에너지관리산업기사(2017. 3. 5.) 시험일자 : 2017년 3월 5일
1과목 : 열역학 및 연소관리
1. 표준 대기압하에서 실린더 직경이 5cm인 피스톤 위에 질량 1000kg의 추를 놓았다. 실린더 내 가스의 절대압력은 약 몇 kPa인가?
- ① 501
- ② 601
- ③ 1000
- ④ 1100
멍멍이2020. 9. 20. 22:57삭제
오타: 1000kg -> 100kg, 현재 12명중 4명이 찍어서 정답률 33.33%
2. 공기비(m)에 대한 설명으로 옳은 것은?
- ① 연료를 연소시킬 경우 이론 공기량에 대한 실제공급 공기량이 비이다.
- ② 연료를 연소시킬 경우 실제 공기량에 대한 이론 공기량이 비이다.
- ③ 연료를 연소시킬 경우 1차 공기량에 대한 2차 공기량이 비이다.
- ④ 연료를 연소시킬 경우 2차 공기량에 대한 1차 공기량의 비이다.
등록된 댓글이 없습니다.
3. 어떤 기압 하에서 포화수의 현열이 185.6kcal/kg이고, 같은 온도에서 증기 잠열이 414.4kcal/kg인 경우, 증기의 전열량은? (단, 건조도는 1이다.)
- ① 228.8kcal/kg
- ② 650.0kcal/kg
- ③ 879.3kcal/kg
- ④ 600.0kcal/kg
등록된 댓글이 없습니다.
4. 기체연료의 특징에 관한 설명으로 틀린 것은?
- ① 유황이나 회분이 거의 없다.
- ② 화재, 폭발의 위험이 크다.
- ③ 액체연료에 비해 체적당 보유 발열량이 크다.
- ④ 고부하 연소가 가능하고 연소실 용정을 작게 할 수 있다.
등록된 댓글이 없습니다.
5. 실제연소가스량(G)에 대한 식으로 옳은 것은? (단, 이론연소가스량 : Go, 과잉공기비 : m, 이론공기량 : Ao)
- ① G=Go+(m+1)Ao
- ② G=Go-(m-1)Ao
- ③ G=Go+(m-1)Ao
- ④ G=Go-(m+1)Ao
등록된 댓글이 없습니다.
6. 온도 150℃의 공기 1kg이 초기 체적 0.248m3에서 0.496m3으로 될 때까지 단열 팽창 하였다. 내부에너지의 변화는 약 몇 kJ/kg인가? (단, 정적비열(Cu)는 0.72kJ/kgㆍ℃, 비열비(k)는 1.4이다.)
- ① -25
- ② -74
- ③ 110
- ④ 532
등록된 댓글이 없습니다.
7. 엔트로피의 변화가 없는 상태변화는?
- ① 가역 단열 변화
- ② 가역 등온 변화
- ③ 가역 등압 변화
- ④ 가역 등적 변화
등록된 댓글이 없습니다.
8. 다음 중 액체연료의 점도와 관련이 없는 것은?
- ① 캐논-펜스케(Cannon-Fenske)
- ② 몰리에(Mollier)
- ③ 스톡스(Stockes)
- ④ 포아즈(Poise)
등록된 댓글이 없습니다.
9. 탄소(C) 1kg을 완전 연소시킬 때 생성되는 CO2의 양은 약 얼마인가?
- ① 1.67kg
- ② 2.67kg
- ③ 3.67kg
- ④ 6.34kg
등록된 댓글이 없습니다.
10. 다음은 물의 압력-온도 선도를 나타낸다. 임계점은 어디를 말하는가?

- ① 점 0
- ② 점 4
- ③ 점 5
- ④ 점 6
등록된 댓글이 없습니다.
11. 보일러 굴뚝의 통풍력을 발생시키는 방법이 아닌 것은?
- ① 연도에서 연소가스와 외부공기의 밀도차에 의해서 생기는 압력차를 이용하는 방법
- ② 벤튜리 관을 이용하여 배기가스를 흡입하는 방법
- ③ 압입 송풍기를 사용하는 방법
- ④ 흡입 송풍기를 사용하는 방법
등록된 댓글이 없습니다.
12. 어떤 가역 열기관이 400℃에서 1000kJ을 흡수하여 일을 생간하고 100℃에서 열을 방출한다. 이 과정에서 전체 엔트로피 변화는 약 몇 kJ/K인가?
- ① 0
- ② 2.5
- ③ 3.3
- ④ 4
등록된 댓글이 없습니다.
13. 이상 기체의 단열변화 과정에 대한 식으로 맞는 것은? (단, k는 비열비이다.)
- ① PV=const
- ② PkV=const
- ③ PVk=const
- ④ PV1/k=const
등록된 댓글이 없습니다.
14. -10℃의 얼음 1kg에 일정한 비율로 열을 가할 때 시간과 온도의 관계를 바르게 나타낸 그림은? (단, 압력은 일정하다.)
- ①

- ②

- ③

- ④

등록된 댓글이 없습니다.
15. 다음 ()안에 들어갈 내용으로 옳은 것은?

- ① (ㄱ)상(phase), (ㄴ)온도, (ㄷ)539, (ㄹ)80
- ② (ㄱ)체적, (ㄴ)상(phase), (ㄷ)739, (ㄹ)90
- ③ (ㄱ)비열, (ㄴ)상(phase), (ㄷ)439, (ㄹ)90
- ④ (ㄱ)온도, (ㄴ)상(phase), (ㄷ)539, (ㄹ)80
등록된 댓글이 없습니다.
16. 압력이 300kPa, 체적이 0.5m3인 공기가 일정한 압력에서 체적이 0.7m3으로 팽창했다. 이 팽창 중에 내부에너지가 50kJ 증가하였다면, 팽창에 필요한 열량은 몇 kJ인가?
- ① 50
- ② 60
- ③ 100
- ④ 110
등록된 댓글이 없습니다.
17. 기체의 분자량이 2배로 증가하면 기체상수는 어떻게 되는가?
- ① 2배
- ② 4배
- ③ 1/2배
- ④ 불변
등록된 댓글이 없습니다.
18. 연소의 3요소에 해당하지 않는 것은?
- ① 가연물
- ② 인화점
- ③ 산소 공급원
- ④ 점화원
등록된 댓글이 없습니다.
19. 물 1kmol이 100℃, 1기압에서 증발할 때 엔트로피 변화는 몇 kJ/K인가? (단, 물의 기화열은 2257kJ/kg이다.)
- ① 22.57
- ② 100
- ③ 109
- ④ 139
등록된 댓글이 없습니다.
20. 27℃에서 12L의 체적을 갖는 이상기체가 일정압력에서 127℃까지 온도가 상승하였을 때 체적은 약 얼마인가?
- ① 12L
- ② 16L
- ③ 27L
- ④ 56L
우진2025. 5. 9. 09:35삭제
체적V=12x(127+273/27+273)=16
2과목 : 계측 및 에너지진단
21. 증기 보일러에서 압력계 부착 시 증기가 압력계에 직접 들어가지 않도록 부착하는 장치는?
- ① 부압관
- ② 사이폰관
- ③ 맥동댐퍼관
- ④ 플릭시블관
등록된 댓글이 없습니다.
22. 열 설비에 사용되는 자동제어 계의 동작순서로 옳은 것은?
- ① 조작-검출-판단(조절)-비교-측정
- ② 비교-판단(조절)-조작-검출
- ③ 검출-비교-판단(조절)-조작
- ④ 판단-비교(조절)-검출-조작
등록된 댓글이 없습니다.
23. 오르자트 분석 장치에서 암모니아성 염화 제1동용액으로 측정할 수 있는 것은?
- ① CO2
- ② CO
- ③ N2
- ④ O2
등록된 댓글이 없습니다.
24. 증기부와 수부의 굴절률 차를 이용한 것으로 증기는 적색, 수부는 녹색으로 보이도록 한 것으로 고압의 대용량이나, 발전용 보일러에 사용되는 수면계는?
- ① 2색식 수면계
- ② 유리관 수면계
- ③ 평형투시직 수면계
- ④ 평형반사식 수면계
등록된 댓글이 없습니다.
25. 보일러에서 아래 식은 무엇을 나타내는가? (단, G : 매시간당 증발량(kg/h), Gf : 매시간단 연료소비량(kg/h), Hℓ : 연료의 저위발열량(kcal/kg), i2 : 증기의 엔탈피(kcal/kg), i1 : 급수의 엔탈피(kcal/kg))

- ① 보일러 마력
- ② 보일러 효율
- ③ 상당 증발량
- ④ 연소 효율
등록된 댓글이 없습니다.
26. 보일러 실제증발량에 증발계수를 곱한 값은?
- ① 상당 증발량
- ② 연소실 열부하
- ③ 전열면 열부하
- ④ 단위 시간당 연료 소모량
등록된 댓글이 없습니다.
27. 액면계에서 액면측정 방식에 대한 분류로 틀린 것은?
- ① 부자식
- ② 차압식
- ③ 편위식
- ④ 분동식
등록된 댓글이 없습니다.
28. 증기 건도를 향상시키기 위한 방법과 관계가 없는 것은?
- ① 저압의 증기를 고압의 증기로 증압시킨다.
- ② 증기주관에서 효율적인 드레인 처리를 한다.
- ③ 기수분리기를 설치하여 증기의 건도를 높인다.
- ④ 포밍, 프라이밍 현상을 방지하여 캐리오버현상이 일어나지 않도록 한다.
등록된 댓글이 없습니다.
29. 정해진 순서에 따라 순차적으로 제어하는 방식은?
- ① 피드백 제어
- ② 추종 제어
- ③ 시퀀스 제어
- ④ 프로그램 제어
등록된 댓글이 없습니다.
30. SI 단위표시에서 압력단위 표시방법으로 옳은 것은?
- ① mmHg/cm2
- ② cm2/kg
- ③ kg/at
- ④ N/m2
등록된 댓글이 없습니다.
31. 다음 중 연소실내의 온도를 측정할 때 가장 적합한 온도계는?
- ① 알코올 온도계
- ② 금속 온도계
- ③ 수은 온도계
- ④ 열전대 온도계
등록된 댓글이 없습니다.
32. 다음 그림과 같은 액주계 설치 상태에서 비중량이 γ, γ1이고 액주 높이차가 h일 때 관로압 Px는 얼마인가?

- ① Px=γ1h+γℓ
- ② Px=γ1h-γℓ
- ③ Px=γ1ℓ-γh
- ④ Px=γ1ℓ+γh
등록된 댓글이 없습니다.
33. 공기압 신호 전송에 대한 설명으로서 틀린 것은?
- ① 조작부의 동특성이 우수하다.
- ② 제진, 제습 공기를 사용하여야 한다.
- ③ 공기압이 통일되어 있어 취급이 편리하다.
- ④ 전송 거리가 길어도 전송 지연이 발생되지 않는다.
등록된 댓글이 없습니다.
34. 유체주에 해당하는 압력의 정확한 표현식은? (단, 유체주의 높이 h, 압력 P, 밀도 ρ, 비중량 γ, 중력 가속도 g라 하고, 중력 가속도는 지점에 따라 거의 일정하다고 가정한다.)
- ① P=hρ
- ② P=hg
- ③ P=ρgh
- ④ P=γg
등록된 댓글이 없습니다.
35. 물체의 탄성 변위량을 이용한 압력계가 아닌 것은?
- ① 다이아프램 압력계
- ② 경사관식 압력계
- ③ 브르돈관 압력계
- ④ 벨로즈 압력계
등록된 댓글이 없습니다.
36. 계량 계측기의 교정을 나타내는 말은?
- ① 지시값과 표준기의 지시값 차이를 계산하는 것
- ② 지시값과 참값을 일치하도록 수정하는 것
- ③ 지시값과 오차값의 차이를 계산하는 것
- ④ 지시값과 참값의 차이를 계산하는 것
등록된 댓글이 없습니다.
37. 융커스식 열량계의 특징에 관한 설명으로 틀린 것은?
- ① 가스의 발열량 측정에 가장 많이 사용된다.
- ② 열량측정 시 시료가스 온도 및 압력을 측정한다.
- ③ 구성 요소로는 가스 계량기, 압력 조정기, 기압계, 온도계, 저울 등이 있다.
- ④ 열량측정 시 가스 열량계의 배기 온도는 측정하지 않는다.
등록된 댓글이 없습니다.
38. 2차 지연 요소에 대한 설명으로 옳은 것은?
- ① 1차 지연 요소 2개를 직렬로 연결한 것으로 1차 지연 요소보다 응답속도가 더 늦어진다.
- ② 1차 지연 요소 2개를 직렬로 연결한 것으로 1차 지연 요소보다 응답속도가 더 빨라진다.
- ③ 1차 지연 요소 2개를 병렬로 연결한 것으로 1차 지연 요소보다 응답속도가 더 늦어진다.
- ④ 1차 지연 요소 2개를 병렬로 연결한 것으로 1차 지연 요소보다 응답속도가 더 빨라진다.
등록된 댓글이 없습니다.
39. 보일러 열정산에 있어서 출열 항목이 아닌 것은?
- ① 불완전 연소 가스에 의한 손실 열량
- ② 복사열에 의한 손실 열량
- ③ 발생 증기의 흡수 열량
- ④ 공기의 현열에 의한 열량
등록된 댓글이 없습니다.
40. SI단위계의 기본단위에 해당되지 않는 것은?
- ① 길이
- ② 질량
- ③ 압력
- ④ 시간
등록된 댓글이 없습니다.
3과목 : 열설비구조 및 시공
41. 보온재 중 무기질 보온재가 아닌 것은?
- ① 석면
- ② 탄산마그네슘
- ③ 규조토
- ④ 펠트
등록된 댓글이 없습니다.
42. 배관을 아래에서 위로 떠 받쳐 지지하는 장치 중의 하나로 배관의 굽힘부 등에 관으로 영구히 고정시키는 것은?
- ① 앵커
- ② 파이프 슈
- ③ 스토퍼
- ④ 가이드
등록된 댓글이 없습니다.
43. 수관보일러에 대한 설명으로 틀린 것은?
- ① 수관 내에 흐르는 물을 연소가스로 가열하여 증기를 발생시키는 구조이다.
- ② 수관에서 나오는 기포를 물과 분리를 위하여 증기드럼이 필요하다.
- ③ 일반적으로 제작비용이 커 대용량 보일러에 적용이 많으나 중소형에도 적용이 가능하다.
- ④ 노통내면 및 동체 수부의 면을 고온가스로 가열하게 되어 비교적 열손실이 적다.
등록된 댓글이 없습니다.
44. 다음 중 수관보일러는 어느 것인가?
- ① 관류 보일러
- ② 케와니 보일러
- ③ 입형 보일러
- ④ 스코치 보일러
등록된 댓글이 없습니다.
45. 보일러의 종류에서 랭커셔 보일러는 무슨 보일러에 해당하는가?
- ① 수직 보일러
- ② 연관 보일러
- ③ 노통 보일러
- ④ 노통연관 보일러
등록된 댓글이 없습니다.
46. 조업방식에 따른 요의 분류 시 불연속식 요에 해당되지 않는 것은?
- ① 횡염식 요
- ② 터널식 요
- ③ 승염식 요
- ④ 도염식 요
등록된 댓글이 없습니다.
47. 호칭지름 15A의 강관을 반지름 90mm로 90도 각도로 구부릴 때 곡선부의 길이는?
- ① 130mm
- ② 141mm
- ③ 182mm
- ④ 280mm
등록된 댓글이 없습니다.
48. 평로법과 비교하여 LD전로법에 관한 설명으로 틀린 것은?
- ① 평로법보다 생산 능률이 높다.
- ② 평로법보다 공장 건설비가 싸다.
- ③ 평로법보다 작업비, 관리비가 싸다.
- ④ 평로법보다 고철의 배합량이 많다.
등록된 댓글이 없습니다.
49. 수관보일러에서 수관의 배열을 마름모(지그재그)형으로 배열시키는 주된 이유는?
- ① 연소가스 접촉에 의한 전열을 양호하게 하기 위하여
- ② 보일러수의 순환을 양호하게 하기 위하여
- ③ 수관의 스케일 형성을 막기 위하여
- ④ 연소가스의 흐름을 원활이 하기 위하여
등록된 댓글이 없습니다.
50. 보온벽의 온도가 안쪽 20℃, 바깥쪽 0℃이다. 벽 두께가 20cm, 벽 재료의 열전도율이 0.2kcal/mㆍhㆍ℃일 때, 벽 1m2당, 매시간의 열손실량은?
- ① 0.2kcal/h
- ② 0.4kcal/h
- ③ 20kcal/h
- ④ 50kcal/h
등록된 댓글이 없습니다.
51. 다음 보온재 중 안전사용 온도가 가장 높은 것은?
- ① 석면
- ② 암면
- ③ 규조토
- ④ 펄라이트
등록된 댓글이 없습니다.
52. 에너지이용 합리화법에 따른 보일러 제조검사에 해당되는 것은?
- ① 용접검사
- ② 설치검사
- ③ 개조검사
- ④ 설치장소 변경검사
등록된 댓글이 없습니다.
53. 증기난방 배관용으로 쓰이는 증기트랩에 관한 설명으로 옳은 것은?
- ① 방열기의 송수구 또는 배관의 윗부분에 증기가 모이는 곳에 설치한다.
- ② 증기트랩을 설치하는 주목적은 고압의 증기와 공기를 배출하는 것이다.
- ③ 방열기나 증기관 속에 생긴 응축수를 환수관으로 배출한다.
- ④ 증기트랩은 마찰 저항이 커야 하며 내마모성 및 내식성 등이 작아야 한다.
12023. 3. 20. 16:52삭제
1
54. 12m의 높이에 0.1m3/s의 물을 퍼 올리는데 필요한 펌프의 축 마력은?(단, 효율은 80% 이다)
- ① 15PS
- ② 20PS
- ③ 30PS
- ④ 38PS
등록된 댓글이 없습니다.
55. 돌로마이트(dolomite)의 주요 화학성분은?
- ① SiO2
- ② SiO2, Al2O3
- ③ CaCO3, MgCO3
- ④ Al2O3
등록된 댓글이 없습니다.
56. 에너지이용 합리화법에 의한 검사대상기기 조종자의 선임, 해임 또는 퇴직에 관한 신고는 신고 사유가 발생한 날부터 며칠 이내에 해야 하는가?
- ① 15일
- ② 30일
- ③ 20일
- ④ 2개월
등록된 댓글이 없습니다.
57. 증기과열기의 종류를 열가스의 흐름 방향에 따라 분류할 때 해당되지 않는 것은?
- ① 병류형
- ② 직류형
- ③ 향류형
- ④ 혼류형
등록된 댓글이 없습니다.
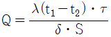
58. 그림과 같은 고체 벽면에 의하여 열이 전달될 때 전달 열량을 계산하는 식은? (단, λ : 열전도율, S : 전열면적, τ : 시간, δ : 두께이다.)

- ①

- ②

- ③

- ④

등록된 댓글이 없습니다.
59. 보일러수 중 알칼리 용액의 농도가 높을 때 응력이 큰 금속표면에 미세한 균열이 일어나는 거을 무엇이라고 하는가?
- ① 피팅(pitting)
- ② 가성취화
- ③ 그루빙(grooving)
- ④ 포밍(foaming)
등록된 댓글이 없습니다.
60. 재생식 공기 예열기로서 일반 대형 보일러에 주로 사용되는 것은?
- ① 엘레멘트 조립식
- ② 융그스트룸식
- ③ 판형식
- ④ 관형식
등록된 댓글이 없습니다.
4과목 : 열설비취급 및 안전관리
61. 보일러의 건식 보존법에서 보일러 내부에 넣어두는 건조 약품으로 가장 적합한 것은?
- ① 탄산칼슘
- ② 실리카겔
- ③ 염화나트륨
- ④ 염화수소
등록된 댓글이 없습니다.
62. 전직 환수관에서 증기관 내의 응축수를 환수관에 배출할 때는 응축소가 체류하기 쉬운 곳에 무엇을 설치하여야 하는가?
- ① 안전 밸브
- ② 드레인 포켓
- ③ 릴리프 밸브
- ④ 공기빼기 밸브
등록된 댓글이 없습니다.
63. 스프링식 안전밸브에 속하지 않는 것은?
- ① 전량식 안전밸브
- ② 고양정식 안전밸브
- ③ 전양정식 안전밸브
- ④ 기체용식 안전밸브
등록된 댓글이 없습니다.
64. 송수주관을 상향구배로 하고 방열면을 보일러 설치 기준면보다 높게 하여 온수를 순환시키는 배관방식은?
- ① 단관식
- ② 복관식
- ③ 산향순환식
- ④ 하향순환식
멍멍이2020. 9. 20. 22:06삭제
오타: 상향순환식
65. 보일러의 급수처리에 있어서 용해 고형물(경도성분)을 침전시켜 연화할 목적으로 사용되는 약제는?
- ① H2SO4
- ② NaOH
- ③ Na2CO3
- ④ MgCl2
등록된 댓글이 없습니다.
66. 보일러 운전 중 취급상의 사고에 해당되지 않는 것은?
- ① 압력초과
- ② 저수위 사고
- ③ 급수처리 불량
- ④ 부속장치 미비
등록된 댓글이 없습니다.
67. 보일러에 사용되는 탈산소제의 종류로 옳은 것은?
- ① 황산
- ② 염화나트륨
- ③ 하이드라진
- ④ 수산화나트륨
등록된 댓글이 없습니다.
68. 에너지이용 합리화법에서 검사대상기기조종자의 선임ㆍ해임 또는 퇴직신고의 접수는 누구에게 하는가?
- ① 국토교통부장관
- ② 환경부장관
- ③ 한국에너지공단이사장
- ④ 한국열관리시공협회장
등록된 댓글이 없습니다.
69. 보일러 안전밸브의 작동시험 방법으로 틀린 것은?
- ① 안전밸브갸 2개 이상인 경우 그 중 1개는 최고사용압력이하, 기타는 최고사용압력의 1.3배 이하이어야 한다.
- ② 과열기의 안전밸브 분출압력은 증발부 안전밸브의 분출압력 이하이어야 한다.
- ③ 안전밸브가 1개인 경우 분출압력은 최고사용압력 이하이어야 한다.
- ④ 제열기 및 독립과열기에 있어서는 안전밸브가 1개인 경우 분출압력은 최고사용압력 이하이어야 한다.
등록된 댓글이 없습니다.
70. 다음 중 보일러 수의 슬러지 조정제로 사용되는 청관제는?
- ① 전분
- ② 가성소다
- ③ 탄산소다
- ④ 아황산소다
등록된 댓글이 없습니다.
71. 에너지이용 합리화법에 따른 개조검사에 해당되지 않는 것은?
- ① 온수보일러를 증기보일러로 개조
- ② 보일러 섹션의 증감에 의한 용량의 변경
- ③ 연료 또는 연소 방법의 변경
- ④ 철금속가열로로서 산업통상자원 부장관이 정하여 고시하는 경우의 수리
등록된 댓글이 없습니다.
72. 에너지이용 합리화법에 따라 검사대상기기 조종자는 중ㆍ대형보일러 조종자 교육 과정이나 소형보일러ㆍ압력용기 조종자 교육과정을 받아야 하는데, 여기서 중ㆍ대형 보일러 조종자 교육 과정을 받아야 하는 기준으로 옳은 것은?
- ① 검사대상기기 조종자 중 용량이 1t/h(난방용의 경우에는 5t/h)를 초과하는 강철제 보일러 및 주철제 보일러의 조종자
- ② 검사대상기기 조종자 중 용량이 3t/h(난방용의 경우에는 5t/h)를 초과하는 강철제 보일러 및 주철제 보일러의 조종자
- ③ 검사대상기기 조종자 중 용량이 1t/h(난방용의 경우에는 10t/h)를 초과하는 강철제 보일러 및 주철제 보일러의 조종자
- ④ 검사대상기기 조종자 중 용량이 3t/h(난방용의 경우에는 10t/h)를 초과하는 강철제 보일러 및 주철제 보일러의 조종자
등록된 댓글이 없습니다.
73. 열역학적 트랩으로 수격현상에 강하고 과열증기에도 사용할 수 있으며 구조가 간단하며 유지보수가 용이한 증기트랩은?
- ① 버킷 트랩
- ② 디스크 트랩
- ③ 벨로즈 트랩
- ④ 바이메탈식 트랩
등록된 댓글이 없습니다.
74. 사무실에서 증기난방을 할 때 필요한 전체 방열량이 20000kcal/h 이라면 5세주 650mm 주철제 방열기로 난방을 할 때 필요한 방열기의 쪽수는? (단, 5세주 650mm 주절체 방열관의 쪽당 방열면적은 0.26m2이다.)
- ① 119쪽
- ② 129쪽
- ③ 139쪽
- ④ 150쪽
등록된 댓글이 없습니다.
75. 보일러에서 증기를 송기할 때의 조작방법으로 틀린 것은?
- ① 증기헤더의 드레인 밸브를 열어 응축수를 배출한다.
- ② 주중기관 내에 관을 따뜻하게 하기 위해 다량의 증기를 급격히 보낸다.
- ③ 주증기 밸브의 열림 정도를 단계적으로 한다.
- ④ 주증기 밸브를 완전히 연 다음 약간 되돌려 놓는다.
등록된 댓글이 없습니다.
76. 에너지이용 합리화법에 관한 내용으로 다음 ()안에 각각 들어갈 용어로 옳은 것은?

- ① ㉠ 최대소비효율기준 ㉡ 최저사용량기준
- ② ㉠ 적정소비효율기준 ㉡ 적정사용량기준
- ③ ㉠ 최저소비효율기준 ㉡ 최대사용량기준
- ④ ㉠ 최대사용량기준 ㉡ 최저소비효율기준
등록된 댓글이 없습니다.
77. 하트포드 배관에서 환수주관과 균형관(balance pope)의 연결 위치는 보일러 사용수위(표준수위)에서 몇 mm 아래 위치하는가?
- ① 30
- ② 50
- ③ 70
- ④ 100
등록된 댓글이 없습니다.
78. 증기의 순환이 가장 빠르며 방열기 설치장소에 제한을 받지 않는 환수방식으로 증기와 응축수를 진공펌프로 흡입 순환시키는 난방법은?
- ① 중력환수식
- ② 기계환수식
- ③ 진공환수식
- ④ 자연환수식
등록된 댓글이 없습니다.
79. 에너지이용 합리화법에 따라 국내외 에너지사정의 변동으로 에너지수급에 중대한 차질이 발생하거나 우려가 있다고 인정될 경우, 에너지수급의 안정을 위한 조치 사항에 해당되지 않는 것은?
- ① 에너지의 배급
- ② 에너지의 비축과 저장
- ③ 에너지 판매시설의 확충
- ④ 에너지사용기자재의 사용 제한
등록된 댓글이 없습니다.
80. 다음 중 보일러의 보존방법이 아닌 것은?
- ① 건식보존법
- ② 소다 보일링법
- ③ 만수보존법
- ④ 질소봉입법
등록된 댓글이 없습니다.