기계설계기사(2018. 4. 28.) 시험일자 : 2018년 4월 28일
1과목 : 재료역학
1. 그림의 H형 단면의 도심축인 Z축에 관한 회전반경(radius of gyration)은 얼마인가?

- ①

- ②

- ③

- ④

등록된 댓글이 없습니다.
2. 그림과 같이 A, B의 원형 단면봉은 길이가 같고, 지름이 다르며, 양단에서 같은 압축하중 P를 받고 있다. 응력은 각 단면에서 균일하게 분포된다고 할 때 저장되는 탄성 변형 에너지의 비 UB/UA는 얼마가 되겠는가?

- ① 1/3
- ② 5/9
- ③ 2
- ④ 9/5
등록된 댓글이 없습니다.
3. 길이 6m 인 단순 지지보에 등분포하중 q가 작용할 때 단면에 발생하는 최대 굽힘응력이 337.5MPa이라면 등분포하중 q는 약 몇 kN/m인가? (단, 보의 단면은 폭×높이=40mm×100mm이다.)
- ① 4
- ② 5
- ③ 6
- ④ 7
등록된 댓글이 없습니다.
4. 지름 20mm, 길이 1000mm의 연강봉이 50kN의 인장하중을 받을 때 발생하는 신장량은 약 몇 mm인가? (단, 탄성계수 E=210GPa이다.)
- ① 7.58
- ② 0.758
- ③ 0.0758
- ④ 0.00758
등록된 댓글이 없습니다.
5. 다음과 같이 3개의 링크를 핀을 이용하여 연결하였다. 2000N의 하중 P가 작용할 경우 핀에 작용되는 전단응력은 약 몇 MPa인가? (단, 핀의 직경은 1cm이다.)

- ① 12.73
- ② 13.24
- ③ 15.63
- ④ 16.56
등록된 댓글이 없습니다.
6. 지름이 60mm인 연강축이 있다. 이 축의 허용전단응력은 40MPa이며 단위 길이 1m당 허용회전각도는 1.5°이다. 연강의 전단 탄성계수를 80GPa이라 할 때 이 축의 최대 허용 토크는 약 몇 N·m인가?
- ① 696
- ② 1696
- ③ 2664
- ④ 3664
등록된 댓글이 없습니다.
7. 평면 응력 상태에서 εx=-150×10-6, εy=-280×10-6, γxy=850×10-6일 때, 최대주 변형률(ε1)과 최소주변형률(ε2)은 각각 약 얼마인가?
- ① ε1=215×10-6, ε2=-645×10-6
- ② ε1=645×10-6, ε2=215×10-6
- ③ ε1=315×10-6, ε2=-645×10-6
- ④ ε1=545×10-6, ε2=315×10-6
등록된 댓글이 없습니다.
8. 지름 3cm인 강축이 26.5rev/s의 각속도로 26.5kW의 동력을 전달하고 있다. 이 축에 발생하는 최대 전단응력은 약 몇 MPa인가?
- ① 30
- ② 40
- ③ 50
- ④ 60
등록된 댓글이 없습니다.
9. 폭 3cm, 높이 4cm의 직사각형 단면을 갖는 외팔보가 자유단에 그림에서와 같이 집중하중을 받을 때 보 속에 발생하는 최대전단응력은 몇 N/cm인가?

- ① 12.5
- ② 13.5
- ③ 14.5
- ④ 15.5
등록된 댓글이 없습니다.
10. 그림과 같은 보에서 발생하는 최대굽힘 모멘트는 몇 kN·m인가?

- ① 2
- ② 5
- ③ 7
- ④ 10
등록된 댓글이 없습니다.
11. 그림과 같은 외팔보에 대한 전단력 선도로 옳은 것은? (단, 아랫방향을 양(+)으로 본다.)

- ①

- ②

- ③

- ④

등록된 댓글이 없습니다.
12. 보의 자중을 무시할 때 그림과 같이 자유단 C에 집중하중 2P가 작용할 때 B점에서 처짐 곡선의 기울기각은? (단, 세로탄성계수를 E, 단면 2차 모멘트를 I라고 한다.)

- ①

- ②

- ③

- ④

등록된 댓글이 없습니다.
13. 원형 단면축이 비틀림을 받을 때, 그 속에 저장되는 탄성 변형에너지 U는 얼마인가? (단, T : 토크, L : 길이, G : 가로탄성계수, IP : 극관성모멘트, I : 관성모멘트, E : 세로 탄성계수이다.)
- ①

- ②

- ③

- ④

등록된 댓글이 없습니다.
14. 그림에 표시한 단순 지지보에서의 최대 처짐량은? (단, 보의 굽힘 강성은 EI이고, 자중은 무시한다.)

- ①

- ②

- ③

- ④

등록된 댓글이 없습니다.
15. 원통형 압력용기에 내압 P가 작용할 때, 원통부에 발생하는 축 방향의 변형률 εx및 원주 방향 변형률 εy는? (단, 강판의 두께 t는 원통의 지름 D에 비하여 충분히 작고, 강판 재료의 탄성계수 및 포아송 비는 각각 E, v이다.)
- ①

- ②

- ③

- ④

등록된 댓글이 없습니다.
16. 그림에서 784.8N과 평형을 유지하기 위한 힘 F1과 F2는?

- ① F1= 395.2 N, F2= 632.4 N
- ② F1= 790.4 N, F2= 632.4 N
- ③ F1= 790.4 N, F2= 395.2 N
- ④ F1= 632.4 N, F2= 395.2 N
등록된 댓글이 없습니다.
17. 최대 사용강도 400MPa의 연강봉에 30kN의 축방향의 인장하중이 가해질 경우 강봉의 최소지름은 몇 cm까지 가능한가? (단, 안전율은 5이다.)
- ① 2.69
- ② 2.99
- ③ 2.19
- ④ 3.02
등록된 댓글이 없습니다.
18. 지름이 0.1m이고 길이가 15m인 양단힌지인 원형강 장주의 좌굴임계하중은 약 몇 kN인가? (단, 장주의 탄성계수는 200GPa이다.)
- ① 43
- ② 55
- ③ 67
- ④ 79
등록된 댓글이 없습니다.
19. 그림과 같이 길이가 동일한 2개의 기둥 상단에 중심 압축 하중 2500N이 작용할 경우 전체 수축량은 약 몇 mm 인가? (단 단면적 A1=1000mm2, A2=2000mm2, 길이 L=300mm, 재료의 탄성계수 E=90GPa이다.)

- ① 0.625
- ② 0.0625
- ③ 0.00625
- ④ 0.000625
등록된 댓글이 없습니다.
20. 그림과 같이 전길이에 걸쳐 균일 분포하중 ω를 받는 보에서 최대처짐 δmax 를 나타내는 식은? (단, 보의 굽힘 강성계수는 EI이다.)

- ①

- ②

- ③

- ④

등록된 댓글이 없습니다.
2과목 : 기계제작법
21. 너트를 조정하여 점접촉이 이루어지므로 마찰이 적고 백래쉬를 “0”에 가깝게 할 수 있는 나사는?
- ① 볼 나사
- ② 삼각 나사
- ③ 사다리꼴 나사
- ④ 관용테이퍼 나사
등록된 댓글이 없습니다.
22. 가공물, 미디어(media), 가공액 등을 통속에 혼합하여 회전시킴으로써 깨끗한 가공면을 얻을 수 있는 특수 가공법은?
- ① 배럴가공(barrel finishing)
- ② 롤 다듬질(roll finishing)
- ③ 버니싱(burnishing)
- ④ 블라스팅(blasting)
등록된 댓글이 없습니다.
23. 프로젝션 용접(projection welding)의 특징에 관한 설명으로 틀린 것은?
- ① 전극수명이 짧다.
- ② 작업능률이 높다.
- ③ 작업속도가 빠르다.
- ④ 수 개의 용접이 동시에 가능하다.
등록된 댓글이 없습니다.
24. 지그의 종류 중 공작물의 전체 면이 지그로 둘러싸인 것으로써 공작물을 한번 고정한 후 지그를 회전시키면서 전면을 가공할 수 있는 것은?
- ① 템플릿지그(template jig)
- ② 채널지그(channel jig)
- ③ 박스지그(box jig)
- ④ 리프지그(leaf jig)
등록된 댓글이 없습니다.
25. 방전가공에 사용되는 가공액 중 절연유로 사용할 수 없는 것은?
- ① 석유
- ② 머신유
- ③ 휘발유
- ④ 스핀들유
등록된 댓글이 없습니다.
26. 주조에서 탕구계의 기능이 아닌 것은?
- ① 부유 불순물을 분리시켜 모으는 기능
- ② 주형의 공간에 용탕을 주입시키는 기능
- ③ 주형의 침식과 가스의 혼입을 방지할 수 있는 기능
- ④ 용탕이 주입될 때 가급적 난류를 일으켜 주형 내에 유입되도록 하는 기능
등록된 댓글이 없습니다.
27. 다음 용접 결함의 검사 방법 중 파괴검사에 속하는 것은?
- ① 자분검사
- ② 피로검사
- ③ 방사선검사
- ④ 초음파검사
등록된 댓글이 없습니다.
28. 다음 중 밀링머신의 부속장치가 아닌 것은?
- ① 분할대(indexing head)
- ② 회전 테이블(rotary table)
- ③ 컬럼 장치(column attachment)
- ④ 슬로팅 장치(slotting attachment)
등록된 댓글이 없습니다.
29. 재료를 재결정온도 이상에서 가공하는 열간가공의 특징으로 틀린 것은?
- ① 동력소모가 많다.
- ② 방향성을 갖는 주조조직이 제거된다.
- ③ 파괴되었던 결정립이 다시 생성되어 재질이 균일해진다.
- ④ 변형저항이 적어 짧은 시간 내에 강력한 가공이 가능하다.
등록된 댓글이 없습니다.
30. 금속의 표면을 경화시키기 위한 물리적인 표면 경화법은?
- ① 질화법
- ② 청화법
- ③ 침탄법
- ④ 화염 경화법
등록된 댓글이 없습니다.
31. 마찰용접의 특징으로 옳지 않은 것은?
- ① 치수정밀도가 높고 재료가 절약된다.
- ② 용접시간이 짧고 변형의 발생이 적다.
- ③ 조작이 간단하고 이종 금속의 접합이 가능하다.
- ④ 피용접물의 형상치수, 길이, 무게 등에 제한이 없다.
등록된 댓글이 없습니다.
32. 절삭공구의 여유각이 작아 측면과 공작물과의 마찰에 의해 발생되는 마모는?
- ① 치핑(chipping)
- ② 구성인선(built-up edge)
- ③ 플랭크 마모(flank wear)
- ④ 크레이터 마모(crater wear)
등록된 댓글이 없습니다.
33. 주철과 같이 취성이 큰 재질의 공작물을 절삭할 때 발생하기 쉬운 칩의 형태는?
- ① 유동형
- ② 전단형
- ③ 열단형
- ④ 균열형
등록된 댓글이 없습니다.
34. 선반에서 지름 100mm의 탄소강재를 회전수 200rpm, 이송속도 0.25mm/rev, 길이 50mm를 1회 가공할 때 소요되는 시간은 몇 분인가?
- ① 0.01
- ② 0.1
- ③ 1
- ④ 10
등록된 댓글이 없습니다.
35. 프레스작업에서 전단가공의 종류가 아닌 것은?
- ① 블랭킹
- ② 딤플링
- ③ 트리밍
- ④ 다이 커팅
등록된 댓글이 없습니다.
36. 주입 중량이 256kg이고 주물의 살 두께가 56mm인 경우에 소요되는 주입시간은 약 몇 초인가? (단, 주물 살 두께 계수 S=4.45이다.)
- ① 31.8
- ② 43.6
- ③ 64.5
- ④ 71.2
등록된 댓글이 없습니다.
37. 용접재를 강하게 맞대어 대전류를 통하게 하면 이음부 부근의 접촉 저항열에 의해 용접부가 적당한 온도에 도달한다. 이 때 축방향으로 큰 압력을 주어 용접하는 방법은?
- ① 심 용접
- ② 업셋 용접
- ③ 퍼커션 용접
- ④ 프로젝션 용접
등록된 댓글이 없습니다.
38. 광유에 비눗물을 첨가한 것으로 원액과 물을 혼합하여 냉각과 윤활성이 좋고 값이 저렴하여 널리 사용되는 절삭유는?
- ① 석유
- ② 유화유
- ③ 극압유
- ④ 지방유
등록된 댓글이 없습니다.
39. 방전가공용 전극재료의 구비조건으로 틀린 것은?
- ① 전기 저항값이 높고 전기 전도도가 낮을 것
- ② 융점이 높아 방전 시 소모가 적을 것
- ③ 성형이 용이하고 가격이 저렴할 것
- ④ 방전가공성이 우수할 것
등록된 댓글이 없습니다.
40. 머시닝센터에서 로터리 테이블을 추가할 때 그 상부의 팰릿을 자동으로 교환시켜 기계정지 시간을 단축시킬 수 있는 장치는?
- ① APC
- ② ATC
- ③ HSM
- ④ FA
등록된 댓글이 없습니다.
3과목 : 기계설계 및 기계재료
41. 회전수가 1500rpm, 베어링 하중이 2500N, 기본 동정격하중이 35000N인 롤러 베어링의 수명은 약 몇 시간인가?
- ① 30460
- ② 52530
- ③ 73480
- ④ 95320
등록된 댓글이 없습니다.
42. 핀(pin)이 주로 사용되는 용도에 해당하지 않는 것은?
- ① 너트의 풀림 방지
- ② 핸들과 축의 고정
- ③ 조립 부품의 위치 결정
- ④ 진동의 흡수
등록된 댓글이 없습니다.
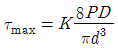
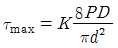
43. 코일 스프링에서 축방향 작용하중을 P, 코일의 유효지름을 D, 소선의 지름을 d, Wahl의 응력수정계수를 K라 할 때 최대전단응력 τmax 를 구하는 식으로 옳은 것은?
- ①

- ②

- ③

- ④

등록된 댓글이 없습니다.
44. V-벨트 전동장치에서 벨트의 마찰계수 μ, V 홈의 각도는 2α라고 할 때, 벨트의 유효마찰계수 μ′를 구하는 식으로 옳은 것은?
- ①

- ②

- ③ μ′=μ(sinα+μcosα)
- ④ μ′=μ(cosα+μsinα)
등록된 댓글이 없습니다.
45. 용접이음의 일반적인 장·단점에 대한 설명으로 옳지 않은 것은?
- ① 이음 효율이 비교적 높은 편이다.
- ② 조립 공정의 자동화를 구현하기 어렵다.
- ③ 열 영향으로 재료가 변질되기 쉽다.
- ④ 볼트나 리벳에 비해 중량 증가가 거의 없다.
등록된 댓글이 없습니다.
46. 단식 블록 브레이크에서 드럼의 원주속도는 8m/s, 제동 동력은 1.9kW일 때, 브레이크 용량(μpv, MPa·m/s)은? (단, 블록의 마찰면적은 50cm2이고, 마찰계수는 0.3이다.)
- ① 0.95
- ② 0.71
- ③ 0.55
- ④ 0.38
등록된 댓글이 없습니다.
47. 벨트방식의 무단변속기에서 구동축의 회전수 2400rpm, 토크 150N·m이고 벨트 구동 풀리의 반지름은 60mm이다. 여기서 피동 풀리의 반지름이 180mm라고 할 때 피동축에서의 회전수(N)와 토크(T)는?
- ① N = 800rpm, T = 30N·m
- ② N = 800rpm, T = 450N·m
- ③ N = 2400rpm, T = 150N·m
- ④ N = 7200rpm, T = 30N·m
등록된 댓글이 없습니다.
48. 모듈이 3인 인벌류트 치형의 표준 스퍼기어에서 이 뿌리 틈새를 0.25×모듈(m)으로 할 때 총 이 높이는 몇 mm인가?
- ① 3.75
- ② 4.50
- ③ 6.75
- ④ 7.50
등록된 댓글이 없습니다.
49. 그림과 같이 탄성체인 볼트, 너트, 와셔, 두 평판이 체결되어 있다. 두 평판은 동일 재질로서 이들 스프링 상수는 K이며, 볼트의 스프링 상수는 Kb라고 할 때 K=8Kb가 성립한다. 볼트의 초기 체결력이 5000N, 두 평판 사이에 걸리는 외부하중(P)이 9000N이고 볼트의 단면에서의 허용인장응력이 70MPa일 때, 볼트의 최소 골지름은 약 몇 mm인가? (단, 와셔의 영향은 무시한다.)

- ① 8.5mm
- ② 9.5mm
- ③ 10.5mm
- ④ 11.5mm
등록된 댓글이 없습니다.
50. 역류를 방지하고 유체를 한쪽 방향으로만 흐르게 하는 밸브는?
- ① 스톱 밸브
- ② 나비형 밸브
- ③ 감압 밸브
- ④ 체크 밸브
등록된 댓글이 없습니다.
51. 표점거리가 100mm, 시험편의 평행부 지름이 14mm인 시험편을 최대하중 6400kgf로 인장한 후 표점거리가 120mm로 변화 되었을 때 인장강도는 약 몇 kgf/mm2인가?
- ① 10.4
- ② 32.7
- ③ 41.6
- ④ 61.4
등록된 댓글이 없습니다.
52. 상온에서 순철의 결정격자는?
- ① 체심입방격자
- ② 면심입방격자
- ③ 조밀육방격자
- ④ 정방격자
등록된 댓글이 없습니다.
53. 탄소함유량이 0.8%가 넘는 고탄소강의 담금질 온도로 가장 적당한 것은?
- ① A1 온도보다 30 ~ 50℃ 정도 높은 온도
- ② A2 온도보다 30 ~ 50℃ 정도 높은 온도
- ③ A3 온도보다 30 ~ 50℃ 정도 높은 온도
- ④ A4 온도보다 30 ~ 50℃ 정도 높은 온도
등록된 댓글이 없습니다.
54. 다음은 일반적으로 수지에 나타나는 배향 특성에 대한 설명으로 틀린 것은?
- ① 금형온도가 높을수록 배향은 커진다.
- ② 수지의 온도가 높을수록 배향이 작아진다.
- ③ 사출 시간이 증가할수록 배향이 증대된다.
- ④ 성형품의 살두께가 얇아질수록 배향이 커진다.
등록된 댓글이 없습니다.
55. 금속침투법 중 Zn을 강 표면에 침투 확산시키는 표면처리법은?
- ① 크로마이징
- ② 세라다이징
- ③ 칼로라이징
- ④ 보로나이징
등록된 댓글이 없습니다.
56. 다음 합금 중 베어링용 합금이 아닌 것은?
- ① 화이트메탈
- ② 켈밋합금
- ③ 배빗메탈
- ④ 문쯔메탈
등록된 댓글이 없습니다.
57. 다음 그림과 같은 상태도의 명칭은?

- ① 편정형 고용체 상태도
- ② 전율 고용체 상태도
- ③ 공정형 한율 상태도
- ④ 부분 고용체 상태도
등록된 댓글이 없습니다.
58. 황(S) 성분이 적은 선철을 용해로에서 용해한 후 주형에 주입 전 Mg, Ca 등을 첨가시켜 흑연을 구상화한 주철은?
- ① 합금주철
- ② 칠드주철
- ③ 가단주철
- ④ 구상흑연주철
등록된 댓글이 없습니다.
59. 금속나트륨 또는 플루오르화 알칼리 등의 첨가에 의해 조직이 미세화 되어 기계적 성질의 개선 및 가공성이 증대되는 합금은?
- ① Al - Si
- ② Cu - Sn
- ③ Ti - Zr
- ④ Cu - Zn
등록된 댓글이 없습니다.
60. 영구 자석강이 갖추어야 할 조건으로 가장 적당한 것은?
- ① 잔류자속 밀도 및 보자력이 모두 클 것
- ② 잔류자속 밀도 및 보자력이 모두 작을 것
- ③ 잔류자속 밀도가 작고 보자력이 클 것
- ④ 잔류자속 밀도가 크고 보자력이 작을 것
등록된 댓글이 없습니다.
4과목 : 기구학 및 CAD
61. CAD 시스템에 의하여 수행되어지는 설계와 관련된 업무가 아닌 것은?
- ① 형상 모델링
- ② 설계 평가
- ③ 자동 도면 작성
- ④ 제품 검사
등록된 댓글이 없습니다.
62. 다음 중 특징형상 모델링(feature-based modeling)에 대한 설명으로 거리가 먼 것은?
- ① 자주 설계되는 형상을 라이브러리에 저장해 둔다.
- ② 특징형상의 예로는 구멍(hole), 챔퍼(chamfer), 필릿(fillet) 등이 있다.
- ③ 특징형상의 주요 치수는 주로 변하지 않게 되어 있다.
- ④ 가공에 필요한 정보도 포함할 수 있다.
등록된 댓글이 없습니다.
63. 다음 중 RP(쾌속조형장치)에 관한 설명으로 가장 옳은 것은?
- ① 일반적으로 절삭공구를 사용한다.
- ② 얇은 판을 적층시키는 방법으로 시제품을 제작한다.
- ③ 2차원 도면으로부터 3차원 실물을 직접 제작할 수 있다.
- ④ 유한요소법을 활용한다.
등록된 댓글이 없습니다.
64. 다음은 경도(u)와 위도(v)를 매개변수로 한 지구표면의 곡면식이다. 이와 관련된 설명 중 틀린 것은?

- ① 이 곡면은 반경이 R인 구면이다.
- ② 적도 위의 한 점(v=0)에서 극점 방향으로의 곡률반경은 1/R이다.
- ③ 적도 위의 한 점(v=0)에서 적도를 따라가는 방향으로의 tangent 벡터는 (-Rsinu, Rcosu,0)이다.
- ④ 적도 위의 한 점(v=0)에서 극점방향으로의 tangent 벡터는 (0,0,R)이다.
등록된 댓글이 없습니다.
65. 다음 형상 모델링에 대한 설명 중 틀린 것은?
- ① 와이어프레임 모델은 명확한 단면도 작성이 가능하다.
- ② 솔리드 모델링에 의해 생성된 모델은 어떤 지점이 모델의 내부인지 외부인지 구별할 수 있는 수학적 표현이 포함되어 있다.
- ③ 서피스 모델은 점과 선의 정보와 더불어 면에 대한 정보를 포함하는 모델이다.
- ④ 솔리드 모델은 FEM(Finite Element Method)을 위한 메쉬 자동분할이 가능하다.
등록된 댓글이 없습니다.
66. 다음 중 컴퓨터 그래픽에서 3차원 공간 위의 한 점을 정의하는 기본적인 3차원 좌표계가 아닌 것은?
- ① 작업물 좌표계(work coordinate system)
- ② 모델 좌표계(model coordinate system)
- ③ 시각 좌표계(viewing coordinate system)
- ④ 세계 좌표계(world coordinate system)
등록된 댓글이 없습니다.
67. 다음 중 직사각형을 평행사변형으로 만들려고 할 때 사용되는 변환은?
- ① 전단(shearing) 변환
- ② 회전(rotation) 변환
- ③ 반사(reflection) 변환
- ④ 크기(scaling) 변환
등록된 댓글이 없습니다.
68. 다음 은선, 은면 제거 알고리즘에 대한 설명 중 옳은 것은?
- ① 후향면(back-face) 제거 알고리즘은 물체의 안쪽 방향에 있는 법선벡터가 관찰자쪽으로 향하고 있다면 물체의 면이 가시적이고, 그렇지 않으면 비가시적이라는 기본 개념을 이용한다.
- ② 깊이 분류(depth-sorting) 알고리즘에서는 물체의 면들이 관찰자로부터의 거리로 정렬되며, 가장 먼 면부터 가장 가까운 면으로 각각의 색깔로 채워진다.
- ③ 후향면 제거 알고리즘은 특히 오목한 물체의 숨은 면을 제거하는 데 적합하다.
- ④ z-버퍼 방법에서는 법선벡터가 관찰자 앞쪽을 향하는 면들이 관찰자로부터의 거리 순서로 스크린에 투영된다.
등록된 댓글이 없습니다.
69. 다음 중 Bezier 곡선에 해당하지 않는 사항은?
- ① 곡선은 다각형의 시작점과 끝점을 통과하여야 한다.
- ② 다각형의 꼭지점 순서가 거꾸로 되어도 같은 곡선이 생성되어야 한다.
- ③ 다각형 양끝의 선분은 시작점과 끝점의 접선벡터와 같은 방향이다.
- ④ 첫 번째 조정점을 움직여도 마지막 조정점 근처의 곡선 부분은 영향을 받지 않는다.
등록된 댓글이 없습니다.
70. 의료용 영상자료를 3차원으로 모델링하기 위해서 자주 사용되는 방법으로서 일정한 간격의 부피를 차지하는 기본적인 입체요소들의 집합으로 임의의 형상을 표현하는 형상모델을 지칭하는 용어는?
- ① 날개 모서리 모델(winged edge model)
- ② 특징 형상 모델(feature-based model)
- ③ 분해 모델(decomposition model)
- ④ 오일러 모델(Euler model)
등록된 댓글이 없습니다.
71. 다음 그림에서 OP가 정지상태에서 출발하여 O를 중심으로 하여 각 가속도 10rad/s2으로 화살표 방향으로 회전했을 때, 0.6초 후의 P점의 속도(v′)는 약 몇 cm/s인가? (단, 의 길이는 20cm이다.)

- ① 36
- ② 72
- ③ 60
- ④ 120
등록된 댓글이 없습니다.
72. 마찰차에서 운전 중에 운전자가 원하는 대로 속도비를 변경할 수 있는 무단변속기구가 아닌 것은?
- ① 타원 마찰차식 무단변속기구
- ② 원판 마찰차식 무단변속기구
- ③ 원추 마찰차식 무단변속기구
- ④ 구면 마찰차식 무단변속기구
등록된 댓글이 없습니다.
73. 잇수 Z개, 피치가 pmm인 체인 스프로킷이 nrpm으로 회전할 때 체인의 평균속도(v, m/s)를 구하는 식은?
- ① v=1000×npZ
- ②

- ③ v=60000×npZ
- ④

등록된 댓글이 없습니다.
74. 그림과 같은 링크 구조의 자유도는 얼마인가?

- ① 0
- ② 1
- ③ 2
- ④ 3
등록된 댓글이 없습니다.
75. 연쇄의 종류 중 연쇄를 구성하는 1개의 링크에 운동을 주면 다른 링크는 모두 제한된 일정한 운동만을 하는 연쇄는?
- ① 고정 연쇄
- ② 한정 연쇄
- ③ 불한정 연쇄
- ④ 불구속 연쇄
등록된 댓글이 없습니다.
76. 캠 설계를 잘못했을 때 나타나는 경우 중 변위 함수의 차수를 작게 할 경우 가속도 함수가 무한대로 나타날 수가 있다. 이 때 무한대로 나타난 함수를 무엇이라고 하는가?
- ① 저크 함수(Jerk function)
- ② 구간 함수(Piecewise function)
- ③ 디락 델타 함수(Dirac delta function)
- ④ 조화 함수(Harmonic function)
등록된 댓글이 없습니다.
77. 압력 각이 20°인 표준 스퍼 기어에서 언더컷을 일으키지 않는 이론 한계 잇수는 몇 개 인가?
- ① 15개
- ② 17개
- ③ 19개
- ④ 21개
등록된 댓글이 없습니다.
78. 다음 전동용 기계요소 중 가장 정확한 속도비를 얻을 수 있는 전동방식은?
- ① 평벨트
- ② V벨트
- ③ 체인
- ④ 로프
등록된 댓글이 없습니다.
79. 직선운동기구에는 크게 엄밀직선운동기구(exact straight line motion mechanism)와 근사직선운동기구(approximate straight line motion mechanism)로 나눌 수 있는데 다음 중 엄밀직선운동기구에 속하는 것은?
- ① 와트 기구(Watt’s mechanism)
- ② 로버트 기구(Robert’s mechanism)
- ③ 체비셰프 기구(Tschebyscheff’s mechanism)
- ④ 포슬리어 기구(Peaucellier’s mechanism)
등록된 댓글이 없습니다.
80. 지름 2m의 바퀴가 130rpm으로 회전할 때, 각속도(w) 및 원주 속도(v)는 약 얼마인가?
- ① w =13.6 rad/s, v =13.6 m/s
- ② w =13.6 rad/s, v =17 m/s
- ③ w =15 rad/s, v =13.6 m/s
- ④ w =20 rad/s, v =20 m/s
등록된 댓글이 없습니다.