∇2r 의 값은 얼마인가? (단, )
- ① 1/r
- ② 2/r
- ③ r
- ④ 2r
등록된 댓글이 없습니다.
19. 투자율이 μ(H/m), 단면적이 S(m2), 길이가 l(m)인 자성체에 권선을 N회 감아서 I(A)의 전류를 흘렸을 때 이 자성체의 단면적 S(m2)를 통과하는 자속(Wb)은?
- ①

- ②

- ③

- ④

등록된 댓글이 없습니다.
20. 자계의 세기를 나타내는 단위가 아닌 것은?
- ① A/m
- ② N/Wb
- ③ (HㆍA)/m2
- ④ Wb/(Hㆍm)
등록된 댓글이 없습니다.
2과목 : 회로이론
21. 그림과 같은 4단자 회로망의 4단자 정수에서 전송파라미터 C의 값으로 옳은 것은?

- ①

- ② 1
- ③

- ④

등록된 댓글이 없습니다.
22. 펄스 변압기에서 상승시간(rase time)을 짧게 하기 위한 조건은?
- ① 누설 인덕턴스와 분포용량 모두 커야 한다.
- ② 누설 인덕턴스와 분포용량 모두 작아야 한다.
- ③ 누설 인덕턴스는 크고 분포용량은 작아야 한다.
- ④ 누설 인덕턴스는 작고 분포용량은 커야 한다.
등록된 댓글이 없습니다.
23. RC 고역필터에 폭이 T인 단일 구형파를 입력했을 때 출력파는? (단, 시정수 τ << T)
- ①

- ②

- ③

- ④

등록된 댓글이 없습니다.
24. 인 파형의 주파수는 약 몇 Hz 인가?
- ① 50
- ② 60
- ③ 141
- ④ 314
등록된 댓글이 없습니다.
25. 공급 전압이 100V이고, 회로에 전류가 10A가 흐른다고 할 때, 이 회로의 유효전력은 몇 W 인가? (단, 전압과 전류의 위상차는 30° 이다.)
- ① 500
- ② 1000
- ③ 500√3
- ④ 1000√3
등록된 댓글이 없습니다.
26. 다음 회로에서 스위치(SW)를 충분한 시간동안 열어 놓았다가, 스위치(SW)를 닫고 2초 후에 회로에 흐르는 전류(I)는 약 몇 A 인가?

- ① 3.68
- ② 4.52
- ③ 6.32
- ④ 8.12
등록된 댓글이 없습니다.
27. 다음 회로의 전달 함수(V2/V1)는?

- ①

- ②

- ③

- ④

등록된 댓글이 없습니다.
28. 다음 회로망에서 단자 a, b에서 바라본 테브난 등가저항은 몇 Ω 인가?

- ① 3
- ② 7
- ③ 8
- ④ 10
등록된 댓글이 없습니다.
29. 이상적인 전압원의 내부 임피던스 Z는?
- ① 0Ω
- ② ∞
- ③ 1Ω
- ④ 50Ω
등록된 댓글이 없습니다.
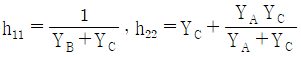
30. 다음 회로에서 하이브리드 파라메터 h11과 h22은?

- ①

- ②

- ③

- ④

등록된 댓글이 없습니다.
31. Norton의 정리에 대한 설명 중 ( ) 안의 내용으로 바르게 나열된 것은?

- ① ㉠ 등가 전압원, ㉡ 병렬
- ② ㉠ 등가 전류원, ㉡ 직렬
- ③ ㉠ 등가 전압원, ㉡ 직렬
- ④ ㉠ 등가 전류원, ㉡ 병렬
등록된 댓글이 없습니다.
32. 그림과 같은 회로에서 최대 전력이 공급되기 위한 복소임피던스(ZL)는?

- ① 200 + j20
- ② 20 - j20
- ③ 100 + j100
- ④ 100 - j100
등록된 댓글이 없습니다.
33. 다음 코사인 함수를 푸리에 급수 전개 시 스펙트럼에 대한 내용 중 옳은 것은?
- ① 진폭 스펙트럼은 구할 수 있으나 위상 스펙트럼은 구할 수 없다.
- ② 위상 스펙트럼은 구할 수 있으나 진폭 스펙트럼은 구할 수 없다.
- ③ 진폭 스펙트럼과 위상 스펙트럼 모두 구할 수 없다.
- ④ 진폭 스펙트럼과 위상 스펙트럼 모두 구할 수 있다.
등록된 댓글이 없습니다.
34. 다음 변압기 결선 방법 중 제3고조파를 발생하는 것은?
- ① △-Y
- ② Y-△
- ③ △-△
- ④ Y-Y
등록된 댓글이 없습니다.
35. RLC 직렬 공진회로에서 선택도 Q는? (단, ωr은 공진 각주파수이다.)
- ①

- ②

- ③

- ④

등록된 댓글이 없습니다.
36. 다음과 같은 파형의 Laplace 변환은?

- ①

- ②

- ③

- ④

등록된 댓글이 없습니다.
37. 부하 임피던스가 ZL = 30 + j40인 회로에서 부하에 실효 전류 Irms = 2A가 흐를 때, 역률은?
- ① 0.3
- ② 0.4
- ③ 0.6
- ④ 0.8
등록된 댓글이 없습니다.
38. 다음 RC 저역 필터회로에서 ω = 1/RC 일 때, 위상은?

- ① 0°
- ② +45°
- ③ -45°
- ④ +90°
등록된 댓글이 없습니다.
39. 다음 중 레지스턴스와 쌍대 관계가 되는 것은?
- ① 서셉턴스
- ② 컨덕턴스
- ③ 어드미턴스
- ④ 리액턴스
등록된 댓글이 없습니다.
40. 의 f(t)는?
- ① 2e-2t sin t
- ② 2e-2t cos t
- ③ 2e-t sin 2t
- ④ 2e-t cos 2t
등록된 댓글이 없습니다.
3과목 : 전자회로
41. 다음 전달특성을 갖는 회로는? (단, 다이오드는 이상적인 소자이다.)

- ①

- ②

- ③

- ④

등록된 댓글이 없습니다.
42. 다음 회로에 대한 설명 중 틀린 것은?

- ① 구형파를 주기적으로 발생시키는 회로이다.
- ② R과 C를 조절함으로써 발생하는 파형의 주파수를 조절할 수 있다.
- ③ R1과 R2의 값을 조절함에 따라 출력 파형의 주파수를 조절할 수 있다.
- ④ 연산증폭기의 (+)단자의 파형은 정현파이다.
등록된 댓글이 없습니다.
43. 전달 컨덕턴스 증폭기(transconductance amplifier)의 이상적인 특성으로 옳은 것은? (단, Ri는 입력저항, RO는 출력저항이다.)
- ① Ri = 0, RO = 0
- ② Ri = 0, RO = 무한대
- ③ Ri = 무한대, RO = 0
- ④ Ri = 무한대, RO = 무한대
등록된 댓글이 없습니다.
44. 다음 바이어스 회로가 증폭기로 동작한다면, RB는 몇 kΩ 인가? (단, VBE =0.7V, RC = 5kΩ, VCC = 10V, β = 100, IC = 1mA 이다.)

- ① 135
- ② 270
- ③ 465
- ④ 930
등록된 댓글이 없습니다.
45. 다음 RC결합 소신호 증폭기에서 저주파수대역과 고주파수대역에서 전압이득이 감소하는 이유로 틀린 것은? (단, 중간주파수대역에서 C1, C2, C3 의 리액턴스를 무시할 수 있다.)

- ① 고주파수대역에서 C3에 의한 바이어스 효과가 크기 때문에 이득이 감소한다.
- ② BJT의 접합용량은 고주파수대역에서 이득감소의 원인이 된다.
- ③ C1, C2는 저주파에서 그 양단의 전압 강하로 인해서 전압이득을 감소시킨다.
- ④ RE는 저주파에서 부궤환을 일으켜서 이득을 감소시킨다.
등록된 댓글이 없습니다.
46. 이상적인 발진회로의 발진조건으로 옳은 것은?
- ① 귀환 루프 이득이 1 보다 커야 한다.
- ② 귀환 루프 이득이 1 보다 적어야 한다.
- ③ 귀환 루프 위상천이가 0° 이어야 한다.
- ④ 귀환 루프 위상천이가 180° 이어야 한다.
등록된 댓글이 없습니다.
47. 다음 회로의 입출력 특성곡선으로 적절한 것은? (단, R = 10Ω, 다이오드는 이상적인 소자이며, slope는 절댓값이다.)

- ①

- ②

- ③

- ④

등록된 댓글이 없습니다.
48. 단접합 트랜지스터(Unijunction Transistor)를 이용한 다음 회로에서 X와 Y점에서 각각 나타나는 전압 파형은?

- ① X – 정현파, T – 톱니파
- ② X – 톱니파, T – 정현파
- ③ X – 펄스파, T – 톱니파
- ④ X – 톱니파, T – 펄스파
등록된 댓글이 없습니다.
49. 어떤 차동증폭기의 차동이득은 1000이며, 동상이득은 0.1 일 때, 동상신호 제거비 CMRR은 몇 dB 인가?
- ① 60
- ② 80
- ③ 1000
- ④ 10000
등록된 댓글이 없습니다.
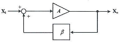
50. 다음과 같은 궤환 증폭기의 전체 이득 Xo/Xi 는?

- ①

- ②

- ③

- ④

등록된 댓글이 없습니다.
51. 미분기의 입력에 삼각파형이 공급되면 출력파형은? (단, 입력전원 및 구성소자의 값은 미분가능영역에 존재한다.)
- ① 반전된 삼각파
- ② 정현파
- ③ 구형파
- ④ 직류레벨
등록된 댓글이 없습니다.
52. 전압변동률은 출력전압이 부하변동에 대해 얼마만큼 변화 되는가를 나타내는 것인데 무부하시와 부하 시의 전압 변동률을 △V, 무부하시 출력 전압을 Vo, 부하 시 출력전압을 VL이라 할 때 전압 변동률 △V는?
- ①

- ②

- ③

- ④

등록된 댓글이 없습니다.
53. 어느 방송국의 송신출력이 15kW, 변조도 1, 안테나의 저항이 50Ω일 때 반송파의 크기는 얼마인가?
- ① 1 kV
- ② 9 kV
- ③ 15 kV
- ④ 17 kV
등록된 댓글이 없습니다.
54. 다음 중 BJT의 동작점 Q의 변동에 영향이 적은 것은?
- ① 온도변화에 의한 ICO 변화
- ② 온도변화에 의한 VBE 변화
- ③ BJT의 품질 불균일에 의한 β값 변화
- ④ 회로내의 커패시터값 변화
등록된 댓글이 없습니다.
55. 고역 차단주파수가 1000kHz 인 증폭회로를 2단으로 종속 연결했을 때 종합 고역 차단주파수는 약 몇 kHz 인가?
- ① 640
- ② 820
- ③ 1000
- ④ 2000
등록된 댓글이 없습니다.
56. 다음 FET 증폭회로의 소신호 전압이득은? (단, 채널변조효과는 고려하지 않으며 gm = 8mS, RD = 5kΩ 이다.)

- ① -10
- ② -20
- ③ -40
- ④ -50
등록된 댓글이 없습니다.
57. 다음 수정 발진회로의 특징 중 틀린 것은?
- ① 발진 주파수는 수정 진동자의 공진 주파수(고유 주파수)로 결정된다.
- ② 발진 주파수가 안정적인 이유는 발진 조건을 만족하는 유동성 주파수의 범위가 매우 좁기 때문이다.
- ③ 수정 진동자의 Q는 매우 좁다.
- ④ 주위 온도의 영향이 적다.
등록된 댓글이 없습니다.
58. A급 증폭기에 대한 설명 중 옳은 것은?
- ① 출력 전력이 매우 크다.
- ② 컬렉터 전류는 입력 신호의 전주기 동안 흐른다.
- ③ 동작점은 전달특성 곡선의 차단점 이하에 되게 바이어스를 가해 동작시킨다.
- ④ 일그러짐이 매우 크다.
등록된 댓글이 없습니다.
59. 다음 중 입력 신호의 (+), (-)의 피크를 어느 기준 레벨로 바꾸어 고정시키는 회로는?
- ① 클램퍼
- ② 클리퍼
- ③ 리미터
- ④ 필터
등록된 댓글이 없습니다.
60. 다음 연산증폭기를 이용한 회로에서 전류 IL은 몇 mA 인가? (단, V1 = 3V, V2 = 7V, RL = 15kΩ, R1 = R2 = R3 = R4 = 10kΩ이다.)

- ① 0.1
- ② 0.2
- ③ 0.4
- ④ 0.8
등록된 댓글이 없습니다.
4과목 : 물리전자공학
61. SCR 소자에 대한 설명 중 틀린 것은?
- ① 게이트에 인가된 작은 전류로 Turn-on 할 수 있다.
- ② pnpn 구조의 3단자 소자이다.
- ③ 게이트의 극히 작은 전력에 의하여 Turn-on 될 수 있다.
- ④ Turn-on 이후 게이트 전압을 차단하여 Turn-off 할 수 있다.
등록된 댓글이 없습니다.
62. 홀(hall) 효과와 가장 관계가 깊은 것은?
- ① 자장계
- ② 고저항 측정기
- ③ 전류계
- ④ 분압계
등록된 댓글이 없습니다.
63. 수은등에 들어있는 수은증기의 전리전압은 10.44V 이다. 전자를 충돌시켜서 이것을 전리시키는데 필요한 최소의 전자 속도는? (단, 전자의 질량 m = 9.109×10-31 [kg], 전기량 e = 1.602×10-19 [C])
- ① 1.92×106[cm/s]
- ② 3.84×106[cm/s]
- ③ 1.92×106[m/s]
- ④ 3.84×106[m/s]
등록된 댓글이 없습니다.
64. 서미스터(thermistor) 용도로 틀린 것은?
- ① 트랜지스터 회로의 온도 보상
- ② FM 전력계
- ③ 온도 검출
- ④ 발진기
등록된 댓글이 없습니다.
65. 3cm 떨어진 두 평면 전극으로 구성된 2극관에 3kV의 전압을 걸었을 때, 강전계로 인해 음극의 일함수가 낮아질 경우, 감소된 일함수의 양은? (단, 전자의 전하량 e = 1.602×10-19[C], 진공에서의 유전율 ε0 = 8.854×10-12[F/m])
- ① 0.12 eV
- ② 0.012 eV
- ③ 0.24 eV
- ④ 0.024 eV
등록된 댓글이 없습니다.
66. 세기가 일정하고 균일한 자장내에 속도가 동일한 양성자, α입자 및 전자가 자력선에 수직한 면으로 입사하였을 때, 각 입자들은 등속 원운동을 한다. 이 때 각 입자들의 궤도 반경의 비는 어떠한가? (단, 전자의 질량은 양성자 질량의 1/1840 이고, rp : 양성자의 궤도반경, rα : α입자의 궤도반경, re : 전자의 궤도반경이다.)
- ① rp : rα : re = 1 : 2 :

- ② rp : rα : re = 1 : 4 :

- ③ rp : rα : re = : 1 : 2

- ④ rp : rα : re = : 4 : 1

등록된 댓글이 없습니다.
67. 건(Gunn) 다이오드에서 부성저항이 생기는 원인은?
- ① 캐리어농도의 전압의존성
- ② 캐리어농도의 온도의존성
- ③ 유효질량의 온도의존성
- ④ 유효질량의 전압의존성
등록된 댓글이 없습니다.
68. 다음 중 에너지밴드에 속하지 않는 것은?
- ① 전도대
- ② 금지대
- ③ 가전자대
- ④ 전기대
등록된 댓글이 없습니다.
69. 다음 중 N형 반도체에서 농도의 관계식으로 옳은 것은? (단, n : 전자의 농도, p : 정공의 농도)
- ① n = p
- ② np = 0
- ③ n < p
- ④ n > p
등록된 댓글이 없습니다.
70. 다음 중 PN 접합에 관한 설명 중 옳은 것은?
- ① 공간전하 영역은 역방향 바이어스가 커지면 증가한다.
- ② 공간전하 영역은 불순물 농도에 비례 하여 커진다.
- ③ 접합용량은 역방향 바이어스가 증가하면 커진다.
- ④ 접합용량은 불순물 농도가 증가하면 감소한다.
등록된 댓글이 없습니다.
71. 접합형 트랜지스터의 구조에 대한 설명으로 옳은 것은?
- ① 이미터, 베이스, 컬렉터의 폭은 같게 한다.
- ② 불순물의 농도는 컬렉터를 가장 크게, 이미터를 가장 작게 한다.
- ③ 베이스 폭은 이미터와 컬렉터의 폭과 비교할 때 비교적 좁게 한다.
- ④ 베이스 폭은 비교적 넓게 하고, 불순물은 많이 넣는다.
등록된 댓글이 없습니다.
72. 터널 다이오드(tunnel diode)의 설명 중 틀린 것은?
- ① 부성 저항 특성을 나타낸다.
- ② 마이크로파 발진용으로 사용된다.
- ③ 공간 전하층이 일반 다이오드 보다 넓다.
- ④ 역바이어스 상태에서 전도성이 양호하다.
등록된 댓글이 없습니다.
73. 페르미-디랙(Fermi-Dirac) 분포함수에 대한 설명으로 틀린 것은? (단, Ef : 페르미준위, f(E) : 페르미함수, k : 볼쯔만 상수, T : 절대온도 이다.)
- ① 절대온도 0 K 에서는 E > Ef 이면 f(E) = 0 이 된다.
- ② 온도에 따라 변화한다.
- ③ 수식표현은 로 나타낸다.

- ④ Pauli의 배타율을 따른다.
등록된 댓글이 없습니다.
74. 페르미-디랙 분포(Fermi-Dirac distribution)에서 T = 0 K 일 때 분포 함수의 성질로 옳은 것은? (단, Ef : 페르미준위, f(E) = 페르미함수)
- ① f(E) = 1, E < Ef
- ② f(E) = 1/2, E > Ef
- ③ f(E) = 1/2, E < Ef
- ④ f(E) = 1, E > Ef
등록된 댓글이 없습니다.
75. 반도체의 성질에 대한 설명으로 틀린 것은?
- ① 반도체는 역기전력이 크며 부 온도계수를 갖는다.
- ② PN 접합 부근에서는 n에서 p로 전계가 생긴다.
- ③ 직접 재결합률은 정공밀도와 전자밀도의 곱에 비례한다.
- ④ p형 반도체의 억셉터 원자는 정상 동작온도에서 부전하가 된다.
등록된 댓글이 없습니다.
76. 광전면에서 방출된 전자의 운동에너지는? (단, h는 plank의 상수이고, eø는 광전면의 일함수이다.)
- ①

- ②

- ③

- ④

등록된 댓글이 없습니다.
77. 공기 중에서 거리가 r 만큼 떨어진 두 점전하 q1, q2 사이에 작용하는 전기적인 인력은? (단, ε0은 진공의 유전율이다.)
- ①

- ②

- ③

- ④

등록된 댓글이 없습니다.
78. 재결합 중심(recombination center)의 원인이 되는 설명으로 틀린 것은?
- ① 결정표면의 불균일
- ② 순도가 높은 결정
- ③ 결정격자의 결함
- ④ 불순물에 의한 격자 결함
등록된 댓글이 없습니다.
79. 발광 다이오드(LED)에 대한 설명 중 틀린 것은?
- ① GaP, GaAsP 등 화합물 반도체로 만들어진다.
- ② PN 접합이 순바이어스 되었을 때 전자와 정공의 재결합 과정에서 빛이 발생된다.
- ③ 일반적으로 간접형 반도체로 제작된다.
- ④ LED에 흐르는 전류에 따라 상대 광도가 선형적으로 변하는 특성을 갖는다.
등록된 댓글이 없습니다.
80. 파울리(pauli)의 배타 원리에 관한 설명으로 옳은 것은?
- ① 전자는 낮은 준위의 양자상태에서 높은 준위의 양자 상태로 되려는 성질이 있다.
- ② 동일한 양자 상태에 다수의 전자가 있기를 원한다.
- ③ 어느 한 원자 내에서 2개의 전자가 같은 양자 상태에 존재할 수 없다.
- ④ 전자의 스핀(spin)은 평형을 이루도록 상호작용을 한다.
등록된 댓글이 없습니다.
5과목 : 전자계산기일반
81. 다음 마이크로 명령어로 구성되는 명령어는?

- ① ADD(더하기)
- ② LOAD(인출)
- ③ JMP(분기)
- ④ STA(저장)
등록된 댓글이 없습니다.
82. 다음 중 순서도(flowchart) 종류에 해당되지 않는 것은?
- ① 시스템 순서도(system flowchart)
- ② 실체 순서도(entity flowchart)
- ③ 상세 순서도(detail flowchart)
- ④ 개략 순서도(general flowchart)
등록된 댓글이 없습니다.
83. 16개의 플립플롭으로 된 시프트 레지스터에 15(10)가 기억되어 있을 때, 3 비트만큼 왼쪽으로 시프트한 결과는?
- ① 10(10)
- ② 30(10)
- ③ 60(10)
- ④ 120(10)
등록된 댓글이 없습니다.
84. C언어에서 변수 앞에 * 기호를 사용하는 데이터형은?
- ① array
- ② pointer
- ③ long
- ④ float
등록된 댓글이 없습니다.
85. 스택 메모리를 이용하여 수식 E = (A + B – C)× D 연산을 하려고 할 때, 연산 명령어 순서로 옳은 것은?
- ① SUB → MUL → ADD
- ② ADD → MUL → SUB
- ③ MUL → ADD → SUB
- ④ ADD → SUB → MUL
등록된 댓글이 없습니다.
86. 2의 보수를 이용하는 8비트 시스템에서 (-15) -3의 연산 결과는?
- ① 11101101
- ② 10010010
- ③ 11101110
- ④ 10010001
등록된 댓글이 없습니다.
87. 1024×16 비트의 주기억장치를 가진 컴퓨터에서 MAR(Memory Address Reigster)과 MBR(Memory Buffer Reigster)의 비트 수는?
- ① MAR = 6 bits, MBR = 10 bits
- ② MAR = 10 bits, MBR = 6 bits
- ③ MAR = 10 bits, MBR = 16 bits
- ④ MAR = 18 bits, MBR = 10 bits
등록된 댓글이 없습니다.
88. 논리회로를 설계하는 과정에서 최적화를 위한 고려 대상이 아닌 것은?
- ① 전파 지연시간의 최소화
- ② 사용 게이트 수의 최소화
- ③ 게이트 종류의 다양화
- ④ 게이트 간 상호변수의 최소화
등록된 댓글이 없습니다.
89. C 언어에 대한 설명 중 틀린 것은?
- ① C 언어의 기원은 ALGOL에서 찾을 수 있다.
- ② 뛰어난 이식성을 가지고 있다.
- ③ 분할 컴파일이 가능하다.
- ④ 비트 연산을 지원하지 않는다.
등록된 댓글이 없습니다.
90. 불대수 (A+B)(A+C)를 간략화 하면?
- ① ABC
- ② A+B+C
- ③ AB+C
- ④ A+BC
등록된 댓글이 없습니다.
91. 다음 설명의 입·출력 방식은?

- ① 직접 제어 방식
- ② DMA(Direct Memory Access) 방식
- ③ 프로그램에 의한 I/O 방식
- ④ 인터럽트에 의한 I/O 방식
등록된 댓글이 없습니다.
92. 16×1 멀티플렉서에서 필요한 선택신호는 몇 개인가?
- ① 1
- ② 4
- ③ 8
- ④ 16
등록된 댓글이 없습니다.
93. 부동소수점 표현 방식의 설명 중 틀린 것은?
- ① 고정소수점 표현보다 표현할 수 있는 범위가 넓다.
- ② 매우 큰 수를 표시하기에 편리하다.
- ③ 수의 표현은 지수부분, 가수부분만으로 구분 표현한다.
- ④ 32비트 길이의 단일정밀도의 지수부는 일반적으로 7개의 비트를 사용한다.
등록된 댓글이 없습니다.
94. 다음 JK 플립플롭의 특성표에서 (a)와 (b)는?

- ① (a) = 0, (b) = 0
- ② (a) = 0, (b) = 1
- ③ (a) = 1, (b) = 0
- ④ (a) = 1, (b) = 1
등록된 댓글이 없습니다.
95. 다음 소프트웨어의 분류 중 성격이 다른 하나는?
- ① 미들웨어
- ② 프리웨어
- ③ 쉐어웨어
- ④ 라이트웨어
등록된 댓글이 없습니다.
96. 7-bit 해밍 코드에서 오류를 수정할 때 Parity bit 의 위치는?
- ① 1, 2, 3번째 비트에 위치한다.
- ② 1, 2, 4번째 비트에 위치한다.
- ③ 1, 3, 7번째 비트에 위치한다.
- ④ 1, 5, 7번째 비트에 위치한다.
등록된 댓글이 없습니다.
97. 다음과 같은 명령어 형식을 만들기 위해 요구되는 명령의 최소 비트(bit)는?

- ① 12
- ② 15
- ③ 17
- ④ 19
등록된 댓글이 없습니다.
98. 사용자가 프로그래밍 할 수 없는 ROM은?
- ① Mask ROM
- ② UVEPRROM
- ③ EPROM
- ④ EEPROM
등록된 댓글이 없습니다.
99. 다음 karnaugh맵을 간략화 하면?

- ① A
- ②

- ③ A + B
- ④

등록된 댓글이 없습니다.
100. 다음 중 마스크 연산을 하기 위해 사용하는 게이트는?
- ① OR
- ② AND
- ③ EX-OR
- ④ NOT
등록된 댓글이 없습니다.