용접기사(2010. 3. 7.) 시험일자 : 2010년 3월 7일
1과목 : 기계제작법
1. 연삭작업을 할 때 절삭공구와 같이 재 연삭이 필요없는 이유는 입자가 마멸-파쇄-탈락-생성이 되풀이 되기 때문이다. 이러한 현상을 무엇이라 하는가?
- ① 로딩(loading)
- ② 글레이징(glazing)
- ③ 트루잉(truing)
- ④ 자생작용
등록된 댓글이 없습니다.
2. 내경 측정에 주로 이용되는 측정기는?
- ① 실린더 게이지
- ② 하이트 게이지
- ③ 측장기
- ④ 게이지 블록
등록된 댓글이 없습니다.
3. 소성변형이 비교적 잘 되는 금속재료를 상온 또는 고온에서 회전하는 롤 사이로 통과시켜 여러 가지의 판재, 형재, 관재 등의 소재를 만드는 가공법은?
- ① 전조
- ② 프레싱
- ③ 압연
- ④ 단조
등록된 댓글이 없습니다.
4. 전해연마에 관한 설명으로 틀린 것은?
- ① 공작물을 전해액 속에서 전기화학적 방법으로 필요한 형상을 가공한다.
- ② 공작물을 양극으로 통전한다.
- ③ 기계가공에서 생기는 가공 변질층이 생기지 않는다.
- ④ 알루미늄과 같은 연질재료에는 광택면을 쉽게 가공할 수 없다.
등록된 댓글이 없습니다.
5. 주조에 사용되는 목재의 변형을 방지하기 위한 방법으로 거리가 먼 것은?
- ① 질이 좋은 목재를 선택할 것
- ② 벌채 시기는 여름철에 할 것
- ③ 목재 조각을 여러개 조합하여 사용할 것
- ④ 도장을 적절하게 할 것
등록된 댓글이 없습니다.
6. 용접에서 가스 가우징(gas gouging)이란?
- ① 열원을 가스화염에서 얻는 일종의 맞대기 용접이다.
- ② 용접 부분의 뒷면을 따내거나 강재의 표면에 둥근홈을 파내는 가스가공이다.
- ③ 모재에 홈을 파고 가스건으로 모재와 용접봉을 가열하여 눌러 붙이는 작업이다.
- ④ 가스절단시 절단성을 판정하는 기준이다.
등록된 댓글이 없습니다.
7. 목형용 재료로 사용하는 목재의 방부법에 해당되지 않는 것은?
- ① 야적법
- ② 도포법
- ③ 침재법
- ④ 삶는법
정재성2020. 7. 8. 21:44삭제
위의 보기중 도포법을 제외하고는 건조방법 인데? 문제가 잘못된듯?
8. 회전하는 상자속에 공작물과 숫돌입자, 공작액, 컴파운드 등을 넣고 서로 충돌시켜 표면의 요철(凹凸)을 제거하며 매끈한 가공면을 얻는 방법은?
- ① 호닝(honing)
- ② 숏 피닝(shot peening)
- ③ 배럴(barrel)가공
- ④ 슈퍼 피니싱(super finishing)
등록된 댓글이 없습니다.
9. 알루미늄, 구리 등의 재료를 컨테이너에 넣고 강력한 압축력을 주면 다이오리피스(die orifice)를 통과시여 원하는 제품으로 가공하는 방법은?
- ① 압출(押出)가공
- ② 인출(引出)가공
- ③ 프레스(press)가공
- ④ 인발(引拔)가공
등록된 댓글이 없습니다.
10. 박스 지그(box jig)는 주로 어떤 작업에 가장 많이 사용되는가?
- ① 연삭기에서 테이퍼 가공을 소량으로 할 때
- ② 선반작업에서 크랭크를 절삭 할 때
- ③ 소량의 밀링작업을 할 때
- ④ 가공물에서 여러 방향의 드릴작업을 할 때
등록된 댓글이 없습니다.
11. 가공의 영향으로 생긴 스트레인이나 내부 응력을 제거하고 미세한 표준조직으로 기계적 성질을 향상시키는 열처리 방법은?
- ① 소프트닝
- ② 보로나이징
- ③ 하드 패이싱
- ④ 노멀라이징
등록된 댓글이 없습니다.
12. 길이 50mm, 지름 4mm의 제품을 선반으로 가공한다. 86m/min 의 절삭속도와 0.1mm/rev 의 이송 속도로 가공한다면 1회 작업 시 작업에 요하는 가공 시간은 약 몇 분 인가?
- ① 7.3
- ② 4.2
- ③ 11.5
- ④ 9.4
등록된 댓글이 없습니다.
13. 아크 용접에서 아크가 한쪽으로 편향하는 현상은?
- ① 아크 코어(arc core)
- ② 자기 불림(magnet blow)
- ③ 아크 스트림(arc stream)
- ④ 자기 화염(magnet flame)
등록된 댓글이 없습니다.
14. 소성가공에서 열간가공과 냉간가공 구별의 기준 온도는?
- ① 단조온도
- ② 재결정온도
- ③ 변태온도
- ④ 담금질 온도
등록된 댓글이 없습니다.
15. 게이지 블록의 치수 안정도 등급에 해당하지 않는 것은?
- ① P급
- ② 0급
- ③ 1급
- ④ 2급
등록된 댓글이 없습니다.
16. 프레스 가공 방식 중 굽힘 성형 가공에 해당하는 것은?
- ① 펀칭(punching)
- ② 트리밍(trimming)
- ③ 컬링(curling)
- ④ 셰이빙(shaving)
등록된 댓글이 없습니다.
17. 조미니(jominy)시험은 어떤 시험에 해당하는가?
- ① 경도(硬度)시험
- ② 경화능(硬化能)시험
- ③ 취성(脆性)시험
- ④ 냉각성(冷却性)시험
등록된 댓글이 없습니다.
18. 높은 정밀도의 보링 가공을 할 수 있는 것으로 온도변화에 따른 영향을 받지 않도록 항온습실에 설치하여야 하는 것은?
- ① 보통 보링 머신
- ② 지그 보링 머신
- ③ 수직 보링 머신
- ④ 코어 보링 머신
등록된 댓글이 없습니다.
19. 다이에 아연, 납, 주석 등의 연질금속을 넣고 제품 형상의 펀치로 타격을 가하여 길이가 짧은 치약 튜브, 약품튜브 등을 제작하는 압출은?
- ① 직접 압출
- ② 간접 압출
- ③ 열간 압출
- ④ 충격 압출
등록된 댓글이 없습니다.
20. 지름 91mm의 강봉을 회전수 700rpm으로 선삭하는데 잘삭 저항의 주분력이 725.75N 이다. 이 때 기계적 효율이 80% 이라고 하면 여기에 공급되어야 할 동력은 몇kw 인가?
- ① 3.03
- ② 4.17
- ③ 6.56
- ④ 8.17
등록된 댓글이 없습니다.
2과목 : 재료역학
21. 주응력에 대한 설명으로 틀린 것은?
- ① 주응력 상태에서 전단응력은 0이다.
- ② 주응력은 전단응력이다.
- ③ 최대 전단응력은 주응력의 최대, 최소값의 평균치이다.
- ④ 평면응력에서 주응력은 2개이다.
등록된 댓글이 없습니다.
22. 어떤 탄성재료의 탄성계수 E와 전단계수 G사이에 성립하는 관계식으로 맞는 것은?
- ① E = 2(1+υ)G
- ② G = 2(1+υ)E
- ③ E = 2G / 1+υ
- ④ G = 2E / 1+υ
등록된 댓글이 없습니다.
23. 반지름이 r 인 원형 단면에 단순보에 전단력 F 가가해졌다면, 이 때 단순보에 발생하는 최대 전단 응력은?
- ① 3F / 2πr2
- ② 2F / 3πr2
- ③ 4F / 3πr2
- ④ 5F / 3πr2
등록된 댓글이 없습니다.
24. 단면은 폭 5cm× 높이 3cm, 길이가 1m의 단순지지보가 중앙에 집중하중 4kN을 받을 때 발생하는 최대 굽힘응력은 약 몇 MPa, 인가?
- ① 133
- ② 155
- ③ 143
- ④ 125
등록된 댓글이 없습니다.
25. 길이가 L 이고 단면적이 A 인 봉의 단면에 수직 하중이 작용하고, 작용하중 방향으로 변형률 ε 이 발생하였다면 이 봉에 저장된 탄성에너지 U는 어떻게 표현되는가? (단, 봉의 탄성계수는, E이다.)
- ① EεAL
- ② Eε2AL / 2
- ③ EεAL / 2
- ④ EεAL / 4
등록된 댓글이 없습니다.
26. 단면적이 같은 원형과 정사각형의 단면 계수의 비는?
- ① 1 : 0.509
- ② 1 : 1.18
- ③ 1 : 2.36
- ④ 1 : 4.68
등록된 댓글이 없습니다.
27. 직사각형 단면(폭×높이)이 4cm×8cm이고 길이 1m의 외팔보의 전 길이에 6kN/m의 등분포하중이 작용할때 보의 최대 처짐각은? (단, 탄성계수 E = 210GPa이고 보의 자중은 무시한다.)
- ① 복원중
- ② 복원중
- ③ 복원중
- ④ 복원중
등록된 댓글이 없습니다.
28. 그림과 같은 구조물에 1000N의 물체가 매달려 있을때 두 개의 강선 AB와 AC에 작용하는 힘의 크기는 약 몇 N인가?

- ① AB =707, AC = 500
- ② AB =732, AC = 897
- ③ AB =500, AC = 707
- ④ AB =897, AC = 732
등록된 댓글이 없습니다.
29. 길이 15m, 지름 10mm의 강봉에 8kN의 인장 하중을 걸었더니 탄성변형이 생겼다. 이때 늘어난 길이는?
- ① 7.3m
- ② 7.3cm
- ③ 0.73mm
- ④ 0.073mm
등록된 댓글이 없습니다.
30. 최대 사용강도(σmax) = 240MPa, 지름 1.5m, 두께 3mm의 강재 원통형 용기가 견딜 수 있는 치대 압력은 몇 KPa 인가? (단, 안전계수(SF)는 2 이다.)
- ① 240
- ② 480
- ③ 960
- ④ 1920
등록된 댓글이 없습니다.
31. 그림과 같은 돌출보가 있다. ωℓ=P일 때 이 보의 중앙점에서 굽힘 모멘트가 0 이 되기 위한 길이의 비a/ℓ는?

- ① 1/4
- ② 1/8
- ③ 1/16
- ④ 1/24
등록된 댓글이 없습니다.
32. 지름 3mm의 철사로 평균지름 75mm의 압축코일 스프링 을 만들고 하중 10N에?
- ① n = 8.9
- ② n = 8.5
- ③ n = 5.25
- ④ n = 6.3
등록된 댓글이 없습니다.
33. 등분포 하중을 받고 있는 단순보와 양단 고정보의 중앙점에서의 최대 처짐량의 비는? (단, 보의 굽힘강성 E1는 일정하다.)
- ① 3 : 1
- ② 5 : 1
- ③ 24 : 1
- ④ 48 : 1
등록된 댓글이 없습니다.
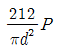
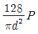
34. 지름 d의 축에 암(arm)을 달고, 그림과 같이 하중 P를 가할 때 축에 발생되는 최대 비틀림 전단응력은?

- ①

- ②

- ③

- ④

등록된 댓글이 없습니다.
35. 다음 중 기둥의 좌굴에 대한 설명으로 옳은 것은?
- ① 좌굴이란 기둥이 압축하중을 받아 길이 방향으로 변위되는 현상을 말한다.
- ② 도심에 압축하중이 작용하는 기둥의 좌굴은 안정성과 관련되어 있다.
- ③ 좌굴에 대한 임계하중은 길이가 긴 기둥일수록 커진다.
- ④ 편심 압축하중을 받는 기둥에서는 M하중이 커져도 길이 방향 변위만 발생한다.
등록된 댓글이 없습니다.
36. 지름 7mm, 길이 250mm인 연강 시험편으로 비틀림 실험을 하여 얻은 결과, 토크 4.08Nㆍm에서 비틀림 각이 8˚로 기록되었다. 이 재료의 전단 탄성계수는 약 몇 GPa 인가?
- ① 64
- ② 53
- ③ 41
- ④ 31
등록된 댓글이 없습니다.
37. 그림과 같이 길이가 동일한 2개의 기둥 상단에 중심 압축 하중 2500N이 작용할 경우 전체 수축량은 약 몇 mm인가? (단, 단면적 A1 = 1000mm2, A2 = 2000mm2, 길이 L =300mm, 재료의 탄성계수 E = 90GPa이다.)

- ① 0.625
- ② 0.0625
- ③ 0.00625
- ④ 0.000625
등록된 댓글이 없습니다.
38. 그림과 같이 전체 길이가 3L 인 외팔보에 하중 P가 B점과 C점에 작용할 때 자유단B에서의 처짐량은? (단, 보의 굽힘강성, EI는 일정하고, 자중은 무시한다.)

- ①

- ②

- ③

- ④

등록된 댓글이 없습니다.
39. 폭 20cm, 높이 30cm의 직사각형 단면을 가진 길이 300cm의 외팔보는 자유단에서 최대 몇 kN의 하중을 가할 수 있는가? (단, 허용 굽힘응력은 σ = 15MPa 이다.)

- ① 12
- ② 15
- ③ 30
- ④ 90
등록된 댓글이 없습니다.
40. 연강 1cm3 의 무게는 0.0758N이다. 길이 15m의 둥근봉을 매달 때 봉의 상단 고정부에 발생하는 인장응력은 몇 kPa 인가?
- ① 0.118
- ② 1177.5
- ③ 117.8
- ④ 11890
등록된 댓글이 없습니다.
3과목 : 용접야금
41. S-N 곡선에 대한 설명으로 옳은 것은?
- ① 항온변태 속도를 나타내는 곡석
- ② 탄소당량을 도시한 곡선
- ③ 인장시험에서 인장력과 연신율을 나타내는 곡선
- ④ 피로시험에서 반복응력과 반복횟수를 나타내는 곡선
등록된 댓글이 없습니다.
42. 용접봉의 피복제에서 아크 용접시 발생하는 가스 성분인 CO, CO2 , H2O, H2 등의 반응을 바르게 나타낸 것은?
- ① 3CO + 2H2O ⇄CO + 2CO2 + 2H2
- ② 2CO + 2H2O ⇄2CO2 + H2O +H2
- ③ 3CO + 3H2O ⇄3CO2 + H2O
- ④ CO + H2O ⇄CO2 + H2
등록된 댓글이 없습니다.
43. 용접금속에 생기는 기포를 말하는 것으로 용접금속 내부에 존재하는 것은?
- ① 기공
- ② 피트
- ③ 은점
- ④ 언터필
등록된 댓글이 없습니다.
44. 용접과정 중 산화력이 가장 큰 원소는?
- ① Al
- ② Mn
- ③ Mo
- ④ V
등록된 댓글이 없습니다.
45. 스테인리스강용 용접봉의 피복제로 티탄계의 주성분은?
- ① 루틸
- ② 석회석
- ③ 형석
- ④ 일미나이트
등록된 댓글이 없습니다.
46. 금속 중에 용해된 기체성분 중 취화, 지연균열, 은점 등의 용접금속에 가장 악영향을 끼치는 성분은?
- ① 수소
- ② 산소
- ③ 질소
- ④ 탄소
등록된 댓글이 없습니다.
47. 일반 물질계에서 자유도를 F, ,성분수를 C, 상의수를 P라 한면 상률 공식은?
- ① F = P-C+2
- ② F = C-P+2
- ③ F = C-P+1
- ④ F = P-C-1
등록된 댓글이 없습니다.
48. 용극식 용접법이 아닌 것은?
- ① 피복 아크 용접
- ② 탄산가스 아크 용접
- ③ 불활성가스 텅스텐 아크용접
- ④ 서브머지드 아크 용접
등록된 댓글이 없습니다.
49. 용접에서 각종 원소의 탈산력을 비교할 때 탈산력이 가장 낮은 것은?
- ① W
- ② Ti
- ③ Si
- ④ Ni
등록된 댓글이 없습니다.
50. 탄화물의 입계석출로 인하여 입계부식을 일으키는 스테인리스강은?
- ① 오스테나이트계 스테인리스강
- ② 페라이트계 스테인리스강
- ③ 마르텐자이트계 스테인리스강
- ④ 펄라이트계 스테인리스강
등록된 댓글이 없습니다.
51. 피복 아크 용접봉은 심선과 그 주위에 도포된 피복제로 구성되어 있다. 피복제의 기능이 아닌 것은?
- ① 용착 금속에 필요한 합금 원소를 첨가시킨다.
- ② 모재 표면의 산화물을 제거하고, 양호한 용접부를 만든다.
- ③ 용착금속의 탈산 정련작용을 하며, 전기절연 작용을 한다.
- ④ 용융금속의 용적을 조대화하여 용착 효율을 낮춘다.
등록된 댓글이 없습니다.
52. 연강용 피복아크 용접봉 중 철분 저수소계는?
- ① E4303
- ② E4316
- ③ E4313
- ④ E4326
등록된 댓글이 없습니다.
53. 포정반응을 나타내는 합금이 아닌 것은?
- ① Fe-C 합금
- ② Au-Fe 합금
- ③ Al-Cu 합금
- ④ Ag-Cu 합금
등록된 댓글이 없습니다.
54. 가공한 금속을 가열할 때 결정입계의 이동에 의해서 형성되는 쌍정을 무엇이라 하는가?
- ① 변형쌍정
- ② 기계적쌍정
- ③ 풀림쌍정
- ④ 소성쌍정
등록된 댓글이 없습니다.
55. 탄소당량(Ceq)이 일반적으로 몇 % 이하일 때 용접성이 양호한 것으로 판단하는가?
- ① 1.0%
- ② 0.4%
- ③ 1.6%
- ④ 0.9%
등록된 댓글이 없습니다.
56. 순철의 Ag(910°C) 변태를 올바르게 나타낸 것은?
- ① α- Fe ⇄β- Fe
- ② α- Fe ⇄γ- Fe
- ③ γ- Fe ⇄δ- Fe
- ④ δ- Fe ⇄α- Fe
등록된 댓글이 없습니다.
57. 염기도가 가장 높은 용접봉은?
- ① 일미나이트계
- ② 고산화티탄계
- ③ 저수소계
- ④ 티탄계
등록된 댓글이 없습니다.
58. 강읭 용접 열영향부에서 생기는 기계적 성질로 맞는 것은?
- ① 실온에서 열영향부의 강도는 원래의 강도보다 증가한다.
- ② 실온에서 열영향부의 연신이나 드로잉(drawing)은 원래의 연신이나 드로잉보다 증가한다.
- ③ 용접부의 냉각속도가 빠르면 강도와 연신율은 증가한다.
- ④ 용접부의 인장강도는 최저가열온도에 의해서만 결정된다.
등록된 댓글이 없습니다.
59. 봉상 결정의 인장 변형은 미끄럼이 생겨서 진행하는데, 이때의 변형상태를 상세하게 관찰하면 미끄럼 밴드가 형성되어 있는 것을 알 수 있다. 고순도 알루미늄에서 미끄럼 밴드를 형성하고 있는 각각의 층은 얼마정도의 미끄럼이 생기는가?
- ① 약 2000A
- ② 약 3000A
- ③ 약 4000A
- ④ 약 5000A
등록된 댓글이 없습니다.
60. 저온균열을 방지하기위한 대책으로 틀린 것은?
- ① 용접부의 탄소 당량을 높게 한다.
- ② 냉각 가속도를 될수록 느리게 한다.
- ③ 저수소계 용접봉을 사용한다.
- ④ 용접봉의 건조를 충분히 한다.
등록된 댓글이 없습니다.
4과목 : 용접구조설계
61. 용접을 진행하는 용접부의 부근을 냉각시켜 열영향부의 넓이를 축소시킴으로써 변형을 방지하는 냉각법의 종류에 해당되지 않는 것은?
- ① 수냉 동(구리)판 사용법
- ② 살수법
- ③ 비석법
- ④ 석면포 사용법
등록된 댓글이 없습니다.
62. 용접부재의 작업순서를 말하는 용접순서를 결정할때 주의사항으로 틀린 것은?
- ① 모재의 양 끝단에서 중앙으로 용접한다.
- ② 수축에 의한 변형량이 큰 곳부터 용접을 한다.
- ③ 좌우로 배치되는 구조물은 대칭법으로 비드를 배치한다.
- ④ 동일 평면 내에 이음이 많을 경우 수축은 가능한 자유단으로 보낸다.
등록된 댓글이 없습니다.
63. 용착효율을 나타내는 설명으로 옳은 것은?
- ① 용접봉 사용 중량에 대한 용접시간 사용의 비
- ② 용접봉 사용 중량에 대한 용착금속 중량의 비
- ③ 용착금속의 중량에 대한 용접시간 사용의 비
- ④ 용착금속의 중량에 대한 용접봉 사용 중량의비
등록된 댓글이 없습니다.
64. 용접시험 중 유화물의 함유량과 분포상태를 검출하는 시험은?
- ① 부식시험
- ② 파면시험
- ③ 설퍼프린트시험
- ④ 화학분석시험
등록된 댓글이 없습니다.
65. 피로강도(Fatigue Strenght)를 정의하는 변동 하중에는 정현파 응력 파형이 있는데 여기에 속하지 않는 것은?
- ① 완전 양진 파형
- ② 완전 편진 파
- ③ 부분 편진 파형
- ④ 피로 편진 파형
등록된 댓글이 없습니다.
66. AW-400인 용접기 11대를 설치하고자 할 때 전원 변압기는 어느 정도 용량을 설치하는 것이 가장 적당한가?
- ① 84 kVA
- ② 92 kVA
- ③ 88 kVA
- ④ 104 kVA
등록된 댓글이 없습니다.
67. 용접변형 방지법 중 구속(억제)법에 대한 설명으로 틀린 것은?
- ① 적당한 지그가 없을 경우 스트롱 백을 사용한다.
- ② 스테인레스강 박판 맞대기 이음의 경우 동판을 조합시킨 구속지그를 이용하는 것이 유효하다.
- ③ 맞대기 용접의 경우 잭으로 판을 구속하거나 중량물을 올려놓는다.
- ④ 홈 및 루트간격을 용접이 가능한 범위에서 최대화한다.
등록된 댓글이 없습니다.
68. 용접 이음성능에 영향을 주는 요소로서 고온의 분위기에서 용접이음이 사용될 경우에 발생되는 현상은?
- ① 상온특성 현상
- ② 스캘롭 현상
- ③ 저온특성 현상
- ④ 크리프 현상
등록된 댓글이 없습니다.
69. 마찰발열에 의해 피 접합재를 가열 연화시키는 동시에 접촉부를 이동시켜 접합하는 것으로 재료의 소성유동을 이용한 마찰교반접합의 장점 설명으로 틀린 것은?
- ① 접합기구가 단순하고 접합인자가 적어 관리가 용이하다.
- ② 기공, 균열 등의 결함이 발생하지 않는다.
- ③ 용가재, 보호가스가 필요 없다.
- ④ 용접입열이 커서 접합부의 변형이 아크용접에 비해 매우 크다.
등록된 댓글이 없습니다.
70. 용접 후 잔류응력 제거 또는 완화 방법으로 틀린 것은?
- ① 노멀라이징법
- ② 응력제거 어닐링법
- ③ 저온응력 완화법
- ④ 기계적응력 완화법
등록된 댓글이 없습니다.
71. 용접부내의 산소나 질소의 존재에 의해 결함 발생이 촉진되는 취성에 속하지 않는 것은?
- ① 저온 취성
- ② 청열 취성
- ③ 뜨임 취성
- ④ 재열 취성
등록된 댓글이 없습니다.
72. 용접부 인장시험에서 초기단면적이 100m2 이고, 인장 파단후의 단면적이 95m2 일 경우에 단면 수축률 Φ는?
- ① 1%
- ② 5%
- ③ 10%
- ④ 15%
등록된 댓글이 없습니다.
73. 다음 그림과 같은 용접명칭을 올바르게 나타낸 것은?

- ① 돌출된 모서리를 가진 평판 사이의 맞대기 용접
- ② 넓은 루트 면이 있는 평행 맞대기 이음 용접
- ③ 부분 용입 한쪽면 K형 맞대기 이음 용접
- ④ 한쪽면 U형 홈 맞대기 이음 용접
등록된 댓글이 없습니다.
74. 접합하는 부재 한쪽에 둥근 구멍을 뚫고 판의 표면까지 가득하게 용접하고 다른 쪽 부재와 접합하여 용접하는 것은?
- ① 변두리 용접
- ② 플러그 용접
- ③ 플레어 용접
- ④ 플랜지 용접
등록된 댓글이 없습니다.
75. V형 맞대기 용접에서, 판 두께가 t[mm]이고, 용접선의 유효 길이가 ℓ[mm], 인장응력이 σ[kgf/mm]인 경우, 완전 용입으로 고려할 때 용접선 방향에 직각으로 작용하는 인장 하중 P[kgf]를 구하는 식은?
- ① P = σ × ℓ × t
- ② P = σ / t × ℓ
- ③ P = ℓ × t / σ
- ④ P = t / σ × ℓ
등록된 댓글이 없습니다.
76. 용접에서 홈 형태 중 가장 두꺼운 판에 적합한 것은?
- ① I 홈
- ② V 홈
- ③ J 홈
- ④ X 홈
등록된 댓글이 없습니다.
77. 용접이음이 리벳이음에 비하여 우수한 점이 아닌것은?
- ① 용접이음은 리벳이음에서의 리벳구멍에 의한 유효단면적이 감소되지 않으므로 이음 효율이 좋다.
- ② 수밀, 기밀, 유밀이 우수하다.
- ③ 설계상 제한이 적어 합리적 또는 창조적인 구조로 재작이 가능하다.
- ④ 좌굴변형이 강하고 진동의 경우에는 감쇠능이 강하다.
등록된 댓글이 없습니다.
78. 필릿 용접부의 용접비용 계산 방법에서 용접치수10mm의 필릿 용접부의 환산계수는 약 얼마인가?
- ① 8.2
- ② 6.1
- ③ 4.3
- ④ 2.8
등록된 댓글이 없습니다.
79. 다층 용접의 용착법에 해당되지 않는 것은?
- ① 피닝법
- ② 전진블록법
- ③ 빌드업법
- ④ 캐스케이드법
등록된 댓글이 없습니다.
80. 용접부의 크기나 구속도 및 용접부재의 흡수상태에 따른 용접조건 까지를 고려하여 용접부의 균열 발생 가능성을 평가하는 방법에 쓰이는 것은?
- ① 탄소 당량
- ② 용접균열지수
- ③ 용접균열감수성지수
- ④ 탄소량
등록된 댓글이 없습니다.
5과목 : 용접일반 및 안전관리
81. 용접입열 중 일반적으로 모재에 흡수되는 열량은 입열의 보통 몇% 정도인가?
- ① 25~45%
- ② 50~70%
- ③ 90~100%
- ④ 75~85%
등록된 댓글이 없습니다.
82. 불활성가스 텅스텐 아크 용접에서 틀린 설명은?
- ① 텅스텐 봉을 전극으로 사용한다.
- ② 불활성 가스로 아르곤과 헬륨을 사용한다.
- ③ 5mm 이상 두꺼운 판에만 사용한다.
- ④ 직류 또는 교류 용접기 모두 사용된다.
등록된 댓글이 없습니다.
83. 가스용접 작업 설명으로 맞는 것은?
- ① 반경강 모재의 용접에 사용되는 용제는 붕사 75%, 염화리튬 25% 이다.
- ② 산소-아세틸렌 불꽃은 불꽃심, 속불꽃, 겉불꽃의 3부분으로 구성되어 있다.
- ③ 전진법의 용접속도는 후진법에 비하여 빠르다.
- ④ 전전법의 홈 각도는 후진법에 비하여 작다.
등록된 댓글이 없습니다.
84. 불활성 가스 텅스텐 아크 용접으로 알루미늄을 용접 하려 한다. 모재의 녹, 먼지, 산화막 등을 제거하며 좋은 품질의 용접제품을 만들기 위하여 청정작용이 있는 전원을 사용하고자 할 때 청정 효과가 가장 높은 극성 연결은?
- ① 직류정극성
- ② 직류역극성
- ③ 교류역극성
- ④ 반극성
등록된 댓글이 없습니다.
85. 스터드 용접법의 종류가 아닌 것은?
- ① 아크 스터드 용접법
- ② 충격 스터드 용접법
- ③ 저항 스터드 용접법
- ④ 압력 스터드 용접법
등록된 댓글이 없습니다.
86. 납땜의 용제가 갖추어야 할 조건 중 틀린 것은?
- ① 납땜 후 슬래그의 제거가 용이할 것
- ② 모재나 땜납에 대한 부식작용이 최소한일 것
- ③ 청정한 금속면의 산화를 촉진할 것
- ④ 모재의 산화 피막과 같은 불순물을 제거하고 유동성이 좋을 것
등록된 댓글이 없습니다.
87. 용접법 중 압접법의 종류가 아닌 것은?
- ① 마찰용접
- ② 초음파용접
- ③ 테르밋용접
- ④ 저항용접
등록된 댓글이 없습니다.
88. 피복 아크 용접봉 중에서 내균열성이 가장 낮은 것은?
- ① 티탄계
- ② 고셀룰로스계
- ③ 일미나이트계
- ④ 저수소계
등록된 댓글이 없습니다.
89. 자동가스 절단에서 25mm 두께의 연강을 절단할 때 약 4.5m3/h 의 산소가 소비된다. 이 때 시간당 액체산소는 몇 ℓ가 필요한가? (단, 액체산소 1ℓ는 대기압에서 약 450ℓ의 산소 가스가 된다.)
- ① 12
- ② 20
- ③ 10
- ④ 15
등록된 댓글이 없습니다.
90. 용접방법 중에 용접대상물에 직접적으로 접촉하지 않고 용접할 수 있는 것은?
- ① 일렉트로 슬래그 용접
- ② 불활성가스 텅스텐 용접
- ③ 전자 빔 용접
- ④ 논 가스 아크 용접
등록된 댓글이 없습니다.
91. 접지 클램프르르 모재에 나쁘게(느슨하게) 연결하였을 때 어떤 현상이 나타나는가?
- ① 아크가 안정된다.
- ② 용접부의 용입이 불량하게 된다.
- ③ 용접기가 파손된다.
- ④ 전기의 소모가 줄어든다.
등록된 댓글이 없습니다.
92. 암모니아 가스 용기의 도색으로 맞는 것은?
- ① 회색
- ② 황색
- ③ 주황색
- ④ 백색
등록된 댓글이 없습니다.
93. 서브머지드 아크 용접ㅈ의 장점이 아닌 것은?
- ① 유해광선이나 흄 등의 발생이 적고, 비드 외관이 아름답다.
- ② 개선각을 작게 하여 용접의 패스수를 줄일 수 있다.
- ③ 용융속도와 용착속도가 느리고 용입이 얕다.
- ④ 인장강도, 연신율, 충격치 등 기계적 성질이 우수하다.
등록된 댓글이 없습니다.
94. 정격 2차 전류 200A의 용접기로 전류 150A로 용접할 경우, 이 용접기의 허용사용률은약 얼마인가? (단, 정격사용률은 50% 이다.)
- ① 79%
- ② 58%
- ③ 89%
- ④ 67%
등록된 댓글이 없습니다.
95. 이산화탄소 아크용접 시 작업자가 두통, 뇌빈혈을 일으키는 CO2의 체적은 얼마인가?
- ① 0.1%
- ② 3~4%
- ③ 15% 이상
- ④ 10% 이상
등록된 댓글이 없습니다.
96. 교류 아크 용접기 종류에 해당 되지 않는 것은?
- ① 가동 코일형
- ② 전동 발전형
- ③ 가포화 리액터형
- ④ 가동 철심형
등록된 댓글이 없습니다.
97. 용접조건이 같을 때 맞대기 이음의 1층에서 수축에 미치는 변태 팽창량이 가장 큰 것은?
- ① 연강
- ② 고장력강(HT 60)
- ③ 9% Ni 강
- ④ 고장력강(HT 80)
등록된 댓글이 없습니다.
98. 용접작업 시 화재 폭발예방에 관한 설명 중 옳지 못한 것은?
- ① 용접작업은 가연성 물질이 없는 안전한 장소를 선택한다.
- ② 작업 중에는 소화기를 준비하여 만일의 사고에 대비한다.
- ③ 가연성 가스나 인화성 물질이 들어있는 용기는 정으로 처서 분리시킨다.
- ④ 유류탱크는 증기로 세척한 후 통풍구멍을 개방하고 작업한다.
등록된 댓글이 없습니다.
99. 용접부의 검사법 중 용접성 시험에 해당되는 것은?
- ① 피로시험
- ② 부식시험
- ③ 파면시험
- ④ 노치취성시험
등록된 댓글이 없습니다.
100. 플라즈마 아크의 종류에 해당되지 않는 것은?
- ① 이행형 아크
- ② 단락형 아크
- ③ 비이행형 아크
- ④ 중간형 아크
등록된 댓글이 없습니다.