전기철도기사(2019. 8. 4.) 시험일자 : 2019년 8월 4일
1과목 : 전기철도공학
1. 자동장력조정장치의 설치에 대한 설명으로 틀린 것은?
- ① 인류구간의 한쪽에 자동장력조정장치를 설치할 경우 구배가 낮을쪽에 설치한다.
- ② 조가선 및 전차선은 억제저항이 적게 되도록 시설한다.
- ③ 활차식과 도르래식은 표중장력에 맞는 활차비와 종류를 선택한다.
- ④ 수동장력조정장치를 필요로 하지 않는 합성전차선에 턴버클식을 사용한다.
등록된 댓글이 없습니다.
2. 교류 급전측 단상 단락사고 고장 전류(Is)계산식은? (단, Is : 고장전류[kA], V : 급전전압[kV], Z0 : 전원임피던스[Ω], ZTR : 변압기임피던스[Ω], ZL : 선로임피던스[Ω], rg : 고장점 저항[Ω] 이다.)
- ①

- ②

- ③

- ④

등록된 댓글이 없습니다.
3. 강체전차선로에서 R-Bar 브래킷의 종류가 아닌 것은?
- ① 가동형
- ② 단축형
- ③ 확장형
- ④ 고정형
등록된 댓글이 없습니다.
4. 고속철도 전차선의 사전 이도량 54/2000에 대한 2번째 드로퍼의 처짐량(m)은? (단, 전차선의 사전 이도구간 길이는 45m, 첫 번째 드로퍼 거리는 4.5m, 두 번째 드로퍼 거리는 11.25m 이다.)
- ① 0.01077
- ② 0.01177
- ③ 0.01277
- ④ 0.01377
등록된 댓글이 없습니다.
5. 전차선의 장력(N)을 T, 전차선의 단위 길이 질량(kg/m)을 p라 할 때 파동전파속도(m/sec) C는?
- ①

- ②

- ③

- ④

등록된 댓글이 없습니다.
6. 전차선의 편위 결정 시 고려 사항이 아닌 것은?
- ① 차량동요에 의한 팬터그래프의 편위
- ② 가동브래킷 회전에 의한 전차선의 편위
- ③ 풍압에 의한 전차선의 편위
- ④ 장력장치 변동에 의한 전차선의 편위
등록된 댓글이 없습니다.
7. 에어섹션의 평행부부분에서 전차선 상호간의 이격거리(mm)로 맞는 것은? (단, 속도등급 300킬로급 이상)
- ① 100 이상
- ② 150 이상
- ③ 200 이상
- ④ 500 이상
등록된 댓글이 없습니다.
8. 교류급전방식의 특징이 아닌 것은?
- ① 대용량 중·장거리 수송에 유리하다.
- ② 에너지 이용률이 높다.
- ③ 통신유도장해 대책이 필요 없다.
- ④ 사고 시 선택 차단이 용이하다.
등록된 댓글이 없습니다.
9. 주전동기의 단자전압이 1200V, 전류가 300A 인 경우, 전기차의 출력(kW)은? (단, 주전동기의 효율은 0.9, 전동기의 대수는 3대이다.)
- ① 648
- ② 810
- ③ 972
- ④ 1134
등록된 댓글이 없습니다.
10. 절연구분장치에 대한 설명으로 틀린 것은?
- ① 절연구분장치 양단의 전차선과 조가선을 상호 균압한다.
- ② 절연구간을 갖는 인류구간의 길이는 600m 이하로 한다.
- ③ 절연구분장치 구간의 조가선은 팬터그래프 통과로 생기는 아크(Arc)에 의한 손상이 없돌고 시설한다.
- ④ 절연구분장치 길이를 선정할 때는 팬터그래프의 설치 간격을 고려할 필요가 없다.
등록된 댓글이 없습니다.
11. 커티너리 방식의 경우 가선계의 최고설계속도는 팬터그래프에 의해 발생하는 가공전차선 동요임펄스 파동전파속도의 몇 % 이하가 되도록 하는가?
- ① 15
- ② 25
- ③ 50
- ④ 70
등록된 댓글이 없습니다.
12. 경간 중앙에서의 전차선 편위 값(uN)을 구하는 계산식은? (단, uN1, uN2는 양단 전주에서의 편위 값, 곡선 외측이 +값)
- ①

- ②

- ③

- ④

등록된 댓글이 없습니다.
13. 전식방지 대책을 위한 배류법에 해당하지 않는 것은?
- ① 직접배류법
- ② 선택배류법
- ③ 순환배류법
- ④ 강제배류법
등록된 댓글이 없습니다.
14. 전차선은 110mm2이고, 잔존 단면적이 67.6mm2이며, 안전율이 2.2인 전차선의 허용장력은 약 몇 kgf인가? (단, 전차선의 항장력은 2400kgf 이다.)
- ① 670
- ② 1075
- ③ 1625
- ④ 3240
등록된 댓글이 없습니다.
15. 전기차의 VVVF 제어방식이란?
- ① 주파수와 전류를 제어하는 방식
- ② 주파수와 전압을 제어하는 방식
- ③ 주파수와 저항을 제어하는 방식
- ④ 주파수와 리액턴스를 제어하는 방식
등록된 댓글이 없습니다.
16. 전차선 110mm2 접촉점에 흐르는 아크전류를 I(A), 지속시간을 t(sec)라 할 때 전차선이 단선되는 시점을 나타내는 식은?
- ① I · t ≥ 750
- ② I · t ≥ 850
- ③ I · t ≥ 950
- ④ I · t ≥ 1050
등록된 댓글이 없습니다.
17. 강체가선방식에서 R-BAR의 구성에 해당되지 않는 것은?
- ① 연결금구
- ② 드로퍼
- ③ 애자섹숀
- ④ 단말크램프
등록된 댓글이 없습니다.
18. 부동율을 ε, 가선과 팬터그래프가 공진하는 속도를 Vc라 할 때, 이선을 시작하는 속도 Vr을 나타내는 식은?
- ①

- ②

- ③

- ④

등록된 댓글이 없습니다.
19. 고속전철에서 횡진동에 제한 받는 개소 또는 터널 내에서 이격거리 확보개소에 사용하는 급전선의 지지방식으로 맞는 것은?
- ① 수평조가방식
- ② V형조가방식
- ③ 현수조가방식
- ④ 경사조가방식
등록된 댓글이 없습니다.
20. 제3궤조 방식에 대한 설명으로 틀린 것은?
- ① 주행레일을 귀선로로 사용하는 경우 전식방지대책이 필요하다.
- ② 차량과 POWER RAIL과의 규정된 이격거리를 유지하여야 한다.
- ③ 제3궤조 방식의 도체는 무겁고 기계적 강도가 높아야 한다.
- ④ 급전레일은 낮게 설치되므로 안전을 위해 필요한 곳에 보호덮개를 설치한다.
등록된 댓글이 없습니다.
2과목 : 전기철도 구조물공학
21. 힘의 3요소가 아닌 것은?
- ① 방향
- ② 시간
- ③ 크기
- ④ 작용점
등록된 댓글이 없습니다.
22. 그림과 같은 단면의 X-X축에 대한 단면1차 모멘트(cm3)는? (치수단위는 [cm])

- ① 48
- ② 96
- ③ 144
- ④ 192
등록된 댓글이 없습니다.
23. 그림과 같은 트러스 빔에서 A에 해당하는 것은?

- ① 지점
- ② 절점
- ③ 입속
- ④ 경사재
등록된 댓글이 없습니다.
24. 재료의 전단탄성계수(G)가 80GPa, 포아송비는 0.3일 때, 종탄성계수 E(GPa)는?
- ① 48
- ② 104
- ③ 200
- ④ 208
등록된 댓글이 없습니다.
25. 그림과 같은 라멘의 부정정차수는?

- ① 9차
- ② 12차
- ③ 15차
- ④ 18차
등록된 댓글이 없습니다.
26. 다음 구조물 중 2차원 구조물로 맞는 것은?
- ① 패널(panel)
- ② 트러스(truss)
- ③ 라멘(rahmen)
- ④ 봉(rod)
등록된 댓글이 없습니다.
27. 가공 전차선로 도면의 프리텐션 콘크리트 전주에 11-30-N5000으로 표기되어 있다. 여기서 11은 무엇을 나타내는가?
- ① 전주의 지름
- ② 전주의 설계 휨모멘트
- ③ 전주의 압축력
- ④ 전주의 길이
등록된 댓글이 없습니다.
28. 가공 전차선로에서 표준경간 S(m), 선로의 곡선반경 R(m)라 할 때 전차선의 편위 d(m)을 구하는 식은?
- ① S / 8R
- ② S2 / 8R
- ③ S / 16R
- ④ S2 / 16R
등록된 댓글이 없습니다.
29. 전기철도구조물의 강도를 계산하기 위한 설계조건에 해당되지 않는 것은?
- ① 선로조건(곡선반지름)
- ② 지지주가 설치되어 있는 위치의 기상조건
- ③ 해당선로의 급전방식과 가선방식
- ④ 전압강하와 전선의 온도상승
등록된 댓글이 없습니다.
30. 크기가 같고 방향이 반대인 나란한 두 힘은?
- ① 우력
- ② 비틀림
- ③ 반력
- ④ 작용력
등록된 댓글이 없습니다.
31. 각 부재가 마찰이 없는 힌지로 연결되어 축방향력만 받는 부재는?
- ① 봉(rod)
- ② 기둥(column)
- ③ 보(beam)
- ④ 트러스(truss)
등록된 댓글이 없습니다.
32. 단면의 폭이 10cm, 높이가 20cm인 직사각형 단면과 지름이 d인 원형단면이 있다. 직사각형 단면과 원형단면의 단면계수가 같다고 할 때, 원형단면의 직경은 약 몇 cm 인가?
- ① 15.03
- ② 11.93
- ③ 18.93
- ④ 23.86
등록된 댓글이 없습니다.
33. 전차선로에서 지선의 종류로 틀린 것은?
- ① 단지선
- ② V형지선
- ③ 2단지선
- ④ 삼각지선
등록된 댓글이 없습니다.
34. 가동 브래킷의 호칭이 “G3.0 L960 I”라고 되어 있다면, 여기에서 L이 의미하는 것은?
- ① 가고
- ② 전차선 높이
- ③ 게이지
- ④ 작용력에 대한 형식
등록된 댓글이 없습니다.
35. 지선은 전구에 작용하는 수평하중의 몇 [%]를 부담하는가?
- ① 85
- ② 90
- ③ 95
- ④ 100
등록된 댓글이 없습니다.
36. 지름 D, 길이 ℓ인 원기둥의 세장비는?
- ① 4ℓ / D
- ② 8ℓ / D
- ③ 4D / ℓ
- ④ 8D / ℓ
등록된 댓글이 없습니다.
37. 가공전차선로에 설치된 단독전철주의 지면으로부터 높이는 11m이다. 이 전주에 수평분포하중 32kgf/m가 작용하는 경우 지면과의 경계점 모멘트(kgf·m)는?
- ① 1846
- ② 1896
- ③ 1936
- ④ 1986
등록된 댓글이 없습니다.
38. 비례한도에 대한 설명으로 맞는 것은?
- ① 응력과 변형율이 비례하는 최대점
- ② 응력의 발생으로 변형을 일으켜 파괴하는 한계
- ③ 인장시험에 있어서 작용하는 최대 하중점
- ④ 응력의 증가에 대하여 변형이 갑자기 증가하는 한계점
등록된 댓글이 없습니다.
39. 보(Beam)가 하중에 받게 되면 직선이던 부재축은 변형하여 곡선을 이루게 된다. 이 변형된 축선을 무엇이라 하는가?
- ① 연성곡선
- ② 탄성곡선
- ③ 수평곡선
- ④ 수직곡선
등록된 댓글이 없습니다.
40. 지점(支點)에 대한 설명으로 옳은 것은?
- ① 고정지점은 이동은 할 수 없으나 회전은 가능하다.
- ② 지점에는 이동지점, 고정지점 및 모멘트지점이 있다.
- ③ 이동지점에서 반력은 수직한 방향으로 1개만 일어난다.
- ④ 회전하고 있는 구조물 또는 부재를 받치는 점을 지점이라 한다.
등록된 댓글이 없습니다.
3과목 : 전기자기학
41. 반지름 a(m)의 구 도체에 전하 Q(C)가 주어질 때 구 도체 표면에 작용하는 정전응력은 몇 N/m2 인가?
- ①

- ②

- ③

- ④

등록된 댓글이 없습니다.
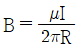
42. 무한장 직선형 도선에 I(A)의 전류가 흐를 경우 도선으로부터 R(m) 떨어진 점의 자속밀도 B(Wb/m2)는?
- ①

- ②

- ③

- ④

등록된 댓글이 없습니다.
43. 강자성체의 세 가지 특성에 포함되지 않는 것은?
- ① 자기포화 특성
- ② 와전류 특성
- ③ 고투자율 특성
- ④ 히스테리시스 특성
등록된 댓글이 없습니다.
44. 단면적이 s(m2), 단위 길이에 대한 권수가 n(회/m)인 무한히 긴 솔레노이드의 단위 길이당 자기인덕턴스(H/m)는?
- ① μ·s·n
- ② μ·s·n2
- ③ μ·s2·n
- ④ μ·s2·n2
등록된 댓글이 없습니다.
45. 전하 q(C)가 진공 중의 자계 H(AT/m)에 수직방향으로 v(m/s)의 속도로 움직일 때 받는 힘은 몇 N인가? (단, 진공 중의 투자율은 μo 이다.)
- ① qvH
- ② μoqH
- ③ πqvH
- ④ μoqvH
등록된 댓글이 없습니다.
46. 정전용량이 1μF이고 판의 간격이 d인 공기콘덴서가 있다. 두께 , 비유전율 εr=2 유전체를 그 콘덴서의 한 전극면에 접촉하여 넣었을 때 전체의 정전용량(μF)은?

- ① 2
- ② 1/2
- ③ 4/3
- ④ 5/3
등록된 댓글이 없습니다.
47. 송전선의 전류가 0.01초 사이에 10kA 변화될 때 이 송전선에 나란한 통신선에 유도되는 유도 전압은 몇 V인가? (단, 송전선과 통신선 간의 상호유도계수는 0.3mH 이다.)
- ① 30
- ② 300
- ③ 3000
- ④ 30000
등록된 댓글이 없습니다.
48. 단면적 15cm2의 자석 근처에 같은 단면적을 가진 철편을 놓을 때 그 곳을 통하는 자속이 3×10-4Wb이면 철편에 작용하는 흡인력은 약 몇 N인가?
- ① 12.2
- ② 23.9
- ③ 36.6
- ④ 48.8
등록된 댓글이 없습니다.
49. 전기 저항에 대한 설명으로 틀린 것은?
- ① 저항의 단위는 옴(Ω)을 사용한다.
- ② 저항률(ρ)의 역수를 도전율이라고 한다.
- ③ 금속선의 저항 R은 길이 ℓ에 반비례한다.
- ④ 전류가 흐르고 있는 금속선에 있어서 임의 두 점간의 전위차는 전류에 비례한다.
등록된 댓글이 없습니다.
50. 자계의 백터포텐셜을 A라 할 때 자계의 시간적 변화에 의하여 생기는 전계의 세기 E는?
- ① E = rot A
- ② rot E = A
- ③

- ④

등록된 댓글이 없습니다.
51. 변위전류와 가장 관계가 깊은 것은?
- ① 도체
- ② 반도체
- ③ 유전체
- ④ 자성체
등록된 댓글이 없습니다.
52. 진공 중에서 점 P(1, 2, 3) 및 점 Q(2, 0, 5)에 각각 300μC, -100μC인 점전하가 놓여 있을 때 점전하 –100μC에 작용하는 힘은 몇 N인가?
- ① 10i – 20j + 20k
- ② 10i + 20j - 20k
- ③ -10i + 20j + 20k
- ④ -10i + 20j – 20k
등록된 댓글이 없습니다.
53. 환상철심의 평균 자계의 세기가 3000 AT/m 이고, 비투자율이 600인 철심 중의 자화의 세기는 약 몇 Wb/m2 인가?
- ① 0.75
- ② 2.26
- ③ 4.52
- ④ 9.04
등록된 댓글이 없습니다.
54. 다음 금속 중 저항률이 가장 작은 것은?
- ① 은
- ② 철
- ③ 백금
- ④ 알루미늄
등록된 댓글이 없습니다.
55. 원통 좌표계에서 일반적으로 벡터가 A=5r sin øaz로 표현될 때 점(2, π/2, 0)에서 curl A를 구하면?
- ① 5ar
- ② 5πaø
- ③ -5aø
- ④ -5πaø
등록된 댓글이 없습니다.
56. 전자파의 특성에 대한 설명으로 틀린 것은?
- ① 전자파의 속도는 주파수와 무관하다.
- ② 전파 Ex를 고유임피던스로 나누면 자파 Hy가 된다.
- ③ 전파 Ex와 자파 Hy의 진동방향은 진행 방향에 수평인 종파이다.
- ④ 매질이 도전성을 갖지 않으면 전파 Ex와 자파 Hy는 동위상이 된다.
등록된 댓글이 없습니다.
57. 도전도 k=6×1017℧/m, 투자율 인 평면도체 표면에 10kHz의 전류가 흐를 때, 침투깊이 δ(m)는?
- ①

- ②

- ③

- ④

등록된 댓글이 없습니다.
58. 평행판 콘덴서의 극간 전압이 일정한 상태에서 극간에 공기가 있을 때의 흡인력을 F1, 극판 사이에 극판 간격의 2/3 두께의 유리판(εr=10)을 삽입할 때의 흡인력을 F2라 하면 F2/F1는?
- ① 0.6
- ② 0.8
- ③ 1.5
- ④ 2.5
등록된 댓글이 없습니다.
59. 정전용량이 각각 C1, C2, 그 사이의 상호 유도계수가 M인 절연된 두 도체가 있다. 두 도체를 가는 선을 연결할 경우, 정전용량은 어떻게 표현되는가?
- ① C1 + C2 - M
- ② C1 + C2 + M
- ③ C1 + C2 + 2M
- ④ 2C1 + 2C2 + M
등록된 댓글이 없습니다.
60. 길이 ℓ(m)인 동축 원통 도체의 내외원통에 각각 +λ, -λ(C/m)의 전하가 분포되어 있다. 내외원통 사이의 유전율 ε인 유전체가 채워져 있을 때, 전계의 세기(V/m)는? (단, V는 내외원통 간의 전위차, D는 전속밀도이고, a, b는 내외원통의 반지름이며, 원통 중심에서의 거리 r은 a<r<b 인 경우이다.)
- ①

- ②

- ③

- ④

등록된 댓글이 없습니다.
4과목 : 전력공학
61. 가공선 계통은 지중선 계통보다 인덕턴스 및 정전용량이 어떠한가?
- ① 인덕턴스, 정전용량이 모두 작다.
- ② 인덕턴스, 정전용량이 모두 크다.
- ③ 인덕턴스는 크고, 정전용량은 작다.
- ④ 인덕턴스는 작고, 정전용량은 크다.
등록된 댓글이 없습니다.
62. 부하전류의 차단에 사용되지 않는 것은?
- ① DS
- ② ACB
- ③ OCB
- ④ VCB
등록된 댓글이 없습니다.
63. 송전선의 특성임피던스는 저항과 누설컨덕턴스를 무시하면 어떻게 표현되는가? (단, L은 선로의 인덕턴스, C는 선로의 정전용량이다.)
- ①

- ②

- ③

- ④

등록된 댓글이 없습니다.
64. 변성기의 정격부담을 표시하는 단위는?
- ① W
- ② S
- ③ dyne
- ④ VA
등록된 댓글이 없습니다.
65. 케이블의 전력 손실과 관계가 없는 것은?
- ① 철손
- ② 유전체손
- ③ 시스손
- ④ 도체의 저항손
등록된 댓글이 없습니다.
66. 연가에 의한 효과가 아닌 것은?
- ① 직렬공진의 방지
- ② 대지정전용량의 감소
- ③ 통신선의 유도장해 감소
- ④ 선로정수의 평형
등록된 댓글이 없습니다.
67. 수력발전설비에서 흡출관을 사용하는 목적으로 옳은 것은?
- ① 압력을 줄이기 위하여
- ② 유효낙차를 늘리기 위하여
- ③ 속도변동률을 적게 하기 위하여
- ④ 물의 유선을 일정하게 하기 위하여
등록된 댓글이 없습니다.
68. 전압요소가 필요한 계전기가 아닌 것은?
- ① 주파수 계전기
- ② 동기탈조 계전기
- ③ 지락 과전류 계전기
- ④ 방향성 지락 과전류 계전기
등록된 댓글이 없습니다.
69. 원자로에서 중성자가 원자로 외부로 유출되어 인처에 위험을 주는 것을 방지하고 방열의 효과를 주기 위한 것은?
- ① 제어재
- ② 차폐재
- ③ 반사체
- ④ 구조재
등록된 댓글이 없습니다.
70. 3상 무부하 발전기의 1선 지락 고장 시에 흐르는 지락 전류는? (단, E는 접지된 상의 무부하 기전력이고, Zo, Z1, Z2는 발전기의 영상, 정상, 역상 임피던스이다.)
- ①

- ②

- ③

- ④

등록된 댓글이 없습니다.
71. 어느 수용가의 부하설비는 전등설비가 500W, 전열설비가 600W, 전동기 설비가 400W, 기타설비가 100W 이다. 이 수용가의 최대수용전력이 1200W이면 수용률은 몇 % 인가?
- ① 55
- ② 65
- ③ 75
- ④ 85
등록된 댓글이 없습니다.
72. 가공지선에 대한 설명 중 틀린 것은?
- ① 유도뢰 서지에 대하여도 그 가설구간 전체에 사고방지에 효과가 있다.
- ② 직격뢰에 대하여 특히 유효하며 탑 상부에 시설하므로 뇌는 주로 가공지선에 내습한다.
- ③ 송전선의 1선 지락 시 지락전류의 일부가 가공지선에 흘러 차폐작용을 하므로 전자유도장해를 적게 할 수 있다.
- ④ 가공지선 때문에 송전선로의 대지정전용량이 감소하므로 대지사이에 방전할 때 유도전압이 특히 커서 차폐효과가 좋다.
등록된 댓글이 없습니다.
73. 전력 원선도에서는 알 수 없는 것은?
- ① 송수전할 수 있는 최대전력
- ② 선로 손실
- ③ 수전단 역률
- ④ 코로나손
등록된 댓글이 없습니다.
74. 각 전력계통을 연계선으로 상호 연결하였을 때 장점으로 틀린 것은?
- ① 건설비 및 운전경비를 절감하므로 경제급전이 용이하다.
- ② 주파수의 변화가 작아진다.
- ③ 각 전력계통의 신뢰도가 증가된다.
- ④ 선로 임피던스가 증가되어 단락전류가 감소된다.
등록된 댓글이 없습니다.
75. 인터록(interlock)의 기능에 대한 설명으로 옳은 것은?
- ① 조작자의 의중에 따라 개폐되어야 한다.
- ② 차단기가 열려 있어야 단로기를 닫을 수 있다.
- ③ 차단기가 닫혀 있어야 단로기를 닫을 수 있다.
- ④ 차단기와 단로기를 별도로 닫고, 열 수 있어야 한다.
등록된 댓글이 없습니다.
76. 플리커 경감을 위한 전력 공급측의 방안이 아닌 것은?
- ① 공급전압을 낮춘다.
- ② 전용 변압기로 공급한다.
- ③ 단독 공급계통을 구성한다.
- ④ 단락용량이 큰 계통에서 공급한다.
등록된 댓글이 없습니다.
77. 같은 선로와 같은 부하에서 교류 단상 3선식은 단상 2선식에 비하여 전압강하와 배전효율이 어떻게 되는가?
- ① 전압강하는 적고, 배전효율은 높다.
- ② 전압강하는 크고, 배전효율은 낮다.
- ③ 전압강하는 적고, 배전효율은 낮다.
- ④ 전압강하는 크고, 배전효율은 높다.
등록된 댓글이 없습니다.
78. 다음 중 송전선로의 코로나 임계전압이 높아지는 경우가 아닌 것은?
- ① 날씨가 맑다.
- ② 기압이 높다.
- ③ 상대공기밀도가 낮다.
- ④ 전선의 반지름과 선간거리가 크다.
등록된 댓글이 없습니다.
79. 수력발전소의 분류 중 낙차를 얻는 방법에 의한 분류 방법이 아닌 것은?
- ① 댐식 발전소
- ② 수로식 발전소
- ③ 양수식 발전소
- ④ 유역 변경식 발전소
등록된 댓글이 없습니다.
80. 역률 80%, 500kVA의 부하설비에 100kVA의 진상용 콘덴서를 설치하여 역률을 개선하면 수전점에서의 부하는 약 몇 kVA가 되는가?
- ① 400
- ② 425
- ③ 450
- ④ 475
등록된 댓글이 없습니다.