소음진동기사(2012. 5. 20.) 시험일자 : 2012년 5월 20일
1과목 : 소음진동개론
1. 고유 음향 임피던스를 나타낸 식으로 옳은 것은?
- ① 음압/입자속도
- ② 음자속도/음압
- ③ 입압/입자변위
- ④ 음자변위/음압
등록된 댓글이 없습니다.
2. 음의 굴절(refraction of wound wave)에 관한 설명으로 거리가 먼 것은?
- ① 대기의 온도차에 의한 굴절은 온도가 낮은 쪽으로 굴절한다.
- ② 음원보다 상공의 풍속이 클 때 풍상측에서는 상공으로 풍하측에서는 지면쪽으로 굴절한다.
- ③ 음의 파장이 크고 장애물의 크기가 작을수록 굴절이 커진다.
- ④ 굴절 전과 후의 음속차가 크면 굴절도 커진다.
등록된 댓글이 없습니다.
3. 다음 정재파(standing wave)에 관한 설명으로 가장 적합한 것은?
- ① 음원에서 모든 방향으로 동일한 에너지를 방출할 때 발생하는 파
- ② 둘 또는 그 이상의 음파의 구조적 간섭에 의해 시간적으로 일정하게 음압의 최고와 최저가 반복되는 패턴의 파
- ③ 음파의 진행방향으로 에너지를 전송하는 파
- ④ 음원으로부터 거리가 멀어질수록 더욱 넓은 면적으로 퍼져나가는 파
등록된 댓글이 없습니다.
4. 회전기계에서 발생하는 강제진동의 발생 원인으로 가장 거리가 먼 것은?
- ① 기어의 치형 오차
- ② 기초의 여진
- ③ 외부 감쇠력의 증대
- ④ 질량 불평형
등록된 댓글이 없습니다.
5. 항공기 소음에 관한 설명으로 옳지 않은 것은?
- ① 발생원이 상공이기 때문에 피해면적이 넓은 편이다.
- ② 항공기의 소음은 간헐적이고 충격적이다.
- ③ PNL 값은 항공기소음 평가의 기본값으로 많이 사용되기도 한다.
- ④ 젯트기의 소음은 금속성의 저주파수 성분이 주가 된다.
등록된 댓글이 없습니다.
6. 청력손실에 관한 설명으로 옳지 않은 것은?
- ① 영구적 청력손실은 4000Hz정도에서부터 난청이 진행된다.
- ② 청력손실이 옥타브밴드 중심주파수 500Hz~2000Hz 범위에서 25dB이상이면 난청이라 한다.
- ③ 4분법에 의한 평균청력손실은 로 나타낸다. (단, a:옥타브밴드 500Hz에서의 청력손실(dB), b:옥타브밴드 1000Hz에서의 청력손실(dB), c:옥타브밴드 2000Hz에서의 청력손실(dB)이다.)

- ④ 청력이 정상인 사람의 최소가정치와 피검자와의 최고가청치와의 비를 dB로 나타낸 것이다.
Dd2022. 11. 9. 13:10삭제
최대를 최소로ㅡㅡ
7. 공장 부지내의 지면에 소형 압축기가 있고, 그 음원에서 10m 떨어진 곳의 음압레벨이 80dB 이었다. 이것을 70dB로 하기 위해서는 이 압축기를 얼마만큼 더 이동하면 되겠는가?
- ① 5.6m
- ② 10.6m
- ③ 15.6m
- ④ 21.6m
등록된 댓글이 없습니다.
8. 그림과 같이 진동하는 파의 감쇠특성으로 옳은 것은? (단, ξ는 감쇠비이다.)

- ① ξ=0
- ② 0<ξ<1
- ③ ξ=1
- ④ ξ>1
등록된 댓글이 없습니다.
9. 각 주파수에 대한 공해진동의 신체적 영향으로 가장 거리가 먼 것은?
- ① 1~3Hz : 호흡이 힘들고, 산소소비 증가
- ② 4~14Hz : 복통느낌
- ③ 6Hz : 허리, 가슴 및 등쪽에 심한 통증을 느낌
- ④ 30~40Hz : 내장의 심한 공진
등록된 댓글이 없습니다.
10. 10Hz 진동수를 갖는 조화진동의 속도 진폭이 5×10-3였다. 이 때, 수직진동레벨(VL, dB(V))은?
- ① 76
- ② 85
- ③ 87
- ④ 91
등록된 댓글이 없습니다.
11. 대표적인 소음 측정 설비인 무향실은 기준 주파수 이상 대역에서 만족해야 할 음장 조건이 있다. 이 필수적인 음장 조건은 무엇인가?
- ① 근음장
- ② 자유음장
- ③ 확산음장
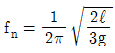
- ④ 잔향음장
등록된 댓글이 없습니다.
12. 음원으로부터 10m 지점의 평균음압도는 101dB, 동거리에서 특정지향음압도는 107dB 이다. 이 때 지향 계수는?
- ① 2.11
- ② 2.56
- ③ 3.98
- ④ 5.01
등록된 댓글이 없습니다.
13. 공해진동 크기의 표현으로 옳은 것은? (단, VAL : 진동가속도레벨, VL : 진동레벨 Wn : 주파수 대역별 인체감각에 대한 보정치)
- ① VL = VAL × Wn
- ② VAL = VL × Wn
- ③ VL = VAL + Wn
- ④ Wn = VAL + VL
등록된 댓글이 없습니다.
14. 가로, 세로, 높이가 각각 5m인 실내의 1차원 모드의 고유진동수는? (단, 실내의 벽체는 모두 강벽이고, 공기의 온도는 20℃ 이다.)
- ① 17.2Hz
- ② 21.5Hz
- ③ 34.3Hz
- ④ 42.9Hz
등록된 댓글이 없습니다.
15. 지반을 전파하는 파에 관한 설명으로 옳지 않은 것은?
- ① 계측에 의한 지표진동은 주로 P파이다.
- ② P파와 S파는 역2승 법칙으로 거리감쇠한다.
- ③ P파는 소밀파 또는 압력파라고도 한다.
- ④ P파는 S파보다 전파속도가 빠르다.
등록된 댓글이 없습니다.
16. 다음 중 흡음감쇠 효과가 가장 큰 경우는?
- ① 주파수:1000Hz, 온도: 0℃, 상대습도: 50%
- ② 주파수:1000Hz, 온도: 10℃, 상대습도: 70%
- ③ 주파수:2000Hz, 온도: 0℃, 상대습도: 50%
- ④ 주파수:2000Hz, 온도: 10℃, 상대습도: 70%
등록된 댓글이 없습니다.
17. 반경 r(m)인 원판의 진동음을 ℓ(m) 떨어진 점에서의 음향파워레벨의 근사식에 대한 표현으로 옳은 것은? (단, S는 진동파의 면적(m2), ℓ >> r 이다.)
- ① PWL≒SPL+10logS-20log(r/ℓ)+3dB
- ② PWL≒SPL+10logS+20log(r/ℓ)+3dB
- ③ PWL≒SPL+20logS+20log(r/ℓ)+3dB
- ④ PWL≒SPL+20logS-20log(r/ℓ)+3dB
등록된 댓글이 없습니다.
18. 마스킹 효과의 특성에 관한 설명으로 옳은 것은?
- ① 협대역폭이 소리가 같은 중심주파수를 갖는 같은 세기의 순음보다 더 작은 마스킹 효과를 갖는다.
- ② 마스킹소음의 레벨이 커질수록 마스킹되는 주파수의 범위가 줄어든다.
- ③ 마스킹효과는 마스킹소음의 중심주파수보다 고주파 수대역에서 보다 작은 값을 갖게 되는 이중대칭성을 갖고 있다.
- ④ 마스킹소음의 대역폭은 어느 한계(한계대역폭) 이상에서는 그 중심주파수에 있는 순음에 대해 영향을 미치지 못한다.
등록된 댓글이 없습니다.
19. 53phon과 같은 크기를 갖는 음은 몇 sone 인가?
- ① 0.65
- ② 0.94
- ③ 1.52
- ④ 2.46
등록된 댓글이 없습니다.
20. 가로 3m, 세로 6m의 장방형 면음원 밖에서의 음압레벨은 100dB 였다. 이 면음원으로부터 10m 떨어진 지점의 음압레벨(db)은?
- ① 80
- ② 83
- ③ 90
- ④ 98
등록된 댓글이 없습니다.
2과목 : 소음방지기술
21. 다음 중 단일벽의 차음특성(투과손실)을 주파수에 따라 나눈 영역에 해당하지 않는 것은?
- ① 강성제어역
- ② 공진효과역
- ③ 질량제어역
- ④ 일치효과역
등록된 댓글이 없습니다.
22. 정상청력을 가진 사람이 1000Hz에서 가청할 수있는 최소음압실효치가 2×10-5N/m2 일 때, 어떤 대상음압 레벨이 126dB 였다면 이 대상음의 음압실효치 (N/m2)는?
- ① 약 20 N/m2
- ② 약 40 N/m2
- ③ 약 60 N/m2
- ④ 약 100 N/m2
등록된 댓글이 없습니다.
23. 공명형 소음기에 관한 설명으로 가장 거리가 먼것은?
- ① 작은 관내 공동 구멍수가 많을수록 공명주파수는 커진다.
- ② 최대투과손실치는 공명주파수에서 일어난다.
- ③ Helmholtz 공명기는 협대역 고주파 소음방지에 탁월하며 공동내에 흡음재를 충진 시 저주파까지 거의 평탄한 감음특성을 보인다.
- ④ 내관의 작은 구멍과 그 배후 공기층이 공명기를 형성하여 흡음함으로써 감음한다.
등록된 댓글이 없습니다.
24. 다음 방음대책을 음원대책과 전파경로대책으로 구분할 때 주로 전파경로대책에 해당하는 것은?
- ① 소음기 설치
- ② 마찰력 감소
- ③ 공명방지
- ④ 방음벽 설치
등록된 댓글이 없습니다.
25. 벽체 외부로부터 확산음이 입사될 때 이 확산음의 음압레벨은 115dB 이다. 실내의 흡음력은 35m2 이고, 벽의 투과손실이 33dB, 벽의 면적이 22m2 일 경우 실내의 음압레벨은?
- ① 66dB
- ② 69dB
- ③ 74dB
- ④ 86dB
등록된 댓글이 없습니다.
26. 덕트소음 대책과 관련한 설명 중 가장 거리가 먼것은?
- ① 송풍기 정압이 증가할수록 소음은 감소하므로 공기 분배 시스템은 저항을 최소로하는 방향으로 설계해야 한다.
- ② 덕트계에서 소음을 효과적으로 흡수하기 위해 흡음재를 송풍기 흡입구나 플래넘에 설치한다.
- ③ 덕트내의 소음 감소를 위한 흡음, 차음 등의 방법은 500Hz 이상의 고주파 영역에서 감쇠효과가 좋다.
- ④ 덕트 내의 소음 감소를 위해 특별한 장치를 설치하지 않아도 덕트 내의 장애물이나 엘보우, 덕트 출구에서의 음파 반사 등에 의해 실내로 나오는 소음을 상당부분 줄일 수 있다.
등록된 댓글이 없습니다.
27. 다음 발파소음 감소대책 중 가장 거리가 먼 것은?
- ① 완전전색이 이루어져야 한다.
- ② 지발당 장약량을 감소시킨다.
- ③ 기폭방법에서 역기폭보다 정기폭을 사용한다.
- ④ 도폭선 사용을 피한다.
등록된 댓글이 없습니다.
28. 아래 그림과 같은 방음벽을 설계하였다. S는 음원이고 수음점은 P이다. 수음측 지면이 완전 반사일 경우의 경로차는?

- ① 3.24m
- ② 4.57m
- ③ 5.43m
- ④ 7.87m
등록된 댓글이 없습니다.
29. 음향파워레벨이 일정한 기계가 실내에서 운전되고 있다. 실내 음향특성 등의 변화에 따른 실내소음의 변화특성으로 가장 적합한 것은?
- ① 실정수가 작을수록 실내소음은 작아진다.
- ② 평균흡음율이 클수록 실내소음은 커진다.
- ③ 기계로부터의 거리의 역2승법칙으로 실내소음이 줄어든다.
- ④ 직접음과 잔향음이 같은 거리는 지향계수의 평방근에 비례한다.
등록된 댓글이 없습니다.
30. 1000Hz의 소음을 원통흡음덕트로 감음하고자 한다. 덕트의 내면에 흡음율이 0.5인 흡음재를 부착했을 때 내경이 30cm이다. 이 덕트에서 20dB의 감음을 얻기 위해서는 몇 m 의 길이가 필요한가? (단, K=α-0.1)
- ① 3.75m
- ② 4.15m
- ③ 4.45m
- ④ 4.75m
등록된 댓글이 없습니다.
31. 소음기의 입구 및 팽창부의 직경이 각각 45cm, 105cm 인 경우 팽창형 소음기에 의해 기대할 수 있는 최대투과손실은?
- ① 약 5dB
- ② 약 9dB
- ③ 약 16dB
- ④ 약 25dB
등록된 댓글이 없습니다.
32. 공장 내 두 벽과 바닥이 만나는 모서리에 90dB의 소음을 유발하는 공기압축기가 있다. 이 공장의 내부체 적은 200m3, 실내 전표면적은 220m2, 실내 평균흡음율은 0.4 일 때 공장 내에서 직접음과 잔향음이 같은 지점은 공기압축기로부터 얼마나 떨어져 있는가? (단, 공자 내 소음원은 공기압축기 1대로 가정한다.)
- ① 2.1m
- ② 4.8m
- ③ 9.0m
- ④ 11.5m
등록된 댓글이 없습니다.
33. 벽의 투과손실이 23dB이고 입사음의 세기가 1일 때 투과음의 세기는?
- ① 0.005
- ② 0.01
- ③ 0.2
- ④ 0.4
등록된 댓글이 없습니다.
34. 실내소음을 저감시키기 위해 glass wool을 내벽에 부착하고자 한다. 경제적이고 효율적인 감음효과를 얻기 위한 glass wool의 부착위치로 가장 적합한 것은? (단, 입사음의 파장은 λ라 한다.)
- ① 벽면에 바로 부착한다.
- ② 벽면에서 λ만큼 떨어진 위치에 부착한다.
- ③ 벽면에서 λ/2만큼 떨어진 위치에 부착한다.
- ④ 벽면에서 λ/4만큼 떨어진 위치에 부착한다.
등록된 댓글이 없습니다.
35. 큰 공장 내부의 실내소음을 측정하였더니 90dB이었고, 이 소음을 흡음처리하여 83dB 정도로 하려고 한다. 현재의 평균 실내 흡음율이 0.1일 때 평균 흡음율을 얼마 정도로 하여야 하는가? (단, 음원으로부터 충분히 떨어진 지점을 기준으로 한다.)
- ① 0.2
- ② 0.26
- ③ 0.36
- ④ 0.95
등록된 댓글이 없습니다.
36. 공동주택의 급배수 소음은 다른 가정에 큰 피해를 주는 경우가 많다. 다음 중 급배수 설비소음 저감대책으로 가장 거리가 먼 것은?
- ① 급수압이 높을 경우에 공기실이나 수격방지기를 수전 가까운 부위에 설치한다.
- ② 욕조의 하부와 바닥과의 사이에 완충재를 설치한다.
- ③ 배수방식을 천장배관방식으로 한다.
- ④ 거실, 침실 벽에 배관을 고정하는 것을 피한다.
등록된 댓글이 없습니다.
37. 다음 잔향실에 대한 설명 중 옳지 않은 것은?
- ① 벽면의 흡음률은 0에 가깝다.
- ② 확산판을 사용하여 충분히 확산시켜 확산음장이 얻어지도록 만든 공간이다.
- ③ 벽면으로부터의 반사파를 크게 하도록 만든 공간이다.
- ④ 음원으로부터 거리가 멀어짐에 따라 일정하게 감쇠되는 역2승의 법칙이 성립하도록 인공적으로 만든 공간이다.
등록된 댓글이 없습니다.
38. 소음기의 성능을 표시하는 용어 중 소음원에 소음기를 부착하기 전과 후의 공간상의 어떤 특정위치에서 측정한 음압레벨의 차와 그 측정위치로 정의되는 것은?
- ① noise reduction
- ② attenuation
- ③ transmission loss
- ④ insertion loss
등록된 댓글이 없습니다.
39. 다음 표는 어떤 자재의 1/3 옥타브 대역으로 측정한 중심주파수별 흡음율이다. 감음계수(NRC)는 얼마인가?

- ① 0.48
- ② 0.55
- ③ 0.65
- ④ 0.75
등록된 댓글이 없습니다.
40. 10m(L) × 10m(W) × 4m(H)인 방이 있다. 벽과 천장, 바닥이 모두 흡음율 0.02인 콘크리트로 되어있고 실내 중앙바닥에서 PWL 90dB인 소형기계가 가동될 때, 이 기계로부터 5m 떨어진 실내 한 점에서의 음압레벨은? (단, 기계의 크기는 무시한다.)
- ① 약 87dB
- ② 약 90dB
- ③ 약 93dB
- ④ 약 96dB
등록된 댓글이 없습니다.
3과목 : 소음진동 공정시험 기준
41. 소음계의 교정장치(calibration network calibrator)는 몇 dB(A)이상이 되는 소음환경에서도 기계 자체의 교정이 가능하여야 하는가? (단, 소음∙진동 공정시험기준)
- ① 10dB(A) 이상
- ② 20dB(A) 이상
- ③ 50dB(A) 이상
- ④ 80dB(A) 이상
등록된 댓글이 없습니다.
42. 다음은 동일건물 내 사업장소음 측정자료 분석방법이다. ( )안에 알맞은 것은?

- ① 5초 간격 10회
- ② 5초 간격 50회
- ③ 5초 간격 60회
- ④ 5초 간격 100회
등록된 댓글이 없습니다.
43. 다음은 철도소음한도 측정방버 중 측정조건에 관

- ① ① 0.5, ② 2
- ② ① 1, ② 2
- ③ ① 1, ② 5
- ④ ① 2, ② 5
등록된 댓글이 없습니다.
44. 소음ㆍ진동 공정시험기준에서 정하는 용어의 정의로 옳지 않은 것은?
- ① 반사음은 한 매질중의 음파가 다른 매질의 경계면에 입사한 후 진행방향을 변경하여 본래의 매질 중으로 되돌아오는 음을 말한다.
- ② 지발(遲發)발파는 시간차를 두지 않고 발파하는 것을 말한다. 단, 발파기를 1회 사용하는 것에 한한다.
- ③ 소음도는 소음계의 청감보정회로를 통하여 측정한 지시치를 말한다.
- ④ 배경소음도는 측정소음도의 측정위치에서 대상소음이 없을 때 이 소음 ㆍ 진동 공정시험기준에서 정한 측정방법으로 측정한 소음도 및 등가소음도 등을 말한다.
등록된 댓글이 없습니다.
45. 소음계의 구조별 성능기준에 의하면 지침형 지시계기(meter)의 유효지시범위는 얼마이상이어야 하는가?
- ① 1dB 이상
- ② 10dB 이상
- ③ 15dB 이상
- ④ 50dB 이상
등록된 댓글이 없습니다.
46. 항공기소음한도 측정자료 분석 시 배경소음보다 10dB 이상 큰 항공기소음의 지속시간 평균치 가 63초 일 경우 에 보정해야 할 보정량(dB)은?
- ① 4
- ② 5
- ③ 6
- ④ 7
등록된 댓글이 없습니다.
47. 항공기의 비행횟수가 시간대별 아래표와 같이 통과하였을 경우, 1일간 항공기의 등가통과횟수는?

- ① 295
- ② 300
- ③ 305
- ④ 310
등록된 댓글이 없습니다.
48. 규제기준 중 동일건물 내 사업장소음 측정방법으로 옳지 않은 것은?
- ① 손으로 소음계를 잡고 측정할 경우 소음계는 측정자의 몸으로부터 0.3 m 이상 떨어져야 한다.
- ② 측정은 대상 소음 이외의 소음이나 외부소음에 의한 영향을 배제하기 위하여 옥외 및 복도 등으로 통하는 창문과 문을 닫은 상태에서 측정하여야 한다.
- ③ 사용 소음계는 KS C IEC 61672-1에서 정한 클래스 2 소음계 또는 동등 이상의 성능을 가진 것이어야한다.
- ④ 소음계의 동특성은 원칙적으로 빠름(fast)을 사용하여 측정하여야 한다.
등록된 댓글이 없습니다.
49. 다음 중 도로교통진동 측정자료 평가표 서식에 기재하여야 할 사항으로 가장 거리가 먼 것은?
- ① 관리자
- ② 보정치 합계
- ③ 측정지점 약도
- ④ 측정자
등록된 댓글이 없습니다.
50. 항공기소음한도 측정을 위해 소음도 기록기를 사용하여 측정자료 분석 시 1일 단위의 WECPNL을 구하는 식으로 옳은 것은? (단, 는 당일의 평균 최고소음도, N은 1일간 항공기의 등가통과횟수 이다.)
- ①

- ②

- ③

- ④

등록된 댓글이 없습니다.
51. 배출허용기준 중 소음측정방법으로 옳지 않은 것은?
- ① 공장의 부지경계선에 비하여 피해가 예상되는 자부지경계선에서의 소음도가 더 큰 경우에는 피해가 예상되는 자의 부지경계선을 측정점으로 한다.
- ② 측정지점에 높이가 1.5 m 를 초과하는 장애물이 있는 경우에는 장애물로부터 소음원 방향으로 1.0 ~ 3.5m 떨어진 지점으로 한다.
- ③ 측정소음도의 측정은 대상 배출시설의 소음발생기기를 가능한 한 최대출력으로 가동시킨 정상상태에서 측정하여야 한다.
- ④ 피해가 예상되는 적절한 측정시각에 측정지점수 1지점을 선정∙측정하여 측정소음도로 한다.
등록된 댓글이 없습니다.
52. 소음∙진동 공정시험기준상 소음계의 구조별 성능기준으로 가장 거리가 먼 것은?
- ① 마이크로폰은 지향성이 작은 압력형으로 한다.
- ② 증폭기는 마이크로폰에 의하여 음향에너지를 전기 에너지로 변환시킨 양을 증폭시키는 장치를 말한다.
- ③ 동특성조절기는 지시계기의 반응속도를 빠름 및 느림의 특성으로 조절할 수 있는 조절기를 가져야 한다.
- ④ 출력단자는 소음신호를 기록기 등에 전송할 수 있는 직류 단자를 갖춘 것이어야 한다.
등록된 댓글이 없습니다.
53. 규제기준 중 발파진동 측정 시 디지털 진동자동분석계를 사용할 때의 샘플주기는 얼마로 놓는가? (단, 측정진동레벨 분석)
- ① 10초 이하
- ② 5초 이하
- ③ 1초 이하
- ④ 0.1초 이하
등록된 댓글이 없습니다.
54. 다음은 철도진동한도 측정방법 중 분석절차에 관한 기준이다. ( )안에 알맞은 것은?

- ① 1dB
- ② 5dB
- ③ 10dB
- ④ 15dB
등록된 댓글이 없습니다.
55. 진동픽업에 관한 설명으로 가장 거리가 먼 것은?
- ① 가동 코일형의 동전형 진동픽업은 전자형이다.
- ② 동전형 진동픽업은 지르콘규산납(ZrPbSiO3)의 소결체가 주로 사용된다.
- ③ 압전형 진동픽업은 바람의 영향을 받으므로 바람을 막을 수 있는 차폐물의 설치가 필요하다.
- ④ 동전형 진동픽업을 대형전기기기 등에 설치할 때는 전자장의 영향을 받기 쉬우므로 특히 주의가 필요하다.
등록된 댓글이 없습니다.
56. 다음은 규제기준 중 발파소음의 측정을 위한 측정 시간 및 측정지점수 기준이다. ( )안에 가장 적합한 것은?

- ① 1지점 이상
- ② 2지점 이상
- ③ 3지점 이상
- ④ 5지점 이상
등록된 댓글이 없습니다.
57. 다음은 규제기준 중 동일건물 내 사업장소음 측정을 위한 측정시간 및 측정지점수 기준이다. ( )안에 가장 적합한 것은?

- ① ① 2지점 이상, ② 2회 이상
- ② ① 2지점 이상, ② 4회 이상
- ③ ① 4지점 이상. ② 2회 이상
- ④ ① 4지점 이상. ② 4회 이상
등록된 댓글이 없습니다.
58. 규제기준 중 발파소음 측정평가 시 대상소음도에 시간대별 보정발파횟수에 따른 보정량을 보정하여 평가소음도를 구하는데, 지발발파의 경우는 보정발파횟수를 몇 회로 간주하는가?
- ① 1회
- ② 3회
- ③ 5회
- ④ 10회
등록된 댓글이 없습니다.
59. 다음 중 청감보정회로 및 동특성을 “A특성 - 느림(Slow)" 조건으로 하여 측정해야 하는 소음은?
- ① 생활소음
- ② 발파소음
- ③ 도로교통소음
- ④ 항공기소음
등록된 댓글이 없습니다.
60. 디지털 진동자동분석계를 사용하여 도로교통진동 한도 측정 시 측정진동레벨로 정하는 기준은?
- ① 샘플주기를 1초 이내에서 결정하고 5분이상 측정하여 자동 연산∙기록한 80% 범위의 상단치인 L10값을 그 지점의 측정진동레벨로 한다.
- ② 샘플주기를 1초 이내에서 결정하고 1분이상 측정하여 자동 연산∙기록한 80% 범위의 상단치인 L10값을 그 지점의 측정진동레벨로 한다.
- ③ 샘플주기를 0.1초 이내에서 결정하고 5분이상 측정하여 자동 연산∙기록한 80% 범위의 상단치인 L10값을 그 지점의 측정진동레벨로 한다.
- ④ 샘플주기를 0.1초 이내에서 결정하고 1분이상 측정하여 자동 연산∙기록한 80% 범위의 상단치인 L10값을 그 지점의 측정진동레벨로 한다.
등록된 댓글이 없습니다.
4과목 : 진동방지기술
61. 진동수가 같은 2개의 조화운동 x1=3cosωt, x2=6sinωt를 합성하면 진폭은 얼마인가? (단, 진폭의 단위는 mm로 한다. ω는 각진동수이고, t는 시간변수이다.)
- ① 6.7mm
- ② 8.3mm
- ③ 10mm
- ④ 12mm
등록된 댓글이 없습니다.
62. 진동발생이 크지 않은 공장기계의 대표적인 지반 진동차단 구조물은 개방식 방진구이다. 이러한 방진구의 설계시 다음 중 가장 중요한 인자는?
- ① 트렌치 폭
- ② 트렌치 깊이
- ③ 트렌치 형상
- ④ 트렌치 위치
등록된 댓글이 없습니다.
63. 질량 m인 기계가 속도 v로 운전될 때, 가진점에 스프링을 설치하여 진동을 모두 흡수시켰다. 최대 충격력 F, 최대 변위 δ일 때, 다음 중 올바른 평형 에너지 방정식은? (단, 스프링 정수는 k, 가속도는 a이다.)
- ①

- ②

- ③ mv2=Fk
- ④ ma=Fδk
등록된 댓글이 없습니다.
64. 기계에너지를 열에너지로 변환시키는 감쇠기구의 종류와 거리가 먼 것은?
- ① 점성감쇠(viscous damping)
- ② 상대감쇠(relative damping)
- ③ 마찰감쇠(coulomb damping)
- ④ 일산감쇠(radiation damping)
등록된 댓글이 없습니다.
65. 다음 중 구조가 복잡하여도 성능은 아주 좋은 편으로 부하능력이 광범위하며, 고주파진동에 대한 절연성이 좋은 방진재료는?
- ① 금속스프링
- ② 공기스프링
- ③ 스폰지류
- ④ 펠트류
등록된 댓글이 없습니다.
66. 감쇠비 0인 강제진동에서 진동차진율이 최소인 경우는? (f:강제진동수 fn:고유진동수)
- ① f/fn = 1
- ② f/fn < √2
- ③ f/fn = √2
- ④ f/fn > √2
등록된 댓글이 없습니다.
67. 질량 m, 길이 ℓ인 그림과 같은 막대 진자의 고유 진동수는? (단, 수직으로 매달린 가늘고 긴 막대가 평면에서 진동하며 진폭은 작다고 가정한다.)

- ①

- ②

- ③

- ④

등록된 댓글이 없습니다.
68. 가진력 저감을 위한 방진대책으로 가장 거리가 먼 것은?
- ① 단조기는 단압프레스로 교체한다.
- ② 기계에서 발생하는 가진력은 지향성이 있으므로 기계의 설치 방향을 바꾼다.
- ③ 크랭크 기구를 가진 왕복운동기계는 1개의 실린더를 가진 것으로 교체한다.
- ④ 왕복운동압축기는 터보형고속회전압축기로 교체한다.
등록된 댓글이 없습니다.
69. 기계에서 발생하는 불평형력은 회전 및 왕복운동에 의한 관성력 및 모멘트에 의해 발생한다. 다음 중 회전운동에 의해서 발생하는 관성력을 원심력(F)으로 옳게 나타낸 식은? (단, m:질량, v:회전속도, r:회전반경, w:각진동수)
- ①

- ②

- ③ F=mrω
- ④ F=mω2r
등록된 댓글이 없습니다.
70. 중량 W=15.5N, 감쇠계수 Ce =0.055N∙s/cm, 스프링정수 k=0.468N/cm인 진동계의 감쇠비는?
- ① 0.21
- ② 0.24
- ③ 0.32
- ④ 0.39
등록된 댓글이 없습니다.
71. 그림과 같은 진동계에서의 방진대책의 설계범위로 가장 적합한 것은? (단, f는 강제진동수, fn은 고유진동수이며, 이 때 진동전달율은 12.5% 이하가 된다.)

- ①

- ② 1.4fn<f<3fn
- ③ fn<f<1.4fn
- ④ 3fn<f
등록된 댓글이 없습니다.
72. 무게가 850N인 기계가 600rpm으로 운전되고 있으며, 동일한 스프링 4개를 이용하여 20dB를 차진하고자 한다. 이 때 스프링 1개당 스프링상수는? (단, 스프링은 병렬연결, 감쇠는 무시)
- ① 55N/cm
- ② 78N/cm
- ③ 111N/cm
- ④ 125N/cm
등록된 댓글이 없습니다.
73. 쇠로된 금속관 사이의 접속부에 고무를 넣어 진동을 절연하고자 한다. 파동에너지 반사율이 95%가 되면, 전달되는 진동의 감쇠량(dB)은?
- ① 10
- ② 13
- ③ 16
- ④ 20
등록된 댓글이 없습니다.
74. 그림과 같이 질량이 작은 기계장치에 금속 스프링으로 방진 지지를 할 경우에 금속 스프링의 질량을 무시할 수 없는 경우가 있다. 기계장치의 질량을 M, 금속스프링의 질량을 m, 금속스프링의 강성을 k라고 할때, 금속 스프링의 질량을 고려한 시스템의 고유진동수는(fn)는?

- ①

- ②

- ③

- ④

등록된 댓글이 없습니다.
75. 진동원에서 10m 떨어진 지점의 진동레벨이 98dB이다. 진동원에서 1m 떨어진 지점의 진동레벨은? (단, 이 진동파는 표면파(n=0.5), 지반전파 감쇠정수λ=0.08)
- ① 114 dB
- ② 108 dB
- ③ 102 dB
- ④ 96 dB
등록된 댓글이 없습니다.
76. 지반진동 차단 구조물에 관한 설명으로 옳지 않은 것은?
- ① 지반의 흙, 암반과는 응력파 저항 특성이 다른 재료를 이용한 매질층을 형성하여 지반진동파 에너지를 저감시키는 구조물이다.
- ② 개방식 방진구 보다는 충전식 방진구가 에너지 차단 특성이 좋다.
- ③ 강널말뚝을 이용하는 공법은 저주파수 진동 차단에 는 효과가 적다.
- ④ 방진구의 가장 중요한 설계인자는 방진구의 깊이로서 표면파의 파장을 고려하여 결정하여야 한다.
등록된 댓글이 없습니다.
77. 2000rpm으로 회전하는 기계에서 계기로 전달되는 진동을 방지하기 위해 차단기를 설치하였다. 차단기가 50kg의 무게에 0.25cm의 처짐이 있다면, 계기판에 전달되는 진동전달율은? (단, 감쇠는 무시)
- ① 0.03
- ② 0.06
- ③ 0.1
- ④ 0.13
등록된 댓글이 없습니다.
78. 무게가 150N인 기계를 방진고무 위에 올려 놓았더니 1.0cm가 수축되었다. 방진고무의 동적배율이 1.2이라면 방진고무의 동적 스프링 정수는?
- ① 94 N/cm
- ② 120 N/cm
- ③ 180 N/cm
- ④ 240 N/cm
등록된 댓글이 없습니다.
79. 진동방지계획 수립시 다음 보기 중 일반적으로 가장 먼저 이루어지는 것은?
- ① 측정치와 규제 기준치의 차로부터 저감 목표레벨 설정
- ② 수진점 일대의 진동 실태조사
- ③ 수진점의 진동 규제기준 확인
- ④ 발생원의 위치와 발생기계를 확인
등록된 댓글이 없습니다.
80. 금속스프링의 장단점으로 가장 거리가 먼 것은?
- ① 온도, 부식, 용해 등 환경요소에 대한 저항성이 크다.
- ② 저주파 차진에 효과적이다.
- ③ 감쇠가 거의 없으며, 공진시 전달율이 매우 크다.
- ④ 1개의 스프링으로 3축방향의 스프링정수를 광범위하게 선택할 수 있다.
등록된 댓글이 없습니다.
5과목 : 소음진동 관계 법규
81. 소음진동관리법규상 운행차의 소음이 운행차 소음 허용기준을 초과하여 운행차의 개선명령을 받은 자가 개선 결과를 특별시장 등에게 제출하여야 하는 기간기준은?
- ① 개선명령일부터 10일 이내에
- ② 개선명령일부터 30일 이내에
- ③ 개선명령을 통보받은 날부터 7일 이내에
- ④ 개선명령을 통보받은 날부터 14일 이내에
등록된 댓글이 없습니다.
82. 소음진동관리법상 거짓이나 부정한 방법으로 배출 시설 설치신고를 하고 배출시설을 설치한 자에 대한 벌칙기준은?
- ① 3년 이하의 징역 또는 1천500만원 이하의 벌금
- ② 1년 이하의 징역 또는 1천만원 이하의 벌금
- ③ 6개월 이하의 징역 또는 500만원 이하의 벌금
- ④ 300만원 이하의 과태료
등록된 댓글이 없습니다.
83. 소음진동관리법상 용어의 뜻으로 옳지 않은 것은?
- ① 소음이란 기계∙기구∙시설, 그 밖의 물체의 사용 또는 환경부령으로 정하는 사람의 활동으로 인하여 발생하는 강한 소리를 말한다.
- ② 진동이란 기계∙기구∙시설, 그 밖의 물체의 사용으로 인하여 발생하는 강한 흔들림을 말한다.
- ③ 교통기관이란 기차∙자동차∙전차∙도로 및 철도 등을 말한다. 다만, 선박과 항공기는 제외한다.
- ④ 방음시설이란 소음배출시설인 물체로부터 발생하는 소음을 없애거나 줄이는 시설로서 환경부장관이 고시하는 것을 말한다.
등록된 댓글이 없습니다.
84. 소음진동관리법규상 이동소음원의 규제에 따른 이동 소음원의 종류와 거리가 먼 것은? (단, 그 밖의 사항 등은 제외)
- ① 저공으로 비행하는 항공기
- ② 이동하며 영업을 하기 위하여 사용하는 확성기
- ③ 행락객이 사용하는 음향기계
- ④ 소음방지장치가 비정상이거나 음향장치를 부착하여 운행하는 이륜자동차
등록된 댓글이 없습니다.
85. 소음진동관리법규상 도시지역 중 상업지역의 낮(06:00~22:00)시간대 공장진동 배출허용기준은?
- ① 60dB(V) 이하
- ② 65dB(V) 이하
- ③ 70dB(V) 이하
- ④ 75dB(V) 이하
등록된 댓글이 없습니다.
86. 소음진동관리법규상 자동차의 종류에 관한 사항으로 옳지 않은 것은? (단, 2006년 1월 1일부터 제작되는 자동차 기준)
- ① 화물자동차에 해당되는 건설기계의 종류는 환경부장관이 정하여 고시한다.
- ② 이륜자동차에는 옆 차붙이 이륜자동차 및 이륜차에서 파생된 3륜 이상의 최고속도 50km/h를 초과하는 이륜자동차를 포함한다.
- ③ 승용자동차에는 지프(JEEP) 및 승합차를 포함하고, 화물자동차에는 왜건(WAGON) 및 밴(VAN)을 포함한다.
- ④ 전기를 주동력으로 사용하는 자동차에 대한 종류의 구분은 차량총중량에 의한다.
등록된 댓글이 없습니다.
87. 환경정책기본법상 용어의 정의 중 “일정한 지역안에서 환경의 질을 유지하고 환경오염 또는 환경훼손에 대하여 환경이 스스로 수용ㆍ정화 및 복원할 수 있는 한계”를 뜻하는 것은?
- ① 환경순화
- ② 환경기준
- ③ 환경용량
- ④ 환경영향한계
등록된 댓글이 없습니다.
88. 소음진동관리법령상 과태료 부과기준으로 옳지 않은 것은?
- ① 소음기 또는 소음덮개를 떼어버리거나 경음기를 추가로 부착한 경우 1차 위반시 과태료 금액은 60만원이다.
- ② 이동소음원의 사용금지 또는 제한조치를 위반한 경우 3차 위반시 과태료 금액은 10만원이다.
- ③ 위반행위의 횟수에 따른 부과기준은 최근 1년간 같은 위반행위로 부과처분을 받은 경우에 적용한다.
- ④ 부과권자는 위반행위의 동기와 그 결과 등을 고려하여 과태료 금액의 100% 범위에서 감경할 수 있다.
등록된 댓글이 없습니다.
89. 소음진동관리법규상 진동배출시설기준이 아닌 것은? (단, 동력을 사용하는 시설 및 기계∙기구에 한한다.)
- ① 4대 이상 시멘트벽돌 및 블록의 제조기계
- ② 20마력 이상의 단조기
- ③ 50마력 이상의 연탄제조용 윤전기
- ④ 20마력 이상의 프레스(유압식은 제외한다)
등록된 댓글이 없습니다.
90. 다음은 소음진동관리법규상 폭약 사용 규제 요청에 관한 기준이다. ( )안에 알맞은 것은?

- ① 유역환경청장
- ② 국토해양부장관
- ③ 환경부장관
- ④ 특별자치도지사 또는 시장∙군수∙구청장
등록된 댓글이 없습니다.
91. 다음은 소음진동관리법상 위법시설에 대한 조치사항이다. ( )안에 알맞은 것은?

- ① ① 조업정지, ② 사용중지
- ② ① 사용중지, ② 폐쇄
- ③ ① 사용중지, ② 허가취소
- ④ ① 조업정지, ② 허가취소
등록된 댓글이 없습니다.
92. 소음진동관리법규상 도시지역 중 전용주거지역의 밤(24:00~06:00)시간대 공장소음 배출허용기준은?
- ① 40dB(A) 이하
- ② 45dB(A) 이하
- ③ 50dB(A) 이하
- ④ 55dB(A) 이하
등록된 댓글이 없습니다.
93. 소음진동관리법규상 자동차제작자가 받은 인증(제작차 소음허용기준에 적합)내용 중 환경부령으로 정하는 중요사항을 변경하기 위하여 변경인증신청서에 첨부해야 하는 서류목록으로 가장 거리가 먼 것은?
- ① 자동차 제원명세서
- ② 자동차 무부하 배출가스검사 증명서
- ③ 동일 차종임을 입증할 수 있는 서류
- ④ 변경된 인증내용에 대한 설명서
등록된 댓글이 없습니다.
94. 소음진동관리법규상 소음도 검사기관의 장이 소음도검사 신청서류 등을 작성하여 보존해야 하는 기간기준은?
- ① 1년간 보존
- ② 2년간 보존
- ③ 3년간 보존
- ④ 5년간 보존
등록된 댓글이 없습니다.
95. 소음진동관리법규상 소음배출시설기준으로 10마력이상으로 정해진 시설이 아닌 것은? (단, 마력기준시설 및 기계∙기구)
- ① 제분기
- ② 탈사기
- ③ 금속절단기
- ④ 송풍기
등록된 댓글이 없습니다.
96. 소음진동관리법령상 인증을 면제할 수 있는 자동차에 해당하는 것은?
- ① 국가대표 훈련용으로 사용하기 위하여 반입하는 자동차로서 문화체육관광부장관의 확인을 받은 자동차
- ② 주한 외국군인이 사용하기 위하여 반입하는 자동차
- ③ 외국에서 1년 이상 거주한 내국인이 주거를 이전하기 위하여 이주물품으로 반입하는 1대의 자동차
- ④ 방송용 등 특수한 용도로 사용되는 자동차로서 환경부 장관이 정하여 고시하는 자동차
등록된 댓글이 없습니다.
97. 소음진동관리법규상 운행자동차 중 “중대형 승용자동차”의 ① 배기소음 및 ② 경적소음 허용기준은? (단, 2006년 1월 1일 이후에 제작되는 자동차 기준)
- ① ① 100dB(A) 이하, ② 110dB(C) 이하
- ② ① 100dB(A) 이하, ② 112dB(C) 이하
- ③ ① 105dB(A) 이하, ② 110dB(C) 이하
- ④ ① 105dB(A) 이하, ② 112dB(C) 이하
등록된 댓글이 없습니다.
98. 환경정책기본법령상 관리지역 중 보전관리지역의 밤시간대의 소음환경기준은? (단, 일반지역)
- ① 40Leq dB(A)
- ② 45Leq dB(A)
- ③ 50Leq dB(A)
- ④ 55Leq dB(A)
등록된 댓글이 없습니다.
99. 다음은 소음진동관리법규상 생활소음의 규제기준이다. ( )안에 알맞은 것은?

- ① +1dB
- ② +3dB
- ③ +5dB
- ④ +10dB
등록된 댓글이 없습니다.
100. 소음진동관리법규상 소음도 검사기관과 관련한 행정처분 기준 중 “고의 또는 중대한 과실로 소음도검사를 부실하게 한 경우” 1차-2차-3차 행정처분기준으로 옳은 것은?
- ① 영업정지1개월 - 영업정지3개월 - 지정취소
- ② 업무정지6일 - 경고 - 등록취소
- ③ 경고 - 경고 - 지정취소
- ④ 개선명령 - 경고 - 지정취소
등록된 댓글이 없습니다.