일반기계기사(2004. 3. 7.) 시험일자 : 2004년 3월 7일
1과목 : 재료역학
1. 아래 그림에서와 같이 단붙이 원형축(Stepped Circular Shaft)의 풀리에 토크가 작용하여 평형상태에 있다. 이 축에 발생하는 최대 전단응력은 몇 MPa 인가?

- ① 18.2
- ② 22.9
- ③ 41.3
- ④ 52.4
등록된 댓글이 없습니다.
2. σx= 500 Pa, σy= 300 Pa, τxy= 100 Pa인 그림과 같은 요소내에 발생하는 최대 주응력의 크기는 몇 Pa 인가?

- ① 341
- ② 441
- ③ 541
- ④ 641
등록된 댓글이 없습니다.
3. 한 점에서의 미소요소가 εx=340x10-6, εy=110x10-6, γxy=180x10-6 인 평면 변형률을 받을 때 이 점에서의 주 변형률은?
- ① 521x10-6
- ② 437x10-6
- ③ 371x10-6
- ④ 146x10-6
등록된 댓글이 없습니다.
4. 그림과 같이 단면의 치수가 8 mm x 24 mm인 강대가 인장력 P = 15 kN을 받고 있다. 그림과 같이 30° 경사진면에 작용하는 전단응력은 몇 MPa 인가?

- ① 19.5
- ② 29.3
- ③ 33.8
- ④ 67.6
등록된 댓글이 없습니다.
5. 재료가 축방향 하중을 받아 선형 탄성적으로 거동할 때 변형 에너지밀도(strain-energy density)를 구하는 식이 아닌 것은? (단, σ : 응력, ε: 변형률, E : 탄성계수)
- ①

- ②

- ③

- ④

등록된 댓글이 없습니다.
6. 단면 20cm x 30cm, 길이 6m의 목재로된 단순보의 중앙에 20 kN의 집중하중의 작용할 때, 최대 처짐(δ max)은? (단, 탄성계수 E = 10 GPa 이다.)

- ① 1.8㎝
- ② 2.0㎝
- ③ 1.5㎝
- ④ 2.4㎝
등록된 댓글이 없습니다.
7. 외경이 내경의 1.5배인 중공축과 재질과 길이가 같고 지름이 중공축의 외경과 같은 중실축이 동일 회전수에 동일 마력을 전달한다면, 이때 중실축에 대한 중공축의 비틀림 각의 비는 어느 것인가?
- ① 1.25
- ② 1.50
- ③ 1.75
- ④ 2.00
등록된 댓글이 없습니다.
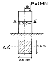
8. 그림과 같은 단주(短注)에서 편심거리 e=2 mm에 하중 P=1 MN의 압축하중이 작용할 때 발생하는 최대응력은 몇 MPa인가?

- ① 975
- ② 998
- ③ 1027
- ④ 1184
등록된 댓글이 없습니다.
9. 다음 그림과 같이 균일분포 하중(ω)을 받는 고정지지보에서 최대 처짐 δ max는 얼마 정도인가? (단, ℓ 은 고정지지보의 길이, E는 탄성계수(N/m2)Ⅰ는 단면 2차모멘트(m4)이다.)

- ①

- ②

- ③

- ④

등록된 댓글이 없습니다.
10. 탄성계수 E, 전단탄성계수 G, 프와송 비 μ사이의 관계식 중 옳은 것은?
- ①

- ②

- ③

- ④

등록된 댓글이 없습니다.
11. 동일재료로 만든 동일한 굽힘강도의 정사각형 단면보와 원형 단면보의 단면적비, 즉 정사각형 단면적/원형 단면 적의 값은 얼마인가?
- ① 0.89
- ② 0.98
- ③ 1.8
- ④ 0.64
등록된 댓글이 없습니다.
12. 한가지 재료(탄성계수 E)로 된 그림과 같은 원형 단면의 봉이 온도 t에서 to로 강하 되었을 때 ①의 부분과 ②의 부분의 응력의 비로 맞는 것은? (단, d1 = 1.41d2 이고, 선팽창 계수는 α 이다.)

- ①

- ②

- ③

- ④

등록된 댓글이 없습니다.
13. 단면적이 5 cm2, 길이가 60 cm인 연강봉을 천장에 매달고 20 ℃에서 0 ℃로 냉각시킬때 길이의 변화를 없게하려면 봉의 끝에 몇 kN의 추를 달아 주어야 하는가? (단, E=200 GPa, α =12x10-6/℃, 봉의 자중은 무시)
- ① 60
- ② 36
- ③ 30
- ④ 24
등록된 댓글이 없습니다.
14. 길이 240cm, 단면의 폭x높이 = 12cmx15cm의 단순보가 ωkN/m의 균일분포하중을 받고 있다. 이보의 허용굽힘응력 σa = 48 MPa일 때 허용할 수 있는 분포하중의 최대값은?
- ① 80
- ② 30
- ③ 40
- ④ 60
등록된 댓글이 없습니다.
15. 3200 N∙m의 비틀림모멘트를 받는 둥근축이 있다. 이 축의 허용 전단응력을 60 MPa이라 하면 축의 지름은 최소 몇cm로 해야 하는가?
- ① 4.06
- ② 6.48
- ③ 8.16
- ④ 10.28
등록된 댓글이 없습니다.
16. 다음과 같이 양단을 고정한 길이 ℓ , 단면적 A의 막대를 ΔT 만큼 온도를 올렸을때 막대에 생기는 응력 σ는? (단, 막대의 탄성계수를 E, 선팽창 계수를 α라 한다.)

- ① σ = -Eα ΔT
- ② σ = -Eα2ΔTA
- ③ σ = -EαΔTℓ
- ④ σ = -EαΔTℓ2
등록된 댓글이 없습니다.
17. 최대 사용강도(σmax)=240 MPa, 직경 1.5 m, 두께 3 ㎜의 강재 원통형 용기가 견딜 수 있는 압력은 몇 kPa 인가? (단, 안전계수(Sf)는 2이다.)
- ① 240
- ② 480
- ③ 960
- ④ 1920
등록된 댓글이 없습니다.
18. 양단이 단순지지된 길이 2m인 보에 균일분포 하중 w =800 kN/m가 작용할 때 최대 처짐각은? (단, 보 단면의 관성모멘트는 I = 500x106 mm4이고, 탄성계수는 E = 200 GPa이다.)
- ① 0.034°
- ② 0.153°
- ③ 0.278°
- ④ 0.361°
등록된 댓글이 없습니다.
19. 그림과 같은 보의 지점 반력 RA, RB 는?

- ① RA = 9.4 N, RB = 35.6 N
- ② RA = 10.1 N, RB = 34.9 N
- ③ RA = 15.4 N, RB = 29.6 N
- ④ RA = 16.9 N, RB = 28.1 N
등록된 댓글이 없습니다.
20. 직경 d인 원형단면의 원주에 접하는 축에 관한 단면 2차 모멘트는?
- ①

- ②

- ③

- ④

등록된 댓글이 없습니다.
2과목 : 기계열역학
21. 카르노사이클로 작동되는 열기관이 600K에서 800 kJ의 열을 받아 300K에서 방출한다면 일은 몇 kJ인가?
- ① 200
- ② 400
- ③ 500
- ④ 900
등록된 댓글이 없습니다.
22. 가정용 냉장고를 이용하여 겨울에 난방을 할 수 있다고 주장하였다면 이 주장은 이론적으로 열역학법칙과 어떠한 관계를 갖겠는가?
- ① 열역학 1법칙에 위배된다.
- ② 열역학 2법칙에 위배된다.
- ③ 열역학 1, 2법칙에 위배된다.
- ④ 열역학 1, 2법칙에 위배되지 않는다.
등록된 댓글이 없습니다.
23. 초기온도와 압력이 50℃, 600kPa인 단위 중량의 질소가 100kPa까지 가역 단열팽창 하였다. 이 때 온도는 몇 K 인가? (단, 비열비 k=1.4 이다.)
- ① 194
- ② 294
- ③ 467
- ④ 539
등록된 댓글이 없습니다.
24. -4 ℃의 얼음 1kg을 18 ℃의 물로 만드는데 필요한 열량은 몇 kJ인가 ? (단, 물의 비열은 4 kJ/(kg℃), 얼음의 비열은 2 kJ/(kg℃), 얼음의 융해열은 340 kJ/kg이다.)
- ① 340
- ② 380
- ③ 420
- ④ 460
등록된 댓글이 없습니다.
25. 이상 오토사이클의 압축초기 공기는 100 kPa, 17℃ 이다. 등적과정에서 700 kJ/kg의 열을 받았다면 사이클의 최고 압력과 온도는 얼마인가? (단, 공기의 비열비 k = 1.4 이고, 정압비열 cp = 1003 J/kg 이다. 이상 오토사이클의 압축비는 8이다.)
- ① 4.21 MPa, 1752 K
- ② 1.84 MPa, 666.6 K
- ③ 4.53 MPa, 666.6 K
- ④ 4.53 MPa, 1643 K
등록된 댓글이 없습니다.
26. 다음중 이상기체의 정적비열(Cv)과 정압비열(Cp)에 관한 관계식 중 옳은 것은? (단, R은 일반기체상수)
- ① Cv - Cp = 0
- ② Cv + Cp = R
- ③ Cp - Cv = R
- ④ Cv - Cp = R
등록된 댓글이 없습니다.
27. 시스템의 열역학적 상태를 기술하는 데 열역학적 상태량(또는 성질)이 사용된다. 다음 중 열역학적 상태량으로 올바르게 짝지어진 것은?
- ① 열, 일
- ② 엔탈피, 엔트로피
- ③ 열, 엔탈피
- ④ 일, 엔트로피
등록된 댓글이 없습니다.
28. 다음 사항은 기계열역학에서 일과 열(熱)에 대한 설명이 다. 이 중 틀린 것은?
- ① 일과 열은 전달되는 에너지이지 열역학적 성질은 아니다.
- ② 일의 기본단위는 J(joule)이다.
- ③ 일(work)의 크기는 무게(힘)와 힘이 작용하는 거리를 곱한 값이다.
- ④ 일과 열은 점함수이다.
등록된 댓글이 없습니다.
29. 잘 단열된 축전지를 전압 12 V, 전류 3 A로 1시간 충전한다. 축전지를 시스템으로 삼아 1시간 동안 행한 일과 열을 구하면?
- ① 일 = 36.0 kJ, 열 = 0.0 kJ
- ② 일 = 0.0 kJ, 열 = 36.0 kJ
- ③ 일 = 129.6 kJ, 열 = 0.0 kJ
- ④ 일 = 0.0 kJ, 열 = 129.6 kJ
등록된 댓글이 없습니다.
30. 발전소 계통에 대해 맞는 말은?
- ① 펌프 일은 터빈 일에 비해 약간 작다.
- ② 원자력 발전소에서 증기동력 사이클은 1차계통으로 부른다.
- ③ 발전소는 바다와 강가에 위치한다고 경제성이 좋다고 볼 수 없다.
- ④ 터빈 출구 건도가 1보다 작으면 터빈을 손상시킬 수 있다.
등록된 댓글이 없습니다.
31. 압축기에 의한 공기의 압축과정을 PVn=일정인 과정으로 볼 때 소요동력이 가장 작은 것은?
- ① n=1
- ② n=1.2
- ③ n=1.4
- ④ n=1.6
등록된 댓글이 없습니다.
32. 계의 경계를 통하여 물질이나 에너지 전달이 없는 계는 다음 어느 것인가 ?
- ① 밀폐계 (closed system)
- ② 고립계 (isolated system)
- ③ 단열계 (adiabatic system)
- ④ 개방계 (open system)
등록된 댓글이 없습니다.
33. 물의 증발 잠열은 101.325kPa에서 2257kJ/kg 이고, 비체적은 0.00104m3/kg에서 1.67m3/kg으로 변화한다. 이 증발 과정에 있어서 내부에너지의 변화량(kJ/kg)은?
- ① 237.5
- ② 2375
- ③ 208.8
- ④ 2088
등록된 댓글이 없습니다.
34. 카르노 사이클로 작동되는 기관이 고온체에서 100kJ의 열을 받아들인다. 이 기관의 열효율이 30%라면 방출되는 열량(kJ)은?
- ① 30
- ② 50
- ③ 60
- ④ 70
등록된 댓글이 없습니다.
35. 다음 중 물질의 엔트로피가 증가한 경우는?
- ① 컵에 있는 물이 증발하였다.
- ② 목욕탕의 수증기가 차가운 타일 벽에 물로 응결 되었다.
- ③ 실린더 안의 공기가 가역 단열적으로 팽창되었다.
- ④ 뜨거운 커피가 식어서 주위온도와 같게 되었다.
등록된 댓글이 없습니다.
36. 분자량이 4 정도인 헬륨의 기체상수는 몇 kJ/㎏∙K 에 해당하는가?
- ① 28
- ② 2.08
- ③ 0.287
- ④ 212
등록된 댓글이 없습니다.
37. 증기 터빈에서의 상태 변화 중 가장 이상적인 과정은?
- ① 가역 정압 과정
- ② 가역 단열 과정
- ③ 가역 정적 과정
- ④ 가역 등온 과정
등록된 댓글이 없습니다.
38. 초기에 300 K, 150 kPa 인 공기 0.5 m3을 등온과정으로 600 kPa까지 천천히 압축하였다. 이 과정동안 일을 계산하면?
- ① -104 kJ
- ② -208 kJ
- ③ -52 kJ
- ④ -312 kJ
등록된 댓글이 없습니다.
39. 터빈을 통과 하는 증기가 한 일이 360kJ/kg이고, 증기의 유량이 200kg/h 일때 터빈의 출력은?
- ① 20 ㎾
- ② 2000 ㎾
- ③ 3600 ㎾
- ④ 72000 ㎾
등록된 댓글이 없습니다.
40. 다음 그림과 같은 증기압축 냉동 사이클에서 성능계수를 표시하는 식은? (단, h는 엔탈피, T는 절대온도, S는 엔트로피이다.)

- ①

- ②

- ③

- ④

등록된 댓글이 없습니다.
3과목 : 기계유체역학
41. 이상기체를 등온 압축시킬 때 체적탄성계수는? (단, P는 압력, k는 비열비이다.)
- ① P
- ② kP
- ③ k/P
- ④ 1/P
등록된 댓글이 없습니다.
42. 유동의 박리(separation)에 대한 설명중 틀린 것은?
- ① 급 확대관에서 생기기 쉽다.
- ② 압력이 유동방향으로 감소할 때 생긴다.
- ③ 박리점에서의 전단응력은 영이다.
- ④ 박리현상은 손실을 유발한다.
등록된 댓글이 없습니다.
43. 다음 중 포텐셜 유동에 대한 설명으로 옳지 않은 것은?
- ① 포텐셜 유동에서는 점성저항이 없다.
- ② 유동(유선)함수가 존재하는 유동은 포텐셜유동이다.
- ③ 포텐셜 유동은 비회전 유동이다.
- ④ 포텐셜 유동에서는 같은 유선 상에 있지 않은 두 곳에서도 베르누이방정식이 성립한다.
등록된 댓글이 없습니다.
44. 그림과 같이 피토 정압관이 설치된 원관 속을 흐르는 공기의 유량은 몇 m3/s 인가? (단, 공기는 비압축성, 이상유체로 가정하며, 밀도는 1.2 kg/m3이다.)

- ① 0.02
- ② 0.2
- ③ 0.55
- ④ 1.25
등록된 댓글이 없습니다.
45. 액체 속에 잠겨 있는 곡면(AB)에 작용하는 힘의 수평분력은?
- ① 곡면의 수직 상방에 있는 액체의 무게와 같다.
- ② 곡면에 의하여 유지된 액체의 무게와 같다.
- ③ 곡면을 수직평면에 투영시킨 면에 작용하는 힘과 같다.
- ④ 곡면을 수평평면에 투영시킨 면에 작용하는 힘과 같다.
등록된 댓글이 없습니다.
46. 정상, 균일 유동속에 유동 방향과 평행하게 놓여진 평판 위에 발생하는 층류 경계층의 두께 δ 는 x를 평판선단으로 부터의 거리라 할 때 다음 어느 값에 비례하는가?
- ① x1/2
- ② x1/3
- ③ x1/5
- ④ x-1/2
등록된 댓글이 없습니다.
47. 표준 대기압하에서 온도 20℃인 건조공기의 점성계수는 1.845x10-5 N∙s/m2이다. 동점성 계수(m2/s)는? (단, 공기의 밀도는 1.23 kg/m3이다.)
- ① 1.5x10-3
- ② 1.5x10-4
- ③ 1.5x10-5
- ④ 1.5x10-6
등록된 댓글이 없습니다.
48. 출력이 450kW인 터빈을 통과하는 물이 초당 0.6m3이다. 이 때 터빈의 수두는 약 몇 m인가? (단, 터빈의 효율은 87%이다.)
- ① 88
- ② 78
- ③ 1
- ④ 11
등록된 댓글이 없습니다.
49. 공기 중에서 무게가 900N 인 돌이 물에 잠겨 있다. 물속에서의 무게가 400N 이라면, 이 돌의 체적과 비중은 각각 얼마인가? (단, 물의 밀도는 1000 kg/m3 이다.)
- ① 0.051 m3, 1.8
- ② 0.51 m3, 1.8
- ③ 0.051 m3, 3.6
- ④ 0.51 m3, 3.6
등록된 댓글이 없습니다.
50. 비중 0.9, 점성계수 5 x 10-3 N∙s/m2 의 기름이 안지름 15㎝ 의 원형관 속을 0.6 m/s의 속도로 흐를 경우 레이놀즈수는 약 얼마인가?
- ① 16200
- ② 2755
- ③ 1651
- ④ 3120
등록된 댓글이 없습니다.
51. 원관 내 완전히 발달된 난류 속도분포 [R : 반지름] 에 대한 단면 평균속도는 중심속도 u0 의 몇 배인가?
- ① 0.5
- ② 0.571
- ③ 0.667
- ④ 0.817
등록된 댓글이 없습니다.
52. 길이가 5 mm이고 발사속도가 400m/s인 탄환의 항력을 10배 큰 모형을 사용하여 물속에서 측정하려고 한다. 실형과 모형사이에 역학적 상사가 성립하면 실험실에서 측정한 모형의 항력이 10 N이라면 실제 탄환에 작용하는 항력은 몇 N 인가? (단, 공기의 점성계수는 2x10-5 kg/(m · s), 밀도는 1.2kg/m3, 물의 점성계수는 0.001 kg/(m · s)라고 한다)
- ① 1/3
- ② 1
- ③ 3.33
- ④ 33.3
등록된 댓글이 없습니다.
53. 수면의 높이가 지면에서 h인 물통벽에 구멍을 뚫고 지면에 분출시킬 때 지면을 기준으로 구멍을 어디에 뚫어야 가장 멀리 떨어질 것인가?
- ①

- ②

- ③

- ④

등록된 댓글이 없습니다.
54. 그림에서 마찰을 무시하고, 날개가 제트의 방향을 180° 바꾼다고 했을 때 제트에 의해서 날개에 작용하는 힘의 크기는 몇 N인가?

- ① 2010
- ② 4020
- ③ 8040
- ④ 6200
등록된 댓글이 없습니다.
55. 그림과 같은 U자관 차압마노미터가 있다. 비중 S1=0.9, S2=13.6, S3=1.2이고 h1=10 cm, h2=30 cm, h3=20 cm일 때 PA - PB는 얼마인가?

- ① 41.5 kPa
- ② 28.8 kPa
- ③ 41.5 Pa
- ④ 28.8 Pa
등록된 댓글이 없습니다.
56. 20℃의 물이 지름 2㎝의 원관속을 흐르고 있다. 층류로 흐를 수 있는 최대 평균속도는 몇 m/s 인가? (단, 임계 레이놀즈수는 2100 이며 20 ℃ 물의 동점성 계수는 1.005x10-6 m2/s이다.)
- ① 24.5
- ② 10.5
- ③ 2.45
- ④ 0.105
등록된 댓글이 없습니다.
57. 다음 중 음속 a를 구하는 식이 아닌 것은? (단, P:절대압력, ρ:밀도, T:절대온도, R:기체상수, E:체적탄성계수, k:비열비, g:중력가속도, ν:동성점계수)
- ①

- ②

- ③

- ④

등록된 댓글이 없습니다.
58. 길이 100m인 배가 10m/s의 속도로 항해한다. 길이 2m인 모형배를 만들어 조파저항을 측정한 후 원형배의 조파저항을 구하고자 동일한 조건의 해수에서 실험을 하고자 한다. 모형배의 속도를 몇 m/s 로 하면 되겠는가?
- ① 500
- ② 70.7
- ③ 0.2
- ④ 1.41
등록된 댓글이 없습니다.
59. 흐르는 물의 속도가 1.4 m/s일 때 속도 수두는?
- ① 0.2m
- ② 10m
- ③ 0.1m
- ④ 1m
등록된 댓글이 없습니다.
60. 안지름 0.1 m인 파이프 내를 평균 유속 5 m/s로 어떤 액체가 흐르고 있다. 길이 100 m 사이의 손실수두는 몇 m인가? (단, 관 내의 흐름으로 레이놀즈수는 1000 이다.)
- ① 81.6
- ② 40
- ③ 16.32
- ④ 50
등록된 댓글이 없습니다.
4과목 : 기계재료 및 유압기기
61. 금속이 고체상태에서 전기전도도가 좋은 이유는?
- ① 자유전자를 갖기 때문에
- ② 중량이 크기 때문에
- ③ 고체상태에서 결정구조를 갖기 때문에
- ④ 변태의 성질을 갖기 때문에
등록된 댓글이 없습니다.
62. 금속재료의 표면에 강이나 주철의 작은 입자들을 고속으로 분산시켜, 표면층을 가공경화에 의하여 경도를 높이는 방법은?
- ① 금속 침투법
- ② 하드 페이싱(hard facing)
- ③ 숏 피닝(shot peening)
- ④ 고체침탄법
등록된 댓글이 없습니다.
63. 다음 양은에 대한 설명 중 잘못된 것은?
- ① 전기저항이 높고 내열, 내식성이 좋다.
- ② 담금질후 시간 경과와 더불어 경화한다.
- ③ 황동에 니켈 10∼20% 정도 첨가한 것이다.
- ④ 니켈은 주조성 및 단조성을 좋게한다.
등록된 댓글이 없습니다.
64. 담금질(Quenching)의 냉각제에 대하여 설명한 것이다. 틀린 것은?
- ① 액온 - 비교적 낮은 쪽이 좋다.
- ② 비등점 - 낮은 편이 좋다.
- ③ 비열 - 큰 편이 좋다.
- ④ 열전도도 - 높은 편이 좋다.
등록된 댓글이 없습니다.
65. 유압 작동유의 점도가 높을 경우 유압장치에 미치는 영향 설명으로 올바른 것은 ?
- ① 유압펌프에서 캐비테이션이 잘 발생되지 않는다.
- ② 유압펌프의 동력 손실이 감소하여 기계효율이 높아진다.
- ③ 유동에 따르는 압력손실이 증가한다.
- ④ 제어밸브나 실린더의 응답성이 좋아 진다.
등록된 댓글이 없습니다.
66. 출력이 7.5[㎾], 회전수 1400[rpm]인 유압 모터의 토크는 몇 [kgf · m]인가?
- ① 약 2.4
- ② 약 4.3
- ③ 약 5.2
- ④ 약 6.1
등록된 댓글이 없습니다.
67. 다음 중 주철의 성장원인으로서 틀린 것은?
- ① Fe3C 흑연화 억제에 의한 팽창
- ② 가열 냉각 반복에 의한 팽창
- ③ 고용원소인 Si의 산화에 의한 팽창
- ④ 흡수되어 있는 가스에 의한 팽창
등록된 댓글이 없습니다.
68. 유압펌프 토출압력이 60kgf/cm2, 토출유량은 30 ℓ / min인 경우 펌프의 동력은 약 몇 kW 인가?
- ① 0.294
- ② 2.94
- ③ 29.4
- ④ 294
등록된 댓글이 없습니다.
69. 인청동의 특징이 아닌 것은?
- ① 내식성이 크다.
- ② 내산성이 크다.
- ③ 탄성이 크다.
- ④ 내마멸성이 크다.
등록된 댓글이 없습니다.
70. 다음 중 특수강의 목적과 상이한 점은?
- ① 내마멸성, 내식성 증대
- ② 고온강도 저하
- ③ 전기저항 증대
- ④ 담금질 용이
등록된 댓글이 없습니다.
71. 유압 시스템에서 실린더가 불규칙적으로 작동되고 있을 때, 그 주요 원인이 아닌 것은?
- ① 밸브의 작동 불량
- ② 펌프의 성능 불량
- ③ 과부하 작동
- ④ 작동유 과다
등록된 댓글이 없습니다.
72. 철강의 열처리에서 상부 임계 냉각속도(upper critical cooling velocity)에서 마텐자이트가 나타나는 것은?
- ① Ar' 변태가 일어나는 냉각속도
- ② Ar'와 Ar" 변태가 동시에 나타나는 냉각속도
- ③ Ar" 변태가 나타나는 냉각속도
- ④ Ar'나 Ar" 변태가 일어나지 않게되는 냉각속도
등록된 댓글이 없습니다.
73. 다음 중 유체의 점성 계수(μ)에 정비례하는 운동은?
- ① 층류 운동
- ② 마찰 운동
- ③ 점성 운동
- ④ 무차원 운동
등록된 댓글이 없습니다.
74. 두개 이상의 분기회로에서 실린더나 모터의 작동 순서를 부여해 주는 밸브는?
- ① 체크 밸브
- ② 셔틀 밸브
- ③ 스로틀 밸브
- ④ 시퀀스 밸브
등록된 댓글이 없습니다.
75. 유량제어 밸브를 실린더의 출구쪽에 설치해서 귀환유의 유량을 제어함으로서 실린더 속도를 제어하는 회로는?
- ① 미터 아웃 회로
- ② 블리드 오프 회로
- ③ 차동 회로
- ④ 카운터밸런스 회로
등록된 댓글이 없습니다.
76. 주철에서 강도가 가장 큰 흑연 현상은?
- ① 미세한 편상
- ② 구상
- ③ 괴상
- ④ 조대한 괴상
등록된 댓글이 없습니다.
77. 일반적으로 유압 펌프의 크기(용량)는 무엇으로 결정하는가?
- ① 속도와 무게
- ② 압력과 속도
- ③ 압력과 토출량
- ④ 토출량과 속도
등록된 댓글이 없습니다.
78. 보기와 같은 유압회로의 명칭으로 가장 적합한 것은?

- ① 감속회로
- ② 감압회로
- ③ 언로드 회로
- ④ 로크 회로
등록된 댓글이 없습니다.
79. 어큐뮬레이터(accumulator)의 용도가 아닌 것은?
- ① 불순물 여과
- ② 유압펌프의 맥동제거
- ③ 충격압력 흡수
- ④ 에너지 축적용
등록된 댓글이 없습니다.
80. 제강에서 킬드 강은?
- ① 탈탄하지 않은 강
- ② 용강 중의 가스를 규소철, 망간철, AI등으로 탈산하여 기공이 생기지 않도록 진정(鎭靜)시킨 강
- ③ 탈산의 정도를 적당히 하여 수축관을 짧게하고 절단 제거부를 짧게한 강
- ④ 불완전 탈산시킨 강
등록된 댓글이 없습니다.
5과목 : 기계제작법 및 기계동력학
81. 그림과 같이 경사진 표면에 50kg의 블록이 놓여있고 이 블록은 질량이 m인 추와 연결되어 있다. 경사진 표면과 블록사이의 마찰계수를 0.5라 할 때 이 블록을 경사면으로 끌어올리기 위한 추의 최소 질량은 몇 kg 인가?

- ① 47.7
- ② 46.7
- ③ 45.7
- ④ 44.7
등록된 댓글이 없습니다.
82. 모재를 (+)극에, 용접봉을 (-)극에 연결하는 용접법은?
- ① 정극성
- ② 역극성
- ③ 비용극성
- ④ 용극성
등록된 댓글이 없습니다.
83. 프레스를 이용한 단조에서 유효 단조 면적이 150cm2, 가공재료의 변형저항이 20kg/mm2, 기계효율을 80%로 하면 프레스의 용량은?
- ① 3750 ㎏
- ② 37500 ㎏
- ③ 24 ton
- ④ 375 ton
등록된 댓글이 없습니다.
84. 열처리에서 순철의 A2 변태는?
- ① δ ⇄ γ 읕의 변태점
- ② α 고용체의 자기 변태점
- ③ α 고용체에 대한 탄소의 최대 고용도를 갖는점
- ④ γ 고용체로 부터 읓 고용체를 석출하는 점
등록된 댓글이 없습니다.
85. 다음 탭에 관한 설명 중에서 옳은 것은?
- ① 1/16 테이퍼의 파이프탭은 기밀을 필요로 하는 부분에 태핑을 하는 데 쓰인다.
- ② 핸드탭등경 1번탭으로 나사를 깎을 때에는 탭구멍 입구에 모떼기 할 필요가 없다.
- ③ 핸드탭등경 1번탭은 약간에 테이퍼를 주어 탭구멍에 잘 들어가게 하며 이 테이퍼부는 절삭을 하지 않고 나사부의 안내가 된다.
- ④ 탭의 드릴 사이즈 d는 나사의 호칭 지름을 D, 피치를 p라고 하면 d = D -3p로 계산된다.
등록된 댓글이 없습니다.
86. 감쇠비가 0.0681인 감쇠 자유진동에서 서로 이웃하고 있는 2개 사이클의 진폭비는?
- ① 0.429
- ② 1.54
- ③ 4.29
- ④ 15.4
등록된 댓글이 없습니다.
87. 다음 1자유도 감쇠 진동계의 감쇠비는?

- ① 0.1625
- ② 0.325
- ③ 0.4875
- ④ 0.65
등록된 댓글이 없습니다.
88. 인벌류우트 곡선을 그리는 원리를 이용하여 기어를 절삭하는 가공방법은 ?
- ① 랙커터에 의한 방법
- ② 형판에 의한 방법
- ③ 총형커터에 의한 방법
- ④ 창성법
등록된 댓글이 없습니다.
89. 숫돌의 색이 녹색이며 초경 합금의 연삭에 사용하는 것은?
- ① D 숫돌
- ② A 숫돌
- ③ WA 숫돌
- ④ GC 숫돌
등록된 댓글이 없습니다.
90. 구멍의 내면을 가장 정밀하게 가공하는 방법은?
- ① 드릴링(Drilling)
- ② 보링 (Boring)
- ③ 리밍(Reaming)
- ④ 호우닝 (Honing)
등록된 댓글이 없습니다.
91. 공작물의 절삭속도(V)를 구하는 올바른 공식은? (단, d : 공작물의지름(m), n : 공작물의 회전수(r∙p∙m), V : 절삭속도(m/min)라 한다.)
- ①

- ②

- ③ V = π · d· n
- ④ V = 2(π · d· n)
등록된 댓글이 없습니다.
92. 금속재료에 처음 한 방향으로 하중을 가하고, 다음에 반대 방향으로 하중을 가하였을 때, 전자보다는 후자의 경우가 비례한도가 저하한다. 이 현상은?
- ① 크리프 현상
- ② 바우싱거 효과
- ③ 피로 현상
- ④ 탄성파손 효과
등록된 댓글이 없습니다.
93. 원판의 회전운동에서 어떤점 P 에서의 접선 가속도가 10m/s2, 법선가속도가 5m/s2일 때, 이 점의 가속도의 크기는 몇 m/s2인가?
- ① 2.2
- ② 3.9
- ③ 7.1
- ④ 11.2
등록된 댓글이 없습니다.
94. 길이가 2ℓ 인 단진자의 주기는 길이가 ℓ 인 단진자의 주기의 몇 배가 되는가?
- ① 0.5배이다
- ② √2 배이다
- ③ √2 π 배이다
- ④ 2배이다
등록된 댓글이 없습니다.
95. 블록게이지의 특징 중 틀린 것은?
- ① 측정면이 서로 밀착하는 특성을 가지고 있으나, 몇 개의 수로 많은 치수기준을 얻을 수 없다.
- ② 표시하는 길이의 정밀도가 매우 높다.
- ③ 손쉽게 사용할 수 있다.
- ④ 광파장으로부터 직접 길이를 측정할 수 있다.
등록된 댓글이 없습니다.
96. 10° 경사면에 놓인 질량 100 kg인 물체에 수평방향의 힘 500 N을 가하여 경사면 위로 밀어올린다. 경사면의 마찰계수가 0.2이라면 2m를 움직인 뒤의 물체의 속도는?

- ① 1.1 m/s
- ② 2.1 m/s
- ③ 3.1 m/s
- ④ 4.1 m/s
등록된 댓글이 없습니다.
97. 그림과 같은 진동계에서 상당 스프링 계수 k는?

- ① k=k1+k2
- ②

- ③ k=k1×k2
- ④ k=k1/k2
등록된 댓글이 없습니다.
98. 으로 표현되는 조화운동의 고유 진동수는 몇 Hz 인가?
- ① 3π
- ② 3
- ③ π/3
- ④ 1/3
등록된 댓글이 없습니다.
99. 질량 m 인 자동차가 아래 그림과 같이 반경 R 인 원궤도 내부로 진입하여 최고점 A를 무사히(아래로 떨어지지 않고)통과하고자 한다. 이를 위하여 필요한 자동차의 진입속도 vo의 최소값은? (단, 원 궤도와 자동차 타이어와의 마찰 및 공기저항은 무시한다.)

- ① √gR
- ② √3gR
- ③ √5gR
- ④ √7gR
등록된 댓글이 없습니다.
100. 질량 10kg인 블록이 수평면 위를 미끄러져 완충기에 부딪친다. 12 m/s의 초기 속도로 움직이며 블록과 바닥사이의 마찰 계수는 0.2이고 완충기와는 20m 떨어져 있다. 완충기에 부딪치기 직전의 속도는 몇 m/s 인가? (단, 완충기의 질량은 무시한다.)

- ① 3.1
- ② 5.9
- ③ 8.1
- ④ 12
등록된 댓글이 없습니다.