일반기계기사(2017. 3. 5.) 시험일자 : 2017년 3월 5일
1과목 : 재료역학
1. 그림과 같이 원형 단면의 원주에 접하는 x-x 축에 관한 단면 2차모멘트는?

- ①

- ②

- ③

- ④

등록된 댓글이 없습니다.
2. 그림과 같은 구조물에서 AB 부재에 미치는 힘은 몇 kN인가?

- ① 450
- ② 350
- ③ 250
- ④ 150
등록된 댓글이 없습니다.
3. 다음과 같은 평면응력상태에서 X축으로부터 반시계방향으로 30°회전 된 X′축 상의 수직응력(σx')은 약 몇 MPa인가?

- ① σx'=3.84
- ② σx'=-3.84
- ③ σx'=17.99
- ④ σx'=-17.99
등록된 댓글이 없습니다.
4. 그림과 같은 하중을 받고 있는 수직 봉의 자중을 고려한 총 신장량은? (단, 하중=P, 막대 단면적=A, 비중량=, 탄성계수=E이다.)

- ①

- ②

- ③

- ④

등록된 댓글이 없습니다.
5. 단면 2차모멘트가 251cm4인 I형강 보가 있다. 이 단면의 높이가 20cm라면, 굽힘 모멘트 M=2510Nㆍm을 받을 때 최대 굽힘 응력은 몇 MPa인가?(오류 신고가 접수된 문제입니다. 반드시 정답과 해설을 확인하시기 바랍니다.)
- ① 100
- ② 50
- ③ 20
- ④ 5
등록된 댓글이 없습니다.
6. 다음 그림과 같은 외팔보에 하중 P1, P2가 작용될 때 최대 굽힘 모멘트의 크기는?

- ① P1ㆍa+P2ㆍb
- ② P1ㆍb+P2ㆍa
- ③ (P1+P2)ㆍL
- ④ P1ㆍL+P2ㆍb
등록된 댓글이 없습니다.
7. 중공 원형 축에 비틀림 모멘트 T=100Nㆍm가 작용할 때, 안지름이 20mm, 바깥지름이 25mm라면 최대 전단응력은 약 몇 MPa인가?
- ① 42.2
- ② 55.2
- ③ 77.2
- ④ 91.2
등록된 댓글이 없습니다.
8. 직경 20mm인 구리합금 봉에 30kN의 축 방행 인장하중이 작용할 때 체적 변형률은 대략 얼마인가? (단, 탄성계수 E=100GPa, 포아송비 μ=0.3)
- ① 0.38
- ② 0.038
- ③ 0.0038
- ④ 0.00038
등록된 댓글이 없습니다.
9. 그림과 같은 단순보에서 보 중앙의 처짐으로 옳은 것은? (단, 보의 굽힘 강성 EI는 일정하고, M0는 모멘트, ℓ은 보의 길이이다.)

- ①

- ②

- ③

- ④

등록된 댓글이 없습니다.
10. 다음 중 좌굴(buckling) 현상에 대한 설명으로 가장 알맞은 것은?
- ① 보에 휨하중이 작용할 때 굽어지는 현상
- ② 트러스의 부재에 전단하중이 작용할 때 굽어지는 현상
- ③ 단주에 축방향의 인장하중을 받을 때 기둥이 굽어지는 현상
- ④ 장주에 축방향의 압축하중을 받을 때 기둥이 굽어지는 현상
등록된 댓글이 없습니다.
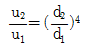
11. 동일한 길이와 재질로 만들어진 두 개의 원형단면 축이 있다. 각각의 지름이 d1, d2일 때 각 축에 저장되는 변형에너지 u1, u2의 비는? (단, 두 축은 모두 비틀림 모멘트 T를 받고 있다.)
- ①

- ②

- ③

- ④

등록된 댓글이 없습니다.
12. 직경 20mm인 와이어 로프에 매달린 100N의 중량물(W)이 낙하하고 있을 때, A점에서 갑자기 정지시키면 와이어 로프에 생기는 최대 응력은 약 몇 GPa 인가? (단, 와이어 로프의 탄성계수 E=20GPs이다.) (문제 오류로 실제 시험에서는 모두 정답처리 되었습니다. 여기서는 1번을 누르면 정답 처리 됩니다.)

- ① 0.93
- ② 1.13
- ③ 1.72
- ④ 1.93
등록된 댓글이 없습니다.
13. 그림과 같은 하중 P가 작용할 때 스프링의 변위 δ는? (단, 스프링 상수는 k이다.)

- ①

- ②

- ③

- ④

등록된 댓글이 없습니다.
14. 두께 10mm의 강판을 사용하여 직경 2.5m의 원통형 압력용기를 제작하였다. 용기에 작용하는 최대 내부 압력이 1200kPa일 때 원주응력(후프 응력)은 몇 MPa 인가?
- ① 50
- ② 100
- ③ 150
- ④ 200
등록된 댓글이 없습니다.
15. 열응력에 대한 다음 설명 중 틀린 것은?
- ① 재료의 선팽창 계수와 관계있다.
- ② 세로 탄성계수와 관계있다.
- ③ 재료의 비중과 관계있다.
- ④ 온도차와 관계있다.
등록된 댓글이 없습니다.
16. 다음 그림과 같은 양단 고정보 AB에 집중하중 P=14kN이 작용할 때 B점의 반력 RB[kN]는?

- ① RB=8.06
- ② RB=9.25
- ③ RB=10.37
- ④ RB=11.08
등록된 댓글이 없습니다.
17. 단순지지보의 중앙에 집중하중(P)이 작용한다. 점 C에서의 기울기를 M/EI선도를 이용하여 구하면? (단, E=재료의 종탄성계수, I=단면 2차 모멘트)

- ①

- ②

- ③

- ④

등록된 댓글이 없습니다.
18. 그림과 같이 증분포하중이 작용하는 보에서 최대 전단력의 크기는 몇 kN인가?

- ① 50
- ② 100
- ③ 150
- ④ 200
등록된 댓글이 없습니다.
19. 전단 탄선계수가 80GPa인 강봉(steel bar)에 전단응력이 1kPa로 발생했다면 이 부재에 발생한 전단변형률은?
- ① 12.5×10-3
- ② 12.5×10-6
- ③ 12.5×10-9
- ④ 12.5×10-12
등록된 댓글이 없습니다.
20. 길이가 l이고 원형 단면의 직경이 d인 외팔보의 자유단에 하중 P가 가해진다면, 이 회팔보의 전체 탄성에너지는? (단, 재료의 탄성계수는 E이다.)
- ①

- ②

- ③

- ④

등록된 댓글이 없습니다.
2과목 : 기계열역학
21. 다음에 열거한 시스템의 상태량 중 종량적 상태량인 것은?
- ① 엔탈피
- ② 온도
- ③ 압력
- ④ 비체적
등록된 댓글이 없습니다.
22. 열역학 제1법칙에 관한 설명으로 거리가 먼 것은?
- ① 열역학적계에 대한 에너지 보존법칙을 나타낸다.
- ② 외부에 어떠한 영향을 남기지 않고 계가 열원으로부터 받은 열을 모두 일로 바꾸는 것은 불가능하다.
- ③ 열은 에너지의 한 형태로서 일을 열로 변환하거나 열을 일로 변환하는 것이 가능하다.
- ④ 열을 일로 변환하거나 일을 열로 변환할 때, 에너지의 총량은 변하지 않고 일정하다.
등록된 댓글이 없습니다.
23. 폴리트로픽 과정 PVn=C에서 지수 n=∞인 경우는 어떤 과정인가?
- ① 등온과정
- ② 정적과정
- ③ 정압과정
- ④ 단열과정
등록된 댓글이 없습니다.
24. 온도 300K, 압력 100kPa 상태의 공기 0.2kg이 완전히 단열된 강체 용기 안에 있다. 패들(paddle)에 의하여 외부로부터 공기에 5kJ의 일이 행해질 때 최종 온도는 약 몇 K인가? (단, 공기의 정압비열과 정적비열은 각각 1.0035kJ/(kgㆍK), 0.7165kJ/(kgㆍK)이다.)
- ① 315
- ② 275
- ③ 335
- ④ 255
등록된 댓글이 없습니다.
25. 다음 냉동 사이클에서 열역학 제1법칙과 제2법칙을 모두 만족하는 Q1, Q2, W는?

- ① Q1=20kJ, Q2=20kJ, W=20kJ
- ② Q1=20kJ, Q2=30kJ, W=20kJ
- ③ Q1=20kJ, Q2=20kJ, W=10kJ
- ④ Q1=20kJ, Q2=15kJ, W=5kJ
등록된 댓글이 없습니다.
26. 1kg의 공기가 100℃를 유지하면서 등온 팽창하여 외부에 100kJ의 일을 하였다. 이 때 엔트로피의 변화량은 약 몇 kJ/(kgㆍK)인가?
- ① 0.268
- ② 0.373
- ③ 1.00
- ④ 1.54
등록된 댓글이 없습니다.
27. 300L 체적의 진공인 탱크가 25℃, 6MPa의 공기를 공급하는 관에 연결된다. 밸브를 열어 탱크 안의 공기 압력이 5MPa이 될 때까지 공기를 채우고 밸브를 닫았다. 이 과정이 단열이고 운동에너지와 위치에너지의 변화는 무시해도 좋을 경우에 탱크 안의 공기의 온도는 약 몇℃가 되는가? (단, 공기의 비열비는 1.4 이다.)
- ① 1.5℃
- ② 25.0℃
- ③ 84.4℃
- ④ 144.3℃
등록된 댓글이 없습니다.
28. Rankine 사이클에 대한 설명으로 틀린 것은?
- ① 응축기에서의 열방출 온도가 낮을수록 열효율이 좋다.
- ② 증기의 최고 온도는 터빈 재료의 내열특성에 의하여 제한된다.
- ③ 팽창일에 비하여 압축일이 적은 편이다.
- ④ 터빈 출구에서 건도가 낮을수록 효율이 좋아진다.
등록된 댓글이 없습니다.
29. 증기 터빈의 입구 조건은 3MPa, 350℃이고 출구의 압력은 30kPa이다. 이 때 정상 등엔트로피 과정으로 가정할 경우, 유체의 단위 질량당 터빈에서 발생되는 출력은 약 몇 kJ/kg인가? (단, 표에서 h는 단위질량당 엔탈피, s는 단위질량당 엔트로피이다.)

- ① 679.2
- ② 490.3
- ③ 841.1
- ④ 970.4
등록된 댓글이 없습니다.
30. 4kg의 공기가 들어 있는 체적 0.4m3의 용기(A)와 체적이 0.2m3인 진공의 용기(B)를 밸브로 연결하였다. 두 용기의 온도가 같을 때 밸브를 열어 용기 A와 B의 압력이 평형에 도달했을 경우, 이 계의 엔트로피 증가량은 약 몇 J/K인가? (단, 공기의 기치상수는 0.287kJ/(kgㆍK)이다.)
- ① 712.8
- ② 595.7
- ③ 465.5
- ④ 348.2
등록된 댓글이 없습니다.
31. 압력 5kPa, 체적이 0.3m3인 기체가 일정한 압력하에서 압축되어 0.2m3로 되었을 때 이 기체가 한 일은? (단, +는 외부로 기체가 일을 한 경우이고, -는 기체가 외부로부터 일을 받은 경우이다.)
- ① -1000J
- ② 1000J
- ③ -500J
- ④ 500J
등록된 댓글이 없습니다.
32. 14.33W의 전등을 매일 7시간 사용하는 집이 있다. 1개월(30일) 동안 약 몇 kJ의 에너지를 사용하는가?
- ① 10830
- ② 15020
- ③ 17420
- ④ 22840
등록된 댓글이 없습니다.
33. 오토 사이클로 작동되는 기관에서 실린더의 간극 체적이 행정 체적의 15%라고 하면 이론 열효율은 약 얼마인가? (단, 비열비 k-1.4이다.)
- ① 45.2%
- ② 50.6%
- ③ 55.7%
- ④ 61.4%
등록된 댓글이 없습니다.
34. 분자량이 M이고 질량이 2V인 이상기체 A가 압력p, 온도 T(절대온도)일 때 부피가 V이다. 동일한 질량의 다른 이상기체 B가 압력 2p, 온도 2T(절대온도)일 때 부피가 2V이면 이 기체의 분자량은 얼마인가?
- ① 0.5M
- ② M
- ③ 2M
- ④ 4M
등록된 댓글이 없습니다.
35. 다음 압력값 중에서 표준대기압(1 atm)과 차이가 가장 큰 압력은?
- ① 1 MPa
- ② 100 kPa
- ③ 1 bar
- ④ 100 hPa
등록된 댓글이 없습니다.
36. 물 1kg이 포화온도 120℃에서 증발할 때, 증발 잠열은 2203kJ이다. 증발하는 동안 물의 엔트로피 증가량은 약 몇 kJ/K 인가?
- ① 4.3
- ② 5.6
- ③ 6.5
- ④ 7.4
등록된 댓글이 없습니다.
37. 단열된 가스터빈의 입구 측에서 가스가 압력 2MPa, 온도 1200K로 유입되어 출구 측에서 압력 100kPa, 온도 600K로 유출된다. 5MW의 출력을 얻기 위한 가스의 질량유량은 약 몇 kg/s인가? (단, 터빈의 효율은 100%이고, 가스의 정압비열은 1.12kJ/(kgㆍK)이다.)
- ① 6.44
- ② 7.44
- ③ 8.44
- ④ 9.44
등록된 댓글이 없습니다.
38. 10℃에서 160℃까지 공기의 평균 정적비열은 0.7315kJ/(kgㆍK)이다. 이 온도 변화에서 공기 1kg의 내부에너지 변화는 약 몇 kJ인가?
- ① 101.1kJ
- ② 109.7kJ
- ③ 120.6kJ
- ④ 131.7kJ
등록된 댓글이 없습니다.
39. 이상적인 증기-압축 냉동사이클에서 엔트로피가 감소하는 과정은?
- ① 증발과정
- ② 압축과정
- ③ 팽창과정
- ④ 응축과정
등록된 댓글이 없습니다.
40. 피스톤-실린더 시스템에 100kPa의 압력을 갖는 1kg의 공기가 들어있다. 초기 체적은 0.5m3이고, 이 시스템에 온도가 일정한 상태에서 열을 가하여 부피가 1.0m3이 되었다. 이 과정 중 전달된 에너지는 약 몇 kJ인가?
- ① 30.7
- ② 34.7
- ③ 44.8
- ④ 50.0
등록된 댓글이 없습니다.
3과목 : 기계유체역학
41. 유체의 정의를 가장 올바르게 나타낸 것은?
- ① 아무리 작은 전단응력에도 저항할 수 없어 연속적으로 변형하는 물질
- ② 탄성계수가 0을 초과하는 물질
- ③ 수직응력을 가해도 물체가 변하지 않는 물질
- ④ 전단응력이 가해질 때 일정한 양의 변형이 유지되는 물질
등록된 댓글이 없습니다.
42. 지름 0.1mm이고, 비중이 7인 작은 입자가 비중이 0.8인 기름 속에서 0.01m/s의 일정한 속도로 낙하하고 있다. 이 때 기름의 점성계수는 약 몇 kg/(mㆍs)인가? (단, 이 입자는 기름 속에서 Stokes 법칙을 만족한다고 가정한다.)
- ① 0.003379
- ② 0.009542
- ③ 0.02486
- ④ 0.1237
등록된 댓글이 없습니다.
43. 체적 2×10-3m3의 돌이 물속에서 무게가 40N 이었다면 공기 중에서의 무게는 약 몇 N인가?
- ① 2
- ② 19.6
- ③ 42
- ④ 59.6
등록된 댓글이 없습니다.
44. 새로 개발한 스포츠카의 공기역학적 항력을 기온 25℃(밀도는 1.184kg/m3, 점성계수는 1.849×10-5(kg/(mㆍs)), 100km/h 속력에서 예측하고자 한다. 1/3 축척 모형을 사용하여 기온이 5℃(밀도는 1.269kg/m3, 점성계수는 1.754×10-5kg/(mㆍs))인 풍동에서 항력을 측정할 때 모형과 원형 사이의 상사를 유지하기 위해 풍동 내 공기의 유속은 약 몇 km/h 가 되어야 하는가?
- ① 153
- ② 266
- ③ 442
- ④ 549
등록된 댓글이 없습니다.
45. 안지름이 20mm인 수평으로 놓인 곧은 파이프 속에 점성계수 0.4Nㆍs/m2, 밀도 900kg/m3인 기름이 유량 2×10-5m3/s로 흐르고 있을 때, 파이프 내의 10m 떨어진 두 지점 간의 압력강하는 약 몇 kPa인가?
- ① 10.2
- ② 20.4
- ③ 30.6
- ④ 40.8
등록된 댓글이 없습니다.
46. 공기 중에서 질량이 166kg인 통나무가 물에 떠 있다. 통나무에 납을 매달아 통나무가 완전히 물속에 잠기게 하고자 하는데 필요한 납(비중:11.3)의 최소질량이 34kg 이라면 통나무의 비중은 얼마인가?
- ① 0.600
- ② 0.670
- ③ 0.817
- ④ 0.843
등록된 댓글이 없습니다.
47. 안지름 35cm인 원관으로 수평거리 2000m 떨어진 곳에 물을 수송하려고 한다. 24시간 동안 15000m3을 보내는 데 필요한 압력은 약 몇 kPa인가? (단, 관마찰계수는 0.032이고, 유속은 일정하게 송출한다고 가정한다.)
- ① 296
- ② 423
- ③ 537
- ④ 351
등록된 댓글이 없습니다.
48. 지면에서 계기압력이 200kPa인 급수관에 연결된 호스를 통하여 임의의 각도로 물이 분사될 때, 물이 최대로 멀리 도달할 수 있는 수평거리는 약 몇 m인가? (단, 공기저항은 무시하고, 발사점과 도달점의 고도는 같다.)
- ① 20.4
- ② 40.8
- ③ 61.2
- ④ 81.6
등록된 댓글이 없습니다.
49. 입구 단면적이 20cm2이고 출구 단면적이 10cm2인 노즐에서 물의 입구 속도가 1m/s일 때, 입구와 출구의 압력차이 P입구-P출구는 약 몇 kPa인가? (단, 노즐은 수평으로 놓여 있고 손실은 무시할 수 있다.)
- ① -1.5
- ② 1.5
- ③ -2.0
- ④ 2.0
등록된 댓글이 없습니다.
50. 뉴턴 유체(Newtonian fluid)에 대한 설명으로 가장 옳은 것은?
- ① 유체 유동에서 마찰 전단응력이 속도구배에 비례하는 유체이다.
- ② 유체 유동에서 마찰 전단응력이 속도구배에 반비례하는 유체이다.
- ③ 유체 유동에서 마찰 전단응력이 일정한 유체이다.
- ④ 유체 유동에서 마찰 전단응력이 존재하지 않는 유체이다.
등록된 댓글이 없습니다.
51. 지름의 비가 1:2인 2개의 모세관을 물속에 수직으로 세울 때, 모세관 현상으로 물이 관 속으로 올라가는 높이의 비는?
- ① 1:4
- ② 1:2
- ③ 2:1
- ④ 4:1
등록된 댓글이 없습니다.
52. 다음과 같은 비회전 속도장의 속도 퍼텐셜을 옳게 나타낸 것은? (단, 속도 퍼텐셜 ø는 로 정의되며, a와 C는 상수이다.)

- ①

- ②

- ③

- ④

등록된 댓글이 없습니다.
53. 경계층 밖에서 퍼텐셜 흐름의 속도가 10m/s일 때, 경계층의 두께는 속도가 얼마일 때의 값으로 잡아야 하는가? (단, 일반적으로 정의하는 경계층 두께를 기준으로 삼는다.)
- ① 10m/s
- ② 7.9m/s
- ③ 8.9m/s
- ④ 9.9m/s
등록된 댓글이 없습니다.
54. 그림과 같은 (1), (2), (3), (4)의 용기에 동일한 액체가 동일한 높이로 채워져 있다. 각 용기의 밑바닥에서 측정한 압력에 관한 설명으로 옳은 것은? (단, 가로 방향 길이는 모두 다르나, 세로 방향 길이는 모두 동일하다.)

- ① (2)의 경우가 가장 낮다.
- ② 모두 동일하다.
- ③ (3)의 경우가 가장 높다.
- ④ (4)의 경우가 가장 낮다.
등록된 댓글이 없습니다.
55. 지름 5cm의 구가 공기 중에서 매초 40m의 속도로 날아갈 때 항력은 약 몇 N인가? (단, 공기의 밀도는 1.23kg/m3이고, 항력계수는 0.6이다.)
- ① 1.16
- ② 3.22
- ③ 6.35
- ④ 9.23
등록된 댓글이 없습니다.
56. 다음 무차원 수 중 역학적 상사(inertia force)개념이 포함되어 있지 않은 것은?
- ① Froude number
- ② Reynolds number
- ③ Mach number
- ④ Fourier number
등록된 댓글이 없습니다.
57. 안지름 10cm의 원관 속을 0.0314m3/s의 물이 흐를 때 관 속의 평균 유속은 약 몇 m/s인가?
- ① 1.0
- ② 2.0
- ③ 4.0
- ④ 8.0
등록된 댓글이 없습니다.
58. 그림과 같이 속도 V인 유체가 속도 U로 움직이는 곡면에 부딪혀 90°의 각도로 유동방향이 바뀐다. 다음 중 유체가 곡면에 가하는 힘의 수평방향 성분 크기가 가장 큰 것은? (단, 유체의 유동단면적은 일정하다.)

- ① V=10m/s, U=5m/s
- ② V=20m/s, U=15m/s
- ③ V=10m/s, U=4m/s
- ④ V=25m/s, U=20m/s
등록된 댓글이 없습니다.
59. 원관 내의 완전 발달된 층류 유동에서 유체의 최대 속도(Vc)와 평균 속도(V)의 관계는?
- ① Vc=1.5V
- ② Vc=2V
- ③ Vc=4V
- ④ Vc=8V
등록된 댓글이 없습니다.
60. 비압축성 유동에 대한 Navier-Stokes 방정식에서 나타나지 않는 힘은?
- ① 체적력(중력)
- ② 압력
- ③ 점성력
- ④ 표면장력
등록된 댓글이 없습니다.
4과목 : 기계재료 및 유압기기
61. 마그네슘(Mg)의 특징을 설명한 것 중 틀린 것은?
- ① 감쇠능이 주철보다 크다.
- ② 소성가공성이 높아 상온변형이 쉽다.
- ③ 마그네슘(Mg)의 비중이 약 1.74이다.
- ④ 비강도가 커서 휴대용 기기 등에 사용된다.
등록된 댓글이 없습니다.
62. Al-Cu-Si계 합금의 명칭은?
- ① 실루민
- ② 라우탈
- ③ Y합금
- ④ 두랄루민
등록된 댓글이 없습니다.
63. 플라스틱을 결정성 플라스틱과 비경정성 플라스틱으로 나눌 때, 결정성 플라스틱의 특성에 대한 설명 중 틀린 것은?
- ① 수지가 불투명하다.
- ② 배향(Orientation)의 특성이 작다.
- ③ 굽힘, 휨, 뒤틀림 등의 변형이 크다.
- ④ 수지 용융시 많은 열량이 필요하다,
등록된 댓글이 없습니다.
64. 같은 조건하에서 금속의 냉각 속도가 빠르면 조직은 어떻게 변화하는가?
- ① 결정 입자가 미세해진다.
- ② 금속의 조직이 조대해진다.
- ③ 소수의 핵이 성장해서 응고된다.
- ④ 냉각 속도와 금속이 조직과는 관계가 없다.
등록된 댓글이 없습니다.
65. 자기변태의 설명으로 옳은 것은?
- ① 상은 변하지 않고 자기적 성질만 변한다.
- ② Fe-C 상태에서 자기변태점은 A3, A4이다.
- ③ 한 원소로 이루어진 물질에서 결정 구조가 바뀌는 것이다.
- ④ 원자 내부의 변화로 자기적 성질이 비연속적으로 변화한다.
등록된 댓글이 없습니다.
66. 탄소강이 950℃ 전후의 고온에서 적열메짐(red brittleness)을 일으키는 원인이 되는 것은?
- ① Si
- ② P
- ③ Cu
- ④ S
등록된 댓글이 없습니다.
67. 다음 중 비파괴 시험방법이 아닌 것은?
- ① 충격 시험법
- ② 자기 탐상 시험법
- ③ 방사선 비파괴 시험법
- ④ 초음파 탐상 시험법
등록된 댓글이 없습니다.
68. 공정주철(eutectic cast iron)의 찬소 함량은 약 몇 % 인가?
- ① 4.3%
- ② 0.80~2.0%
- ③ 0.025~0.80%
- ④ 0.025%이하
등록된 댓글이 없습니다.
69. A1 변태점 이하에서 인성을 부여하기 위하여 실시하는 가장 적합한 열처리는?
- ① 뜨임
- ② 풀림
- ③ 담금질
- ④ 노멀라이징
등록된 댓글이 없습니다.
70. 고속도강(SKH51)을 퀜칭, 템퍼링하여 HRC 64이상으로 하려면 퀜칭 온도(quenching temperature)는 약 몇 ℃ 인가?
- ① 720℃
- ② 910℃
- ③ 1220℃
- ④ 1580℃
등록된 댓글이 없습니다.
71. 그림과 같은 실리더에서 A측에서 3MPa의 압력으로 기름을 보낼 때 B측 출구를 막으면 B측에 발생하는 압력 PB는 몇 MPa인가? (단, 실린더 안지름은 50mm, 로드 지름은 25mm이며, 로드에는 부하가 없는 것으로 가정한다.)

- ① 1.5
- ② 3.0
- ③ 4.0
- ④ 6.0
등록된 댓글이 없습니다.
72. 오일 탱크의 구비 조건에 관한 설명으로 옳지 않은 것은?
- ① 오일 탱크의 바닥면은 바닥에서 일정 간격 이상을 유지하는 것이 바람직하다.
- ② 오일 탱크는 스트레이너의 삽입이나 불리를 용이하게 할 수 있는 출입구를 만든다.
- ③ 오일 탱크 내에 방해판은 오일의 순환거리를 짧게 하고 기포의 방출이나 오일의 냉각을 보존한다.
- ④ 오일 탱크의 용량은 장치의 운전중지 중 장치내의 작동유가 복귀하여도 지장이 없을 만큼의 크기를 가져야 한다.
등록된 댓글이 없습니다.
73. 방향전환밸브에 있어서 밸브와 주 관로를 접속시키는 구멍을 무엇이라 하는가?
- ① port
- ② way
- ③ spool
- ④ position
등록된 댓글이 없습니다.
74. 유압실린더에서 유압유 출구 측에 유량제어 밸브를 직렬로 설치하여 제어하는 속도제어 회로의 명칭은?
- ① 미터 인 회로
- ② 미터 아웃 회로
- ③ 블리드 온 회로
- ④ 블리드 오프 회로
등록된 댓글이 없습니다.
75. 유압 프레스의 작동원리는 다음 중 어느 이론에 바탕을 둔 것인가?
- ① 파스칼의 원리
- ② 보일의 법칙
- ③ 토리첼리의 원리
- ④ 아르키네데스의 원리
등록된 댓글이 없습니다.
76. 유압 용어를 설명한 것으로 올바른 것은?
- ① 서지압력:계통 내 흐름에 과도적인 변동으로 인해 발생하는 압력
- ② 오리피스:길이가 단면 치수에 비해서 비교적 긴 죔구
- ③ 초크:길이가 단면 치수에 비해서 비교적 짧은 죔구
- ④ 크래킹 압력:체크 밸브, 릴리프 밸브 등의 입구 쪽 압력이 강하하고, 밸브가 닫히기 시작하여 밸브의 누설량이 규정량까지 감소했을 때의 압력
등록된 댓글이 없습니다.
77. 가변 용량형 베인 펌프에 대한 일반적인 설명으로 틀린 것은?
- ① 로터와 링 사이의 편심량을 조절하여 토출량을 변화시킨다.
- ② 유압회로에 의하여 필요한 만큼의 유량을 토출할 수 있다.
- ③ 토출량 변화를 통하여 온도 상승을 억제시킬 수 있다.
- ④ 펌프의 수명이 길고 소음이 적은 편이다.
등록된 댓글이 없습니다.
78. 그림에서 표기하고 있는 밸브의 명칭은?

- ① 셔틀 밸브
- ② 파일럿 밸브
- ③ 서보 밸브
- ④ 교축전환 밸브
등록된 댓글이 없습니다.
79. 다음 중 점성계수의 차원으로 옳은 것은? (단, M은 질량, L은 길이, T는 시간이다.)
- ① ML-2T-1
- ② ML-1T-1
- ③ MLT-2
- ④ ML-2T-2
등록된 댓글이 없습니다.
80. 다음 필터 중 유압유에 혼입된 자성 고형물을 여과하는 데 가장 적합한 것은?
- ① 표면식 필터
- ② 적층식 필터
- ③ 다공체식 필터
- ④ 자기식 필터
등록된 댓글이 없습니다.
5과목 : 기계제작법 및 기계동력학
81. 질량 20kg의 기계가 스프링상수 10kN/m인 스프링 위에 지지되어 있다. 100N의 조화 가진력이 기계에 작용할 때 공진 진폭은 약 몇 cm인가? (단, 감쇠계수는 6kNㆍs/m 이다.)
- ① 0.75
- ② 7.5
- ③ 0.0075
- ④ 0.075
등록된 댓글이 없습니다.
82. 같은 차종인 자동차 B, C가 브레이크가 풀린 채 정지하고 있다. 이 때 같은 차종의 자동차 A가 1.5m/s의 속력으로 B와 충돌하면, 이후 B와C가 다시 충돌하게 되어 결국 3대의 자동차가 연쇄 충돌하게 된다. 이때, B와 C가 충돌한 직후 자동차 C의 속도는 약 몇 m/s인가? (단, 모든 자동차 간 반발계수는 e=0.75이다.)

- ① 0.16
- ② 0.39
- ③ 1.15
- ④ 1.31
등록된 댓글이 없습니다.
83. 원판 A와 B는 중심점이 각각 고정되어 있고, 고정점을 중심으로 회전운동을 한다. 원판 A가 정지하고 있다가 일정한 각가속도 αA=2rad/s2으로 회전한다. 이 과정에서 원판 A는 원판 B와 접촉하고 있으며, 두 원판 사이에 미끄럼은 없다고 가정한다. 원판 A가 10회전하고 난 직후 원판 B의 각속도는 약 몇 rad/s인가? (단, 원판 A의 반지름은 20cm, 원판 B의 반지름은 15cm 이다.)

- ① 15.9
- ② 21.1
- ③ 31.4
- ④ 62.8
등록된 댓글이 없습니다.
84. 1자유도 진동시스템의 운동방정식은 으로 나타내고 고유 진동수가 wn일 때 임계감쇠계수로 옳은 것은? (단, m은 질량, c는 감쇠계수, k는 스프링 상수를 나타낸다.)
- ①

- ②

- ③

- ④

등록된 댓글이 없습니다.
85. 회전하는 막대의 홈을 따라 움직이는 미끄럼 블록 P의 운동을 r과 θ로 나타낼 수 있다. 현재 위치에서 r=300mm, 이다. 미끄럼 블록 P의 가속도는 약 몇 m/s2인가?

- ① 0.01
- ② 0.001
- ③ 0.002
- ④ 0.005
등록된 댓글이 없습니다.
86. 질량과 탄성스프링으로 이루어진 시스템이 그림과 같이 높이 h에서 자유낙하를 하였다. 그 후 스프링의 반력에 의해 다시 튀어 오른다고 할 때 탄성스프링의 최대 변형량(xmax)은? (단, 탄성스프링 및 밑판의 질량은 무시하고 스프링 상수는 k, 질량은 m, 중력가속도는 g이다. 또한 아래 그림은 스프링의 변형이 없는 상태를 나타낸다.)

- ①

- ②

- ③

- ④

등록된 댓글이 없습니다.
87. 작은 공이 그림과 같이 수평면에 비스듬히 충돌한 후 튕겨 나갔을 경우에 대한 설명으로 틀린 것은? (단, 공과 수평면 사이의 마찰, 그리고 공의 회전은 무시하며 반발계수는 1이다.)

- ① 충돌 직전과 직후, 공의 운동량은 같다.
- ② 충돌 직전과 직후, 운동에너지는 보존된다.
- ③ 충동 과정에서 공이 받은 충격량과 수평면이 받은 충격량의 크기는 같다.
- ④ 공의 운동 방향이 수평면과 이루는 각의 크기는 충돌 직전과 직후가 같다.
등록된 댓글이 없습니다.
88. 스프링으로 지지되어 있는 어떤 물체가 매분 60회 반복하면서 상하로 진동한다. 만약 조화운동으로 움직인다면, 이 진동수를 rad/s 단위와 Hz로 옳게 나타낸 것은?
- ① 6.28 rad/s, 0.5Hz
- ② 6.28 rad/s, 1Hz
- ③ 12.56 rad/s, 0.5Hz
- ④ 12.56 rad/s, 01Hz
등록된 댓글이 없습니다.
89. 질량이 m, 길이가 L인 균일하고 가는 막대 AB가 A점을 중심으로 회전한다. θ=60°에서 정지 상태인 막대를 놓는 순간 막대 AB의 각가속도(α)는? (단, g는 중력가속도이다.)

- ①

- ②

- ③

- ④

등록된 댓글이 없습니다.
90. 무게가 5.3kN인 자동차가 시속 80km로 달릴 때 선형운동량의 크기는 약 몇 Nㆍs인가?
- ① 4240
- ② 8480
- ③ 12010
- ④ 16020
등록된 댓글이 없습니다.
91. 공작물의 길이가 340mm이고, 행정여유가 25mm, 절삭 평균속도가 15m/min일 때 셰이퍼의 1분간 바이트 왕복 횟수는 약 얼마인가? (단, 바이트 1왕복 시간에 대한 절삭 행정시간의 비는 3/5이다.)
- ① 20회
- ② 25회
- ③ 30회
- ④ 35회
등록된 댓글이 없습니다.
92. 방전가공의 특징으로 틀린 것은?
- ① 전극이 필요하다.
- ② 가공 부분에 변질 층이 남는다.
- ③ 전극 및 가공물에 큰 힘이 가해진다.
- ④ 통전되는 가공물은 경도와 관계없이 가공이 가능하다.
등록된 댓글이 없습니다.
93. 빌트 업 에지(built up edge)의 크기를 좌우하는 인자에 관한 설명으로 틀린 것은?
- ① 절삭속도 : 고속으로 절삭할수록 빌트 업에지는 감소된다.
- ② 칩 두께 : 칩 두께를 감소시키면 빌트 업에지의 발생이 감소한다.
- ③ 윗면 경사각 : 공구의 윗면 경사각이 클수록 빌트 업 에지는 커진다.
- ④ 칩의 흐름에 대한 저항 : 칩의 흐름에 대한 저항이 클수록 빌트 업 에지는 커진다.
등록된 댓글이 없습니다.
94. 단조에 관한 설명 중 틀린 것은?
- ① 열간단조에는 콜드 헤딩, 코이닝, 스웨이징이 있다.
- ② 자유 단조는 앤빌 위에 단조물을 고정하고 해머로 타격하여 필요한 형상으로 가공한다.
- ③ 형단조는 제품의 형상을 조형한 한 쌍의 다이 사이에 가열한 소재를 넣고 타격이나 높은 압력을 가하여 제품을 성형한다.
- ④ 업셋단조는 가열된 재료를 수평틀에 고정하고 한 쪽 끝을 돌출시키고 돌출부를 축 방향으로 압축하여 성형한다.
등록된 댓글이 없습니다.
95. 인발가공 시 다이의 압력과 마찰력을 감소시키기고 표면을 매끈하게 하기 위해 사용하는 윤활제가 아닌 것은?
- ① 비누
- ② 석회
- ③ 흑연
- ④ 사염화탄소
등록된 댓글이 없습니다.
96. 버니싱 가공에 관한 설명으로 틀린 것은?
- ① 주철만을 가공할 수 있다.
- ② 작은 지름의 구멍을 매끈하게 마무리할 수 있다.
- ③ 그릴, 리머 등 전단계의 기계가공에서 생긴 스크래치 등을 제어하는 작업이다.
- ④ 공작물 지름보다 약간 더 큰 지름의 볼(ball)을 압입 통과시켜 구명내면을 가공한다.
등록된 댓글이 없습니다.
97. 용접 시 발생하는 불량(결함)에 해당하지 않는 것은?
- ① 오버랩
- ② 언더컷
- ③ 용입불량
- ④ 콤퍼지션
등록된 댓글이 없습니다.
98. 밀링머신에서 직경 100mm, 날수 8인 평면커터로 절삭속도 30m/min, 절삭깉이 4mm, 이송속도 240m/min에서 절삭할 때 칩의 평균두께 tm(mm)는?
- ① 0.0584
- ② 0.0596
- ③ 0.0625
- ④ 0.0734
등록된 댓글이 없습니다.
99. 담금질한 강을 상온 이하의 적합한 온도로 냉각시켜 잔류 오스테나이트를 마르텐사이트 조직으로 변화시키는 것을 목적으로 하는 열처리 방법은?
- ① 심냉 처리
- ② 가공 경화법 처리
- ③ 가스 침탄법 처리
- ④ 석출 경화법 처리
등록된 댓글이 없습니다.
100. 얇은 판재로 된 목형은 변형되기 쉽고 주물의 두께가 균일하지 않으면 용융금속이 냉각 응고시에 내부응력에 의해 변형 및 균열이 발생 할 수 있으므로, 이를 방지하기 위한 목적으로 쓰고 사용한 후에 제거하는 것은?
- ① 구배
- ② 덧붙임
- ③ 수축 여유
- ④ 코어 프린트
등록된 댓글이 없습니다.