소방설비산업기사(기계)(2016. 5. 8.) 시험일자 : 2016년 5월 8일
1과목 : 소방원론
1. 다음 열분해 반응식과 관계가 있는 분말 소화약제는?

- ① 제1종 분말
- ② 제2종 분말
- ③ 제3종 분말
- ④ 제4종 분말
등록된 댓글이 없습니다.
2. 어떤 유기화합물을 분석한 결과, 실험식이 CH2O이었으며 분자량을 측정하였더니 60이었다. 이 물질의 시성식은? (단, C,H,O의 원자량은 각각 12,1,16)
- ① CH3OH
- ② CH3COOCH3
- ③ CH3COCH3
- ④ CH3COOH
등록된 댓글이 없습니다.
3. 건물내부에서 화재가 발생하여 실내온도가 27℃에서 1227℃로 상승한다면 이 온도 상승으로 인하여 실내 공기는 처음의 몇 배로 팽창하는가? (단, 화재에 의한 압력변화 등 기타 주어지지 않은 조건은 무시한다.)
- ① 3배
- ② 5배
- ③ 7배
- ④ 9배
등록된 댓글이 없습니다.
4. 화재강도에 영향을 미치는 인자가 아닌 것은?
- ① 가연물의 비표면적
- ② 화재실의 구조
- ③ 가연물의 배열상태
- ④ 점화물 또는 발화원의 온도
등록된 댓글이 없습니다.
5. 위험물의 위험성을 나태는 성질에 대한 설명으로 틀린 것은?
- ① 비등점이 낮아지면 인화의 위험성이 높다.
- ② 비중의 값이 클수록 위험성이 높다.
- ③ 융점이 낮아질수록 위험성이 높다.
- ④ 점성이 낮아질수록 위험성이 높다.
등록된 댓글이 없습니다.
6. 건축물의 주요구조부에서 제외되는 것은?
- ① 차양
- ② 바닥
- ③ 내력벽
- ④ 지붕틀
등록된 댓글이 없습니다.
7. 분말소화약제의 열분해에 의한 반응식 중 맞는 것은?
- ① 2NaHCO3+열 →NaCO3+2CO2+H2O
- ② 2KHCO3+열 →KCO3+2CO2+H2O
- ③ NH4H2PO4+열 →HPO3+NH3+H2O
- ④ 2KHCO3+(NH2)2CO+열→K2CO3+NH2+CO2
등록된 댓글이 없습니다.
8. 온도 및 습도가 높은 장소에서 취급할 때 자연발화의 위험성이 가장 큰 것은?
- ① 질산나트륨
- ② 황화린
- ③ 아닐린
- ④ 셀룰로이드
등록된 댓글이 없습니다.
9. 청정소화약제 중 HFC계열인 펜타플루오로에탄(HFC-125, CHF2CF3)의 최대 허용 설계 농도는?
- ① 0.2%
- ② 1.0%
- ③ 7.5%
- ④ 9.0%
등록된 댓글이 없습니다.
10. 열에너지원의 종류 중 화학열에 해당하는 것은?
- ① 압축열
- ② 분해열
- ③ 유전열
- ④ 스파크열
등록된 댓글이 없습니다.
11. 연소상태에 대한 설명 중 적합하지 못한 것은?
- ① 불완전연소는 산소의 공급량 부족으로 나타나는 현상이다.
- ② 가연성 액체의 연소는 액체 자체가 연소하고 있는 것이다.
- ③ 분해연소는 가연물질이 가열분해되고, 그 때 생기는 가연성 기체가 연소하는 현상을 말한다.
- ④ 표면연소는 가연물 그 자체가 직접 불에 타는 현상을 의미한다.
등록된 댓글이 없습니다.
12. 유류화재에 대한 설명으로 틀린 것은?
- ① 액체상태에서 불이 붙을 수 있다.
- ② 유류는 반드시 휘발하여 기체상태에서만 불이 붙을 수 있다.
- ③ 경질류 화재는 쉽게 발생할 수 있으나 열축적이 없어 쉽게 진화할 수 있다.
- ④ 중질류 화재는 경질류 화재의 진압보다 어렵다.
등록된 댓글이 없습니다.
13. 물분무소화설비의 주된 소화효과가 아닌 것은?
- ① 냉각효과
- ② 연쇄반응 단절효과
- ③ 질식효과
- ④ 희석효과
등록된 댓글이 없습니다.
14. 화재 발생 위험에 대한 설명으로 틀린 것은?
- ① 인화점은 낮을수록 위험하다.
- ② 발화점은 높을수록 위험하다.
- ③ 산소 농도는 높을수록 위험하다.
- ④ 연소 하한계는 낮을수록 위험하다.
등록된 댓글이 없습니다.
15. 다음 중 가연성가스가 아닌 것은?
- ① 수소
- ② 염소
- ③ 암모니아
- ④ 메탄
등록된 댓글이 없습니다.
16. 실험군 쥐를 15분 동안 노출시켰을 때 실험군의 절반이 사망하는 치사 농도는?
- ① ODP
- ② GWP
- ③ NOAEL
- ④ ALC
등록된 댓글이 없습니다.
17. 오존층 파괴 효과가 없는(ODP=0)소화약제는?
- ① Halon 1301
- ② HFC-227ea
- ③ HCFC BLEND A
- ④ Halon 1211
등록된 댓글이 없습니다.
18. 응축상태의 연소를 무엇이라 하는가?
- ① 작열연소
- ② 불꽃연소
- ③ 폭발연소
- ④ 분해연소
등록된 댓글이 없습니다.
19. 물의 물리적 성질에 대한 설명으로 틀린 것은?
- ① 물의 비열은 1cal/g∙℃이다.
- ② 물의 용융열은 79.7cal/g이다.
- ③ 물의 증발잠열은 439kcal/g이다.
- ④ 대기압하에서 100℃ 물이 액체에서 수증기로 바뀌면 체적은 약 1600배 증가한다.
등록된 댓글이 없습니다.
20. 화재의 종류에서 A급 화재에 해당하는 색상은?
- ① 황색
- ② 청색
- ③ 백색
- ④ 적색
등록된 댓글이 없습니다.
2과목 : 소방유체역학
21. 유체에 대한 일반적인 설명으로 틀린 것은?
- ① 유체 유동 시 비점섬 유체는 마찰 저항이 존재하지 않는다.
- ② 실제 유체에서는 마찰저항이 존재한다.
- ③ 뉴턴(Newton)의 점성법칙은 압력, 유체의 변형률에 관한 함수 관계를 나타내는 법칙이다.
- ④ 전단응력이 가해지면 정지상태로 있을 수 없는 물질을 유체라 한다.
등록된 댓글이 없습니다.
22. 이산화탄소가 압력 2×105, 비체적 0.04m3/kg상태로 저장되었다가, 온도가 일정한 상태로 압축되어 압력이 8×105Pa되었다면, 변화 후 비체적은 몇 m3/kg인가?
- ① 0.01
- ② 0.02
- ③ 0.16
- ④ 0.32
등록된 댓글이 없습니다.
23. 펌프 입구에서의 압력 80kPa, 출구에서의 압력 160kPa이고, 이 두 곳의 높이 차이(출구가 높음)는 1m 이다. 입구 및 출구 관의 직경은 같으며 송출유량이 0.02m3/s일 때 효율 90%인 펌프에 필요한 축동력은 약 몇 kW인가?
- ① 1.4
- ② 1.6
- ③ 1.8
- ④ 2.0
등록된 댓글이 없습니다.
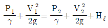
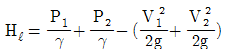
24. 그림과 같은 수평 관로에서 유체가 ①에서 ②로 흐르고 있다. ①, ②에서의 압력과 속도를각각 P1, V1 및 P2, V2라 하고 손실수두를 Hℓ이라 할 때 에너지 방정식은?

- ①

- ②

- ③

- ④

등록된 댓글이 없습니다.
25. 노즐에서 10m/s로서 수직방향으로 물을 분사할 때 최대 상승높이는 약 몇 m인가? (단, 저항은 무시한다.)
- ① 5.10
- ② 6.34
- ③ 3.22
- ④ 2.65
등록된 댓글이 없습니다.
26. 옥내소화전 노즐선단에서 물 제트의 방사량이 0.1m3/min, 노즐선단 내경이 25mm일 때 방사압력(계기압력)은 약 몇 kPa 인가?
- ① 3.27
- ② 4.41
- ③ 5.32
- ④ 5.78
등록된 댓글이 없습니다.
27. 뉴턴 유체의 정의로 옳은 것은?
- ① 전단응력과 전단변형률이 비례하는 유체
- ② 전단응력과 전단변형률이 반비례하는 유체
- ③ 수직응력과 전단변형률이 비례하는 유체
- ④ 수직응력과 전단변형률이 반비례하는 유체
등록된 댓글이 없습니다.
28. 질량과 체적이 각각 4400kg, 5.1m3인 유체의 비중은 약 얼마인가?
- ① 0.86
- ② 8.6
- ③ 10.6
- ④ 11.6
등록된 댓글이 없습니다.
29. 파이프 속을 흐르는 유체의 압력을 측정하기 위한 계기가 아닌 것은?
- ① 부르돈 압력계
- ② 마노미터
- ③ 위어
- ④ 피에조미터
등록된 댓글이 없습니다.
30. 어느 이상기체 10kg의 온도를 200℃만큼 상승시키는 데 필요한 열량은 압력이 일정한 경우와 체적이 일정한 경우에 375kJ의 차이가 있다. 이 이상기체의 기체상수(J/kgㆍK)로 옳은 것은?
- ① 185.5
- ② 187.5
- ③ 191.5
- ④ 194.5
등록된 댓글이 없습니다.
31. 하젠-윌리엄스(Hagen-Williams)공식에서 P는 무엇을 나타내는가? (단, Q = 유량[L/min], C = 조도계수, d= 관의 내경[mm], L = 관의길이[m])

- ① 펌프의 가압 시 생기는 날개 이면의 압축손실
- ② 펌프의 1차측 및 2차측의 압력차
- ③ 배관흐름 중 외부로 누수되는 압력손실
- ④ 배관 내의 마찰손실
등록된 댓글이 없습니다.
32. 그림과 같이 3m/s의 속도로 분류의 방향을 따라 이동하는 평판에 10m/s의 속도로 물이 분출하여 충돌한다. 분류의 단면적이 0.02m2일 때, 평판이 받는 힘 F는 몇 N인가? (단, 물의 밀도는 1000kg/m3으로 한다.)(오류 신고가 접수된 문제입니다. 반드시 정답과 해설을 확인하시기 바랍니다.)

- ① 960
- ② 980
- ③ 1000
- ④ 1020
등록된 댓글이 없습니다.
33. 온도차이 40℃, 연전도율 k1, 두께 5cm인 벽을 통한 열유속(heat flux)과 온도차이 20℃, 열전도율 k2, 두께 10cm인 벽을 통한 열유속이 같다면 이 두 재질의 열전도율의 비 k2/k1의 값은?(오류 신고가 접수된 문제입니다. 반드시 정답과 해설을 확인하시기 바랍니다.)
- ① 1/4
- ② 1/2
- ③ 2
- ④ 4
등록된 댓글이 없습니다.
34. 곧은 원형 관에서의 속도 분포는 으로 표현된다. 여기서 r은 관의 중심선으로부터 측정되었고, R은 관의 반지름이다. 이때 관에서의 최적 유량 Q를 나타낸 식은 어느 것인가? (단, 체적유량 이다.)
- ①

- ②

- ③

- ④

등록된 댓글이 없습니다.
35. 하나의 잘 설계된 원심 펌프의 임펠러 직경이 10cm이다. 똑같은 모양의 펌프를 임펠러 직경이 20cm로 만들었을 때, 유량계수를 같게 하고 10cm에서와 같은 회전수에서 운전하면 새로운 펌프의 설계점 성능 특성 중 수두 또는 양정은 몇 배가 되는가? (단, 레이놀즈수의 영향은 무시한다.)
- ① 동일
- ② 2배
- ③ 4배
- ④ 8배
등록된 댓글이 없습니다.
36. 체적이 10m3인 변형하지 않는 용기 내에 산소 2kg과 수소 2kg로 구성된 혼합 기체가 들어있다. 용기 내의 온도가 30℃일 때 용기 내 압력은 몇 kPa인가? (단, 산소의 기체상수는 259.8J/kg∙K,수소의 기체상수는 4147J/kg∙K이며, 화학반응은 일어나지 않는 것으로 한다.)
- ① 267.2
- ② 271.3
- ③ 277.3
- ④ 281.3
등록된 댓글이 없습니다.
37. 급확대관 혹은 급축소관에서의 손실수두에 관한 설명 중 옳지 않은 것은?
- ① 입출구 속도차의 제곱에 비례한다.
- ② 중력가속도에 반비례한다.
- ③ 급축소관은 입출구 속도차의 제곱에 반비례한다.
- ④ 급확대관에서 굵은관 직경이 가는관 직경에 비해 매우 클 경우 손실계수는 약 1이다.
등록된 댓글이 없습니다.
38. 바닷물 위에 떠 있는 물체에 작용하는 부력에 대한 설명으로 옳은 것은? (단, 정지하고 있는 상태이다.)
- ① 물체의 중량보다 크다.
- ② 물체의 중량보다 적다.
- ③ 물체에 의하여 배제된 액체의 무게와 같다.
- ④ 물체에 의하여 배제된 액체의 무게에 유체의 비중량을 곱한 무게와 같다.
등록된 댓글이 없습니다.
39. 직경 7.62cm, 길이가 10m인 소방호스에 1.67×10-3m3/s의 물이 흐르고 있을 때 평균유속은 약 몇m/s인가?
- ① 0.27
- ② 0.37
- ③ 0.47
- ④ 0.57
등록된 댓글이 없습니다.
40. 폭 1m, 길이 2m인 수직평판이 물속 0.5m 깊이에 잠겨있다. 이 평판에 작용하는 정수력은 얼마인가?

- ① 9.8kPa
- ② 14.7kPa
- ③ 24.5kPa
- ④ 29.4kPa
등록된 댓글이 없습니다.
3과목 : 소방관계법규
41. 공동 소방안전관리자를 선임하여야 하는 특정소방대상물 중 고층건축물은 지하층을 제외한 층수가 몇 층 이상인 건축물만 해당되는가?
- ① 6층
- ② 11층
- ③ 20층
- ④ 30층
등록된 댓글이 없습니다.
42. 공장ㆍ창고가 밀집한 지역에서 화재로 오인할 만한 우려가 있는 불을 피우는 자가 관할소방본부장에게 신고를 하지 않아 소방 자동차를 출동하게 한 자에 대한 벌칙은?
- ① 200만원 이하의 과태료
- ② 100만원 이하의 과태료
- ③ 50만원 이하의 과태료
- ④ 20만원 이하의 과태료
등록된 댓글이 없습니다.
43. 다음 중 소방대상물이 아닌 것은?
- ① 산림
- ② 항해 중인 선박
- ③ 인공 구조물
- ④ 선박 건조 구조물
등록된 댓글이 없습니다.
44. 지정수량 미만인 위험물의 저장 또는 취급에 관한 기술상의 기준은 무엇으로 정하는가?
- ① 대통령령
- ② 국민안전처장관령
- ③ 총리령
- ④ 시ㆍ도의 조례
등록된 댓글이 없습니다.
45. 일반음식점에서 조리를 위하여 불을 사용하는 설비를 설치할 경우 화재예방을 위하여 지켜야 할 사항 중 틀린 것은?
- ① 주방설비에 부속된 배기덕트는 0.5mm이상의 아연도금강판 또는 이와 동등 이상의 내식성 불연재료로 설치할 것
- ② 주방시설에는 기름을 제거할 수 있는 필터등을 설치할 것
- ③ 열을 발생하는 조리기구는 반자 또는 선반으로부터 0.5m 이상 떨어지게 할 것
- ④ 열을 발생하는 조리기구로부터 0.15m 이내의 거리에 있는 가연성 주요구조부는 석면판 또는 단열성이 있는 불연재로 덮어씌울 것
등록된 댓글이 없습니다.
46. 탱크안전성능검사의 대상이 되는 탱크 중 기초ㆍ지반검사를 받아야 하는 옥외탱크저장소의 액체위험물탱크의 용량은 몇 L이상인가?
- ① 100만
- ② 10만
- ③ 1만
- ④ 1천
등록된 댓글이 없습니다.
47. 소화용수시설별 설치기준 중 다음 ( ) 안에 모두 알맞은 것은?

- ① ㉠ 65, ㉡ 0.8, ㉢ 1.5
- ② ㉠ 50, ㉡ 0.8, ㉢ 1.5
- ③ ㉠ 65, ㉡ 1.5, ㉢ 1.7
- ④ ㉠ 50, ㉡ 1.5, ㉢ 1.7
등록된 댓글이 없습니다.
48. 연면적이 33m2이상이 되지 않아도 소화기구를 설치하여야 하는 특정소방대상물은?
- ① 변전실
- ② 가스시설
- ③ 판매시설
- ④ 유흥주점영업소
등록된 댓글이 없습니다.
49. 건축허가 등의 동의대상물의 범위 중 노유자시설의 연면적 기준은?
- ① 100m2이상
- ② 200m2이상
- ③ 400m2미만
- ④ 400m2이상
등록된 댓글이 없습니다.
50. 출동한 소방대의 소방장비를 파손하거나 그 효용을 해하여 화재진압ㆍ인명구조 또는 구급 활동을 방해하는 행위를 한 자의 벌칙은?
- ① 10년 이하의 징역 또는 5000만원 이하의 벌금
- ② 5년 이하의 징역 또는 3000만원 이하의 벌금
- ③ 3년 이하의 징역 또는 1500만원 이하의 벌금
- ④ 2년 이하의 징역 또는 1000만원 이하의 벌금
등록된 댓글이 없습니다.
51. 다음 중 특정소방대상물의 관계인의 업무가 아닌 것은? (단, 소방안전관리대상물을 제외한다.)(오류 신고가 접수된 문제입니다. 반드시 정답과 해설을 확인하시기 바랍니다.)
- ① 자위소방대의 구성ㆍ운영ㆍ교육
- ② 소방시설의 유지ㆍ관리
- ③ 화기취급의 감독
- ④ 방화구획의 유지ㆍ관리
등록된 댓글이 없습니다.
52. 기술인력 중 보조기술인력에 속하지 않는 자는?
- ① 소방설비기사
- ② 소방설비산업기사
- ③ 소방공무원 2년 경력자
- ④ 소방관련학과 졸업자
등록된 댓글이 없습니다.
53. 위험물의 지정수량에서 산화성 고체인 중크롬산염류의 지정수량은?
- ① 3000kg
- ② 1000kg
- ③ 300kg
- ④ 50kg
등록된 댓글이 없습니다.
54. 대지경계선 안에 2이상의 건축물이 있는 경우 연소 우려가 있는 구조로 볼 수 있는 것은?
- ① 1층 외벽으로부터 수평거리 6m이상이고 개구부가 설치되지 않은 구조
- ② 2층 외벽으로부터 수평거리 10m 이상이고 개구부가 설치되지 않은 구조
- ③ 2층 외벽으로부터 수평거리 6m 이고 개구부가 다른 건축물을 향하여 설치된 구조
- ④ 1층 외벽으로부터 수평거리 10m 이고 개구부가 다른 건축물을 향하여 설치된 구조
등록된 댓글이 없습니다.
55. 소방시설업의 등록을 하지 않고 영업을 한 자에게 대한 벌칙은?
- ① 1년 이하의 징역 또는 1000만원 이하의 벌금
- ② 2년 이하의 징역 또는 1500만원 이하의 벌금
- ③ 3년 이하의 징역 또는 1000만원 이하의 벌금
- ④ 3년 이하의 징역 또는 1500만원 이하의 벌금
등록된 댓글이 없습니다.
56. 소방시설 등에 대한 자체점검 중 작동기능 점검의 실시 횟수로 옳은 것은?
- ① 분기에 1회 이상
- ② 6개월에 2회이상
- ③ 연 1회 이상
- ④ 연 2회 이상
등록된 댓글이 없습니다.
57. 위험물 제조소 등에서 자동화재탐지설비를 설치하여야 할 제조소 및 일반취급소는 옥내에서 지정수량 몇 배 이상의 위험물을 저장ㆍ취급하는 곳인가?
- ① 지정수량 5배 이상
- ② 지정수량 10배 이상
- ③ 지정수량 50배 이상
- ④ 지정수량 100배 이상
등록된 댓글이 없습니다.
58. 소방용수시설인 저수조의 설치기준으로 옳은 것은?
- ① 흡수부분의 수심이 0.5m 이하일 것
- ② 지면으로부터의 낙차가 4.5m 이하일 것
- ③ 흡수관의 투입구가 사각형의 경우에는 한변의 길이가 60cm 이하일 것
- ④ 저수조에 물을 공급하는 방법은 상수도에 연결하여 수동으로 급수되는 구조일 것
등록된 댓글이 없습니다.
59. 소방시설공사의 하자보수 보증기간이 3년이 아닌 것은?
- ① 자동소화장치
- ② 무선통신보조설비
- ③ 자동화재탐지설비
- ④ 간이스프링클러설비
등록된 댓글이 없습니다.
60. 특정소방대상물에 설치된 전산실의 경우 물분무등소화설비를 설치해야 하는 바닥면적 기준은 몇 m2이상인가? (단, 하나의 방화구획 내에 둘 이상의 실이 설치된 경우 이를 하나의 실로 본다.)
- ① 100m2
- ② 300m2
- ③ 500m2
- ④ 1000m2
등록된 댓글이 없습니다.
4과목 : 소방기계시설의 구조 및 원리
61. 호스릴이산화탄소소화설비의 설치기준으로 틀린 것은?
- ① 노즐은 20℃에서 하나의 노즐마다 60kg/min이상의 소화약제를 방사할 수 있어야 한다.
- ② 소화약제 저장용기는 호스릴 3개마다 1개 이상 설치해야 한다.
- ③ 소화약제 저장용기의 가장 가까운 곳의 보기 쉬운 곳에 표시등을 설치해야 한다.
- ④ 소화약제 저장용기의 개방밸브는 호스의 설치장소에서 수동으로 개폐할 수 있어야 한다.
등록된 댓글이 없습니다.
62. 분말소화약제의 가압용가스 용기에는 몇 MPa이하의 압력에서 조정이 가능한 압력조정기를 설치하는가?
- ① 2.5
- ② 5
- ③ 7.5
- ④ 10
등록된 댓글이 없습니다.
63. 가압송수장치에 있어 수원의 수위가 펌프보다 낮은 위치에 있을 때 배관 흡수구에 사용할 수 있는 밸브는?
- ① 풋 밸브
- ② 앵글 밸브
- ③ 게이트 밸브
- ④ 스모렌스키 체크밸브
등록된 댓글이 없습니다.
64. 평상시 최고주위온도가 70℃인 장소에 폐쇄형 스프링클러헤드를 설치하는 경우 표시온도가 몇 ℃인 것을 설치해야 하는가?
- ① 79℃ 미만
- ② 79℃ 이상 121℃ 미만
- ③ 121℃ 이상 162℃ 미만
- ④ 162℃ 이상
등록된 댓글이 없습니다.
65. 66000V이하의 고압의 전기기기가 있는 장소에 물분무헤드 설치 시 전기기기와 물분무헤드 사이의 최소 이격거리는 몇 m 인가?
- ① 0.7
- ② 1.1
- ③ 1.8
- ④ 2.6
등록된 댓글이 없습니다.
66. 연결살수설비의 송수구 설치기준에 관한 설명으로 옳은 것은?
- ① 지면으로부터 높이가 1m 이상 1.5m 이하의 위치에 설치할 것
- ② 개방형헤드를 사용하는 연결살수설비에 있어서 하나의 송수구역에 설치하는 살수 헤드의 수는 15개 이하가 되도록 할 것
- ③ 폐쇄형헤드를 사용하는 송수구의 호스접결구는 각 송수구역마다 설치할 것
- ④ 폐쇄형헤드를 사용하는 설비의 경우에는 송수구ㆍ자동배수밸브ㆍ체크밸브의 순으로 설치할 것
등록된 댓글이 없습니다.
67. 펌프의 토출관에 압입기를 설치하여 포소화약제 압입용 펌프로 포소화약제를 압입시켜 혼합하는 포소화약제의 혼합방식은?
- ① 펌프 푸로포셔너
- ② 프레져 푸로포셔너
- ③ 라인 푸로포셔너
- ④ 프레져사이드 푸로포셔너
등록된 댓글이 없습니다.
68. 물분무소화설비를 설치하는 차고 또는 주차장의 배수설비 설치기준이 틀린 것은?
- ① 차량이 주차하는 장소의 적당한 곳에 높이 10cm 이상의 경계턱으로 배수구를 설치할 것
- ② 배수구에는 새어 나온 기름을 모아 소화할 수 있도록 길이 20m 이하마다 집수관ㆍ소화핏트 등 기름분리장치를 설치할 것
- ③ 차량이 주차하는 바닥은 배수구를 향하여 100분의 2 이상의 기울기를 유지할 것
- ④ 배수설비는 가압송수장치의 최대송수능력의 수량을 유효하게 배수할 수 있는 크기 및 기울기로 할 것
등록된 댓글이 없습니다.
69. 간이소화용구 중 삽을 상비한 마른 모래 50L 이상의 것 1포의 능력 단위는?
- ① 0.5
- ② 1
- ③ 2
- ④ 4
등록된 댓글이 없습니다.
70. 호스릴이산화탄소소화설비는 방호대상물의 각 부분으로부터 하나의 호스접결구까지의 수평 거리는 최대 몇 m 이하인가?
- ① 10
- ② 15
- ③ 20
- ④ 25
등록된 댓글이 없습니다.
71. 차고 또는 주차장에 설치하는 분말소화설비의 소화약제는?
- ① 제1종 분말
- ② 제2종 분말
- ③ 제3종 분말
- ④ 제4종 분말
등록된 댓글이 없습니다.
72. 옥내소화전설비의 가압송수장치를 압력수조 방식으로 할 경우에 압력수조에 설치하는 부속장치 중 필요하지 않은 것은?
- ① 수위계
- ② 급기관
- ③ 맨홀
- ④ 오버 플로우관
등록된 댓글이 없습니다.
73. 소화용수설비의 저수조가 지표면으로부터의 깊이가 몇 m 이상인 지하에 있는 경우에 가압송수장치를 설치하는가? (단, 지표면으로부터의 깊이는 수조 내부 바닥까지의 깊이를 말한다.)
- ① 4
- ② 4.5
- ③ 5
- ④ 5.5
등록된 댓글이 없습니다.
74. 입원실이 있는 3층 산후조리원에 적응성이 없는 피난기구는?
- ① 미끄럼대
- ② 승강식피난기
- ③ 피난용트랩
- ④ 공기안전매트
등록된 댓글이 없습니다.
75. 폐쇄형스프링클러헤드가 설치된 건물에 하나의 유수검지장치가 담당해야 할 방호구역의 바닥 면적은 몇 m2를 초과하지 않아야 하는가? (단, 폐쇄형스프링클러설비에 격자형배관방식은 제외한다.)
- ① 1000
- ② 2000
- ③ 2500
- ④ 3000
등록된 댓글이 없습니다.
76. 포워터스프링클러 헤드는 특정소방대상물의 천장 또는 반자에 설치하되, 바닥면적 몇 m2 마다 1개 이상을 설치하여야 하는가?g
- ① 4
- ② 6
- ③ 8
- ④ 9
등록된 댓글이 없습니다.
77. 제연설비에 사용하는 송풍기의 종류가 아닌 것은?
- ① 왕복형
- ② 다익형
- ③ 리밋 로드형
- ④ 터보형
등록된 댓글이 없습니다.
78. 관람장은 해당 용도의 바닥면적 몇 m2마다 능력단위 1단위 이상의 소화기구를 비치해야 하는가?
- ① 30
- ② 50
- ③ 100
- ④ 200
등록된 댓글이 없습니다.
79. 완강기 및 간이완강기의 최대사용하중 기준은 몇 N 이상인가?
- ① 800
- ② 1000
- ③ 1200
- ④ 1500
등록된 댓글이 없습니다.
80. 계단실 및 그 부속실을 동시에 제연구역으로 선정 시 방연풍속은 최소 몇 m/s인가?
- ① 0.3
- ② 0.5
- ③ 0.7
- ④ 1.0
등록된 댓글이 없습니다.