수능(물리I)(2015. 9. 2.) 시험일자 : 2015년 9월 2일
1. 그림과 같이 나무에 매달려 정지해 있는 실을 타고 거미가 연직 방향으로 올라가는 등속도 운동을 하고 있다. 이에 대한 설명으로 옳은 것만을 <보기>에서 있는 대로 고른 것은? (단, 거미의 크기는 무시한다.)

- ① ㄱ
- ② ㄷ
- ③ ㄱ, ㄴ
- ④ ㄴ, ㄷ
- ⑤ ㄱ, ㄴ, ㄷ
등록된 댓글이 없습니다.
2. 그림과 같이 직선 도로에서 t=0 일 때 기준선 P에 정지해 있던 자동차가 출발하여 t=10 초일 때 기준선 Q를 속력 10 m/s로 통과한다. 자동차는 t=0부터 t=5초까지, t=5초부터 t=10 초까지 각각 등가속도 운동을 한다. P에서 Q까지의 거리는 100m이다. t=5 초일 때, 자동차의 속력은? (단, 자동차는 도로와 평행한 직선 경로를 따라 운동한다.) [3점]
- ① 12m/s
- ② 15m/s
- ③ 18m/s
- ④ 20m/s
- ⑤ 25m/s
등록된 댓글이 없습니다.
3. 그림과 같이 질량이 같은 두 물체 A와 B를 실로 연결하고 빗면의 점 p에 A를 가만히 놓았더니 A와 B는 등가속도 운동을 하여 A가 점 q를 통과하였다. A가 p에서 q까지 이동하는 동안, 이에 대한 설명으로 옳은 것만을 <보기>에서 있는 대로 고른 것은? (단, 실의 질량, 마찰과 공기 저항은 무시한다.) [3점]

- ① ㄱ
- ② ㄴ
- ③ ㄷ
- ④ ㄱ, ㄴ
- ⑤ ㄴ, ㄷ
등록된 댓글이 없습니다.
4. 다음은 행성 P를 중심으로 원운동을 하는 위성 A, B, C의 질량, 궤도 반지름, 공전 주기를 나타낸 것이다. 이에 대한 설명으로 옳은 것만을 <보기>에서 있는 대로 고른 것은? (단, A, B, C에는 P에 의한 만유인력만 작용한다.)

- ① ㄱ
- ② ㄴ
- ③ ㄷ
- ④ ㄱ, ㄴ
- ⑤ ㄴ, ㄷ
등록된 댓글이 없습니다.
5. 그림 (가)는 원점 O로부터 같은 거리만큼 떨어진 점 P, Q에 각각 고정되어 있는 대전된 도체구 A, B가 만드는 전기장의 전기력선을 방향 표시 없이 나타낸 것이다. 그림 (나)는 (가)에서 A, B를 서로 접촉시켰다가 떼어 내어 각각 P, Q에 다시 고정시킨 모습을 나타낸 것이다. (나)의 O에서 A와 B에 의한 전기장은 0 이고, 점 R에서 A와 B에 의한 전기장의 방향은 -x 방향이다. P, Q, R는 x축 상의 점이다. 이에 대한 설명으로 옳은 것만을 <보기>에서 있는 대로 고른 것은? [3점]

- ① ㄱ
- ② ㄴ
- ③ ㄱ, ㄷ
- ④ ㄴ, ㄷ
- ⑤ ㄱ, ㄴ, ㄷ
등록된 댓글이 없습니다.
6. 다음은 시간 측정을 통해 공간에 고정된 두 지점 A, B 사이의 거리를 알아내는 실험이다. 이에 대한 설명으로 옳은 것만을 <보기>에서 있는 대로 고른 것은? (단, c 는 진공에서의 빛의 속력이고, 중력에 의한 효과, 관측자, 거울, 우주선의 크기는 무시한다.) [3점]

- ① ㄱ
- ② ㄷ
- ③ ㄱ, ㄴ
- ④ ㄴ, ㄷ
- ⑤ ㄱ, ㄴ, ㄷ
등록된 댓글이 없습니다.
7. 그림은 임계 온도보다 낮은 온도로 냉각된 초전도체 위에 자석이 떠있는 모습을 나타낸 것이다. 임계 온도보다 낮은 온도의 초전도체에 대한 설명으로 옳은 것만을 <보기>에서 있는 대로 고른 것은? [3점]

- ① ㄱ
- ② ㄴ
- ③ ㄱ, ㄷ
- ④ ㄴ, ㄷ
- ⑤ ㄱ, ㄴ, ㄷ
등록된 댓글이 없습니다.
8. 그림 (가)와 같이 상자에 용수철저울을 고정하고 추를 실로 매달아 놓은 실험 기구가 실험실 바닥에 정지해 있을 때, 용수철저울로 측정한 추의 무게는 W0이었다. 그림 (나)는 (가)와 동일한 실험실에서 (가)와 동일한 두 실험 기구 A, B가 연직 방향으로 각각 등가속도 운동하는 모습을 나타낸 것이다. A는 위로, B는 아래로 가속된다. A와 B의 가속도의 크기는 중력 가속도의 크기보다 작다. (나)에서 A, B의 용수철저울로 측정한 추의 무게를 각각 WA, WB라 할 때, W0, WA, WB의 크기를 옳게 비교한 것은?
- ① W0 = WA = WB
- ② W0 > WA = WB
- ③ W0 < WA = WB
- ④ WA > W0 > WB
- ⑤ WA < W0 < WB
등록된 댓글이 없습니다.
9. 그림은 보어의 수소 원자 모형에서 에너지가 E1, E2, E3인 세 준위 사이에 전자가 전이하는 세 가지 경우를 나타낸 것이다. 세 가지 전이 과정에서 나오는 빛의 진동수를 각각 fA, fB, fC 라고 할 때, fA > fB > fC 이다. 이에 대한 설명으로 옳은 것만을 <보기>에서 있는 대로 고른 것은? (단, h 는 플랑크 상수이다.)

- ① ㄱ
- ② ㄴ
- ③ ㄷ
- ④ ㄱ, ㄷ
- ⑤ ㄴ, ㄷ
등록된 댓글이 없습니다.
10. 그림 (가)는 빛이 망막의 원뿔 세포 X, Y, Z에 도달하는 과정을, (나)는 빛의 파장에 따라 (가)의 X, Y, Z가 각각 반응하는 정도를 나타낸 것이다. 이에 대한 설명으로 옳은 것만을 <보기>에서 있는 대로 고른 것은?

- ① ㄱ
- ② ㄴ
- ③ ㄷ
- ④ ㄱ, ㄷ
- ⑤ ㄴ, ㄷ
등록된 댓글이 없습니다.
11. 다음은 중성자가 양성자로 붕괴하는 과정을 나타낸 것이다. 이에 대한 설명으로 옳은 것만을<보기>에서 있는 대로 고른 것은?

- ① ㄱ
- ② ㄷ
- ③ ㄱ, ㄴ
- ④ ㄴ, ㄷ
- ⑤ ㄱ, ㄴ, ㄷ
등록된 댓글이 없습니다.
12. 그림 (가)는 특정한 진동수의 초음파를 이용하여 해저 지형을 조사하는 모습을, (나)는 소음을 제거하는 헤드폰의 원리를 간단히 나타낸 것이다. 이에 대한 설명으로 옳은 것만을 <보기>에서 있는 대로 고른 것은?

- ① ㄱ
- ② ㄴ
- ③ ㄱ, ㄷ
- ④ ㄴ, ㄷ
- ⑤ ㄱ, ㄴ, ㄷ
등록된 댓글이 없습니다.
13. 그림 (가)는 두 물질 A, B 사이에서 일어나는 단색광의 굴절현상과 입사각에 따른 굴절각을 나타낸 것이고, (나)는 (가)에서 사용된 단색광이 A, B로 만든 광섬유에서 전반사하여 진행하는 모습을 나타낸 것이다. 이에 대한 설명으로 옳은 것만을 <보기>에서 있는 대로 고른 것은? [3점]

- ① ㄱ
- ② ㄴ
- ③ ㄷ
- ④ ㄱ, ㄷ
- ⑤ ㄴ, ㄷ
등록된 댓글이 없습니다.
14. 그림과 같이 무한히 가늘고 긴 평행한 직선 도선 A, B, C 가 점 P, Q, R와 같은 간격 d 만큼 떨어져 종이면에 고정되어 있다. A, B, C에 흐르는 전류의 세기는 I 로 서로 같고, C에 흐르는 전류의 방향은 A, B에 흐르는 전류의 방향과 반대이다. P, Q, R에서 A, B, C에 흐르는 전류에 의한 자기장의 세기를 각각 BP, BQ, BR라 할 때, BP, BQ, BR를 옳게 비교한 것은?
- ① BP = BQ > BR
- ② BP > BR > BQ
- ③ BQ > BP > BR
- ④ BR > BP = BR
- ⑤ BR > BP > BQ
등록된 댓글이 없습니다.
15. 그림과 같이 수평면에서 연직 방향으로 쏘아 올린 자석이 고정된 코일의 중심축을 따라 최고점에 도달한 후 낙하한다. a, b는 코일과 최고점 중간의 동일한 위치에서 자석이 위로 올라갈 때와 아래로 내려올 때를 나타낸 것이다. 이에 대한 설명으로 옳은 것만을 <보기> 에서 있는 대로 고른 것은? (단, 자석은 회전하지 않고, 크기는 무시한다.) [3점]

- ① ㄱ
- ② ㄴ
- ③ ㄱ, ㄷ
- ④ ㄴ, ㄷ
- ⑤ ㄱ, ㄴ, ㄷ
등록된 댓글이 없습니다.
16. 그림은 원자력 발전소에서 1차 변전소와 2차 변전소를 거쳐 공장에 전력을 공급하는 모습을 나타낸 것이다. 1차 변전소에서 공급하는 전력은 P이다. 표는 송전선 A, B의 저항값과 손실 전력을 나타낸 것이다. 이에 대한 설명으로 옳은 것만을 <보기>에서 있는 대로 고른 것은? (단, 1차, 2차 변전소에서의 손실 전력은 무시한다.)

- ① ㄱ
- ② ㄴ
- ③ ㄷ
- ④ ㄱ, ㄷ
- ⑤ ㄴ, ㄷ
등록된 댓글이 없습니다.
17. 그림 (가)의 회로에서 스위치를 a 또는 b에 연결하여 저항의 양단에 걸리는 전압을 측정하였다. 그림 (나)는 (가)의 회로에서 전압이 일정한 교류 전원의 진동수에 따라 저항의 양단에 걸리는 전압을 나타낸 것이다. A와 B는 각각 축전기와 코일 중 하나이다. 이에 대한 설명으로 옳은 것만을 <보기>에서 있는 대로 고른 것은? [3점]

- ① ㄱ
- ② ㄷ
- ③ ㄱ, ㄴ
- ④ ㄴ, ㄷ
- ⑤ ㄱ, ㄴ, ㄷ
등록된 댓글이 없습니다.
18. 그림 (가)와 같이 이상 기체 A는 단열된 실린더에, 이상 기체B는 실린더를 둘러싼 용기에 담겨 단열된 피스톤에 의해 나누어져 있고, 피스톤은 정지해 있다. 그림 (나)는 (가)에서 용기의 밸브를 열어 B의 압력을 서서히 감소시켰더니 피스톤이 천천히 이동하여 정지한 모습을 나타낸 것이다. (가)에서 (나)로 변하는 동안, A에 대한 설명으로 옳은 것만을 <보기>에서 있는 대로 고른 것은? (단, 피스톤과 실린더 사이의 마찰은 무시한다.)

- ① ㄱ
- ② ㄴ
- ③ ㄷ
- ④ ㄱ, ㄷ
- ⑤ ㄴ, ㄷ
등록된 댓글이 없습니다.
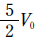
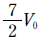
19. 그림 (가)는 밀도가 균일한 금속 용기에 물을 가득 담은 모습을 나타낸 것이다. 이때 물의 부피는 7V0이다. 그림 (나)는 (가)의 빈 용기가 물에 떠서 정지해 있는 모습의 단면을 나타낸 것이다. 이때 수면의 연장선 위 금속 부분의 부피는 V0이고, 수면의 연장선 아래 빈 공간의 부피는 5V0 이다. 그림 (다)는 (나)에서 용기의 윗면이 수조의 수면과 일치할 때까지 부피 V의 물을 용기에 서서히 채워 용기가 정지한 모습의 단면을 나타낸 것이다. V는? [3점]
- ①

- ②

- ③

- ④

- ⑤

등록된 댓글이 없습니다.
20. 그림과 같이 질량 m인 철수는 나무판 A에 서 있고, 질량 2m, 길이 3L인 동일한 나무판 A, B는 수평면과 나란하게 양끝이 받침대로 고정되어 있다. 철수가 점 p에서 x만큼 떨어진 곳에 정지해 있을 때, 받침대가 나무판을 받치는 힘은 점 p와 q에서 같고, 철수, A, B는 평형을 이룬다. p, q는 각 나무판의 왼쪽 끝점이다. x 는? (단, 나무판의 밀도는 균일하며, 나무판의 두께와 폭, 받침대의 질량, 철수의 크기는 무시한다.) [3점]
- ① 1/2 L
- ② 3/5 L
- ③ 2/3 L
- ④ 3/4 L
- ⑤ 4/5 L
등록된 댓글이 없습니다.